Synthetic Methods for the Preparation of Conformationally Restricted Analogues of Nicotine
Abstract
:1. Introduction
2. Synthetic Methods for the Preparation of Conformationally Restricted Analogues of Nicotine Involving Catalytic Processes
2.1. Synthesis of 2,3-Annulated Tricyclic Conformationally Constrained Nicotine Analogues
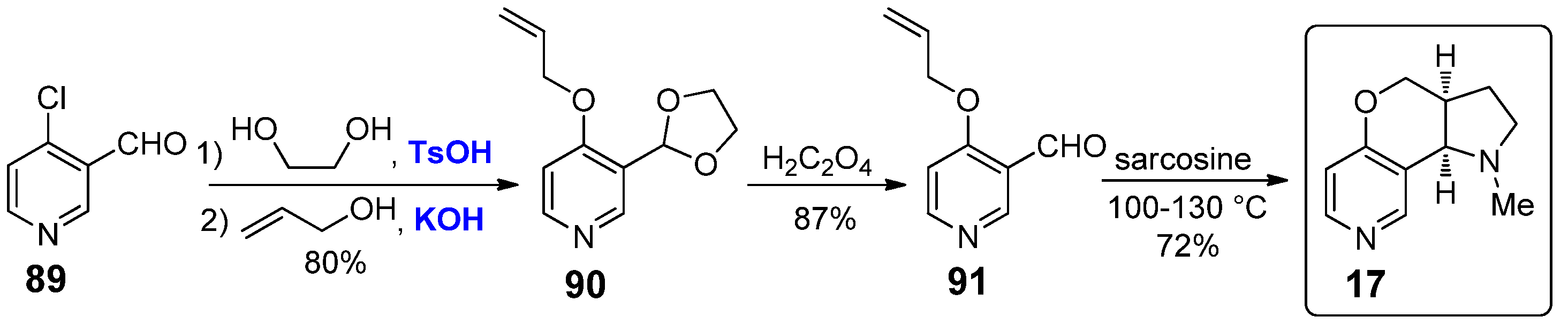
2.2. Synthesis of 3,4-Annulated Tricyclic Conformationally Constrained Nicotine Analogues
2.3. Synthesis of Tetracyclic Conformationally Constrained Nicotine Analogues
2.4. Synthesis of Other Polycyclic Conformationally Constrained Nicotine Analogues
3. Conclusions
Author Contributions
Funding
Acknowledgments
Conflicts of Interest
References
- ONeil, M.J.; Heckelman, P.E.; Koch, C.B.; Roman, K.J. The Merck Index: An Encyclopedia of Chemicals, Drugs, and Biologicals, 14th ed.; Merck & Co., Inc.: Whitehouse Station, NJ, USA, 2006. [Google Scholar]
- Pogocki, D.; Ruman, T.; Danilczuk, M.; Danilczuk, M.; Celuch, M.; Wałajtys-Rode, E. Application of nicotine enantiomers, derivatives and analogues in therapy of neurodegenerative disorders. Eur. J. Pharmacol. 2007, 563, 18–39. [Google Scholar] [CrossRef]
- Holladay, M.W.; Dart, M.J.; Lynch, J.K. Neuronal Nicotinic Acetylcholine Receptors as Targets for Drug Discovery. J. Med. Chem. 1997, 40, 4169–4194. [Google Scholar] [CrossRef]
- Ki Hwan, K.; Lin, N.-H.; Anderson, D.J. Quantitative structure-activity relationships of nicotine analogues as neuronal nicotinic acetylcholine receptor ligands. Biorg. Med. Chem. 1996, 4, 2211–2217. [Google Scholar] [CrossRef]
- Hughes, J.R. Dependence potential and abuse liability of nicotine replacement therapies. Biomed. Pharmacother. 1989, 43, 11–17. [Google Scholar] [CrossRef]
- Hall, W.D.; Gartner, C.E.; Carter, A. The genetics of nicotine addiction liability: Ethical and social policy implications. Addiction 2008, 103, 350–359. [Google Scholar] [CrossRef]
- Wonnacott, S.; Bermudez, I.; Millar, N.S.; Tzartos, S.J. Nicotinic acetylcholine receptors. Br. J. Pharmacol. 2018, 175, 1785–1788. [Google Scholar] [CrossRef] [Green Version]
- Albuquerque, E.X.; Pereira, E.F.R.; Alkondon, M.; Rogers, S.W. Mammalian Nicotinic Acetylcholine Receptors: From Structure to Function. Physiol. Rev. 2009, 89, 73–120. [Google Scholar] [CrossRef] [PubMed] [Green Version]
- Papke, R.L. Merging old and new perspectives on nicotinic acetylcholine receptors. Biochem. Pharmacol. 2014, 89, 1–11. [Google Scholar] [CrossRef] [Green Version]
- Glennon, R.A. Medicinal Chemistry of α4β2 Nicotine Chlinergic Receptor Ligands. In Progress in Medicinal Chemistry; King, F.D., Lawton, G., Oxford, A.W., Eds.; Elsevier: Amsterdam, The Netherlands, 2004; pp. 55–123. [Google Scholar]
- Albano, G.; Morelli, M.; Aronica, L.A. Synthesis of Functionalised 3-Isochromanones by Silylcarbocyclisation/Desilylation Reactions. Eur. J. Org. Chem. 2017, 2017, 3473–3480. [Google Scholar] [CrossRef]
- Aronica, L.A.; Albano, G.; Giannotti, L.; Meucci, E. Synthesis of N-Heteroaromatic Compounds through Cyclocarbonylative Sonogashira Reactions. Eur. J. Org. Chem. 2017, 2017, 955–963. [Google Scholar] [CrossRef]
