Mathematical Analysis of Reaction–Diffusion Equations Modeling the Michaelis–Menten Kinetics in a Micro-Disk Biosensor
Abstract
:1. Introduction
- A mathematical model for micro-disk biosensor has been presented to investigate the influence of variations in different parameters on the dimensionless concentration of substrate and hydrogen peroxide.
- An artificial-neural-networks-based backpropagated Levenberg–Marquardt training (LMT) algorithm is developed to train the hidden neurons, calculate the validation of reference data-set generated by “pdex4” for different cases and scenarios of micro-disk biosensor.
- Extensive graphical analysis has been conducted based on mean square error (MSE), absolute errors, regression, curve fitting, and error histograms that show the technique’s convergence, accuracy, and computational complexity. 3D plots of dimensionless concentration for substrate and hydrogen peroxide are plotted against dimensionless distance R and reaction–diffusion parameters to study the behavior and changes in the model.
2. Problem Formulation
3. Reference Solutions
4. Design Methodology
5. Experimentation Setup and Discussion
6. Conclusions
Author Contributions
Funding
Institutional Review Board Statement
Informed Consent Statement
Data Availability Statement
Acknowledgments
Conflicts of Interest
References
- Turner, A.; Karube, I.; Wilson, G.S. Biosensors: Fundamentals and Applications; Oxford University Press: New York, NY, USA, 1987; p. 770. [Google Scholar]
- Monosik, R.; Stredansky, M.; Sturdik, E. Biosensors—Classification, characterization and new trends. Acta Chim. Slovaca 2012, 5, 109–120. [Google Scholar] [CrossRef] [Green Version]
- Salomi, R.J.; Sylvia, S.V.; Rajendran, L.; Abukhaled, M. Electric potential and surface oxygen ion density for planar, spherical and cylindrical metal oxide grains. Sens. Actuators B Chem. 2020, 321, 128576. [Google Scholar] [CrossRef]
- McNaught, A.D.; Wilkinson, A. Compendium of Chemical Terminology; Blackwell Science: Oxford, UK, 1997; Volume 1669. [Google Scholar]
