Occurrence of Double Bond in π-Aromatic Rings: An Easy Way to Design Doubly Aromatic Carbon-Metal Structures
Abstract
:1. Introduction
2. Theoretical Methods
3. Results and Discussion
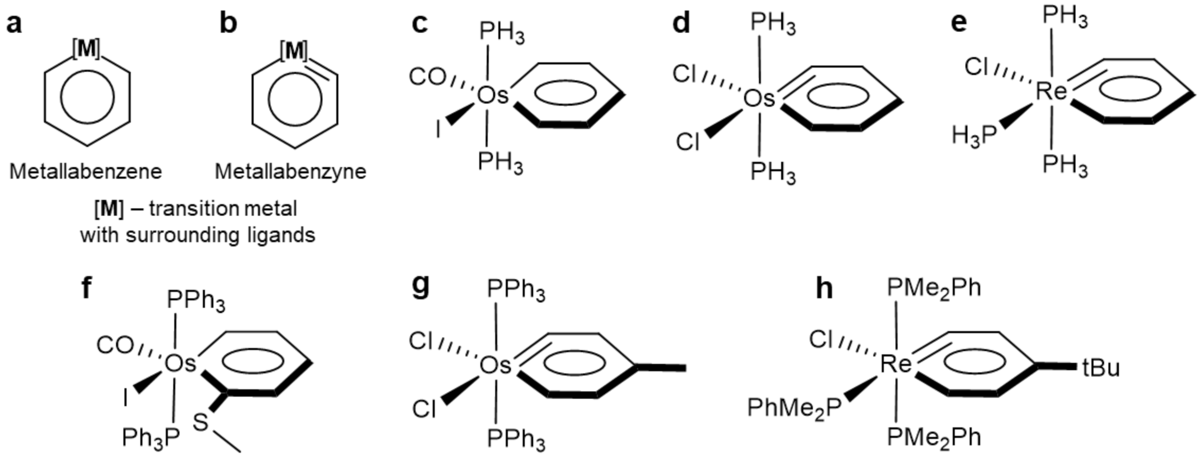
3.1. Hückel’s [4n+2] π-Aromaticity of Metallabenzenes and Metallabenzynes
3.2. Hückel’s [4n+2] σ- and π- Double Aromaticity of Novel Carbon-Metal Structures
4. Conclusions
Supplementary Materials
Author Contributions
Funding
Institutional Review Board Statement
Informed Consent Statement
Data Availability Statement
Acknowledgments
Conflicts of Interest
References
- Thorn, D.L.; Hoffmann, R. Delocalization in metallocycles. Nouv. J. Chim. 1979, 3, 39–45. [Google Scholar]
- Elliot, G.P.; Roper, W.R.; Waters, J.M. Metallacyclohexatrienes or ‘metallabenzenes’. Synthesis of osmabenzene derivatives and X-ray crystal structure of [Os(CSCHCHCHCH)(CO)(PPh3)2]. J. Chem. Soc. Chem. Commun. 1982, 811–813. [Google Scholar] [CrossRef]
- Bleeke, J.R. Metallabenzenes. Chem. Rev. 2001, 101, 1205–1228. [Google Scholar] [CrossRef] [PubMed]
- Wright, L.J. Metallabenzenes and metallabenzenoids. Dalton Trans. 2006, 1821–1827. [Google Scholar] [CrossRef]
- Frogley, B.J.; Wright, L.J. Recent advances in metallaaromatic chemistry. Chem. Eur. J. 2018, 24, 2025–2038. [Google Scholar] [CrossRef]
- Zhu, J.; Jia, G.; Lin, Z. Understanding nonplanarity in metallabenzene complexes. Organometallics 2007, 26, 1986–1995. [Google Scholar] [CrossRef]
- Jia, G. Our journey to the chemistry of metallabenzynes. Organometallics 2013, 32, 6852–6866. [Google Scholar] [CrossRef]
- Jia, G. Recent progress in the chemistry of osmium carbyne and metallabenzyne complexes. Coord. Chem. Rev. 2007, 251, 2167–2187. [Google Scholar] [CrossRef]
- Jia, G. Progress in the chemistry of metallabenzynes. Acc. Chem. Res. 2004, 37, 479–486. [Google Scholar] [CrossRef]
- Han, F.; Li, J.; Zhang, H.; Wang, T.; Lin, Z.; Xia, H. Reactions of osmabenzene with silver/copper acetylides: From metallabenzene to benzene. Chem. Eur. J. 2015, 21, 565–567. [Google Scholar] [CrossRef]
- Wu, L.; Feng, L.; Zhang, H.; Liu, Q.; He, X.; Yang, F.; Xia, H. Synthesis and characterization of a novel dialdehyde and cyclic anhydride. J. Org. Chem. 2008, 73, 2883–2885. [Google Scholar] [CrossRef]
- Zhang, H.; Feng, L.; Gong, L.; Wu, L.; He, G.; Wen, T.; Yang, F.; Xia, H. Synthesis and characterization of stable ruthenabenzenes starting from HC⋮CCH(OH)C⋮CH. Organometallics 2007, 26, 2705–2713. [Google Scholar] [CrossRef]