- Albano, G.; Morelli, M.; Lissia, M.; Aronica, L.A. Synthesis of Functionalised Indoline and Isoquinoline Derivatives through a Silylcarbocyclisation/Desilylation Sequence. ChemistrySelect 2019, 4, 2505–2511. [Google Scholar] [CrossRef]
- Albano, G.; Aronica, L.A. From Alkynes to Heterocycles through Metal-Promoted Silylformylation and Silylcarbocyclization Reactions. Catalysts 2020, 10, 1012. [Google Scholar] [CrossRef]
- Albano, G.; Aronica, L.A. Acyl Sonogashira Cross-Coupling: State of the Art and Application to the Synthesis of Heterocyclic Compounds. Catalysts 2020, 10, 25. [Google Scholar] [CrossRef] [Green Version]
- Albano, G.; Giuntini, S.; Aronica, L.A. Synthesis of 3-Alkylideneisoindolin-1-ones via Sonogashira Cyclocarbonylative Reactions of 2-Ethynylbenzamides. J. Org. Chem. 2020, 85, 10022–10034. [Google Scholar] [CrossRef] [PubMed]
- Pucci, A.; Albano, G.; Pollastrini, M.; Lucci, A.; Colalillo, M.; Oliva, F.; Evangelisti, C.; Marelli, M.; Santalucia, D.; Mandoli, A. Supported Tris-Triazole Ligands for Batch and Continuous-Flow Copper-Catalyzed Huisgen 1,3-Dipolar Cycloaddition Reactions. Catalysts 2020, 10, 434. [Google Scholar] [CrossRef]
- Albano, G.; Evangelisti, C.; Aronica, L.A. Palladium Nanoparticles Supported on Smopex-234® as Valuable Catalysts for the Synthesis of Heterocycles. Catalysts 2021, 11, 706. [Google Scholar] [CrossRef]
- Catka, T.E.; Leete, E. Synthesis of a “bridged nicotine”: 1,2,3,5,6,10b-hexahydropyrido[2,3-g]indolizine. J. Org. Chem. 1978, 43, 2125–2127. [Google Scholar] [CrossRef]
- Kachur, J.F.; May, E.L.; Awaya, H.; Egle, J.L.; Aceto, M.D.; Martin, B.R. Pharmacological effects of 1,2,3,5,6,10b-hexahydropyrido [2,3-g]indolizine, a bridged-nicotine analog. Life Sci. 1986, 38, 323–330. [Google Scholar] [CrossRef]
- Petersen, I.N.; Crestey, F.; Jensen, A.A.; Indurthi, D.C.; Pedersen, H.; Andreasen, J.T.; Balle, T.; Kristensen, J.L. Tying up Nicotine: New Selective Competitive Antagonist of the Neuronal Nicotinic Acetylcholine Receptors. ACS Med. Chem. Lett. 2015, 6, 472–475. [Google Scholar] [CrossRef] [Green Version]
- Chavdarian, C.G.; Seeman, J.I.; Wooten, J.B. Bridged nicotines. Synthesis of cis-2,3,3a,4,5,9b-hexahydro-1-methyl-1H-pyrrolo [2,3-f]quinoline. J. Org. Chem. 1983, 48, 492–494. [Google Scholar] [CrossRef]
- Xu, R.; Dwoskin, L.P.; Grinevich, V.; Sumithran, S.P.; Crooks, P.A. Synthesis and evaluation of conformationally restricted pyridino N-alkylated nicotine analogs as nicotinic acetylcholine receptor antagonists. Drug Dev. Res. 2002, 55, 173–186. [Google Scholar] [CrossRef]
- Dickerson, T.J.; Lovell, T.; Meijler, M.M.; Noodleman, L.; Janda, K.D. Nornicotine Aqueous Aldol Reactions: Synthetic and Theoretical Investigations into the Origins of Catalysis. J. Org. Chem. 2004, 69, 6603–6609. [Google Scholar] [CrossRef]
