Synthetic Strategies in the Preparation of Phenanthridinones
Abstract
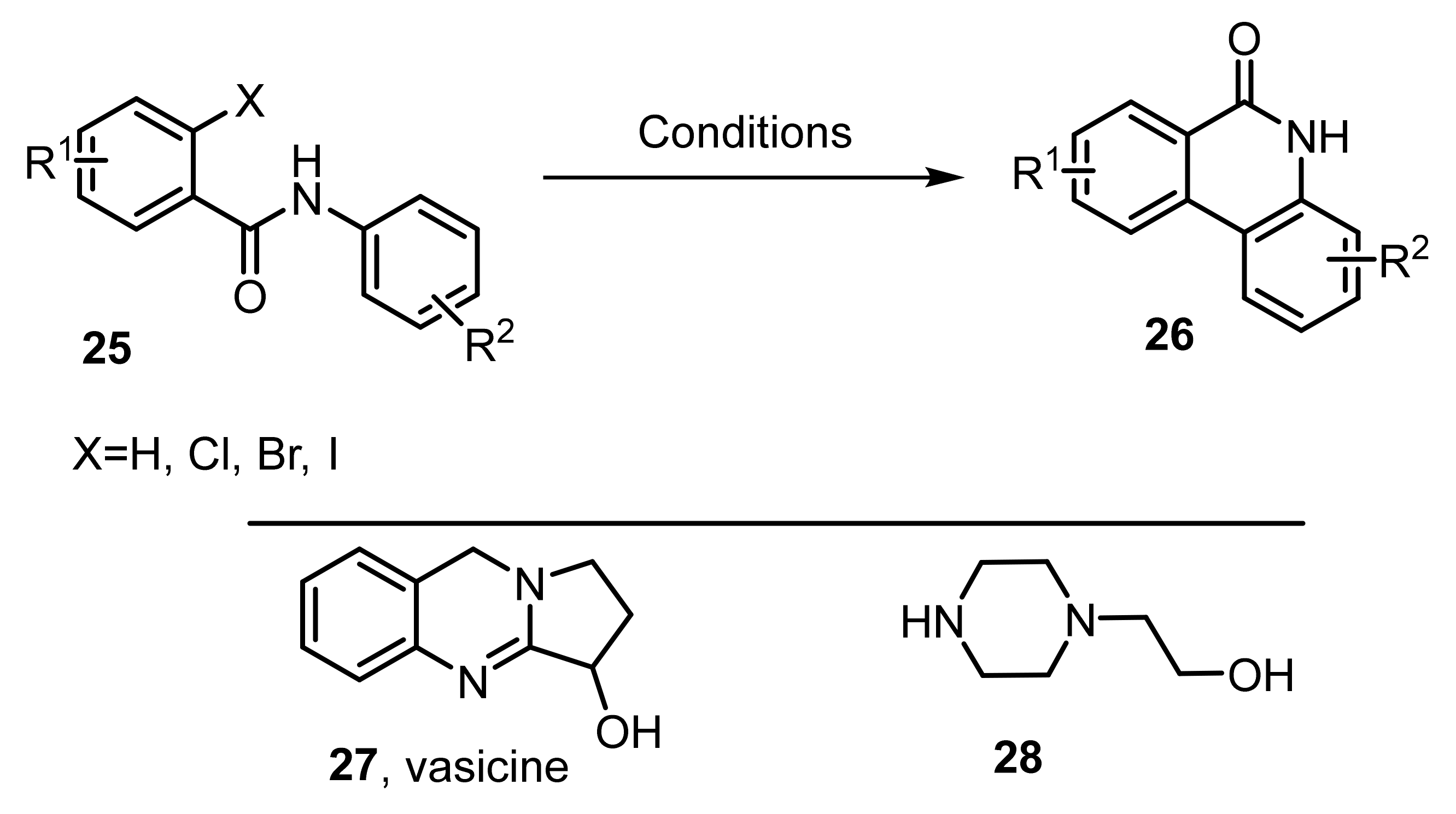
:1. Introduction
2. Simultaneous Aryl–Aryl and N–Aryl Coupling Reactions for Phenanthridinone Synthesis
2.1. C–C and C–N Bond Formation via a One-Pot Synthesis
2.2. C–C and C–N Bond Formation via Aryne-Mediated Reactions
2.3. C–C and C–N Bond Formation via Carbonylative and Carboxylative Reactions
3. C–C Coupling Reactions for Phenanthridinone Synthesis
4. N–Aryl Coupling Reactions for Phenanthridinone Synthesis
5. Decarboxylative Reactions for Phenanthridinone Synthesis
6. Photo-Mediated Reactions for Phenanthridinone Synthesis
7. Miscellaneous Reactions
8. Conclusions
Funding
Conflicts of Interest
References
- Kametani, T.; Kigasawa, K.; Hiiragi, M.; Kusama, O. Studies on the syntheses of heteroeyelie compounds. Part DVI. Synthesis of oxynilidine and nitidine. J. Heterocycl. Chem. 1973, 10, 31–33. [Google Scholar] [CrossRef]
- Van Otterlo, W.A.L.; Green, I.R. A Review on Recent Syntheses of Amaryllidaceae Alkaloids and Isocarbostyrils (Time period mid-2016 to 2017). Nat. Prod. Commun. 2018, 13, 255–257. [Google Scholar] [CrossRef] [Green Version]
- Fuganti, C.; Mazza, M. The absolute configuration of narciclasine: A biosynthetic approach. J. Chem. Soc. Chem. Commun. 1972, 239. [Google Scholar] [CrossRef]
- Bozkurt, B.B.; Zencir, S.; Somer, N.U.; Kaya, G.I.; Önür, M.A.; Bastida, J.; Berenyi, A.; Zupko, I.; Topcu, Z. The Effects of Arolycoricidine and Narciprimine on Tumor Cell Killing and Topoisomerase Activity. Rec. Nat. Prod. 2012, 6, 381. [Google Scholar]
- Wurz, G.; Hofer, O.; Greger, H. Structure and synthesis of phenaglydon, a new quinolone derived phenanthridine alkaloid from Glycosmis cyanocarpa. Nat. Prod. Lett. 1993, 3, 177–182. [Google Scholar] [CrossRef]
- Banwell, M.G.; Cowden, C.J.; Gable, R.W. Lycoricidine and pancratistatin analogues from cyclopentadiene. J. Chem. Soc. Perkin Trans. I 1994, 3515–3518. [Google Scholar] [CrossRef]
- Meyers, A.; Hutchings, R. A total synthesis of the pyrrolophenthridone alkaloid oxoassoanine. Tetrahedron Lett. 1993, 34, 6185–6188. [Google Scholar] [CrossRef]
- Ganton, M.D.; Kerr, M.A. A domino amidation route to indolines and indoles: Rapid syntheses of anhydrolycorinone, hippadine, oxoassoanine, and pratosine. Org. Lett. 2005, 7, 4777–4779. [Google Scholar] [CrossRef]
- Wolkenberg, S.E.; Boger, D.L. Total synthesis of anhydrolycorinone utilizing sequential intramolecular Diels–Alder reactions of a 1,3,4-oxadiazole. J. Org. Chem. 2002, 67, 7361–7364. [Google Scholar] [CrossRef]
- Ugarkar, B.G.; Dare, J.; Schubert, E.M. Improved synthesis of lycoricidine triacetate. Synthesis 1987, 8, 715–716. [Google Scholar] [CrossRef]
- Smith, P.A. The schmidt reaction: Experimental conditions and mechanism. J. Am. Chem. Soc. 1948, 70, 320–323. [Google Scholar] [CrossRef]
- Oyster, L.; Adkins, H. The Preparation Of 9 (10)-Phenanthridone From Phenanthrene. J. Am. Chem. Soc. 1921, 43, 208–210. [Google Scholar] [CrossRef]
- Walls, L.P. 337. Researches in the phenanthridine series. Part IV. Synthesis of plasmoquin-like derivatives. J. Chem. Soc. 1935, 1405–1410. [Google Scholar] [CrossRef]
- Pan, H.L.; Fletcher, T.L. 6(5H)-phenanthridinones. II. Preparation of substituted 6 (5h)-phenanthridinones from 9-oxofluorenes. J. Heterocycl. Chem. 1970, 7, 313–321. [Google Scholar] [CrossRef]
- Woodroofe, C.C.; Zhong, B.; Lu, X.; Silverman, R.B. Anomalous Schmidt reaction products of phenylacetic acid and derivatives. J. Chem. Soc. Perkin Trans. 2 2000, 55–59. [Google Scholar] [CrossRef]
- Mosby, W.L. 2-Bromophenanthridone. J. Am. Chem. Soc. 1954, 76, 936–937. [Google Scholar] [CrossRef]
- Banwell, M.G.; Lupton, D.W.; Ma, X.; Renner, J.; Sydnes, M.O. Synthesis of Quinolines, 2-Quinolones, Phenanthridines, and 6 (5 H)-Phenanthridinones via Palladium [0]-Mediated Ullmann Cross-coupling of 1-Bromo-2-nitroarenes with β-Halo-enals,-enones, or-esters. Org. Lett. 2004, 6, 2741–2744. [Google Scholar] [CrossRef] [PubMed]
- Horning, E.; Stromberg, V.; Lloyd, H. Beckmann rearrangements. An investigation of special cases. J. Am. Chem. Soc. 1952, 74, 5153–5155. [Google Scholar] [CrossRef]
- Guy, A.; Guette, J.-P.; Lang, G. Utilization of polyphosphoric acid in the presence of a co-solvent. Synthesis 1980, 1980, 222–223. [Google Scholar] [CrossRef]
- Guo, X.; Xing, Q.; Lei, K.; Zhang-Negrerie, D.; Du, Y.; Zhao, K. A Tandem Ring Opening/Closure Reaction in A BF3-Mediated Rearrangement of Spirooxindoles. Adv. Synth. Catal. 2017, 359, 4393–4398. [Google Scholar] [CrossRef]
