Theoretical Thermodynamic Efficiency Limit of Isothermal Solar Fuel Generation from H2O/CO2 Splitting in Membrane Reactors
Abstract
:1. Introduction
2. System Description and Theoretical Formulation
2.1. System Description
2.2. MIEC Membrane Kinetics
2.3. Thermodynamic Performance
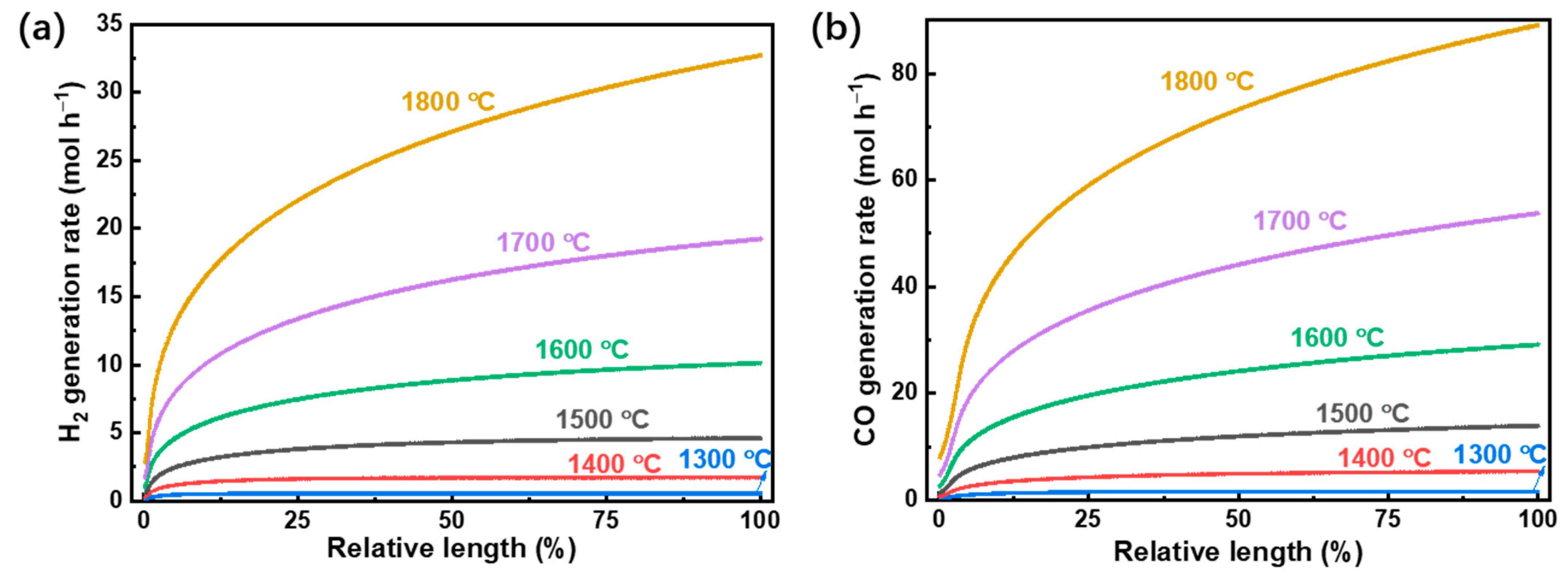
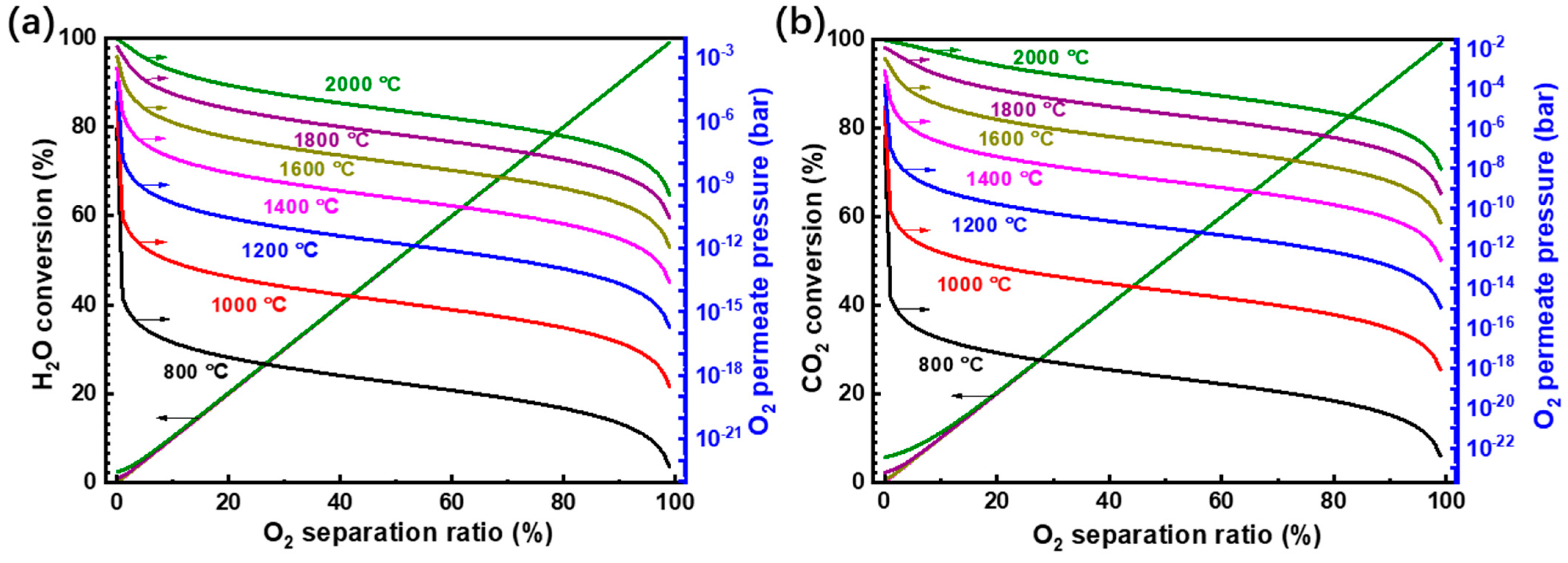
3. Results and Discussion
4. Conclusions
Author Contributions
Funding
Institutional Review Board Statement
Data Availability Statement
Acknowledgments
Conflicts of Interest
References
- Dutta, S. Review on Solar Hydrogen: Its Prospects and Limitations. Energy Fuels 2021, 35, 11613–11639. [Google Scholar] [CrossRef]
- Rabaia, M.K.H.; Abdelkareem, M.A.; Sayed, E.T.; Elsaid, K.; Chae, K.-J.; Wilberforce, T.; Olabi, A. Environmental impacts of solar energy systems: A review. Sci. Total Environ. 2021, 754, 141989. [Google Scholar] [CrossRef]
- Kodama, T. High-temperature solar chemistry for converting solar heat to chemical fuels. Prog. Energy Combust. Sci. 2003, 29, 567–597. [Google Scholar] [CrossRef]
- Romero, M.; Steinfeld, A. Concentrating solar thermal power and thermochemical fuels. Energy Environ. Sci. 2012, 5, 9234–9245. [Google Scholar] [CrossRef]
- Weinstein, L.A.; Loomis, J.; Bhatia, B.; Bierman, D.M.; Wang, E.N.; Chen, G. Concentrating solar power. Chem. Rev. 2015, 115, 12797–12838. [Google Scholar] [CrossRef] [PubMed]
- Tou, M.; Jin, J.; Hao, Y.; Steinfeld, A.; Michalsky, R. Solar-driven co-thermolysis of CO2 and H2O promoted by in situ oxygen removal across a non-stoichiometric ceria membrane. React. Chem. Eng. 2019, 4, 1431–1438. [Google Scholar] [CrossRef] [Green Version]
- Tou, M.; Michalsky, R.; Steinfeld, A. Solar-driven thermochemical splitting of CO2 and in situ separation of CO and O2 across a ceria redox membrane reactor. Joule 2017, 1, 146–154. [Google Scholar] [CrossRef] [Green Version]
- Wu, X.-Y.; Ghoniem, A.F. Mixed ionic-electronic conducting (MIEC) membranes for thermochemical reduction of CO2: A review. Prog. Energy Combust. Sci. 2019, 74, 1–30. [Google Scholar] [CrossRef]