- Zhang, Z.; Dwoskin, L.P.; Crooks, P.A. Expeditious synthesis of cis-1-methyl-2,3,3a,4,5,9b-hexahydro-1H-pyrrolo-[3,2-h] isoquinoline[2,3-f]quinoline via azomethine ylide-alkene [3+2] cycloaddition. Tetrahedron Lett. 2011, 52, 2667–2669. [Google Scholar] [CrossRef] [Green Version]
- Xu, R.; Dwoskin, L.P.; Grinevich, V.P.; Deaciuc, G.; Crooks, P.A. Neuronal nicotinic acetylcholine receptor binding affinities of boron-containing nicotine analogues. Bioorg. Med. Chem. Lett. 2001, 11, 1245–1248. [Google Scholar] [CrossRef]
- Crooks, P.A.; Ayers, J.T.; Xu, R.; Sumithran, S.P.; Grinevich, V.P.; Wilkins, L.H.; Deaciuc, A.G.; Allen, D.D.; Dwoskin, L.P. Development of subtype-selective ligands as antagonists at nicotinic receptors mediating nicotine-evoked dopamine release. Bioorg. Med. Chem. Lett. 2004, 14, 1869–1874. [Google Scholar] [CrossRef]
- Papke, R.L.; Zheng, G.; Horenstein, N.A.; Dwoskin, L.P.; Crooks, P.A. The characterization of a novel rigid nicotine analog with α7-selective nAChR agonist activity and modulation of agonist properties by boron inclusion. Bioorg. Med. Chem. Lett. 2005, 15, 3874–3880. [Google Scholar] [CrossRef] [PubMed] [Green Version]
- Meijler, M.M.; Matsushita, M.; Altobell, L.J.; Wirsching, P.; Janda, K.D. A New Strategy for Improved Nicotine Vaccines Using Conformationally Constrained Haptens. J. Am. Chem. Soc. 2003, 125, 7164–7165. [Google Scholar] [CrossRef]
- Janda, K.D.; Dickerson, T.J. Nicotine Immunoconjugates for Treatment of Addiction. WO2009120954 A2, 27 March 2009. [Google Scholar]
- Crystal, R.G.D.; Leopold, P.L.; Worgall, S.; Boyer, J.L. Vaccines for Prevention and Treatment of Addiction. US Patent WO2009149252A1, 4 June 2009. [Google Scholar]
- Cheng, B.; Zhai, H. Studies on Fluorinated Annulated Nicotines: Concise Synthesis of cis-4,4-Difluoro-2,3,3a,4,5,9b-hexahydro-1- methyl-1H-pyrrolo[2,3-f]quinoline. Synlett 2009, 2009, 1955–1958. [Google Scholar]
- Panda, N. Generation and Trapping of Pyridine o-Quinodimethanes and Their Functional Analogues: Synthesis of Heterolignans and Conformationally Restricted Analogues of Nicotine. Ph.D. Thesis, Indian Institute of Technology, Kharagpur, India, 2005. [Google Scholar]
- Zhai, H.; Liu, P.; Luo, S.; Fang, F.; Zhao, M. A Facile Synthesis of cis-1-Methyl-1,2,3,3a,4,8b- hexahydropyrrolo[3,2-f]pyrindine, an Annulated Nicotine Analog. Org. Lett. 2002, 4, 4385–4386. [Google Scholar] [CrossRef]
- Yang, X.; Luo, S.; Fang, F.; Liu, P.; Lu, Y.; He, M.; Zhai, H. Synthesis of conformationally restricted nicotine analogues by intramolecular [3+2] cycloaddition. Tetrahedron 2006, 62, 2240–2246. [Google Scholar] [CrossRef]
- Luo, S.; Fang, F.; Zhao, M.; Zhai, H. A one-pot assembly of 4-allyl-3-pyridinecarboxaldehyde. A new synthesis of 1-methyl- 1,2,3,3a,4,8b-hexahydropyrrolo[3,2-f]pyrindine, an annulated nicotine analogue. Tetrahedron 2004, 60, 5353–5355. [Google Scholar] [CrossRef]
- Nie, H.; Wang, Z.; Zhao, W.; Lu, J.; Zhang, C.; Lok, K.; Wang, Y.; Shen, H.; Xu, Z.; Yin, M. New nicotinic analogue ZY-1 enhances cognitive functions in a transgenic mice model of Alzheimer’s disease. Neurosci. Lett. 2013, 537, 29–34. [Google Scholar] [CrossRef]