- Lin, R.; Zhang, H.; Li, S.; Wang, J.; Xia, H. New highly stable metallabenzenes via nucleophilic aromatic substitution reaction. Chem. Eur. J. 2011, 17, 4223–4231. [Google Scholar] [CrossRef]
- Rickard, C.E.F.; Roper, W.R.; Woodgate, S.D.; Wright, L.J. Electrophilic aromatic substitution reactions of a metallabenzene: Nitration and halogenation of the osmabenzene [Os{C(SMe)CHCHCHCH}I(CO)(PPh3)2]. Angew. Chem. Int. Ed. 2000, 39, 766–768. [Google Scholar] [CrossRef]
- Rickard, C.E.F.; Roper, W.R.; Woodgate, S.D.; Wright, L.J. Reaction between the thiocarbonyl complex, Os(CS)(CO)(PPh3)3, and propyne: Crystal structure of a new sulfur-substituted osmabenzene. J. Organomet. Chem. 2001, 623, 109–115. [Google Scholar] [CrossRef]
- Xia, H.; He, G.; Zhang, H.; Wen, T.B.; Sung, H.H.Y.; Williams, I.D.; Jia, G. Osmabenzenes from the Reactions of HC≡CCH(OH)C≡CH with OsX2(PPh3)3 (X = Cl, Br). J. Am. Chem. Soc. 2004, 126, 6862–6863. [Google Scholar] [CrossRef]
- Hung, W.Y.; Zhu, J.; Wen, T.B.; Yu, K.P.; Sung, H.H.Y.; Williams, I.D.; Lin, Z.; Jia, G. osmabenzenes from the reactions of a dicationic osmabenzyne complex. J. Am. Chem. Soc. 2006, 128, 13742–13752. [Google Scholar] [CrossRef]
- Gong, L.; Lin, Y.; He, G.; Zhang, H.; Wang, H.; Wen, T.B.; Xia, H. Synthesis and characterization of an air-stable p-osmaphenol. Organometallics 2008, 27, 309–311. [Google Scholar] [CrossRef]
- Wang, T.; Li, S.; Zhang, H.; Lin, R.; Han, F.; Lin, Y.; Wen, T.B.; Xia, H. Annulation of metallabenzenes: From osmabenzene to osmabenzothiazole to osmabenzoxazole. Angew. Chem. Int. Ed. 2009, 48, 6453–6456. [Google Scholar] [CrossRef]
- Clark, G.R.; Ferguson, L.A.; McIntosh, A.E.; Söhnel, T.; Wright, L.J. Functionalization of metallabenzenes through nucleophilic aromatic substitution of hydrogen. J. Am. Chem. Soc. 2010, 132, 13443–13452. [Google Scholar] [CrossRef]
- Huang, J.; Lin, R.; Wu, L.; Zhao, Q.; Zhu, C.; Wen, T.B.; Xia, H. Synthesis, characterization, and electrochemical properties of bisosmabenzenes bridged by diisocyanides. Organometallics 2010, 29, 2916–2925. [Google Scholar] [CrossRef]
- Wang, T.; Zhang, H.; Han, F.; Long, L.; Lin, Z.; Xia, H. Key Intermediates of iodine-mediated electrophilic cyclization: Isolation and characterization in an osmabenzene system. Angew. Chem. Int. Ed. 2013, 52, 9251–9255. [Google Scholar] [CrossRef]
- Han, F.; Wang, T.; Li, J.; Zhang, H.; Zhang, L.; He, X.; Xia, H. Synthesis, structure, and reactivity of an osmacyclopentene complex. Organometallics 2014, 33, 5301–5307. [Google Scholar] [CrossRef]
