Modified Arrhenius Equation in Materials Science, Chemistry and Biology
Abstract
1. Introduction
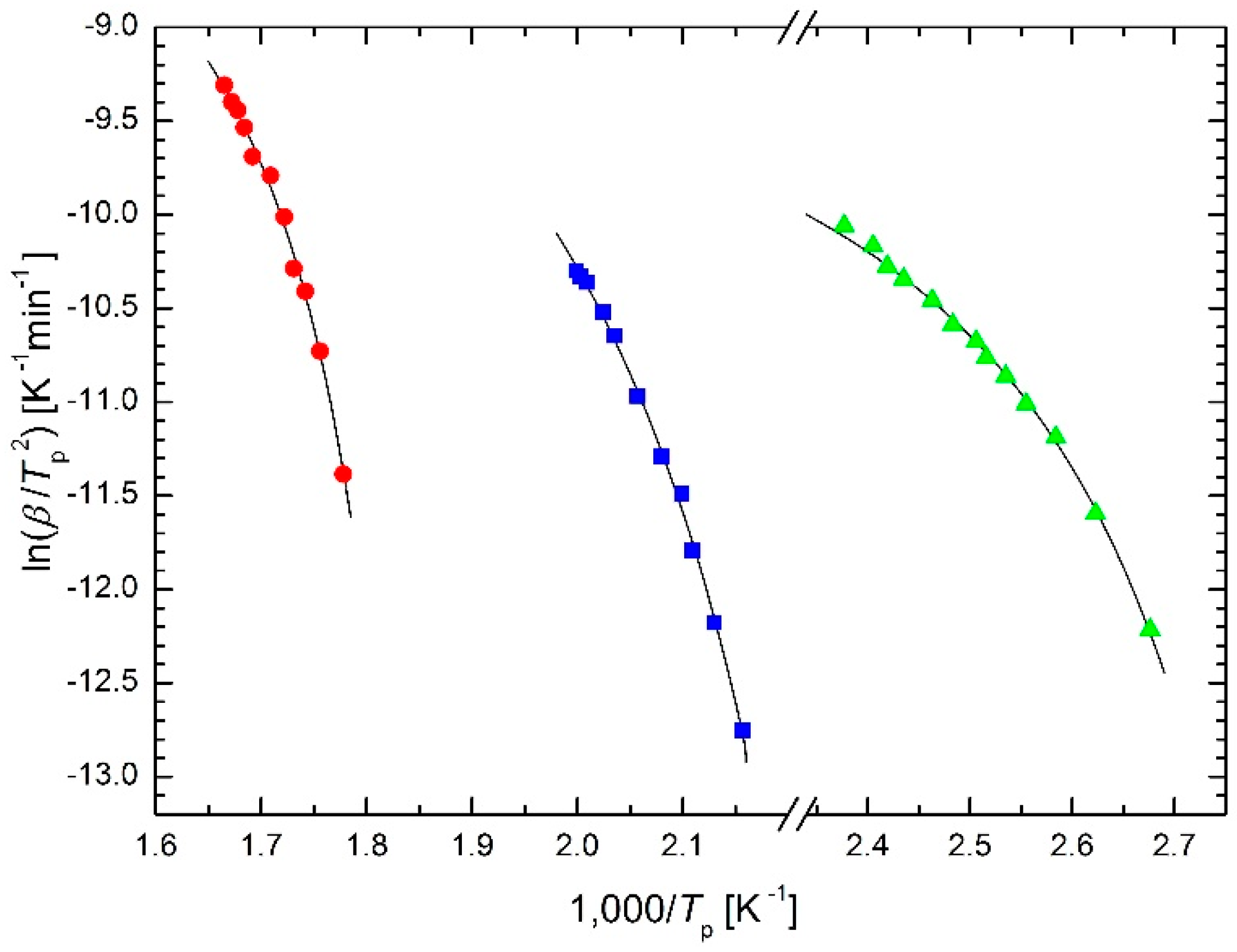
- In terms of materials science: why is the activation energy for heating rates higher than 9.2 K/min 2.5 times lower than for heating rates lower than 9.2 K/min? What is the reason for this step change?
- In terms of regression: is it correct to replace an almost smooth arc with two straight lines? If, in a study [5], the heating at heating rates of, e.g., 40 K/min and 35 K/min is not performed and heating at, e.g., 2 K/min and 1 K/min is added, then very likely the straight lines in the Kissinger plot will change their positions substantially, i.e., not only the two values of activation energy will change substantially, but also the value of heating rate separating these straight lines. What is the usefulness of the results obtained in this way?