- Wang, H.; Hao, Y.; Kong, H. Thermodynamic study on solar thermochemical fuel production with oxygen permeation membrane reactors. Int. J. Energy Res. 2015, 39, 1790–1799. [Google Scholar] [CrossRef]
- Fletcher, E.A.; Moen, R.L. Hydrogen-and oxygen from water. Science 1977, 197, 1050–1056. [Google Scholar] [CrossRef]
- Muhich, C.L.; Evanko, B.W.; Weston, K.C.; Lichty, P.; Liang, X.; Martinek, J.; Musgrave, C.B.; Weimer, A.W. Efficient generation of H2 by splitting water with an isothermal redox cycle. Science 2013, 341, 540–542. [Google Scholar] [CrossRef]
- Scheffe, J.R.; Steinfeld, A. Oxygen exchange materials for solar thermochemical splitting of H2O and CO2: A review. Mater. Today 2014, 17, 341–348. [Google Scholar] [CrossRef]
- Hao, Y.; Yang, C.-K.; Haile, S.M. High-temperature isothermal chemical cycling for solar-driven fuel production. Phys. Chem. Chem. Phys. 2013, 15, 17084–17092. [Google Scholar] [CrossRef] [PubMed] [Green Version]
- Al-Shankiti, I.; Ehrhart, B.D.; Weimer, A.W. Isothermal redox for H2O and CO2 splitting–A review and perspective. Sol. Energy 2017, 156, 21–29. [Google Scholar] [CrossRef]
- Hao, Y.; Jin, J.; Jin, H. Thermodynamic analysis of isothermal CO2 splitting and CO2-H2O co-splitting for solar fuel production. Appl. Therm. Eng. 2020, 166, 113600. [Google Scholar] [CrossRef]
- Bhosale, R.R.; Takalkar, G.; Sutar, P.; Kumar, A.; AlMomani, F.; Khraisheh, M. A decade of ceria based solar thermochemical H2O/CO2 splitting cycle. Int. J. Hydrog. Energy 2019, 44, 34–60. [Google Scholar] [CrossRef]
- Liang, W.; Cao, Z.; He, G.; Caro, J.; Jiang, H. Oxygen transport membrane for thermochemical conversion of water and carbon dioxide into synthesis gas. ACS Sustain. Chem. Eng. 2017, 5, 8657–8662. [Google Scholar] [CrossRef]
- Browall, K.; Doremus, R. Synthesis and Evaluation of Doped Y2O3-Stabilized ZrO2 for the Production of Hydrogen. J. Am. Ceram. Soc. 1977, 60, 262–267. [Google Scholar] [CrossRef]
- Zhu, L.; Lu, Y.; Shen, S. Solar fuel production at high temperatures using ceria as a dense membrane. Energy 2016, 104, 53–63. [Google Scholar] [CrossRef]