- Poon, K.C.; Liu, L.; Guo, T.; Li, J.; Sung, H.H.Y.; Williams, I.D.; Lin, Z.; Jia, G. Synthesis and characterization of rhenabenzenes. Angew. Chem. Int. Ed. 2010, 49, 2759–2762. [Google Scholar] [CrossRef]
- Lin, R.; Lee, K.-H.; Poon, K.C.; Sung, H.H.Y.; Williams, I.D.; Lin, Z.; Jia, G. Synthesis of rhenabenzenes from the reactions of rhenacyclobutadienes with ethoxyethyne. Chem. Eur. J. 2014, 20, 14885–14899. [Google Scholar] [CrossRef]
- Lin, R.; Lee, K.H.; Sung, H.H.Y.; Williams, I.D.; Lin, Z.; Jia, G. Rhenabenzenes and unexpected coupling products from the reactions of rhenacyclobutadienes with ethoxyethyne. Organometallics 2015, 34, 167–176. [Google Scholar] [CrossRef]
- Jacob, V.; Weakley, T.J.R.; Haley, M.M. Rearrangement of a σ-2-(Cycloprop-2-enyl)vinyl- to an η3-cyclopentadienylplatinum(II) complex. Selective protonolysis of the platinum-methyl bond. Organometallics 2002, 21, 5394–5400. [Google Scholar] [CrossRef]
- Jacob, V.; Weakley, T.J.R.; Haley, M.M. Metallabenzenes and valence isomers. Synthesis and characterization of a platinabenzene. Angew. Chem. Int. Ed. 2002, 41, 3470–3473. [Google Scholar] [CrossRef]
- Landorf, C.W.; Jacob, V.; Weakley, T.J.R.; Haley, M.M. Rational synthesis of platinabenzenes. Organometallics 2004, 23, 1174–1176. [Google Scholar] [CrossRef]
- Jacob, V.; Landorf, C.W.; Zakharov, L.N.; Weakley, T.J.R.; Haley, M.M. Platinabenzenes: Synthesis, properties, and reactivity studies of a rare class of metalla-aromatics. Organometallics 2009, 28, 5183–5190. [Google Scholar] [CrossRef]
- Bleeke, J.R.; Behm, R. Synthesis, Structure, and reactivity of iridacyclohexadienone and iridaphenol complexes. J. Am. Chem. Soc. 1997, 119, 8503–8511. [Google Scholar] [CrossRef]
- Gilbertson, R.D.; Weakley, T.J.R.; Haley, M.M. Direct synthesis of an iridabenzene from a nucleophilic 3-vinyl-1-cyclopropene. J. Am. Chem. Soc. 1999, 121, 2597–2598. [Google Scholar] [CrossRef]
- Gilbertson, R.D.; Weakley, T.J.R.; Haley, M.M. Synthesis, characterization, and isomerization of an iridabenzvalene. Chem. Eur. J. 2000, 6, 437–441. [Google Scholar] [CrossRef]
- Paneque, M.; Poveda, M.L.; Rendón, N.; Álvarez, E.; Carmona, E. The synthesis of iridabenzenes by the coupling of iridacyclopentadienes and olefins. Eur. J. Inorg. Chem. 2007, 2007, 2711–2720. [Google Scholar] [CrossRef]
- Paneque, M.; Posadas, C.M.; Poveda, M.L.; Rendón, N.; Santos, L.L.; Álvarez, E.; Salazar, V.; Mereiter, K.; Oñate, E. Metallacycloheptatrienes of iridium(III): Synthesis and reactivity. Organometallics 2007, 26, 3403–3415. [Google Scholar] [CrossRef]