- Thevenot, D.R.; Toth, K.; Durst, R.A.; Wilson, G.S. Electrochemical biosensors: Recommended definitions and classification. Pure Appl. Chem. 1999, 71, 2333–2348. [Google Scholar] [CrossRef] [Green Version]
- Ghindilis, A.L.; Atanasov, P.; Wilkins, M.; Wilkins, E. Immunosensors: Electrochemical sensing and other engineering approaches. Biosens. Bioelectron. 1998, 13, 113–131. [Google Scholar] [CrossRef]
- Yulaev, M.; Sitdikov, R.; Dmitrieva, N.; Yazynina, E.; Zherdev, A.; Dzantiev, B. Development of a potentiometric immunosensor for herbicide simazine and its application for food testing. Sens. Actuators B Chem. 2001, 75, 129–135. [Google Scholar] [CrossRef]
- Wilson, M.S.; Rauh, R.D. Novel amperometric immunosensors based on iridium oxide matrices. Biosens. Bioelectron. 2004, 19, 693–699. [Google Scholar] [CrossRef]
- Rogers, K.R. Biosensors for environmental applications. Biosens. Bioelectron. 1995, 10, 533–541. [Google Scholar] [CrossRef]
- Krishnamoorthy, S.; Makhijani, V.; Lei, M.; Giridharan, M.; Tisone, T. Computational studies of membrane-based test formats. In Proceedings of the Technical International Conference on Modeling and Simulation of Microsystems, San Diego, CA, USA, 27–29 March 2000; pp. 590–593. [Google Scholar]
- Park, S.J.; Taton, T.A.; Mirkin, C.A. Array-based electrical detection of DNA with nanoparticle probes. Science 2002, 295, 1503–1506. [Google Scholar] [CrossRef] [PubMed]
- Mell, L.D.; Maloy, J. Model for the amperometric enzyme electrode obtained through digital simulation and applied to the immobilized glucose oxidase system. Anal. Chem. 1975, 47, 299–307. [Google Scholar] [CrossRef]
- Dong, S.; Che, G. Electrocatalysis at a microdisk electrode modified with a redox species. J. Electroanal. Chem. Interfacial Electrochem. 1991, 309, 103–114. [Google Scholar] [CrossRef]
- Phanthong, C.; Somasundrum, M. The steady state current at a microdisk biosensor. J. Electroanal. Chem. 2003, 558, 1–8. [Google Scholar] [CrossRef]
- Eswari, A.; Rajendran, L. Analytical solution of steady state current at a microdisk biosensor. J. Electroanal. Chem. 2010, 641, 35–44. [Google Scholar] [CrossRef]