- Corsaro, A.; Librando, V.; Chiacchio, U.; Pistarà, V.; Rescifina, A. Cycloaddition of nitrile oxides to aza-analogues of phenanthrene. Tetrahedron 1998, 54, 9187–9194. [Google Scholar] [CrossRef]
- Gilman, H.; Eisch, J. The Chemistry and Synthetic Applications of the Phenanthridinone System. J. Am. Chem. Soc. 1957, 79, 5479–5483. [Google Scholar] [CrossRef]
- Hey, D.; Leonard, J.A.; Rees, C.W. 1003. Internuclear cyclisation. Part XX. Synthesis of spiro-dienones through benzyne intermediates. J. Am. Chem. Soc. 1963, 5266–5270. [Google Scholar] [CrossRef]
- González, C.; Guitián, E.; Castedo, L. Synthesis of phenanthridones, quinolinequinones and 7-azasteroids. Tetrahedron 1999, 55, 5195–5206. [Google Scholar] [CrossRef]
- Sanz, R.; Fernandez, Y.; Castroviejo, M.P.; Perez, A.; Fananas, F.J. Functionalized Phenanthridine and Dibenzopyranone Derivatives through Benzyne Cyclization–Application to the Total Syntheses of Trisphaeridine and N-Methylcrinasiadine. Eur. J. Org. Chem. 2007, 2007, 62–69. [Google Scholar] [CrossRef]
- Narasimhan, N.; Paradkar, M.; Alurkar, R. Synthetic application of lithiation reactions—IV: Novel synthesis of linear furoquinoline alkaloids and a synthesis of edulitine. Tetrahedron 1971, 27, 1351–1356. [Google Scholar] [CrossRef]
- Radhakrishnan, H.; Krishnamoorthy, M.; Chien-Hong, C. Rhodium(III)-Catalyzed ortho-Arylation of Anilides with Aryl Halides. Adv. Synth. Catal. 2015, 357, 366–370. [Google Scholar]
- Fukuda, H.; Karaki, F.; Dodo, K.; Noguchi-Yachide, T.; Ishikawa, M.; Hashimoto, Y.; Ohgane, K. Phenanthridin-6-one derivatives as the first class of non-steroidal pharmacological chaperones for Niemann-Pick disease type C1 protein. Bioorganic Med. Chem. Lett. 2017, 27, 2781–2787. [Google Scholar] [CrossRef]
- Achary, R.; Mathi, G.R.; Lee, D.H.; Yun, C.S.; Lee, C.O.; Kim, H.R.; Park, C.H.; Kim, P.; Hwang, J.Y. Novel 2, 4-diaminopyrimidines bearing fused tricyclic ring moiety for anaplastic lymphoma kinase (ALK) inhibitor. Bioorganic Med. Chem. Lett. 2017, 27, 2185–2191. [Google Scholar] [CrossRef]
- Ruchelman, A.L.; Kerrigan, J.E.; Li, T.-K.; Zhou, N.; Liu, A.; Liu, L.F.; LaVoie, E.J. Nitro and amino substitution within the A-ring of 5H-8,9-dimethoxy-5-(2-N,N-dimethylaminoethyl) dibenzo [c,h][1,6] naphthyridin-6-ones: Influence on topoisomerase I-targeting activity and cytotoxicity. Bioorg. Med. Chem. 2004, 12, 3731–3742. [Google Scholar] [CrossRef]
- Kralj, A.; Kurt, E.; Tschammer, N.; Heinrich, M.R. Synthesis and biological evaluation of biphenyl amides that modulate the US28 receptor. Chem. Med. Chem. 2014, 9, 151–168. [Google Scholar] [CrossRef]
- Stoica, B.A.; Loane, D.J.; Zhao, Z.; Kabadi, S.V.; Hanscom, M.; Byrnes, K.R.; Faden, A.I. PARP-1 inhibition attenuates neuronal loss, microglia activation and neurological deficits after traumatic brain injury. J. Neurotrauma 2014, 31, 758–772. [Google Scholar] [CrossRef] [PubMed]
- Karaki, F.; Ohgane, K.; Fukuda, H.; Nakamura, M.; Dodo, K.; Hashimoto, Y. Structure–activity relationship study of non-steroidal NPC1L1 ligands identified through cell-based assay using pharmacological chaperone effect as a readout. Bioorg. Med. Chem. 2014, 22, 3587–3609. [Google Scholar] [CrossRef] [PubMed]
- Patil, S.; Kamath, S.; Sanchez, T.; Neamati, N.; Schinazi, R.F.; Buolamwini, J.K. Synthesis and biological evaluation of novel 5 (H)-phenanthridin-6-ones, 5 (H)-phenanthridin-6-one diketo acid, and polycyclic aromatic diketo acid analogs as new HIV-1 integrase inhibitors. Bioorg. Med. Chem. 2007, 15, 1212–1228. [Google Scholar] [CrossRef]
- Nakamura, M.; Aoyama, A.; Salim, M.T.A.; Okamoto, M.; Baba, M.; Miyachi, H.; Hashimoto, Y.; Aoyama, H. Structural development studies of anti-hepatitis C virus agents with a phenanthridinone skeleton. Bioorg. Med. Chem. 2010, 18, 2402–2411. [Google Scholar] [CrossRef] [PubMed]
- Weltin, D.; Picard, V.; Aupeix, K.; Varin, M.; Oth, D.; Marchal, J.; Dufour, P.; Bischoff, P. Immunosuppressive activities of 6 (5H)-phenanthridinone, a new poly (ADP-ribose) polymerase inhibitor. Int. J. Immunopharmacol. 1995, 17, 265–271. [Google Scholar] [CrossRef]
- Hu, J.; Shi, X.; Chen, J.; Mao, X.; Zhu, L.; Yu, L.; Shi, J. Alkaloids from Toddalia asiatica and their cytotoxic, antimicrobial and antifungal activities. Food Chem. 2014, 148, 437–444. [Google Scholar] [CrossRef]