- Vivancos, Á.; Paneque, M.; Poveda, M.L.; Álvarez, E. Building a parent iridabenzene structure from acetylene and dichloromethane on an iridium center. Angew. Chem. Int. Ed. 2013, 52, 10068–10071. [Google Scholar] [CrossRef] [Green Version]
- Chase, D.T.; Zakharov, L.N.; Haley, M.M. Crystal structures of two unusual, high oxidation state, 16-electron iridabenzenes. Acta Crystallogr. Sect. E 2015, 71, 1315–1318. [Google Scholar] [CrossRef]
- Fernández, I.; Frenking, G. Aromaticity in metallabenzenes. Chem. Eur. J. 2007, 13, 5873–5884. [Google Scholar] [CrossRef]
- Huang, Y.Z.; Yang, S.Y.; Li, X.Y. An investigation of the aromaticity of transition metal heterocyclic complexes by conventional criteria and indices of aromaticity. J. Organomet. Chem. 2004, 689, 1050–1056. [Google Scholar] [CrossRef]
- Mauksch, M.; Tsogoeva, S.B. Demonstration of “Möbius” aromaticity in planar metallacycles. Chem. Eur. J. 2010, 16, 7843–7851. [Google Scholar] [CrossRef]
- De Proft, F.; Geerlings, P. Relative hardness as a measure of aromaticity. Phys. Chem. Chem. Phys. 2004, 6, 242–248. [Google Scholar] [CrossRef]
- Zhang, H.; Lin, R.; Li, J.; Zhu, J.; Xia, H. Interconversion between Ruthenacyclohexadiene and Ruthenabenzene: A combined experimental and theoretical study. Organometallics 2014, 33, 5606–5609. [Google Scholar] [CrossRef]
- Periyasamy, G.; Burton, N.A.; Hillier, I.H.; Thomas, J.M.H. Electron delocalization in the metallabenzenes: A computational analysis of ring currents. J. Phys. Chem. A 2008, 112, 5960–5972. [Google Scholar] [CrossRef] [PubMed]
- Iron, M.A.; Lucassen, A.C.B.; Cohen, H.; van der Boom, M.E.; Martin, J.M.L. A Computational foray into the formation and reactivity of metallabenzenes. J. Am. Chem. Soc. 2004, 126, 11699–11710. [Google Scholar] [CrossRef]
- Han, F.; Wang, T.; Li, J.; Zhang, H.; Xia, H. m-Metallaphenol: Synthesis and reactivity studies. Chem. Eur. J. 2014, 20, 4363–4372. [Google Scholar] [CrossRef]
- Rzepa, H.S. Möbius aromaticity and delocalization. Chem. Rev. 2005, 105, 3697–3715. [Google Scholar] [CrossRef]
- Fernández, I.; Frenking, G.; Merino, G. Aromaticity of metallabenzenes and related compounds. Chem. Soc. Rev. 2015, 44, 6452–6463. [Google Scholar] [CrossRef]
- Wen, T.B.; Ng, S.M.; Hung, W.Y.; Zhou, Z.Y.; Lo, M.F.; Shek, L.-Y.; Williams, I.D.; Lin, Z.; Jia, G. Protonation and bromination of an osmabenzyne: Reactions leading to the formation of new metallabenzynes. J. Am. Chem. Soc. 2003, 125, 884–885. [Google Scholar] [CrossRef]
