Abstract
A series of novel 3-phenoxy-4-(3-trifluoromethylphenyl)pyridazines 2–5 were designed, based on the structure of our previous lead compound 1 through the in silico structure-guided optimization approach. The results showed that some of these new compounds showed a good herbicidal activity at the rate of 750 g ai/ha by both pre- and post-emergence applications, especially compound 2a, which displayed a comparable pre-emergence herbicidal activity to diflufenican at 300–750 g ai/ha, and a higher post-emergence herbicidal activity than diflufenican at the rates of 300–750 g ai/ha. Additionally, 2a was safe to wheat by both pre- and post-emergence applications at 300 g ai/ha, showing the compound’s potential for weed control in wheat fields. Our molecular simulation studies revealed the important factors involved in the interaction between 2a and Synechococcus PDS. This work provided a lead compound for weed control in wheat fields.
1. Introduction
Weeds compete with crops for nutrients, light, and water, and are one of the biggest threats to global food security, causing billions of dollars of economic losses every year [1,2]. Therefore, weed control is crucial to modern sustainable agricultural production [3,4]. There are many ways to control weeds in crop fields, and using herbicides is the most effective and economical approach to decimate weeds [5]. Consequently, the discovery of new herbicides is essential to crop protection [6,7,8]. Phytoene desaturase (PDS) is an important target for the discovery of herbicides [9]. It is a rate-limiting enzyme involved in the biosynthesis of carotenoids, which catalyzes the symmetric desaturation of phytoene to carotene. Inhibition of PDS within plants could block the biosynthesis of carotene and lead to the accumulation of phytoene, which, in turn, would result in the photooxidation of the plant cell. Then, the treated plants would develop a unique whitening symptom on the new leaves, followed by the full whitening effect of the entire leaves, and finally, death [10,11].
Currently, seven PDS-inhibiting herbicides are being used in the market to decimate weeds in grain fields (Figure 1). Based on the structural features, these herbicides can furtherly be divided into three classes: phenyl–ether (diflufenican, beflubutamid, and picolinafen), N-phenyl heterocyclic compounds (norflurazon and flurochloridone), and diphenyl heterocyclic compounds (flurtamone and fluridone) [12]. Diflufenican was developed by Bayer in 1987, and was mainly used for the control of broadleaf weeds in barley and wheat fields by an early post- or pre-emergence application. Norflurazon was developed by Syngenta in 1968. It can control monocotyledon and broadleaf weeds in peanut and cotton fields by a pre-emergence application at 0.5–2 kg ai/ha. Additionally, at the higher application dosage of 1.5–4 kg ai/ha, norflurazon can be used for the management of weeds in non-tilled lands and orchards. Flurtamone was developed by Bayer in 1997; similar to other PDS herbicides, it can also provide a wide range of broadleaf weed control in some commercial crops, such as cotton and sunflower, as well as in grain fields, at the rates of 250–375 g ai/ha.
Figure 1.
The chemical structures of commercial PDS inhibitory herbicides and the lead compound 1. The introducing company and year are shown below each herbicide; the common sub-structure of the herbicides and compound 1 are highlighted in blue.
After comparing the structures of the commercial PDS herbicides, we found that they all contain the m-trifluoromethyl phenyl group as a common substructure (Figure 1), suggesting that this group has a vital interaction with their target enzyme [13]. In 2017, Brausemann et al., reported the crystal structure of Oryza sativa PDS 4-trifluoromethyl phenyl moietyin complex with norflurazon [14]. They found that norflurazon bound to the catalytic site of OsPDS, and that the m-trifluoromethyl phenyl group of norflurazon was located at the hydrophobic channel of the protein, and had several important hydrophobic interactions with the surrounding Ala280, Phe423, and Leu421. These findings explained why the m-trifluoromethyl phenyl group was important for PDS herbicides. Previously, we have designed a series of 3-(phenoxy)-6-methyl-4-(3-trifluoromethylphenyl)pyridazines; among them, compound 1 (Figure 1) showed good herbicidal activity at the rate of 750 g ai/ha. To obtain a more detailed structure–activity relationship (SAR) of this series of compounds, as well as to obtain new compounds with improved performances, herein, we performed molecular simulation studies on compound 1 with Synechococcus PDS, and designed a new series of 3-phenoxy-4-(3-trifluoromethylphenyl)pyridazines 2–5 through an in silico structure-guided optimization approach (Figure 2). The systematic SAR studies led to the discovery of a more potent lead compound 2a. Furthermore, to reveal the vital factors in the binding of 2a with Synechococcus PDS, we performed a systematic molecular simulation study of the two molecules.