- Ferraris, D.; Ko, Y.-S.; Pahutski, T.; Ficco, R.P.; Serdyuk, L.; Alemu, C.; Bradford, C.; Chiou, T.; Hoover, R.; Huang, S.; et al. Design and synthesis of poly ADP-ribose polymerase-1 inhibitors. 2. Biological evaluation of aza-5 [H]-phenanthridin-6-ones as potent, aqueous-soluble compounds for the treatment of ischemic injuries. J. Med. Chem. 2003, 46, 3138–3151. [Google Scholar] [CrossRef]
- Ceriotti, G. Narciclasine: An antimitotic substance from Narcissus bulbs. Nature 1967, 213, 595–596. [Google Scholar] [CrossRef] [PubMed]
- Cabral, V.; Luo, X.; Junqueira, E.; Costa, S.S.; Mulhovo, S.; Duarte, A.; Couto, I.; Viveiros, M.; Ferreira, M.-J.U. Enhancing activity of antibiotics against Staphylococcus aureus: Zanthoxylum capense constituents and derivatives. Phytomedicine 2015, 22, 469–476. [Google Scholar] [CrossRef] [PubMed]
- Grese, T.A.; Adrian, M.D.; Phillips, D.L.; Shetler, P.K.; Short, L.L.; Glasebrook, A.L.; Bryant, H.U. Photochemical synthesis of N-arylbenzophenanthridine selective estrogen receptor modulators (SERMs). J. Med. Chem. 2001, 44, 2857–2860. [Google Scholar] [CrossRef]
- Dow, R.L.; Chou, T.T.; Bechle, B.M.; Goddard, C.; Larson, E.R. Identification of tricyclic analogs related to ellagic acid as potent/selective tyrosine protein kinase inhibitors. J. Med. Chem. 1994, 37, 2224–2231. [Google Scholar] [CrossRef] [PubMed]
- Karra, S.; Xiao, Y.; Chen, X.; Liu-Bujalski, L.; Huck, B.; Sutton, A.; Goutopoulos, A.; Askew, B.; Josephson, K.; Jiang, X.; et al. SAR and evaluation of novel 5H-benzo [c][1,8] naphthyridin-6-one analogs as Aurora kinase inhibitors. Bioorganic Med. Chem. Lett. 2013, 23, 3081–3087. [Google Scholar] [CrossRef] [PubMed]
- Ishida, J.; Hattori, K.; Yamamoto, H.; Iwashita, A.; Mihara, K.; Matsuoka, N. 4-Phenyl-1,2,3,6-tetrahydropyridine, an excellent fragment to improve the potency of PARP-1 inhibitors. Bioorganic Med. Chem. Lett. 2005, 15, 4221–4225. [Google Scholar] [CrossRef] [PubMed]
- Fang, Y.; Tranmer, G.K. Continuous flow photochemistry as an enabling synthetic technology: Synthesis of substituted-6 (5H)-phenanthridinones for use as poly (ADP-ribose) polymerase inhibitors. Med. Chem. Comm. 2016, 7, 720–724. [Google Scholar] [CrossRef]
- Jagtap, P.; Szabó, C. Poly (ADP-ribose) polymerase and the therapeutic effects of its inhibitors. Nat. Rev. Drug Discov. 2005, 4, 421–440. [Google Scholar] [CrossRef]
- Holl, V.; Coelho, D.; Weltin, D.; Hyun, J.W.; Dufour, P.; Bischoff, P. Modulation of the antiproliferative activity of anticancer drugs in hematopoietic tumor cell lines by the poly (ADP-ribose) polymerase inhibitor 6 (5H)-phenanthridinone. Anticancer Res. 2000, 20, 3233–3241. [Google Scholar]
- Weltin, D.; Holl, V.; Hyun, J.W.; Dufour, P.; Marchal, J.; Bischoff, P. Effect of 6 (5H)-phenanthridinone, a poly (ADP-ribose) polymerase inhibitor, and ionizing radiation on the growth of cultured lymphoma cells. Int. J. Radiat. Biol. 1997, 72, 685–692. [Google Scholar] [CrossRef]
- Li, J.-H.; Serdyuk, L.; Ferraris, D.V.; Xiao, G.; Tays, K.L.; Kletzly, P.W.; Li, W.; Lautar, S.; Zhang, J.; Kalish, V.J. Synthesis of substituted 5 [H] phenanthridin-6-ones as potent poly (ADP-ribose) polymerase-1 (PARP1) inhibitors. Bioorganic Med. Chem. Lett. 2001, 11, 1687–1690. [Google Scholar] [CrossRef]
- Aldinucci, A.; Gerlini, G.; Fossati, S.; Cipriani, G.; Ballerini, C.; Biagioli, T.; Pimpinelli, N.; Borgognoni, L.; Massacesi, L.; Moroni, F.; et al. A key role for poly (ADP-ribose) polymerase-1 activity during human dendritic cell maturation. J. Immunol. 2007, 179, 305–312. [Google Scholar] [CrossRef]
- Bellocchi, D.; Macchiarulo, A.; Costantino, G.; Pellicciari, R. Docking studies on PARP-1 inhibitors: Insights into the role of a binding pocket water molecule. Bioorganic Med. Chem. 2005, 13, 1151–1157. [Google Scholar] [CrossRef] [PubMed]
- Scott, G.S.; Kean, R.B.; Mikheeva, T.; Fabis, M.J.; Mabley, J.G.; Szabo, C.; Hooper, D.C. The therapeutic effects of PJ34 [N-(6-oxo-5,6-dihydrophenanthridin-2-yl)-N, N-dimethylacetamide. HCl], a selective inhibitor of poly (ADP-ribose) polymerase, in experimental allergic encephalomyelitis are associated with immunomodulation. J. Pharmacol. Exp. Ther. 2004, 310, 1053–1061. [Google Scholar] [CrossRef] [PubMed] [Green Version]
- Lehtiö, L.; Jemth, A.-S.; Collins, R.; Loseva, O.; Johansson, A.; Markova, N.; Hammarström, M.; Flores, A.; Holmberg-Schiavone, L.; Weigelt, J.; et al. Structural basis for inhibitor specificity in human poly (ADP-ribose) polymerase-3. J. Med. Chem. 2009, 52, 3108–3111. [Google Scholar] [CrossRef] [PubMed]