- m = 0 leads to the standard Kissinger equation (the Arrhenius assumption is followed [16])
- m = 0.5 is predicted by collision theory in the homogeneous gas phase and
- m = 1 is predicted by transition state theory.
2. Derivation of the Modified Arrhenius Equation
3. Verification of the Suitability of the Modified Arrhenius Equation
3.1. Materials Science
3.2. Food Storage
3.3. Botany
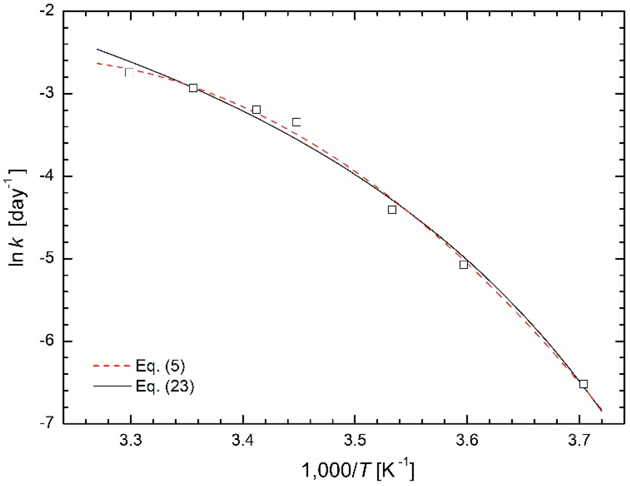
3.4. Microbiology
| No | Bacterial Culture | T0 [K] (23) | T0 [°C] (23) | T0 [K] (29) | T0 [K] [28] |
|---|---|---|---|---|---|
| 1 | Bacillus circulans | 283.4 | 10.3 | 296.0 | 296 |
| 2 | Lactobacillus delbrueckii | 283.6 | 10.5 | 290.9 | 290 |
| 3 | Escherichia coli | 271.3 | −1.8 | 277.8 | 276 |
| 4 | Aerobacter aerogenes | 254.1 | −19.0 | 267.4 | 267 |
| 5 | Sporotrichum carnis | 257.3 | −15.9 | 264.7 | 264 |
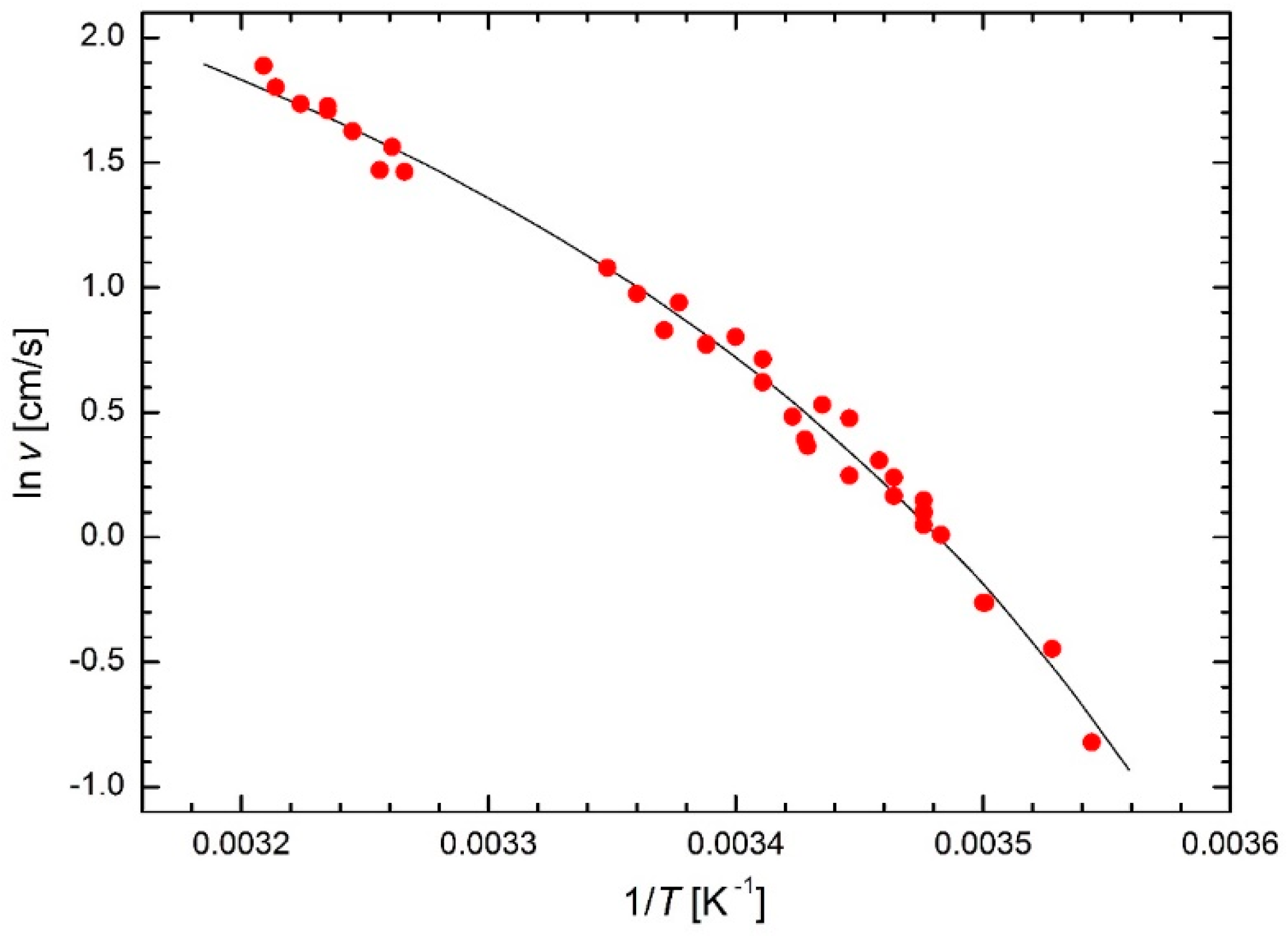
3.5. Zoology
4. Discussion
- The Vogel−Fulcher−Tammann equation (VFT equation) [35,36,37] is used to describe the viscosity of liquids as a function of temperature, especially near the glass transition:where η0, B, and TVF (typically lying about 50 °C below the glass transition temperature) are empirical material-dependent parameters. García-Colín et al. [38] have not very convincingly attempted to build this purely empirical equation on a theoretical basis.
- In the study of shear creep and recovery of elastomers, Conant et al. [39] published an empirical equation for temperature dependence of creep or recovery time tc:where Cα, Cβ, and b are empirical constants. They mentioned the similarity of Equation (36) to the Arrhenius equation and called constant b as “correction” term.
- When studying dielectric relaxation in some simple alcohols, Davidson and Cole [40] found that the temperature dependence of relaxation times deviates systematically from the Arrhenius law. Most of their data could be fitted to the expression:For glycerol and n-propanol, these authors even found that the temperature values T∞ determined from electric relaxation times agree with the temperature values TVF (see VFT equation) found in the viscosity studies performed by Tammann and Hesse [37]. This agreement T∞ = TVF means that there are no different specific temperatures for the individual physical quantities, but only one common temperature characterizing the material under study as such.