- Ullrich, T.; Krich, S.; Binder, D.; Mereiter, K.; Anderson, D.J.; Meyer, M.D.; Pyerin, M. Conformationally Constrained Nicotines: Polycyclic, Bridged, and Spiro-Annulated Analogues as Novel Ligands for the Nicotinic Acetylcholine Receptor. J. Med. Chem. 2002, 45, 4047–4054. [Google Scholar] [CrossRef]
- Crestey, F.; Hooyberghs, G.; Kristensen, J.L. Concise synthesis of new bridged-nicotine analogues. Tetrahedron 2012, 68, 1417–1421. [Google Scholar] [CrossRef]
- Glassco, W.; Suchocki, J.; George, C.; Martin, B.R.; May, E.L. Synthesis, optical resolution, absolute configuration, and preliminary pharmacology of (+)- and (-)-cis-2,3,3a,4,5,9b-hexahydro-1-methyl-1H-pyrrolo[3,2-h]isoquinoline, a structural analog of nicotine. J. Med. Chem. 1993, 36, 3381–3385. [Google Scholar] [CrossRef]
- Albano, G.; Evangelisti, C.; Aronica, L.A. Hydrogenolysis of Benzyl Protected Phenols and Aniline Promoted by Supported Palladium Nanoparticles. ChemistrySelect 2017, 2, 384–388. [Google Scholar] [CrossRef]
- Albano, G.; Interlandi, S.; Evangelisti, C.; Aronica, L.A. Polyvinylpyridine-Supported Palladium Nanoparticles: A Valuable Catalyst for the Synthesis of Alkynyl Ketones via Acyl Sonogashira Reactions. Catal. Lett. 2020, 150, 652–659. [Google Scholar] [CrossRef]
- Rizzo, G.; Albano, G.; Lo Presti, M.; Milella, A.; Omenetto, F.G.; Farinola, G.M. Palladium Supported on Silk Fibroin for Suzuki–Miyaura Cross-Coupling Reactions. Eur. J. Org. Chem. 2020, 2020, 6992–6996. [Google Scholar] [CrossRef]
- Vernier, J.-M.; Holsenback, H.; Cosford, N.D.P.; Whitten, J.P.; Menzaghi, F.; Reid, R.; Rao, T.S.; Sacaan, A.I.; Lloyd, G.K.; Suto, C.M.; et al. Conformationally restricted analogues of nicotine and anabasine. Bioorg. Med. Chem. Lett. 1998, 8, 2173–2178. [Google Scholar] [CrossRef]
- Sarkar, T.K.; Basak, S.; Wainer, I.; Moaddel, R.; Yamaguchi, R.; Jozwiak, K.; Chen, H.-T.; Lin, C.-C. Coaxing a Pyridine Nucleus To Give Up Its Aromaticity: Synthesis and Pharmacological Characterization of Novel Conformationally Restricted Analogues of Nicotine and Anabasine. J. Med. Chem. 2004, 47, 6691–6701. [Google Scholar] [CrossRef] [PubMed]
- Damaj, M.I.; Glassco, W.; Dukat, M.; May, E.L.; Glennon, R.A.; Martin, B.R. Pharmacology of novel nicotinic analogs. Drug Dev. Res. 1996, 38, 177–187. [Google Scholar] [CrossRef]
- Damaj, M.I.; Glassco, W.; Marks, M.J.; Slobe, B.; James, J.R.; May, E.L.; Rosecrans, J.A.; Collins, A.C.; Martin, B.R. Pharmacological investigation of (+)- and (-)-cis-2,3,3a,4,5,9b-hexahydro-1-methyl-1H-pyrrolo-[3,2-h]isoquinoline, a bridged-nicotine analog. J. Pharmacol. Exp. Ther. 1997, 282, 1425–1434. [Google Scholar] [PubMed]
- Levin, E.D.; Damaj, M.I.; Glassco, W.; May, E.L.; Martin, B.R. Bridged nicotine, isonicotine, and norisonicotine effects on working memory performance of rats in the radial-arm maze. Drug Dev. Res. 1999, 46, 107–111. [Google Scholar] [CrossRef]
- Yu, B.; Jin, H.; Zhang, L. Pharmacophore identification and validation for human nAChR α7 agonists. J. Chin. Pharm. Sci. 2013, 22, 393–402. [Google Scholar] [CrossRef]