- Yam-Canul, P.; Chirino, Y.I.; Sánchez-González, D.J.; Martínez-Martínez, C.M.; Cruz, C.; Pedraza-Chaverri, J. PJ34, a Poly Adenosine Diphosphate-Ribose Polymerase Inhibitor, Attenuates Chromate-Induced Nephrotoxicity. Basic Clin. Pharmacol. Toxicol. 2008, 102, 483–488. [Google Scholar] [CrossRef] [PubMed]
- Li, T.-K.; Houghton, P.J.; Desai, S.D.; Daroui, P.; Liu, A.A.; Hars, E.S.; Ruchelman, A.L.; LaVoie, E.J.; Liu, L.F. Characterization of ARC-111 as a novel topoisomerase I-targeting anticancer drug. Cancer Res. 2003, 63, 8400–8407. [Google Scholar]
- Baunach, M.; Ding, L.; Bruhn, T.; Bringmann, G.; Hertweck, C. Regiodivergent N-C and N-N aryl coupling reactions of indoloterpenes and cycloether formation mediated by a single bacterial flavoenzyme. Angew. Chem. Int. Ed. Engl. 2013, 52, 9040–9043. [Google Scholar] [CrossRef]
- Rayadurgam, J.; Sana, S.; Sasikumar, M.; Gu, Q. Palladium catalyzed C–C and C–N bond forming reactions: An update on the synthesis of pharmaceuticals from 2015–2020. Org. Chem. Front. 2021, 8, 384–414. [Google Scholar] [CrossRef]
- Siddiqui, M.A.; Snieckus, V. The directed metalation connection to aryl-aryl cross coupling. Regiospecific synthesis of phenanthridines, phenanthridinones and the biphenyl alkaloid ismine. Tetrahedron Lett. 1988, 29, 5463–5466. [Google Scholar] [CrossRef]
- Cailly, T.; Fabis, F.; Rault, S. A new, direct, and efficient synthesis of benzonaphthyridin-5-ones. Tetrahedron 2006, 62, 5862–5867. [Google Scholar] [CrossRef]
- Péron, F.; Fossey, C.; Cailly, T.; Fabis, F. N-Tosylcarboxamide as a Transformable Directing Group for Pd-Catalyzed C–H Ortho-Arylation. Org. Lett. 2012, 14, 1827–1829. [Google Scholar] [CrossRef]
- Wang, G.-W.; Yuan, T.-T.; Li, D.-D. One-Pot Formation of C–C and C–N Bonds through Palladium-Catalyzed Dual C–H Activation: Synthesis of Phenanthridinones. Angew. Chem. Int. Ed. 2011, 50, 1380–1383. [Google Scholar] [CrossRef] [PubMed]
- Saha, R.; Sekar, G. Stable Pd-nanoparticles catalyzed domino CH activation/CN bond formation strategy: An access to phenanthridinones. J. Catal. 2018, 366, 176–188. [Google Scholar] [CrossRef]
- Karthikeyan, J.; Cheng, C.-H. Synthesis of Phenanthridinones from N-Methoxybenzamides and Arenes by Multiple Palladium-Catalyzed C–H Activation Steps at Room Temperature. Angew. Chem. Int. Ed. 2011, 50, 9880–9883. [Google Scholar] [CrossRef] [PubMed]
- Karthikeyan, J.; Haridharan, R.; Cheng, C.H. Rhodium (III)-Catalyzed Oxidative C–H Coupling of N-Methoxybenzamides with Aryl Boronic Acids: One-Pot Synthesis of Phenanthridinones. Angew. Chem. 2012, 124, 12509–12513. [Google Scholar] [CrossRef]
- Senthilkumar, N.; Parthasarathy, K.; Gandeepan, P.; Cheng, C.-H. Synthesis of Phenanthridinones from N-Methoxybenzamides and Aryltriethoxysilanes through RhIII-Catalyzed C–H and N-H Bond Activation. Chem. Asian J. 2013, 8, 2175–2181. [Google Scholar] [CrossRef]
- Caddick, S.; Kofie, W. Observations on the intramolecular Heck reactions of aromatic chlorides using palladium/imidazolium salts. Tetrahedron Lett. 2002, 43, 9347–9350. [Google Scholar] [CrossRef]
- Ferraccioli, R.; Carenzi, D.; Rombola, O.; Catellani, M. Synthesis of 6-Phenanthridinones and Their Heterocyclic Analogues through Palladium-Catalyzed Sequential Aryl–Aryl and N-Aryl Coupling. Org. Lett. 2004, 6, 4759–4762. [Google Scholar] [CrossRef]
- Banerji, B.; Chatterjee, S.; Chandrasekhar, K.; Nayan, C.; Killi, S.K. Palladium-Catalyzed Direct Synthesis of Phenanthridones from Benzamides through Tandem N–H/C–H Arylation. Eur. J. Org. Chem. 2017, 2017, 5214–5218. [Google Scholar] [CrossRef]
- Li, X.; Pan, J.; Song, S.; Jiao, N. Pd-catalyzed dehydrogenative annulation approach for the efficient synthesis of phenanthridinones. Chem. Sci. 2016, 7, 5384–5389. [Google Scholar] [CrossRef] [Green Version]
- Furuta, T.; Yamamoto, J.; Kitamura, Y.; Hashimoto, A.; Masu, H.; Azumaya, I.; Kan, T.; Kawabata, T. Synthesis of axially chiral amino acid and amino alcohols via additive–ligand-free Pd-catalyzed domino coupling reaction and subsequent transformations of the product amidoaza [5] helicene. J. Org. Chem. 2010, 75, 7010–7013. [Google Scholar] [CrossRef]
- Donati, L.; Michel, S.; Tillequin, F.; Porée, F.-H. Selective Unusual Pd-Mediated Biaryl Coupling Reactions: Solvent Effects with Carbonate Bases. Org. Lett. 2010, 12, 156–158. [Google Scholar] [CrossRef]
- Donati, L.; Leproux, P.; Prost, E.; Michel, S.; Tillequin, F.; Gandon, V.; Porée, F.H. Solvent/Base Effects in the Selective Domino Synthesis of Phenanthridinones That Involves High-Valent Palladium Species: Experimental and Theoretical Studies. Chem. Eur. J. 2011, 17, 12809–12819. [Google Scholar] [CrossRef] [PubMed]