5. Conclusions
- In the case where the experimental Arrhenius plot consists of two approximately linear parts, the fit using regression function (16) accompanied by Equation (17) gives a successful result. The use of the regression function (16) is much more suitable than using two independent straight lines.
- For the generally curved Arrhenius plot, the regression function (23) is very suitable. Only one parameter, T0 with clear physical meaning (the lowest temperature at which the studied process is still running) controls the curvature of the Arrhenius plot. For T0→0 the modified Arrhenius Equation (23) transitions smoothly into the original Arrhenius Equation (1).
- The two models presented for a concave-curved Arrhenius plot (super-Arrhenius behavior) can be simply modified for the convex-curved Arrhenius plot (sub-Arrhenius behavior).
- In addition to chemistry, the newly proposed model (23) can also be used in materials science, food storage, botany, microbiology and even in zoology, as has been demonstrated.
- In the past, phenomenological equations corresponding to the modified Arrhenius Equation (23) have been used for the temperature dependence description of liquid viscosity, creep or recovery time and dielectric relaxation time. Its validity seems to be very broad in many different fields of science and technology. However, it is necessary to try to interpret the meaning of temperature T0, as it has been identified with the temperature Ac1 in the austenitization of SA 508 Gr.3 steel.
- Also, the WLF equation is essentially equivalent to the modified Arrhenius Equation (23). However, its parameters Tg, ηg, c1, and c2 are not independent and for regression one parameter (usually Tg) must be specified in advance and only the remaining three parameters can be calculated in regression procedure.