- Manimozhi, P.; Subbiah, A.; Rajendran, L. Solution of steady-state substrate concentration in the action of biosensor response at mixed enzyme kinetics. Sens. Actuators B Chem. 2010, 147, 290–297. [Google Scholar] [CrossRef]
- Eswari, A.; Rajendran, L. Analytical expressions of concentration and current in homogeneous catalytic reactions at spherical microelectrodes: Homotopy perturbation approach. J. Electroanal. Chem. 2011, 651, 173–184. [Google Scholar] [CrossRef]
- Loghambal, S.; Rajendran, L. Mathematical modeling in amperometric oxidase enzyme–membrane electrodes. J. Membr. Sci. 2011, 373, 20–28. [Google Scholar] [CrossRef]
- Visuvasam, J.; Meena, A.; Rajendran, L. New analytical method for solving nonlinear equation in rotating disk electrodes for second-order ECE reactions. J. Electroanal. Chem. 2020, 869, 114106. [Google Scholar] [CrossRef]
- Devi, M.C.; Pirabaharan, P.; Abukhaled, M.; Rajendran, L. Analysis of the steady-state behavior of pseudo-first-order EC-catalytic mechanism at a rotating disk electrode. Electrochim. Acta 2020, 345, 136175. [Google Scholar] [CrossRef]
- Odibat, Z.M.; Bertelle, C.; Aziz-Alaoui, M.; Duchamp, G.H. A multi-step differential transform method and application to non-chaotic or chaotic systems. Comput. Math. Appl. 2010, 59, 1462–1472. [Google Scholar] [CrossRef] [Green Version]
- Babolian, E.; Azizi, A.; Saeidian, J. Some notes on using the homotopy perturbation method for solving time-dependent differential equations. Math. Comput. Model. 2009, 50, 213–224. [Google Scholar] [CrossRef]
- Khan, N.A.; Sulaiman, M.; Aljohani, A.J.; Kumam, P.; Alrabaiah, H. Analysis of Multi-Phase Flow Through Porous Media for Imbibition Phenomena by Using the LeNN-WOA-NM Algorithm. IEEE Access 2020, 8, 196425–196458. [Google Scholar] [CrossRef]
- Khan, N.A.; Sulaiman, M.; Aljohani, A.J.; Bakar, M.A. Mathematical models of CBSC over wireless channels and their analysis by using the LeNN-WOA-NM algorithm. Eng. Appl. Artif. Intell. 2022, 107, 104537. [Google Scholar] [CrossRef]
- Ahmad, A.; Sulaiman, M.; Alhindi, A.; Aljohani, A.J. Analysis of temperature profiles in longitudinal fin designs by a novel neuroevolutionary approach. IEEE Access 2020, 8, 113285–113308. [Google Scholar] [CrossRef]