- Liu, H.; Han, W.; Li, C.; Ma, Z.; Li, R.; Zheng, X.; Fu, H.; Chen, H. Practical Synthesis of Phenanthridinones by Palladium-Catalyzed One-Pot C–C and C–N Coupling Reaction: Extending the Substrate Scope to o-Chlorobenzamides. Eur. J. Org. Chem. 2016, 2016, 389–393. [Google Scholar] [CrossRef]
- Hu, Q.-F.; Gao, T.-T.; Shi, Y.-J.; Lei, Q.; Yu, L.-T. Palladium-catalyzed intramolecular C–H arylation of 2-halo-N-Boc-N-arylbenzamides for the synthesis of N–H phenanthridinones. RSC Adv. 2018, 8, 13879–13890. [Google Scholar] [CrossRef] [Green Version]
- Takamatsu, K.; Hirano, K.; Miura, M. Copper-Mediated Decarboxylative Coupling of Benzamides with ortho-Nitrobenzoic Acids by Directed C–H Cleavage. Angew. Chem. Int. Ed. 2017, 56, 1–6. [Google Scholar] [CrossRef]
- Li, D.; Xu, N.; Zhang, Y.; Wang, L. A highly efficient Pd-catalyzed decarboxylative ortho-arylation of amides with aryl acylperoxides. Chem. Commun. 2014, 50, 14862–14865. [Google Scholar] [CrossRef] [PubMed]
- Lamba, J.J.S.; Tour, J.M. Imine-Bridged Planar Poly(p-phenylene) Derivatives for Maximization of Extended π-Conjugation. The Common Intermediate Approach. J. Am. Chem. Soc. 1994, 116, 11723–11736. [Google Scholar] [CrossRef]
- Tanimoto, K.; Nakagawa, N.; Takeda, K.; Kirihata, M.; Tanimori, S. A convenient one-pot access to phenanthridinones via Suzuki–Miyaura cross-coupling reaction. Tetrahedron Lett. 2013, 54, 3712–3714. [Google Scholar]
- Kuwata, Y.; Sonoda, M.; Tanimori, S. Facile Synthesis of Phenanthridinone Alkaloids via Suzuki–Miyaura Cross-coupling. J. Heterocycl. Chem. 2017, 54, 1645–1651. [Google Scholar] [CrossRef]
- Chen, Z.; Wang, X. A Pd-catalyzed, boron ester-mediated, reductive cross-coupling of two aryl halides to synthesize tricyclic biaryls. Org. Biomol. Chem. 2017, 15, 5790–5796. [Google Scholar]
- Gandeepan, P.; Rajamalli, P.; Cheng, C.-H. Palladium-catalyzed C–H activation and cyclization of anilides with 2-iodoacetates and 2-iodobenzoates: An efficient method toward oxindoles and phenanthridones. Synthesis 2016, 48, 1872–1879. [Google Scholar] [CrossRef]
- Nealmongkol, P.; Calmes, J.; Ruchirawat, S.; Thasana, N. Synthesis of phenanthridinones using Cu-or Pd-mediated C–N bond formation. Tetrahedron 2017, 73, 735–741. [Google Scholar] [CrossRef]
- Ding, X.; Zhang, L.; Mao, Y.; Rong, B.; Zhu, N.; Duan, J.; Guo, K. Synthesis of Phenanthridinones by Palladium-Catalyzed Cyclization of N-Aryl-2-aminopyridines with 2-Iodobenzoic Acids in Water. Synlett 2020, 31, 280–284. [Google Scholar] [CrossRef]
- Lu, C.; Dubrovskiy, A.V.; Larock, R.C. Palladium-Catalyzed Annulation of Arynes by ortho-Halobenzamides: Synthesis of Phenanthridinones. J. Org. Chem. 2012, 77, 8648–8656. [Google Scholar] [CrossRef] [PubMed] [Green Version]
- Pimparkar, S.; Jeganmohan, M. Palladium-catalyzed cyclization of benzamides with arynes: Application to the synthesis of phenaglydon and N-methylcrinasiadine. Chem. Commun. 2014, 50, 12116–12119. [Google Scholar] [CrossRef] [PubMed]
- Zhang, T.-Y.; Lin, J.-B.; Li, Q.-Z.; Kang, J.-C.; Pan, J.-L.; Hou, S.-H.; Chen, C.; Zhang, S.-Y. Copper-Catalyzed Selective ortho-C–H/N–H Annulation of Benzamides with Arynes: Synthesis of Phenanthridinone Alkaloids. Org. Lett. 2017, 19, 1764–1767. [Google Scholar] [CrossRef]
- Feng, M.; Tang, B.; Wang, N.; Xu, H.X.; Jiang, X. Ligand Controlled Regiodivergent C1 Insertion on Arynes for Construction of Phenanthridinone and Acridone Alkaloids. Angew. Chem. Int. Ed. 2015, 54, 14960–14964. [Google Scholar] [CrossRef]
- Yang, Y.; Huang, H.; Wu, L. Palladium-catalyzed annulation of benzynes with N-substituted-N-(2-halophenyl) formamides: Synthesis of phenanthridinones. Org. Biomol. Chem. 2014, 12, 5351–5355. [Google Scholar] [CrossRef] [PubMed]
- Feng, M.; Tang, B.; Xu, H.-X.; Jiang, X. Collective Synthesis of Phenanthridinone through C–H Activation Involving a Pd-Catalyzed Aryne Multicomponent Reaction. Org. Lett. 2016, 18, 4352–4355. [Google Scholar] [CrossRef]
- Zhao, J.; Li, H.; Li, P.; Wang, L. Annulation of Benzamides with Arynes Using Palladium with Photoredox Dual Catalysis. J. Org. Chem. 2019, 84, 9007–9016. [Google Scholar] [CrossRef]
- Liang, Z.; Zhang, J.; Liu, Z.; Wang, K.; Zhang, Y. Pd (II)-catalyzed C (sp2)–H carbonylation of biaryl-2-amine: Synthesis of phenanthridinones. Tetrahedron 2013, 69, 6519–6526. [Google Scholar] [CrossRef]