- Li, S.; Kreider, P.B.; Wheeler, V.M.; Lipiński, W. Thermodynamic analyses of fuel production via solar-driven ceria-based nonstoichiometric redox cycling: A case study of the isothermal membrane reactor system. J. Sol. Energy Eng. 2019, 141, 021012. [Google Scholar] [CrossRef] [Green Version]
- Abanades, S.; Haeussler, A.; Julbe, A. Thermochemical solar-driven reduction of CO2 into separate streams of CO and O2 via an isothermal oxygen-conducting ceria membrane reactor. Chem. Eng. J. 2021, 422, 130026. [Google Scholar] [CrossRef]
- Haeussler, A.; Abanades, S.; Jouannaux, J.; Julbe, A. Demonstration of a ceria membrane solar reactor promoted by dual perovskite coatings for continuous and isothermal redox splitting of CO2 and H2O. J. Membr. Sci. 2021, 634, 119387. [Google Scholar] [CrossRef]
- Ozin, G.A. “One-Pot” solar fuels. Joule 2017, 1, 19–23. [Google Scholar] [CrossRef] [Green Version]
- Cao, G. Electrical conductivity and oxygen semipermeability of terbia and yttria stabilized zirconia. J. Appl. Electrochem. 1994, 24, 1222–1227. [Google Scholar] [CrossRef]
- Lin, Y.S.; Wang, W.; Han, J. Oxygen permeation through thin mixed-conducting solid oxide membranes. AIChE J. 1994, 40, 786–798. [Google Scholar] [CrossRef]
- Liu, Y.; Tan, X.; Li, K. Mixed conducting ceramics for catalytic membrane processing. Catal. Rev. 2006, 48, 145–198. [Google Scholar] [CrossRef]
- Tuller, H. Mixed conduction in nonstoichiometric oxides. Nonstoichiom. Oxides 1981, 271–335. [Google Scholar]
- Xu, S.J.; Thomson, W.J. Oxygen permeation rates through ion-conducting perovskite membranes. Chem. Eng. Sci. 1999, 54, 3839–3850. [Google Scholar] [CrossRef]
- Sousa, J.M.; Cruz, P.; Mendes, A. Modeling a catalytic polymeric non-porous membrane reactor. J. Membr. Sci. 2001, 181, 241–252. [Google Scholar] [CrossRef]
- Wang, H.; Hao, Y. Thermodynamic study of solar thermochemical methane steam reforming with alternating H2 and CO2 permeation membranes reactors. Energy Procedia 2017, 105, 1980–1985. [Google Scholar] [CrossRef]