- Rao, T.S.; Sacaan, A.I.; Menzaghi, F.M.; Reid, R.T.; Adams, P.B.; Correa, L.D.; Whelan, K.T.; Vernier, J.-M. Pharmacological characterization of SIB-1663, a conformationally rigid analog of nicotine. Brain Res. 2004, 1003, 42–53. [Google Scholar] [CrossRef]
- Shi, F.-D. Nicotinic Attenuation of CNS Inflammation and Autoimmunity. WO2010030887 A1, 18 March 2010. [Google Scholar]
- Ackermann, D.M., Jr.; Loudin, J.; Mandell, K.J. Use of Nicotinic Acetylcholine Receptor Agonists in Improving Tear Production for Treatment of Dry Eye Syndrome. US20160106665 A1, 21 April 2016. [Google Scholar]
- Meyer, E.; Tisa-Bostedt, K.; Beckert, T. Transdermal Therapeutic System Having a Content of a Modulator for Nicotinic Acetylcholine Receptors (nAChR). WO2009071326 A2, 11 June 2009. [Google Scholar]
- Sarkar, T.K.; Basak, S.; Ghosh, S.K. A novel approach to conformationally restricted analogues of nicotine and anabasine by an intramolecular Hamaguchi–Ibata reaction. Tetrahedron Lett. 2000, 41, 759–762. [Google Scholar] [CrossRef]
- Sarkar, T.K.; Basak, S.; Slanina, Z.; Chow, T.J. Studies on Intramolecular Diels−Alder Reactions of Furo[3,4-c]pyridines in the Synthesis of Conformationally Restricted Analogues of Nicotine and Anabasine. J. Org. Chem. 2003, 68, 4206–4214. [Google Scholar] [CrossRef] [PubMed]
- Moaddel, R.; Jozwiak, K.; Yamaguchi, R.; Cobello, C.; Whittington, K.; Sarkar, T.K.; Basak, S.; Wainer, I.W. On-line screening of conformationally constrained nicotines and anabasines for agonist activity at the α3β4- and α4β2-nicotinic acetylcholine receptors using immobilized receptor-based liquid chromatographic stationary phases. J. Chromatogr. B 2004, 813, 235–240. [Google Scholar] [CrossRef] [PubMed]
- Lennox, J.R.; Turner, S.C.; Rapoport, H. Enantiospecific Synthesis of Annulated Nicotine Analogues from d-Glutamic Acid. 7-Azabicyclo[2.2.1]heptano[2.3-c]pyridines. J. Org. Chem. 2001, 66, 7078–7083. [Google Scholar] [CrossRef]
- Carroll, F.I. Epibatidine structure–activity relationships. Bioorg. Med. Chem. Lett. 2004, 14, 1889–1896. [Google Scholar] [CrossRef]
- Carroll, F.I.; Robinson, T.P.; Brieaddy, L.E.; Atkinson, R.N.; Mascarella, S.W.; Damaj, M.I.; Martin, B.R.; Navarro, H.A. Synthesis and Nicotinic Acetylcholine Receptor Binding Properties of Bridged and Fused Ring Analogues of Epibatidine. J. Med. Chem. 2007, 50, 6383–6391. [Google Scholar] [CrossRef]
- Turner, S.C.; Zhai, H.; Rapoport, H. Enantiospecific Synthesis of Annulated Nicotine Analogues from d- and l-Glutamic Acid. Pyridotropanes. J. Org. Chem. 2000, 65, 861–870. [Google Scholar] [CrossRef]
- Kanne, D.B.; Ashworth, D.J.; Cheng, M.T.; Mutter, L.C.; Abood, L.G. Synthesis of the first highly potent bridged nicotinoid 9-Azabicyclo[4.2.1]nona[2,3-c]pyridine (pyrido[3,4-b]homotropane). J. Am. Chem. Soc. 1986, 108, 7864–7865. [Google Scholar] [CrossRef]
- Kanne, D.B.; Abood, L.G. Synthesis and biological characterization of pyridohomotropanes. Structure-activity relationships of conformationally restricted nicotinoids. J. Med. Chem. 1988, 31, 506–509. [Google Scholar] [CrossRef] [PubMed]