- Chen, J.; Shi, C.; Sung, H.H.Y.; Williams, I.D.; Lin, Z.; Jia, G. Synthesis and characterization of rhenabenzyne complexes. Chem. Eur. J. 2012, 18, 14128–14139. [Google Scholar] [CrossRef]
- Adamo, C.; Barone, V. Toward reliable density functional methods without adjustable parameters: The PBE0 model. J. Chem. Phys. 1999, 110, 6158–6170. [Google Scholar] [CrossRef]
- Wadt, W.R.; Hay, P.J. Ab initio effective core potentials for molecular calculations. Potentials for main group elements Na to Bi. J. Chem. Phys. 1985, 82, 284–298. [Google Scholar] [CrossRef]
- Schäfer, A.; Huber, C.; Ahlrichs, R. Fully optimized contracted Gaussian basis sets of triple zeta valence quality for atoms Li to Kr. J. Chem. Phys. 1994, 100, 5829–5835. [Google Scholar] [CrossRef]
- Zubarev, D.Y.; Boldyrev, A.I. Developing paradigms of chemical bonding: Adaptive natural density partitioning. Phys. Chem. Chem. Phys. 2008, 10, 5207–5217. [Google Scholar] [CrossRef]
- Tkachenko, N.V.; Boldyrev, A.I. Chemical bonding analysis of excited states using the adaptive natural density partitioning method. Phys. Chem. Chem. Phys. 2019, 21, 9590–9596. [Google Scholar] [CrossRef]
- Tkachenko, N.V.; Zhang, X.W.; Qiao, L.; Shu, C.C.; Steglenko, D.; Muñoz-Castro, A.; Sun, Z.M.; Boldyrev, A.I. Spherical aromaticity of all-metal [Bi@In8Bi12]3−/5− clusters. Chem. Eur. J. 2020, 26, 2073–2079. [Google Scholar]
- Tkachenko, N.V.; Boldyrev, A.I. Multiple local σ-aromaticity of nonagermanide clusters. Chem. Sci. 2019, 10, 5761–5765. [Google Scholar] [CrossRef] [Green Version]
- Liu, C.; Tkachenko, N.V.; Popov, I.A.; Fedik, N.; Min, X.; Xu, C.Q.; Li, J.; McGrady, J.E.; Boldyrev, A.I.; Sun, Z.M. Structure and bonding in [Sb@In8Sb12]3− and [Sb@In8Sb12]5−. Angew. Chem. Int. Ed. 2019, 58, 8367–8371. [Google Scholar] [CrossRef]
- Xu, H.L.; Popov, I.A.; Tkachenko, N.V.; Wang, Z.C.; Muñoz-Castro, A.; Boldyrev, A.I.; Sun, Z.M. σ-Aromaticity-induced stabilization of heterometallic supertetrahedral clusters [Zn6Ge16]4− and [Cd6Ge16]4−. Angew. Chem. Int. Ed. 2020, 59, 17286–17290. [Google Scholar] [CrossRef]
- Zhang, W.Q.; Tkachenko, N.V.; Qiao, L.; Boldyrev, A.I.; Sun, Z.M. Synthesis and structure of binary copper/silver–arsenic clusters derived from Zintl ion As73–. Chin. J. Chem. 2021, in press. [Google Scholar] [CrossRef]
- Wang, Z.C.; Tkachenko, N.V.; Qiao, L.; Matito, E.; Muñoz-Castro, A.; Boldyrev, A.I.; Sun, Z.M. All-metal σ-antiaromaticity in dimeric cluster anion {[CuGe9Mes]2}4−. Chem. Commun. 2020, 56, 6583–6586. [Google Scholar] [CrossRef]