- Jin, Y.; Rui, Z.; Tian, Y.; Lin, Y.; Li, Y. Sequential simulation of dense oxygen permeation membrane reactor for hydrogen production from oxidative steam reforming of ethanol with ASPEN PLUS. Int. J. Hydrog. Energy 2010, 35, 6691–6698. [Google Scholar] [CrossRef]
- Wang, H.; Liu, M.; Kong, H.; Hao, Y. Thermodynamic analysis on mid/low temperature solar methane steam reforming with hydrogen permeation membrane reactors. Appl. Therm. Eng. 2019, 152, 925–936. [Google Scholar] [CrossRef]
- Poulopoulos, S.; Inglezakis, V. Adsorption, Ion Exchange and Catalysis: Design of Operations and Environmental Applications; Elsevier: Amsterdam, The Netherlands, 2006. [Google Scholar]
- Kong, H.; Kong, X.; Wang, H.; Wang, J. A strategy for optimizing efficiencies of solar thermochemical fuel production based on nonstoichiometric oxides. Int. J. Hydrog. Energy 2019, 44, 19585–19594. [Google Scholar] [CrossRef]
- Kribus, A.; Kaftori, D.; Mittelman, G.; Hirshfeld, A.; Flitsanov, Y.; Dayan, A. A miniature concentrating photovoltaic and thermal system. Energy Convers. Manag. 2006, 47, 3582–3590. [Google Scholar] [CrossRef]
- Chueh, W.C.; Falter, C.; Abbott, M.; Scipio, D.; Furler, P.; Haile, S.M.; Steinfeld, A. High-flux solar-driven thermochemical dissociation of CO2 and H2O using nonstoichiometric ceria. Science 2010, 330, 1797–1801. [Google Scholar] [CrossRef] [PubMed] [Green Version]
- Wang, H.; Kong, H.; Pu, Z.; Li, Y.; Hu, X. Feasibility of high efficient solar hydrogen generation system integrating photovoltaic cell/photon-enhanced thermionic emission and high-temperature electrolysis cell. Energy Convers. Manag. 2020, 210, 112699. [Google Scholar] [CrossRef]
- Bulfin, B.; Call, F.; Lange, M.; Lubben, O.; Sattler, C.; Pitz-Paal, R.; Shvets, I. Thermodynamics of CeO2 thermochemical. fuel production. Energy Fuels 2015, 29, 1001–1009. [Google Scholar] [CrossRef]
- Petela, R. Exergy of heat radiation. J. Heat Transfer. 1964, 86, 187–192. [Google Scholar] [CrossRef]
- Roine, A. HSC Chemistry 5.11; Outokumpu Research Oy: Pori, Finland, 2002. [Google Scholar]