- Carroll, F.I.; Hu, X.; Navarro, H.A.; Deschamps, J.; Abdrakhmanova, G.R.; Damaj, M.I.; Martin, B.R. Synthesis and Pharmacological Characterization of Nicotinic Acetylcholine Receptor Properties of (+)- and (−)-Pyrido-[3,4-b]homotropanes. J. Med. Chem. 2006, 49, 3244–3250. [Google Scholar] [CrossRef]
- Sang, Y.; Zhao, J.; Jia, X.; Zhai, H. Asymmetric Synthesis of (+)-Pyrido[3,4-b]homotropane. J. Org. Chem. 2008, 73, 3589–3592. [Google Scholar] [CrossRef] [PubMed]
- Sun, B.; Ren, J.; Xing, S.; Wang, Z. Synthesis of (−)-Pyrido[3,4-b]homotropane (PHT) and (±)-PHT via an Intramolecular Cross [3+2] Cycloaddition Strategy. Adv. Synth. Catal. 2018, 360, 1529–1537. [Google Scholar] [CrossRef]
- Gündisch, D.; Kämpchen, T.; Schwarz, S.; Seitz, G.; Siegl, J.; Wegge, T. Syntheses and evaluation of pyridazine and pyrimidine Containing bioisosteres of (±)-Pyrido[3.4-b]homotropane and Pyrido-[3.4-b]tropane as novel nAChR ligands. Biorg. Med. Chem. 2002, 10, 1–9. [Google Scholar] [CrossRef]
- Kanne, D.B.; Tomizawa, M.; Durkin, K.A.; Casida, J.E. 6′-Methylpyrido[3,4-b]norhomotropane: Synthesis and outstanding potency in relation to the α4β2 nicotinic receptor pharmacophore model. Bioorg. Med. Chem. Lett. 2005, 15, 877–881. [Google Scholar] [CrossRef]
- Carroll, F.I.; Navarro, H.A.; Mascarella, S.W.; Castro, A.H.; Luetje, C.W.; Wageman, C.R.; Marks, M.J.; Jackson, A.; Damaj, M.I. In Vitro and in Vivo Neuronal Nicotinic Receptor Properties of (+)- and (−)-Pyrido[3,4]homotropane [(+)- and (−)-PHT]: (+)-PHT Is a Potent and Selective Full Agonist at α6β2 Containing Neuronal Nicotinic Acetylcholine Receptors. ACS Chem. Neurosci. 2015, 6, 920–926. [Google Scholar] [CrossRef] [Green Version]
- Nielsen, S.F.; Nielsen, E.Ø.; Olsen, G.M.; Liljefors, T.; Peters, D. Novel Potent Ligands for the Central Nicotinic Acetylcholine Receptor: Synthesis, Receptor Binding, and 3D-QSAR Analysis. J. Med. Chem. 2000, 43, 2217–2226. [Google Scholar] [CrossRef] [PubMed]
- Nicolotti, O.; Pellegrini-Calace, M.; Carrieri, A.; Altomare, C.; Centeno, N.B.; Sanz, F.; Carotti, A. Neuronal nicotinic receptor agonists: A multi-approach development of the pharmacophore. J. Comput. Aided Mol. Des. 2001, 15, 859–872. [Google Scholar] [CrossRef] [PubMed]
- Xu, Y.-z.; Choi, J.; Isabel Calaza, M.; Turner, S.; Rapoport, H. Conformationally Constrained Nicotines. 1-Pyridinyl-7-azabicyclo [2.2.1]heptane and 1-Pyridinyl-8-azabicyclo[3.2.1]octane Analogues. J. Org. Chem. 1999, 64, 4069–4078. [Google Scholar] [CrossRef]
- Manetti, D.; Garifulina, A.; Bartolucci, G.; Bazzicalupi, C.; Bellucci, C.; Chiaramonte, N.; Dei, S.; Di Cesare Mannelli, L.; Ghelardini, C.; Gratteri, P.; et al. New Rigid Nicotine Analogues, Carrying a Norbornane Moiety, Are Potent Agonists of α7 and α3* Nicotinic Receptors. J. Med. Chem. 2019, 62, 1887–1901. [Google Scholar] [CrossRef]
- Albano, G.; Aronica, L.A. Cyclization Reactions for the Synthesis of Phthalans and Isoindolines. Synthesis 2018, 50, 1209–1227. [Google Scholar]