- Khan, N.A.; Sulaiman, M.; Kumam, P.; Bakar, M.A. Thermal analysis of conductive-convective-radiative heat exchangers with temperature dependent thermal conductivity. IEEE Access 2021, 9, 138876–138902. [Google Scholar] [CrossRef]
- Khan, N.A.; Khalaf, O.I.; Romero, C.A.T.; Sulaiman, M.; Bakar, M.A. Application of Euler Neural Networks with Soft Computing Paradigm to Solve Nonlinear Problems Arising in Heat Transfer. Entropy 2021, 23, 1053. [Google Scholar] [CrossRef] [PubMed]
- Ahmad, S.; Sulaiman, M.; Kumam, P.; Hussain, Z.; Asif Jan, M.; Mashwani, W.K.; Ullah, M. A novel population initialization strategy for accelerating levy flights based multi-verse optimizer. J. Intell. Fuzzy Syst. 2020, 39, 1–17. [Google Scholar] [CrossRef]
- Bukhari, A.H.; Sulaiman, M.; Raja, M.A.Z.; Islam, S.; Shoaib, M.; Kumam, P. Design of a hybrid NAR-RBFs neural network for nonlinear dusty plasma system. Alex. Eng. J. 2020, 59, 3325–3345. [Google Scholar] [CrossRef]
- Huang, W.; Jiang, T.; Zhang, X.; Khan, N.A.; Sulaiman, M. Analysis of Beam-Column Designs by Varying Axial Load with Internal Forces and Bending Rigidity Using a New Soft Computing Technique. Complexity 2021, 2021, 6639032. [Google Scholar] [CrossRef]
- Zhang, Y.; Lin, J.; Hu, Z.; Khan, N.A.; Sulaiman, M. Analysis of Third-Order Nonlinear Multi-Singular Emden–Fowler Equation by Using the LeNN-WOA-NM Algorithm. IEEE Access 2021, 9, 72111–72138. [Google Scholar] [CrossRef]
- Khan, N.A.; Sulaiman, M.; Kumam, P.; Aljohani, A.J. A new soft computing approach for studying the wire coating dynamics with Oldroyd 8-constant fluid. Phys. Fluids 2021, 33, 036117. [Google Scholar] [CrossRef]
- Ali, A.; Qadri, S.; Khan Mashwani, W.; Kumam, W.; Kumam, P.; Naeem, S.; Goktas, A.; Jamal, F.; Chesneau, C.; Anam, S.; et al. Machine learning based automated segmentation and hybrid feature analysis for diabetic retinopathy classification using fundus image. Entropy 2020, 22, 567. [Google Scholar] [CrossRef]
- He, J.H. Homotopy perturbation method: A new nonlinear analytical technique. Appl. Math. Comput. 2003, 135, 73–79. [Google Scholar] [CrossRef]