- Liang, D.; Hu, Z.; Peng, J.; Huang, J.; Zhu, Q. Synthesis of phenanthridinones via palladium-catalyzed C (sp2)–H aminocarbonylation of unprotected o-arylanilines. Chem. Commun. 2013, 49, 173–175. [Google Scholar] [CrossRef]
- Rajeshkumar, V.; Lee, T.-H.; Chuang, S.-C. Palladium-catalyzed oxidative insertion of carbon monoxide to N-sulfonyl-2-aminobiaryls through C–H bond activation: Access to bioactive phenanthridinone derivatives in one pot. Org. Lett. 2013, 15, 1468–1471. [Google Scholar] [CrossRef] [PubMed]
- Nageswar Rao, D.; Rasheed, S.; Das, P. Palladium/Silver Synergistic Catalysis in Direct Aerobic Carbonylation of C(sp2)–H Bonds Using DMF as a Carbon Source: Synthesis of Pyrido-Fused Quinazolinones and Phenanthridinones. Org. Lett. 2016, 18, 3142–3145. [Google Scholar] [CrossRef] [PubMed]
- Ling, F.; Zhang, C.; Ai, C.; Lv, Y.; Zhong, W. Metal-Oxidant-Free Cobalt-Catalyzed C (sp2)–H Carbonylation of ortho-Arylanilines: An Approach toward Free (NH)-Phenanthridinones. J. Org. Chem. 2018, 83, 5698–5706. [Google Scholar] [CrossRef] [PubMed]
- Zhou, Q.J.; Worm, K.; Dolle, R.E. 10-Hydroxy-10,9-boroxarophenanthrenes: Versatile synthetic intermediates to 3,4-benzocoumarins and triaryls. J. Org. Chem. 2004, 69, 5147–5149. [Google Scholar] [CrossRef] [PubMed]
- Wang, S.; Shao, P.; Du, G.; Xi, C. MeOTf-and TBD-mediated carbonylation of ortho-arylanilines with CO2 leading to phenanthridinones. J. Org. Chem. 2016, 81, 6672–6676. [Google Scholar] [CrossRef] [PubMed]
- Li, L.; Chen, J.J.; Kan, X.L.; Zhang, L.; Zhao, Y.L.; Liu, Q. One-Pot Synthesis of Phenanthridinones by Using a Base-Catalyzed/Promoted Bicyclization of α, β-Unsaturated Carbonyl Compounds with Dimethyl Glutaconate. Eur. J. Org. Chem. 2015, 2015, 4892–4899. [Google Scholar] [CrossRef]
- Gao, Y.; Cai, Z.; Li, S.; Li, G. Rhodium (I)-Catalyzed Aryl C–H Carboxylation of 2-Arylanilines with CO2. Org. Lett. 2019, 21, 3663–3669. [Google Scholar] [CrossRef]
- Hussain, I.; Singh, T. Synthesis of Biaryls through Aromatic C–H Bond Activation: A Review of Recent Developments. Adv. Synth. Catal. 2014, 356, 1661–1696. [Google Scholar] [CrossRef]
- Hassan, J.; Sévignon, M.; Gozzi, C.; Schulz, E.; Lemaire, M. Aryl–Aryl Bond Formation One Century after the Discovery of the Ullmann Reaction. Chem. Rev. 2002, 102, 1359–1470. [Google Scholar] [CrossRef]
- Ames, D.E.; Opalko, A. Palladium-catalysed cyclisation of 2-substituted halogenoarenes by dehydrohalogenation. Tetrahedron 1984, 40, 1919–1925. [Google Scholar] [CrossRef]
- Harayama, T.; Kawata, Y.; Nagura, C.; Sato, T.; Miyagoe, T.; Abe, H.; Takeuchi, Y. Effect of oxygen substituents on the regioselectivity of the Pd-assisted biaryl coupling reaction of benzanilides. Tetrahedron Lett. 2005, 46, 6091–6094. [Google Scholar] [CrossRef]
- Campeau, L.-C.; Parisien, M.; Jean, A.; Fagnou, K. Catalytic direct arylation with aryl chlorides, bromides, and iodides: Intramolecular studies leading to new intermolecular reactions. J. Am. Chem. Soc. 2006, 128, 581–590. [Google Scholar] [CrossRef]
- Bernardo, P.H.; Fitriyanto, W.; Chai, C.L. Palladium-mediated synthesis of calothrixin B. Synlett 2007, 2007, 1935–1939. [Google Scholar] [CrossRef]
- Bernini, R.; Cacchi, S.; Fabrizi, G.; Sferrazza, A. A simple general approach to phenanthridinones via palladium-catalyzed intramolecular direct arene arylation. Synthesis 2008, 2008, 729–738. [Google Scholar] [CrossRef]
- Roman, D.S.; Takahashi, Y.; Charette, A.B. Potassium tert-butoxide promoted intramolecular arylation via a radical pathway. Org. Lett. 2011, 13, 3242–3245. [Google Scholar] [CrossRef] [PubMed]
- Ohno, H.; Iwasaki, H.; Eguchi, T.; Tanaka, T. The first samarium (II)-mediated aryl radical cyclisation onto an aromatic ring. Chem. Commun. 2004, 2004, 2228–2229. [Google Scholar] [CrossRef] [PubMed]
- Yeung, C.S.; Zhao, X.; Borduas, N.; Dong, V.M. Pd-catalyzed ortho-arylation of phenylacetamides, benzamides, and anilides with simple arenes using sodium persulfate. Chem. Sci. 2010, 1, 331–336. [Google Scholar] [CrossRef]
- Ishida, N.; Nakanishi, Y.; Moriya, T.; Murakami, M. Synthesis of Phenanthridinones and Phenanthridine Derivatives through Palladium-catalyzed Oxidative C–H Coupling of Benzanilides. Chem. Lett. 2011, 40, 1047–1049. [Google Scholar] [CrossRef]
- Yu, Q.; Zhang, N.; Tang, Y.; Lu, H.; Huang, J.; Wang, S.; Du, Y.; Zhao, K. Copper(II)-Mediated Cascade Oxidative C–C Coupling and Aromatization: Synthesis of 3-Hydroxyphenanthridinone Derivatives. Synthesis 2012, 44, 2374–2384. [Google Scholar] [CrossRef]