- When the temperature dependence of several properties of a single material is studied using the modified Arrhenius Equation (23), the obtained temperature values T0 represent the only one common temperature characterizing this material as a whole, not its individual properties.
Funding
Institutional Review Board Statement
Data Availability Statement
Acknowledgments
Conflicts of Interest
Sample Availability
References
- Arrhenius, S. Über die Reaktionsgeschwindigkeit bei der Inversion von Rohrzucker durch Säuren. Z. Physik. Chem. 1889, 4, 226–248. [Google Scholar] [CrossRef]
- Luo, X.; Han, L.; Gu, J. Study on Austenitization Kinetics of SA508 Gr.3 Steel Based on Isoconversional Method. Metals 2016, 6, 8. [Google Scholar] [CrossRef]
- Nishiyama, M.; Kleijn, S.; Aquilanti, V.; Toshio Kasai, T. Temperature dependence of respiration rates of leaves, 18O-experiments and super-Arrhenius kinetics. Chem. Phys. Lett. 2009, 482, 325–329. [Google Scholar] [CrossRef]
- Laidler, K.J. Unconventional Applications of the Arrhenius Law. J. Chem. Educ. 1972, 49, 343–344. [Google Scholar] [CrossRef]
- Zhou, Z.N.; Yang, L.; Li, R.C.; Li, J.; Hu, Q.D.; Li, J.G. Martensitic transformations and kinetics in Ni-Mn-In-Mg shape memory alloys. Intermetallics 2018, 92, 49–54. [Google Scholar] [CrossRef]
- Kissinger, H.E. Reaction Kinetics in Differential Thermal Analysis. Anal. Chem. 1957, 29, 1702–1706. [Google Scholar] [CrossRef]
- Blaine, R.L.; Kissinger, H.E. Homer Kissinger and the Kissinger equation. Thermochim. Acta 2012, 540, 1–6. [Google Scholar] [CrossRef]
- Holba, P.; Šesták, J. Imperfections of Kissinger Evaluation Method and Crystallization Kinetics. Glass Phys. Chem. 2014, 40, 486–495. [Google Scholar] [CrossRef]
- Šesták, J.; Holba, P.; Živković, Ž. Doubts on Kissinger´s method of kinetic evaluation based on several conceptual models showing the difference between the maximum of reaction rate and the extreme of a DTA peak. J. Min. Metall. Sect. B-Metall. 2014, 50, 77–81. [Google Scholar] [CrossRef]
- Rosa, A.C.P., Jr.; Cruz, C.; Santana, W.S.; Moret, M.A. Characterization of the non-Arrhenius behavior of supercooled liquids by modeling nonadditive stochastic systems. Phys. Rev. E. 2019, 100, 022139. [Google Scholar] [CrossRef]
- Coutinho, N.D.; Silva, V.H.C.; Mundim, K.C.; de Oliveira, H.C.B. Description of the effect of temperature on food systems using the deformed Arrhenius rate law: Deviations from linearity in logarithmic plots vs. inverse temperature. Rend. Lincei 2015, 26, 141–149. [Google Scholar] [CrossRef]
- Truhlar, G.M.; Kohen, A. Convex Arrhenius plots and their interpretation. Proc. Natl Acad. Sci. USA 2001, 98, 848–851. [Google Scholar] [CrossRef]
- Adams, P.A.; Sheppard, J.G.; Ridler, G.M.; Ridler, P.F. New Three-parameter Empirical Extension of the Arrhenius Equation suitable for the Precise Evaluation of Pseudothermodynamic Activation Parameters in Chemical Kinetics. J. Chem. Soc. Faraday Trans. 1 1978, 74, 1500–1506. [Google Scholar] [CrossRef]
- Kanerva, L.T.; Euranto, E.K.; Cleve, N.J. On the Accuracy and Significance in Determination of the Temperature Dependence of Activation Energy in Neutral Ester Hydrolysis and Solvolytic Substitution Reaction. Acta Chem. Scand. B 1983, 37, 85–92. [Google Scholar] [CrossRef]
- Yang, H.C.; Ge, Y.C.; Su, K.H.; Chang, C.C.; Lin, K.C.; Aquilanti, V.; Kasai, T. Temperature effect on water dynamics in tetramer phosphofructokinase matrix and the super-Arrhenius respiration rate. Sci. Rep. 2021, 11, 383. [Google Scholar] [CrossRef] [PubMed]