- He, J.H. Lagrange crisis and generalized variational principle for 3D unsteady flow. Int. J. Numer. Methods Heat Fluid Flow 2019, 30, 1189–1196. [Google Scholar] [CrossRef]
- Li, X.; He, J.H. Variational multi-scale finite element method for the two-phase flow of polymer melt filling process. Int. J. Numer. Methods Heat Fluid Flow 2019, 30, 1407–1426. [Google Scholar] [CrossRef]
- He, J.H.; Sun, C. A variational principle for a thin film equation. J. Math. Chem. 2019, 57, 2075–2081. [Google Scholar] [CrossRef]
- Akbari, M.; Ganji, D.; Majidian, A.; Ahmadi, A. Solving nonlinear differential equations of Vanderpol, Rayleigh and Duffing by AGM. Front. Mech. Eng. 2014, 9, 177–190. [Google Scholar] [CrossRef]
- Yu, D.N.; He, J.H.; Garcıa, A.G. Homotopy perturbation method with an auxiliary parameter for nonlinear oscillators. J. Low Freq. Noise Vib. Act. Control 2019, 38, 1540–1554. [Google Scholar] [CrossRef]
- Hasan, Y.Q.; Zhu, L.M. Modified Adomian decomposition method for singular initial value problems in the second-order ordinary differential equations. Surv. Math. Appl. 2008, 3, 183–193. [Google Scholar]
- Wazwaz, A.M. A reliable modification of Adomian decomposition method. Appl. Math. Comput. 1999, 102, 77–86. [Google Scholar] [CrossRef]
- He, J.H.; Ji, F.Y. Taylor series solution for Lane–Emden equation. J. Math. Chem. 2019, 57, 1932–1934. [Google Scholar] [CrossRef]
- He, J.H. Taylor series solution for a third order boundary value problem arising in architectural engineering. Ain Shams Eng. J. 2020, 11, 1411–1414. [Google Scholar] [CrossRef]
- Liao, S. Beyond Perturbation: Introduction to the Homotopy Analysis Method; CRC Press: Boca Raton, FL, USA, 2003. [Google Scholar]
- Eswari, A.; Saravanakumar, S. New Mathematical Analysis for Nonlinear Simultaneous Differential Equation in Micro-Disk Biosensor Using Hyperbolic Function Method. J. Electroanal. Chem. 2021, 880, 114827. [Google Scholar] [CrossRef]
- Aljohani, J.L.; Alaidarous, E.S.; Raja, M.A.Z.; Shoaib, M.; Alhothuali, M.S. Intelligent Computing through Neural Networks for Numerical Treatment of Non-Newtonian Wire Coating Analysis Model. Sci. Rep. 2021, 11, 9072. [Google Scholar] [CrossRef] [PubMed]

