- Lede, J.; Lapicque, F.; Villermaux, J.; Cales, B.; Ounalli, A.; Baumard, J.; Anthony, A. Production of hydrogen by direct thermal decomposition of water: Preliminary investigations. Int. J. Hydrog. Energy 1982, 7, 939–950. [Google Scholar] [CrossRef]
- Kogan, A. Direct solar thermal splitting of water and on-site separation of the products—II. Experimental feasibility study. Int. J. Hydrog. Energy 1998, 23, 89–98. [Google Scholar] [CrossRef]
- Jarrett, C.; Chueh, W.; Yuan, C.; Kawajiri, Y.; Sandhage, K.H.; Henry, A. Critical limitations on the efficiency of two-step thermochemical cycles. Sol. Energy 2016, 123, 57–73. [Google Scholar] [CrossRef]











| Ro (cm) | Rin (cm) | L (cm) |
|---|---|---|
| 0.1 | 0.08 | 80 |
Publisher’s Note: MDPI stays neutral with regard to jurisdictional claims in published maps and institutional affiliations. |
© 2021 by the authors. Licensee MDPI, Basel, Switzerland. This article is an open access article distributed under the terms and conditions of the Creative Commons Attribution (CC BY) license (https://creativecommons.org/licenses/by/4.0/).
Share and Cite
Wang, H.; Kong, H.; Wang, J.; Liu, M.; Su, B.; Lundin, S.-T.B. Theoretical Thermodynamic Efficiency Limit of Isothermal Solar Fuel Generation from H2O/CO2 Splitting in Membrane Reactors. Molecules 2021, 26, 7047. https://doi.org/10.3390/molecules26227047
Wang H, Kong H, Wang J, Liu M, Su B, Lundin S-TB. Theoretical Thermodynamic Efficiency Limit of Isothermal Solar Fuel Generation from H2O/CO2 Splitting in Membrane Reactors. Molecules. 2021; 26(22):7047. https://doi.org/10.3390/molecules26227047
Chicago/Turabian StyleWang, Hongsheng, Hui Kong, Jian Wang, Mingkai Liu, Bosheng Su, and Sean-Thomas B. Lundin. 2021. "Theoretical Thermodynamic Efficiency Limit of Isothermal Solar Fuel Generation from H2O/CO2 Splitting in Membrane Reactors" Molecules 26, no. 22: 7047. https://doi.org/10.3390/molecules26227047
APA StyleWang, H., Kong, H., Wang, J., Liu, M., Su, B., & Lundin, S.-T. B. (2021). Theoretical Thermodynamic Efficiency Limit of Isothermal Solar Fuel Generation from H2O/CO2 Splitting in Membrane Reactors. Molecules, 26(22), 7047. https://doi.org/10.3390/molecules26227047