- Elder, J.P. Integral-Differential Relationships in Thermal Analysis. In Analytical Calorimetry; Johnson, J.F., Gill, P.S., Eds.; Plenum Press: New York, NY, USA, 1984; Volume 5, pp. 255–264. [Google Scholar]
- Elder, J.P. The General Applicability of the Kissinger Equation in Thermal Analysis. J. Therm. Anal. 1985, 30, 657–669. [Google Scholar] [CrossRef]
- Norwisz, J. The kinetic equation under linear temperature increase conditions. Thermochim. Acta 1978, 25, 123–125. [Google Scholar] [CrossRef]
- Dutta, A.; Ryan, M.E. The relationship between isothermal and non-isothermal kinetics for thermoset characterization. Thermochim. Acta 1979, 33, 87–92. [Google Scholar] [CrossRef]
- Albery, W.J.; Robinson, B.H. Measurement of Enthalpies and Heat Capacities of Activation by Differential Methods. Trans. Faraday Soc. 1969, 65, 980–991. [Google Scholar] [CrossRef]
- Trzaska, J. Calculation of Critical Temperatures by Empirical Formulae. Arch. Metall. Mater. 2016, 61, 981–986. [Google Scholar] [CrossRef]
- El-Oyoun, M.A. Evaluation of the transformation kinetics of Ga7.5Se92.5 chalcogenide glass using the theoretical method developed and isoconversional analyses. J. Alloys Compd. 2010, 507, 6–15. [Google Scholar] [CrossRef]
- El-Oyoun, M.A. DSC studies on the transformation kinetics of two separated crystallization peaks of Si12.5Te87.5 chalcogenide glass: An application of the theoretical method developed and isoconversional method. Mater. Chem. Phys. 2011, 131, 495–506. [Google Scholar] [CrossRef]
- Sá, M.M.; Sereno, A.M. The kinetics of browning measured during the storage of onion and strawberry. Int. J. Food Sci. Technol. 1999, 34, 343–349. [Google Scholar] [CrossRef]
- Association for Dehydrated Onion and Garlic Products. Official Standards and Methods of the American Dehydrated Onion and Garlic Association for Dehydrated Onion and Garlic Products; ADOGA: San Francisco, CA, USA, 1976. [Google Scholar]
- Williams, M.L.; Landel, R.F.; Ferry, J.D. The temperature dependence of relaxation mechanisms in amorphous polymers and other glass forming liquids. J. Am. Chem. Soc. 1955, 77, 3701–3707. [Google Scholar] [CrossRef]
- Wolfe, J.; Bagnall, D.J. Arrhenius Plots—Curves or Straight Lines? Ann. Bot. 1980, 45, 485–488. [Google Scholar] [CrossRef]
- Ratkowsky, D.A.; Olley, J.; McMeekin, T.A.; Ball, A. Relationship Between Temperature and Growth Rate of Bacterial Cultures. J. Bacteriol. 1982, 149, 1–5. [Google Scholar] [CrossRef] [PubMed]
- Johnson, F.H.; Eyring, H.; Stove, B.J. The theory of Rate Processes in Biology and Medicine; Wiley: New York, NY, USA, 1974; p. 703. [Google Scholar]
- Ohta, F.; Hirahara, T. Rate of Degradation of Nucleotides in Cooling-stored Carp Muscle. Mem. Fac. Fish. Kagoshima Univ. 1977, 26, 97–102. [Google Scholar]
- Crozier, W.J. On the critical thermal increment for the locomotion of a diplopod. J. Gen. Physiol. 1924, 7, 123–136. [Google Scholar] [CrossRef]
- Shapley, H. Thermokinetics of Liometopum apiculatum Mayr. Proc. Natl. Acad. Sci. USA 1920, 6, 204–211. [Google Scholar] [CrossRef]
- Martin, E.G. The inhibitory influence of potassium chloride on the heart, and the effect of variations of temperature upon this inhibition and upon vagus inhibition. Am. J. Physiol. 1904, 11, 370–393. [Google Scholar] [CrossRef]
- Bässler, H. Viscous flow in supercooled liquids analyzed in terms of transport theory for random media with energetic disorder. Phys. Rev. Lett. 1987, 58, 767–770. [Google Scholar] [CrossRef] [PubMed]