| , | , | , | |||||||||||||
|---|---|---|---|---|---|---|---|---|---|---|---|---|---|---|---|
| R | HAM | HFM | MADM | Numerical | NNs–LMT | HAM | HFM | MADM | Numerical | NNs–LMT | HAM | HFM | MADM | Numerical | NNs–LMT |
| 1.0 | 0.7038 | 0.7013 | 0.7025 | 0.7003 | 0.7003 | 0.6102 | 0.6000 | 0.6110 | 0.6010 | 0.6010 | 0.5316 | 0.5310 | 0.5320 | 0.5300 | 0.5300 |
| 1.5 | 0.7109 | 0.7074 | 0.7099 | 0.7075 | 0.7075 | 0.6014 | 0.6070 | 0.6121 | 0.6072 | 0.6072 | 0.5432 | 0.5397 | 0.5390 | 0.5398 | 0.5398 |
| 2.0 | 0.7112 | 0.7103 | 0.7108 | 0.7105 | 0.7105 | 0.6123 | 0.6081 | 0.6129 | 0.6080 | 0.6080 | 0.5473 | 0.5418 | 0.5454 | 0.5420 | 0.5420 |
| 2.5 | 0.7196 | 0.7159 | 0.7177 | 0.7158 | 0.7158 | 0.6158 | 0.6132 | 0.6145 | 0.6125 | 0.6125 | 0.5467 | 0.5474 | 0.5498 | 0.5476 | 0.5476 |
| 3.0 | 0.7332 | 0.7326 | 0.7329 | 0.7327 | 0.7327 | 0.6297 | 0.6282 | 0.6298 | 0.6280 | 0.6280 | 0.5678 | 0.5650 | 0.5698 | 0.5651 | 0.5651 |
| 3.5 | 0.7565 | 0.7590 | 0.7662 | 0.7595 | 0.7595 | 0.6671 | 0.6621 | 0.6701 | 0.6621 | 0.6621 | 0.6089 | 0.6035 | 0.6094 | 0.6037 | 0.6037 |
| 4.0 | 0.8132 | 0.8131 | 0.8132 | 0.8131 | 0.8131 | 0.7219 | 0.7289 | 0.7324 | 0.7289 | 0.7289 | 0.6780 | 0.6794 | 0.6768 | 0.6795 | 0.6795 |
| 4.5 | 0.8896 | 0.8894 | 0.8895 | 0.8894 | 0.8894 | 0.8190 | 0.8260 | 0.8270 | 0.8260 | 0.8260 | 0.7936 | 0.7905 | 0.7897 | 0.7905 | 0.7905 |
| 5.0 | 1 | 1 | 1 | 1 | 1 | 0.9967 | 0.9965 | 0.9963 | 1 | 1 | 0.9999 | 0.9993 | 0.9998 | 0.9992 | 0.9992 |
| Case I | Case II | Case III | ||||
|---|---|---|---|---|---|---|
| Hidden Neurons | 60 | 60 | 60 | 60 | 60 | 60 |
| Training | ||||||
| Validation | ||||||
| Testing | ||||||
| Gradient | ||||||
| Mu | ||||||
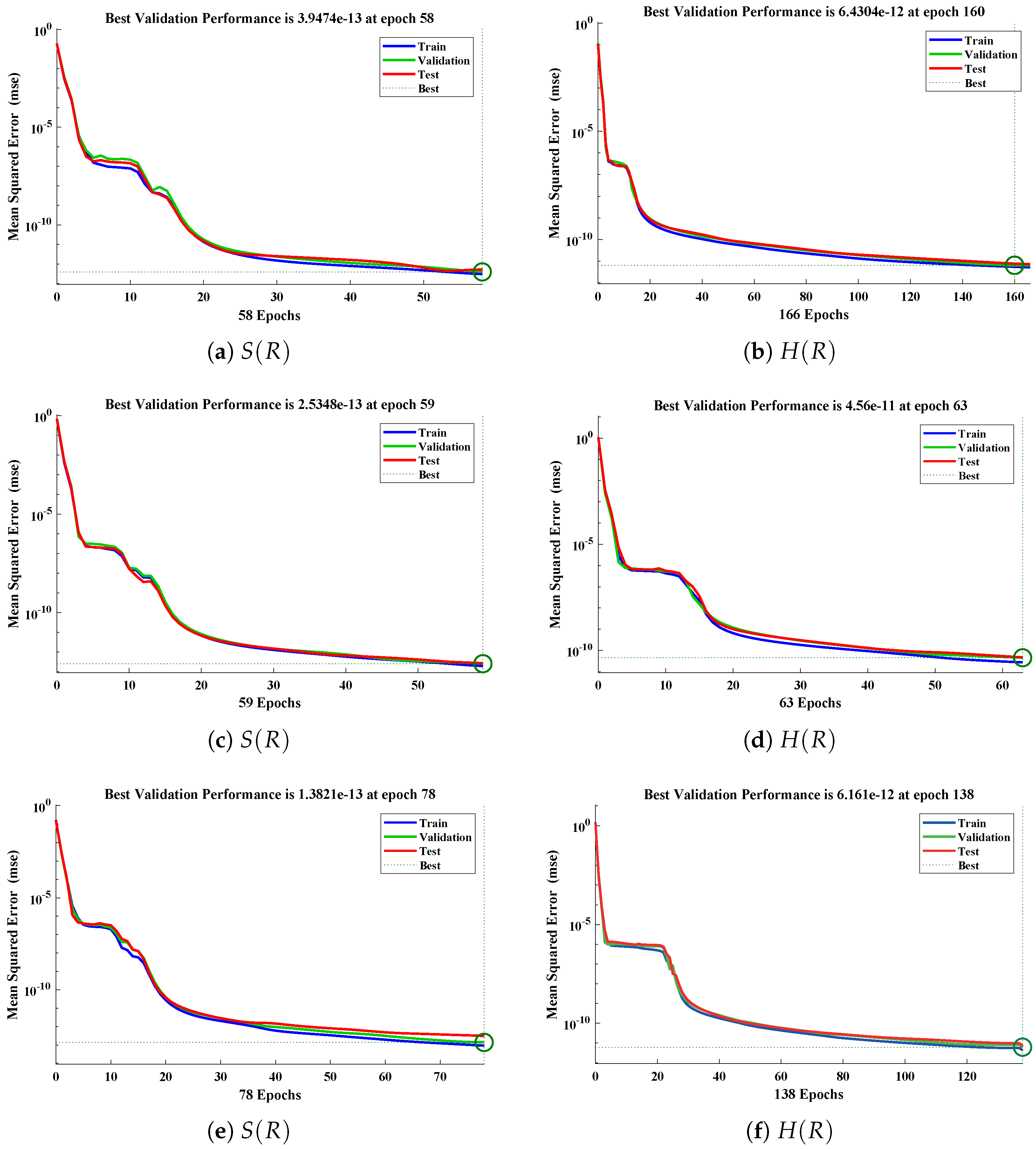
| Epochs | 58 | 166 | 59 | 63 | 78 | 138 |
| Regression | 1 | 1 | 1 | 1 | 1 | 1 |
| Time (s) | <1 s | <1 s | <1 s | <1 s | <1 s | <1 s |
| Case I | Case II | Case III | ||||
|---|---|---|---|---|---|---|
| Hidden Neurons | 60 | 60 | 60 | 60 | 60 | 60 |
| Training | ||||||
| Validation | ||||||
| Testing | ||||||
| Gradient | ||||||
| Mu | ||||||
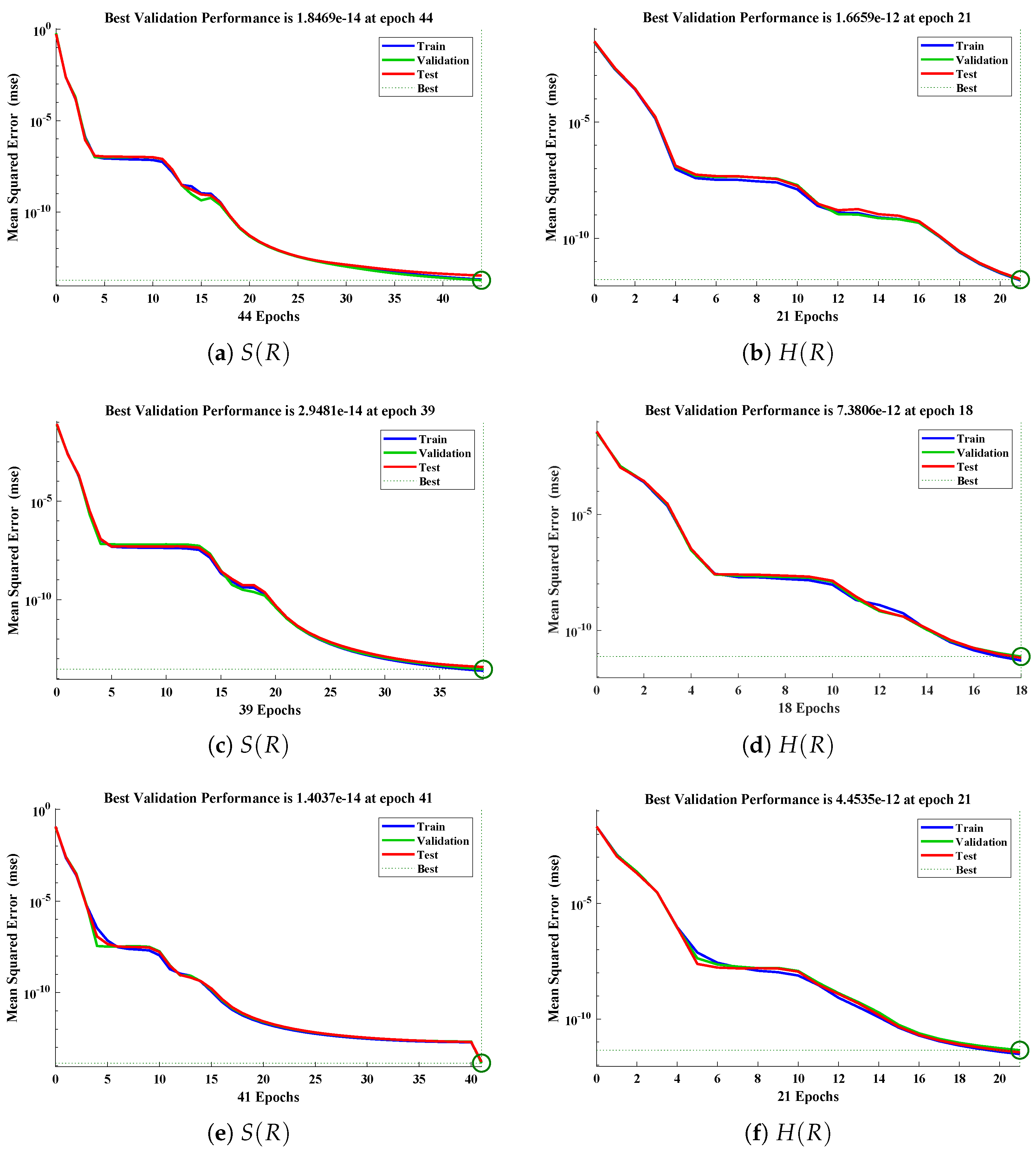