- Albano, G.; Aronica, L.A.; Minotto, A.; Cacialli, F.; Di Bari, L. Chiral Oligothiophenes with Remarkable Circularly Polarized Luminescence and Electroluminescence in Thin Films. Chem. Eur. J. 2020, 26, 16622–16627. [Google Scholar] [CrossRef]
- Albano, G.; Aronica, L.A.; Biver, T.; Detti, R.; Pucci, A. Tris-Ethynylphenyl-amine Fluorophores: Synthesis, Characterisation and Test of Performances in Luminescent Solar Concentrators. ChemistrySelect 2018, 3, 1749–1754. [Google Scholar] [CrossRef]
- Albano, G.; Decandia, G.; Capozzi, M.A.M.; Zappimbulso, N.; Punzi, A.; Farinola, G.M. Infrared Irradiation-Assisted Solvent-Free Pd-Catalyzed (Hetero)aryl-aryl Coupling via C−H Bond Activation. ChemSusChem 2021, 14, 3391–3401. [Google Scholar] [CrossRef]































| Nicotine Analogue | Synthesis: Starting Material [Ref.] | Biological Studies: Test (Measurement) [Ref.] |
|---|---|---|
| 3 | 2-methylpyridine-3-carboxaldehyde (30) [19] | guinea-pig ileum (EC50 = 53 μm for (−)-3) [20] |
| α4β2 in X. laevis (no activity found) [21] | ||
| 4 | 7,8-dihydroquinolin-5(6H)-one (37) [22] | rat membranes: α4β2 (Ki = 12.2 μM); α7 (Ki > 100 μM) [26] |
| 7,8-dihydroquinolin-5(6H)-one (37) [23] | striatum: α4β2*, α7* (IC50 = 30–310 nM) [27] | |
| 7,8-dihydroquinolin-5(6H)-one (37) [24] | α7 in X. laevis (no agonist activity) [28] | |
| 2-methylpyridine [25] | ||
| 5 | 7,8-dihydroquinolin-5(6H)-one (37) [29] | mice immunization: affinity for (S)-1 (Kd = 0.60 µM) [29] |
| patent nicotine vaccines [30] | ||
| patent nicotine vaccines [31] | ||
| 6 | 2-bromopyridine (42) [32] | - |
| 7 | 2-methyl-5-nitronicotinate (47) [33] | - |
| 8 | 2-methyl-5-nitronicotinate (47) [33] | - |
| 9 | 3-bromopyridine (56) [34] | SH-EP1-α4β2 cell membranes (Ki = 21.5 nM) [37] |
| 3-bromopyridine (56) [35] | ||
| nicotinaldehyde (61) [36] | ||
| 10 | ethyl 2-iodoacetate (64) [38] | α4β2 in rat forebrain (Ki = 53.1 nM for (+)-10) [38] |
| 11 | ethyl 2-iodoacetate (64) [38] | α4β2 in rat forebrain (Ki = 4.79 nM for (+)-11) [38] |
| 12 | 4-chloropyridine (68) [39] | α4β2 in X. laevis ((R)-12: Ki = 0.34 μM, (α4)2(β2)3) [21] |
| N-Boc pyrrolidine (71) [21] | ||
| 13 | 3-chloropyridine (75) [39] | - |
| 14 | 6,7-dihydroisoquinolin-8(5H)-one (78) [40] | mouse brain (Ki = 167 ± 19 nM) [40] |
| 6,7-dihydroisoquinolin-8(5H)-one (78) [23] | HEK cells with human α2β4, α3β4, α4β4, α3β2, α4β2 [44] | |
| 6,7-dihydroisoquinolin-8(5H)-one (78) [44] | ||
| 6,7-dihydroisoquinolin-8(5H)-one (78) [24] | ||
| nicotine derivative 21 [45] | ||
| 15 | 6,7-dihydroisoquinolin-8(5H)-one (78) [40] | mouse brain ((–)-15: Ki = 605 ± 217 nM) [40] |
| 6,7-dihydroisoquinolin-8(5H)-one (78) [23] | no binding activity to nicotine receptors [46] | |
| nicotine derivative 21 [45] | [125I]-α-BGTX to mouse brain ((+)-15: Ki = 6.2 mM) [47] | |
| 3-bromo-4-carboxaldehyde (83) [35] | in vivo treatment of cognitive dysfunction [48] | |
| 3-bromo-4-methylpyridine [25] | clinical treatment of schizophrenia cognitive disorders [49] | |