- Vogel, D.H. Das Temperaturabhaengigkeitsgesetz der Viskositaet von Fluessigkeiten. Phys. Z. 1921, 22, 645–646. [Google Scholar]
- Fulcher, G.S. Analysis of recent measurements of the viscosity of glasses. J. Am. Ceram. Soc. 1925, 8, 339–355. [Google Scholar] [CrossRef]
- Tammann, G.; Hesse, W. Die Abhängigkeit der Viscosität von der Temperatur bie unterkühlten Flüssigkeiten. Z. Anorg. Allg. Chem. 1926, 156, 245–257. [Google Scholar] [CrossRef]
- García Colin, L.S.; del Castillo, L.F.; Goldstein, P. Theoretical basis for the Vogel–Fulcher–Tammann equation. Phys. Rev. B 1989, 40, 7040–7044. [Google Scholar] [CrossRef]
- Conant, F.S.; Hall, G.L.; Lyons, W.J. Equivalent Effects of Time and Temperature in the Shear Creep and Recovery of Elastomers. J. Appl. Phys. 1950, 21, 499–504. [Google Scholar] [CrossRef]
- Davidson, D.W.; Cole, R.H. Dielectric Relaxation in Glycerol, Propylene Glycol, and n-Propanol. J. Chem. Phys. 1951, 19, 1484–1490. [Google Scholar] [CrossRef]
- Vyazovkin, S. Kissinger Method in Kinetics of Materials: Things to Beware and Be Aware of. Molecules 2020, 25, 2813. [Google Scholar] [CrossRef]
- Soesanto, T.; Williams, M.C. Interpretation of Viscosity for Concentrated and Dilute Sugar Solutions. J. Phys. Chem. 1981, 85, 3338–3341. [Google Scholar] [CrossRef]
- Laporta, V.; Heritier, K.L.; Panesi, M. Electron-vibration relaxation in oxygen plasmas. Chem. Phys. 2016, 472, 44–49. [Google Scholar] [CrossRef]
- Laporta, V.; Bruno, D. Electron-vibration energy exchange models in nitrogen-containing plasma flows. J. Chem. Phys. 2013, 138, 104319. [Google Scholar] [CrossRef] [PubMed]















| Conversion α | 0.1 | 0.35 | 0.5 | 0.7 | Mean ± s.d. |
|---|---|---|---|---|---|
| temperature T0 [K] | 801 | 943 | 959 | 753 | 864 ± 51 |
| temperature T0 [°C] | 528 | 670 | 686 | 480 | 591 ± 51 |
| Conversion α | 0.1 | 0.35 | 0.5 | 0.7 | Mean ± s.d. |
|---|---|---|---|---|---|
| temperature T0 [K] | 904 | 997 | 1005 | 938 | 971 ± 17 |
| temperature T0 [°C] | 671 | 724 | 732 | 665 | 698 ± 17 |
| Element | C | Mn | Si | Ni | Cr | Mo | V | Al | N | Fe |
|---|---|---|---|---|---|---|---|---|---|---|
| composition wt.% | 0.20 | 1.47 | 0.17 | 0.89 | 0.13 | 0.51 | 0.001 | 0.039 | 0.014 | bal. |
| Equation(s) | Figure | S |
|---|---|---|
| (1) (twice) | 1 | 0.026706 |
| analogy of (5) | 1 | 0.031670 |
| (7) | 2 | 0.003730 |
| (16) and (17) | 3 | 0.009765 |
| (23) | 4 | 0.008962 |
Publisher’s Note: MDPI stays neutral with regard to jurisdictional claims in published maps and institutional affiliations. |
© 2021 by the author. Licensee MDPI, Basel, Switzerland. This article is an open access article distributed under the terms and conditions of the Creative Commons Attribution (CC BY) license (https://creativecommons.org/licenses/by/4.0/).
Share and Cite
Kohout, J. Modified Arrhenius Equation in Materials Science, Chemistry and Biology. Molecules 2021, 26, 7162. https://doi.org/10.3390/molecules26237162
Kohout J. Modified Arrhenius Equation in Materials Science, Chemistry and Biology. Molecules. 2021; 26(23):7162. https://doi.org/10.3390/molecules26237162
Chicago/Turabian StyleKohout, Jan. 2021. "Modified Arrhenius Equation in Materials Science, Chemistry and Biology" Molecules 26, no. 23: 7162. https://doi.org/10.3390/molecules26237162
APA StyleKohout, J. (2021). Modified Arrhenius Equation in Materials Science, Chemistry and Biology. Molecules, 26(23), 7162. https://doi.org/10.3390/molecules26237162