- Tkachenko, N.V.; Steglenko, D.; Fedik, N.; Boldyreva, N.M.; Minyaev, R.M.; Minkin, V.I.; Boldyrev, A.I. Superoctahedral two-dimensional metallic boron with peculiar magnetic properties. Phys. Chem. Chem. Phys. 2019, 21, 19764–19771. [Google Scholar]
- Steglenko, D.V.; Tkachenko, N.V.; Boldyrev, A.I.; Minyaev, R.M.; Minkin, V.I. Stability, electronic, and optical properties of two-dimensional phosphoborane. J. Comput. Chem. 2020, 41, 1456–1463. [Google Scholar] [CrossRef]
- Popov, I.A.; Bozhenko, K.V.; Boldyrev, A.I. Is graphene aromatic? Nano Res. 2012, 5, 117–123. [Google Scholar] [CrossRef]
- Kuznetsov, A.E.; Boldyrev, A.I.; Li, X.; Wang, L.S. On the Aromaticity of Square Planar Ga42− and In42− in Gaseous NaGa4- and NaIn4- clusters. J. Am. Chem. Soc. 2001, 123, 8825–8831. [Google Scholar] [CrossRef]
- Boldyrev, A.I.; Wang, L.S. All-metal aromaticity and antiaromaticity. Chem. Rev. 2005, 105, 3716–3757. [Google Scholar] [CrossRef]
- Casademont-Reig, I.; Ramos-Cordoba, E.; Torrent-Sucarrat, M.; Matito, E. How do the Hückel and baird rules fade away in annulenes? Molecules 2020, 25, 711. [Google Scholar] [CrossRef] [Green Version]
- Yanai, T.; Tew, D.P.; Handy, N.C. A new hybrid exchange—Correlation functional using the Coulomb-attenuating method (CAM-B3LYP). Chem. Phys. Lett. 2004, 393, 51–57. [Google Scholar] [CrossRef] [Green Version]
- Chen, Z.; Wannere, C.S.; Corminboeuf, C.; Puchta, R.; von Schleyer, P.R. Nucleus-independent chemical shifts (NICS) as an aromaticity criterion. Chem. Rev. 2005, 105, 3842–3888. [Google Scholar] [CrossRef] [PubMed]
- Frisch, M.J.; Trucks, G.W.; Schlegel, H.B.; Scuseria, G.E.; Robb, M.A.; Cheeseman, J.R.; Scalmani, G.; Barone, V.; Petersson, G.A.; Nakatsuji, H.; et al. Gaussian 16, Revision B.01; Gaussian, Inc.: Wallingford, CT, USA, 2016. [Google Scholar]
- Islas, R.; Heine, T.; Merino, G. The induced magnetic field. Acc. Chem. Res. 2012, 45, 215–228. [Google Scholar] [CrossRef] [PubMed]
- Heine, T.; Corminboeuf, C.; Seifert, G. The magnetic shielding function of molecules and Pi-electron delocalization. Chem. Rev. 2005, 105, 3889–3910. [Google Scholar] [CrossRef] [PubMed]
- Merino, G.; Heine, T.; Seifert, G. The induced magnetic field in cyclic molecules. Chem. A Eur. J. 2004, 10, 4367–4371. [Google Scholar] [CrossRef]
- Amsterdam Density Functional (ADF 2019) Code. 2020. Available online: http://www.scm.com (accessed on 20 September 2021).