| Epochs | 44 | 21 | 39 | 18 | 41 | 21 |
| Time (s) | <1 s | <1 s | <1 s | <1 s | <1 s | <1 s |
| MSE | MAD | TIC | ENSE | ||||||||||
|---|---|---|---|---|---|---|---|---|---|---|---|---|---|
| Min. | Mean | Std. | Min. | Mean | Std. | Min. | Mean | Std. | Min. | Mean | Std. | ||
| Case I | |||||||||||||
| Case II | |||||||||||||
| Case III | |||||||||||||
| MSE | MAD | TIC | ENSE | ||||||||||
|---|---|---|---|---|---|---|---|---|---|---|---|---|---|
| Min. | Mean | Std. | Min. | Mean | Std. | Min. | Mean | Std. | Min. | Mean | Std. | ||
| Case I | |||||||||||||
| Case II | |||||||||||||
| Case III | |||||||||||||
Publisher’s Note: MDPI stays neutral with regard to jurisdictional claims in published maps and institutional affiliations. |
© 2021 by the authors. Licensee MDPI, Basel, Switzerland. This article is an open access article distributed under the terms and conditions of the Creative Commons Attribution (CC BY) license (https://creativecommons.org/licenses/by/4.0/).
Share and Cite
Khan, N.A.; Alshammari, F.S.; Romero, C.A.T.; Sulaiman, M.; Laouini, G. Mathematical Analysis of Reaction–Diffusion Equations Modeling the Michaelis–Menten Kinetics in a Micro-Disk Biosensor. Molecules 2021, 26, 7310. https://doi.org/10.3390/molecules26237310
Khan NA, Alshammari FS, Romero CAT, Sulaiman M, Laouini G. Mathematical Analysis of Reaction–Diffusion Equations Modeling the Michaelis–Menten Kinetics in a Micro-Disk Biosensor. Molecules. 2021; 26(23):7310. https://doi.org/10.3390/molecules26237310
Chicago/Turabian StyleKhan, Naveed Ahmad, Fahad Sameer Alshammari, Carlos Andrés Tavera Romero, Muhammad Sulaiman, and Ghaylen Laouini. 2021. "Mathematical Analysis of Reaction–Diffusion Equations Modeling the Michaelis–Menten Kinetics in a Micro-Disk Biosensor" Molecules 26, no. 23: 7310. https://doi.org/10.3390/molecules26237310
APA StyleKhan, N. A., Alshammari, F. S., Romero, C. A. T., Sulaiman, M., & Laouini, G. (2021). Mathematical Analysis of Reaction–Diffusion Equations Modeling the Michaelis–Menten Kinetics in a Micro-Disk Biosensor. Molecules, 26(23), 7310. https://doi.org/10.3390/molecules26237310