| 16 | 6,7-dihydroisoquinolin-8(5H)-one (78) [29] | mice immunization: affinity for (S)-1 (Kd = 1.0 µM) [29] |
| patent nicotine vaccines [30] | ||
| patent nicotine vaccines [31] | ||
| 17 | 4-chloronicotinaldehyde (89) [35] | - |
| 18 | 4-chloronicotinaldehyde (89) [35] | - |
| 19 | 3-methoxy-6,7-dihydroisoquinolin-8(5H)-one (93) [44] | HEK cells (α2β4: EC50 = 87 μM; α4β4: EC50 = 32 μM) [44] |
| rodent brain (α2β4: Ki = 1.0 μM; α4β4: Ki = 2.6 μM) [50] | ||
| patent treatment inflammation central nervous system [51] | ||
| patent treatment of dry eye syndrome [52] | ||
| patent transdermal therapeutic system [53] | ||
| 20 | 2,6-dichloro-4-methylnicotinic acid (96) [54] | - |
| 2,6-dichloro-4-methylnicotinic acid (96) [55] | ||
| 21 | aldehyde 101 [45] | liq. chromat. (α4β2: Δml = 0.17; α3β4: Δml = −0.04) [56] |
| 22 | D-glutamic acid (R)-104 [57] | binding inhibition (α4β2: < 15%; α7: 0%) [59] |
| 23 | L-glutamic acid (S)-104 [60] | - |
| 24 | cyclooctadiene [61] | rat brain membrane (IC50 = 8.0 × 10−8 M) [61] |
| cyclooctadiene [62] | rat brain membrane (IC50 = 5.0 × 10−9 M) [62] | |
| cyclooctadiene [63] | rat brain membrane ((α4)2(β2)3: IC50 = 5 nM) [66] | |
| N,N-diisopropylisonicotinamide [64] | (α7: Ki > 100000 nM; α4β2: Ki =1.3 ± 0.2 nM) [67] | |
| 4-iodonicotinaldehyde [65] | α4β2 affinity ((+)-24: Ki = 1.29 nM; (–)-24: Ki = 350 nM) [63] | |
| agonist activity for α4β2 ((+)-24: Ki = 3.2 ± 0.4 nM) [68] | ||
| 25 | γ-butyrolactone (128) [38] | rat forebrain ((+)-25: Ki = 962 nM; (–)-25: 1360 nM) [38] |
| 26 | δ-valerolactone (129) [38] | rat forebrain ((+)-26: Ki = 318 nM; (–)-26: 1040 nM) [38] |
| 27 | pyridine derivative 144 [71] | - |
| 28 | nicotinaldehyde (153) [72] | (α4β2*: Ki = 10.22 ± 1.09 nM; α7*: Ki = 352 ± 32 nM) [72] |
| 29 | 6-chloronicotinaldehyde (159) [72] | (α4β2*: Ki = 43 ± 4 nM; α7*: Ki > 1000 nM) [72] |
Publisher’s Note: MDPI stays neutral with regard to jurisdictional claims in published maps and institutional affiliations. |
© 2021 by the authors. Licensee MDPI, Basel, Switzerland. This article is an open access article distributed under the terms and conditions of the Creative Commons Attribution (CC BY) license (https://creativecommons.org/licenses/by/4.0/).
Share and Cite
Panda, B.; Albano, G. Synthetic Methods for the Preparation of Conformationally Restricted Analogues of Nicotine. Molecules 2021, 26, 7544. https://doi.org/10.3390/molecules26247544
Panda B, Albano G. Synthetic Methods for the Preparation of Conformationally Restricted Analogues of Nicotine. Molecules. 2021; 26(24):7544. https://doi.org/10.3390/molecules26247544
Chicago/Turabian StylePanda, Biswajit, and Gianluigi Albano. 2021. "Synthetic Methods for the Preparation of Conformationally Restricted Analogues of Nicotine" Molecules 26, no. 24: 7544. https://doi.org/10.3390/molecules26247544
APA StylePanda, B., & Albano, G. (2021). Synthetic Methods for the Preparation of Conformationally Restricted Analogues of Nicotine. Molecules, 26(24), 7544. https://doi.org/10.3390/molecules26247544