- Bao, H.; Hu, X.; Zhang, J.; Liu, Y. Cu(0)/Selectfluor system-catalyzed intramolecular Csp2-H/Csp2-Hcross-dehydrogenative coupling (CDC). Tetrahedron 2019, 75, 130533. [Google Scholar] [CrossRef]
- Moreno, I.; Tellitu, I.; Etayo, J.; SanMartín, R.; Domínguez, E. Novel applications of hypervalent iodine: PIFA mediated synthesis of benzo [c] phenanthiridines and benzo [c] phenanthridinones. Tetrahedron 2001, 57, 5403–5411. [Google Scholar] [CrossRef]
- Bhakuni, B.S.; Kumar, A.; Balkrishna, S.J.; Sheikh, J.A.; Konar, S.; Kumar, S. KOtBu Mediated Synthesis of Phenanthridinones and Dibenzoazepinones. Org. Lett. 2012, 14, 2838–2841. [Google Scholar] [CrossRef] [PubMed]
- Sharma, S.; Kumar, M.; Sharma, S.; Nayal, O.S.; Kumar, N.; Singh, B.; Sharma, U. Microwave assisted synthesis of phenanthridinones and dihydrophenanthridines by vasicine/KO t Bu promoted intramolecular C–H arylation. Org. Biomol. Chem. 2016, 14, 8536–8544. [Google Scholar] [CrossRef] [PubMed]
- Yadav, L.; Tiwari, M.K.; Shyamlal, B.R.K.; Chaudhary, S. Organocatalyst in direct C(sp2)–H arylation of unactivated arenes: [1-(2-Hydroxyethyl)-piperazine]-Catalyzed Inter-/Intra-molecular C–H bond activation. J. Org. Chem. 2020, 85, 8121–8141. [Google Scholar] [CrossRef]
- Abel-Snape, X.; Whyte, A.; Lautens, M. Synthesis of aminated phenanthridinones via palladium/Norbornene catalysis. Org. Lett. 2020, 22, 7920–7925. [Google Scholar] [CrossRef]
- Bariwal, J.; Van der Eycken, E. C–N bond forming cross-coupling reactions: An overview. Chem. Soc. Rev. 2013, 42, 9283–9303. [Google Scholar] [CrossRef]
- Inamoto, K.; Saito, T.; Hiroya, K.; Doi, T. Palladium-Catalyzed Intramolecular Amidation of C(sp2)–H Bonds: Synthesis of 4-Aryl-2-quinolinones. J. Org. Chem. 2010, 75, 3900–3903. [Google Scholar] [CrossRef]
- Gui, Q.; Yang, Z.; Chen, X.; Liu, J.; Tan, Z.; Guo, R.; Yu, W. Synthesis of Phenanthridin-6(5H)-ones via Copper-Catalyzed Cyclization of 2-Phenylbenzamides. Synlett 2013, 24, 1016–1020. [Google Scholar]
- Liang, D.; Sersen, D.; Yang, C.; Deschamps, J.R.; Imler, G.H.; Jiang, C.; Xue, F. One-pot sequential reaction to 2-substituted-phenanthridinones from N-methoxybenzamides. Org. Biomol. Chem. 2017, 15, 4390–4398. [Google Scholar] [CrossRef]
- Liang, D.; Yu, W.; Nguyen, N.; Deschamps, J.R.; Imler, G.H.; Li, Y.; MacKerell , A., Jr.; Jiang, C.; Xue, F. Iodobenzene-Catalyzed Synthesis of Phenanthridinones via Oxidative C–H Amidation. J. Org. Chem. 2017, 82, 3589–3596. [Google Scholar] [CrossRef]
- Subramanian, K.; Yedage, S.L.; Sethi, K.; Bhanage, B.M. Tetrabutylammonium Iodide (TBAI) Catalyzed Electrochemical C–H Bond Activation of 2-arylated N-methoxyamides for the synthesis of phenanthridinones. Synlett 2021, 32, 999–1003. [Google Scholar]
- Wu, L.; Hao, Y.; Liu, Y.; Wang, Q. NIS-mediated oxidative arene C(sp2)–H amidation toward 3,4-dihydro-2(1H)-quinolinone, phenanthridone, and N-fused spirolactam derivatives. Org. Biomol. Chem. 2019, 17, 6762–6770. [Google Scholar] [CrossRef]
- Verma, A.; Singh Banjara, L.; Meena, R.; Kumar, S. Transition-Metal-Free synthesis of N-Substituted phenanthridinones and spiro-isoindolinones: C(sp2)–N and C(sp2)–O coupling through radical pathway. Asian J. Org. Chem. 2020, 9, 105–110. [Google Scholar] [CrossRef] [Green Version]
- Sen, A.; Dhital, R.N.; Sato, T.; Ohno, A.; Yamada, Y.M. Switching from biaryl formation to amidation with convoluted polymeric nickel catalysis. ACS Catal. 2020, 18, 14410–14418. [Google Scholar] [CrossRef]
- Cailly, T.; Fabis, F.; Legay, R.; Oulyadi, H.; Rault, S. The synthesis of three new heterocycles: The pyrido [4,3 or 3,4 or 2,3-c]-1,5-naphthyridines. Tetrahedron 2007, 63, 71–76. [Google Scholar] [CrossRef]
- Dubost, E.; Magnelli, R.; Cailly, T.; Legay, R.; Fabis, F.; Rault, S. General method for the synthesis of substituted phenanthridin-6(5H)-ones using a KOH-mediated anionic ring closure as the key step. Tetrahedron 2010, 66, 5008–5016. [Google Scholar] [CrossRef]
- Chen, Y.-F.; Wu, Y.-S.; Jhan, Y.-H.; Hsieh, J.-C. An efficient synthesis of (NH)-phenanthridinones via ligand-free copper-catalyzed annulation. Org. Chem. Front. 2014, 1, 253–257. [Google Scholar] [CrossRef]
- Chen, W.-L.; Jhang, Y.-Y.; Hsieh, J.-C. Copper-catalyzed intramolecular C–N coupling reaction of aryl halide with amide. Res. Chem. Intermed. 2017, 43, 3517–3526. [Google Scholar] [CrossRef]
- Fan-Chiang, T.-T.; Wang, H.-K.; Hsieh, J.-C. Synthesis of phenanthridine skeletal Amaryllidaceae alkaloids. Tetrahedron 2016, 72, 5640–5645. [Google Scholar] [CrossRef]