- Baranac-Stojanović, M. New insight into the anisotropic effects in solution-state NMR spectroscopy. RSC Adv. 2014, 4, 308–321. [Google Scholar] [CrossRef]
- Klod, S.; Kleinpeter, E. Ab initio calculation of the anisotropy effect of multiple bonds and the ring current effect of arenes—application in conformational and configurational analysis. J. Chem. Soc. Perkin Trans. 2001, 2, 1893–1898. [Google Scholar]
- Charistos, N.D.; Papadopoulos, A.G.; Sigalas, M.P. Interpretation of electron delocalization in benzene, cyclobutadiene, and borazine based on visualization of individual molecular orbital contributions to the induced magnetic field. J. Phys. Chem. A 2014, 118, 1113–1122. [Google Scholar] [CrossRef]
- Lenthe, E.V.; Baerends, E.J.; Snijders, J.G. Relativistic total energy using regular approximations. J. Chem. Phys. 1994, 101, 9783–9792. [Google Scholar] [CrossRef]
- Furukawa, S.; Fujita, M.; Kanatomi, Y.; Minoura, M.; Hatanaka, M.; Morokuma, K.; Ishimura, K.; Saito, M. Double aromaticity arising from σ- and π-rings. Commun. Chem. 2018, 1, 60. [Google Scholar] [CrossRef] [Green Version]
- Morao, I.; Cossío, F.P. A Simple ring current model for describing in-plane aromaticity in pericyclic reactions. J. Org. Chem. 1999, 64, 1868–1874. [Google Scholar] [CrossRef]
- Tsipis, A.C.; Depastas, I.G.; Tsipis, C.A. Diagnosis of the σ-, π- and (σ+π)-aromaticity by the shape of the NICSzz-scan curves and symmetry-based selection rules. Symmetry 2010, 2, 284–319. [Google Scholar] [CrossRef]
- Muñoz-Castro, A. Magnetic response properties of coinage metal macrocyles. Insights into the induced magnetic field through the analysis of [Cu5(Mes)5], [Ag4(Mes)4], and [Au5(Mes)5] (Mes = 2,4,6-Me3C6H2). J. Phys. Chem. C 2012, 116, 17197–17203. [Google Scholar] [CrossRef]
- Moncho, S.; Autschbach, J. Molecular orbital analysis of the inverse halogen dependence of nuclear magnetic shielding in LaX3, X = F, Cl, Br, I. Magn. Reson. Chem. 2010, 48, S76–S85. [Google Scholar] [CrossRef]
- Viesser, R.V.; Ducati, L.C.; Autschbach, J.; Tormena, C.F. Effects of stereoelectronic interactions on the relativistic spin–orbit and paramagnetic components of the 13C NMR shielding tensors of dihaloethenes. Phys. Chem. Chem. Phys. 2015, 17, 19315–19324. [Google Scholar] [CrossRef] [Green Version]
- von Schleyer, P.R.; Jiao, H. What is aromaticity? Pure Appl. Chem. 1996, 68, 209–218. [Google Scholar] [CrossRef]







| Complex | NICSzz(0) | NICSzz(1) |
|---|---|---|
| [Os]C5H4 | −9.2 | −15.0 |
| [Re]C5H4 | −9.9 | −14.2 |
| [Os]3C3 | −23.5 | −2.8 |
| [Re]3C3 | −29.5 | −6.3 |
Publisher’s Note: MDPI stays neutral with regard to jurisdictional claims in published maps and institutional affiliations. |
© 2021 by the authors. Licensee MDPI, Basel, Switzerland. This article is an open access article distributed under the terms and conditions of the Creative Commons Attribution (CC BY) license (https://creativecommons.org/licenses/by/4.0/).
Share and Cite
Tkachenko, N.V.; Muñoz-Castro, A.; Boldyrev, A.I. Occurrence of Double Bond in π-Aromatic Rings: An Easy Way to Design Doubly Aromatic Carbon-Metal Structures. Molecules 2021, 26, 7232. https://doi.org/10.3390/molecules26237232
Tkachenko NV, Muñoz-Castro A, Boldyrev AI. Occurrence of Double Bond in π-Aromatic Rings: An Easy Way to Design Doubly Aromatic Carbon-Metal Structures. Molecules. 2021; 26(23):7232. https://doi.org/10.3390/molecules26237232
Chicago/Turabian StyleTkachenko, Nikolay V., Alvaro Muñoz-Castro, and Alexander I. Boldyrev. 2021. "Occurrence of Double Bond in π-Aromatic Rings: An Easy Way to Design Doubly Aromatic Carbon-Metal Structures" Molecules 26, no. 23: 7232. https://doi.org/10.3390/molecules26237232
APA StyleTkachenko, N. V., Muñoz-Castro, A., & Boldyrev, A. I. (2021). Occurrence of Double Bond in π-Aromatic Rings: An Easy Way to Design Doubly Aromatic Carbon-Metal Structures. Molecules, 26(23), 7232. https://doi.org/10.3390/molecules26237232