- Wu, M.-J.; Lin, C.-F.; Chen, S.-H. Double anionic cycloaromatization of 2-(6-substituted-3-hexene-1, 5-diynyl) benzonitriles initiated by methoxide addition. Org. Lett. 1999, 1, 767–768. [Google Scholar] [CrossRef]
- Wu, M.-J.; Lin, C.-F.; Lu, W.-D. Anionic Cycloaromatization of 1-Aryl-3-hexen-1,5-diynes Initiated by Methoxide Addition: Synthesis of Phenanthridinones, Benzo[c]phenanthridinones, and Biaryls. J. Org. Chem. 2002, 67, 5907–5912. [Google Scholar] [CrossRef]
- Wang, Q.; Su, Y.; Li, L.; Huang, H. Transition-metal catalysed C–N bond activation. Chem. Soc. Rev. 2016, 45, 1257–1272. [Google Scholar] [CrossRef] [Green Version]
- Shen, Z.; Ni, Z.; Mo, S.; Wang, J.; Zhu, Y. Palladium-Catalyzed Intramolecular Decarboxylative Coupling of Arene Carboxylic Acids/Esters with Aryl Bromides. Chem. Eur. J. 2012, 18, 4859–4865. [Google Scholar] [CrossRef]
- Yuan, M.; Chen, L.; Wang, J.; Chen, S.; Wang, K.; Xue, Y.; Yao, G.; Luo, Z.; Zhang, Y. Transition-metal-free synthesis of phenanthridinones from biaryl-2-oxamic acid under radical conditions. Org. Lett. 2015, 17, 346–349. [Google Scholar] [CrossRef]
- Chen, J.-R.; Hu, X.-Q.; Lu, L.-Q.; Xiao, W.-J. Exploration of Visible-Light Photocatalysis in Heterocycle Synthesis and Functionalization: Reaction Design and Beyond. Acc. Chem. Res. 2016, 49, 1911–1923. [Google Scholar] [CrossRef] [PubMed]
- Mondon, A.; Krohn, K. Synthese des Narciprimins und verwandter Verbindungen. Chem. Ber. 1972, 105, 3726–3747. [Google Scholar] [CrossRef]
- Prabhakar, S.; Lobo, A.M.; Tavares, M.R. Boron complexes as control synthons in photocyclisations: An improved phenanthridine synthesis. J. Chem. Soc. Chem. Commun. 1978, 1978, 884–885. [Google Scholar] [CrossRef]
- Todorov, A.R.; Wirtanen, T.; Helaja, J. Photoreductive removal of O-benzyl groups from oxyarene N-heterocycles assisted by O-pyridine–pyridone tautomerism. J. Org. Chem. 2017, 82, 13756–13767. [Google Scholar] [CrossRef]
- Moon, Y.; Jang, E.; Choi, S.; Hong, S. Visible-light-photocatalyzed synthesis of phenanthridinones and quinolinones via direct oxidative C–H amidation. Org. Lett. 2018, 20, 240–243. [Google Scholar] [CrossRef] [PubMed]
- Usami, K.; Yamaguchi, E.; Tada, N.; Itoh, A. Transition-Metal-Free Synthesis of Phenanthridinones through Visible-Light-Driven Oxidative C–H Amidation. Eur. J. Org. Chem. 2020, 2020, 1496–1504. [Google Scholar] [CrossRef]
- Yaragorla, S.; Pareek, A.; Dada, R. Cycloisomerization of Oxindole-Derived 1,5-Enynes: A Calcium(II)-Catalyzed One-Pot, Solvent-free Synthesis of Phenanthridinones, 3-(Cyclopentenylidene)indolin-2-ones and 3-Spirocyclic Indolin-2-ones. Adv. Synth. Catal. 2017, 359, 3068–3075. [Google Scholar] [CrossRef]
- Alzaydi, K.M.; Abojabal, N.S.; Elnagdi, M.H. Multicomponent reactions in Q-Tubes™: One-pot synthesis of benzo[c]chromen-6-one and phenanthridin-6(5H)-one derivatives in a four-component reaction. Tetrahedron Lett. 2016, 57, 3596–3599. [Google Scholar] [CrossRef]
- Zou, S.; Zhang, Z.; Chen, C.; Xi, C. MeOTf-Catalyzed intramolecular acyl-cyclization of aryl isocyanates: Efficient access to phenanthridin-6(5H)-one and 3, 4-Dihydroisoquinolin-1(2H)-one derivatives. Asian J. Org. Chem. 2021, 10, 355–359. [Google Scholar] [CrossRef]

























Publisher’s Note: MDPI stays neutral with regard to jurisdictional claims in published maps and institutional affiliations. |
© 2021 by the authors. Licensee MDPI, Basel, Switzerland. This article is an open access article distributed under the terms and conditions of the Creative Commons Attribution (CC BY) license (https://creativecommons.org/licenses/by/4.0/).
Share and Cite
Aleti, R.R.; Festa, A.A.; Voskressensky, L.G.; Van der Eycken, E.V. Synthetic Strategies in the Preparation of Phenanthridinones. Molecules 2021, 26, 5560. https://doi.org/10.3390/molecules26185560
Aleti RR, Festa AA, Voskressensky LG, Van der Eycken EV. Synthetic Strategies in the Preparation of Phenanthridinones. Molecules. 2021; 26(18):5560. https://doi.org/10.3390/molecules26185560
Chicago/Turabian StyleAleti, Rajeshwar Reddy, Alexey A. Festa, Leonid G. Voskressensky, and Erik V. Van der Eycken. 2021. "Synthetic Strategies in the Preparation of Phenanthridinones" Molecules 26, no. 18: 5560. https://doi.org/10.3390/molecules26185560
APA StyleAleti, R. R., Festa, A. A., Voskressensky, L. G., & Van der Eycken, E. V. (2021). Synthetic Strategies in the Preparation of Phenanthridinones. Molecules, 26(18), 5560. https://doi.org/10.3390/molecules26185560