Figure 2.
The discovery process of compounds 2–5. The simulated binding mode of compound 1 with Synechococcus PDS is shown in cartoon mode, the structure of 1 is shown in the magenta sticks, and the key residues in the active site are shown in the green sticks.
2. Results
2.1. Design of Compounds 2–5
Previously, we have found that compound 1 was a potent PDS inhibitor, but its herbicidal potency still requires further improvement. In this work, we intended to make an additional structural modification of compound 1, based on the results of the molecular simulation study of 1 with Synechococcus PDS. First, we built the 3D structure of Synechococcus PDS through homologous modeling, using MODELER 9v19, based on the structure of OsPDS [15]. Then, we docked compound 1 to the active site of Synechococcus PDS using Autodock 4 software [16]. The results indicated that compound 1 was located at the catalytic site of Synechococcus PDS (Figure 2), which was similar to that of the norflurazon–OsPDS system [14]. It was found that the m-trifluoromethyl phenyl group of compound 1 was located in the hydrophobic pocket, which was composed of Ile56, Ala175, Phe322, and Phe58. Additionally, the trifluoromethyl group could form an alkyl–π interaction with Phe322 and Phe58, and an alkyl–alkyl interaction with Ala175 and Leu176; the benzyl group could form a T–π interaction with Phe58, and these key interactions may explain why the m-trifluoromethyl phenyl group was dispensable for activity. The methyl group of compound 1 was situated at the hydrophobic pocket, and was mainly composed by the isoalloxazine ring of FAD, Phe178, and Val403. The 4-cyano-phenyl group of compound 1 was also located at the hydrophobic cavity, suggesting that the modification of this group may improve the hydrophobic interactions of ligands and the surrounding residues. In addition, the pyridazine ring could form favorable π–π interactions with the isoalloxazine ring of FAD, and the oxygen group had a hydrogen-bonding interaction with Arg95.
Based on the above discussions, we intended to fix the highly conserved m-trifluoromethyl phenyl group and modify the methyl and 4-cyano-phenyl groups of compound 1, to improve the binding affinity between ligands and the protein. Accordingly, compounds 2–5 were designed (Figure 2).
2.2. Chemistry
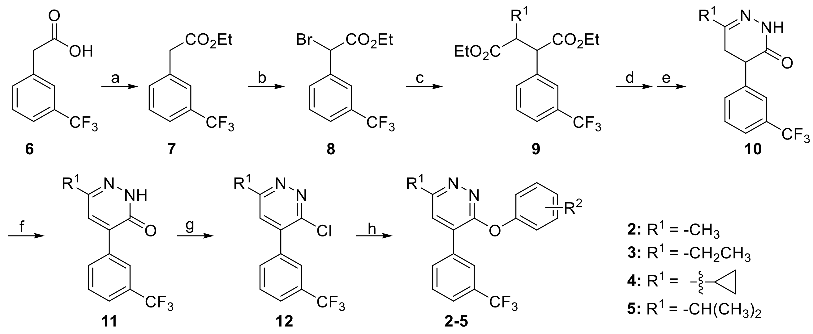
To obtain new compounds for the subsequent bioactivity study relatively quickly, we designed synthetic routes that could support substrate expansion at the last step of the reaction. As illustrated in Scheme 1, the newly designed compounds 2–5 were prepared, starting from the ester reaction of 2-(3-(trifluoromethyl)phenyl)acetic acid 6 with ethanol, using concentrated H2SO4 as a catalyst under reflux conditions. The resulting intermediate 7 reacted with the N-bromosuccinimide (NBS) in the refluxing of the CCl4 solution, which provided the bromide-substituted intermediate 8. Then, compound 8 reacted with the (substituted) ethyl acetoacetate in CH3CN, with K2CO3 as the base; this afforded the intermediates 9a–d. Without purification, the ethoxycarbonyl groups of 9a–d were hydrolyzed under base conditions which were provided the corresponding acids. Without purification, the acids were directly reacted with N2H4·H2O in ethanol, under refluxing, which afforded the intermediates 10a–d. Subsequently, two hydrogen atoms in the 4,5-dihydropyridazin-3(2H)-one ring of 10 were removed by K2CO3, using DMSO as a reaction solution, at 60 °C. The resulting pyridazin-3(2H)-one derivatives, 11a–d, reacted with POCl3 at 60 °C, which gave the corresponding intermediates 12a–d in 30–70% yields. Initially, we tried to prepare the compounds 2–5 using dimethyl formamide (DMF), CH3CN, acetone, dimethyl sulfoxide (DMSO), or N-methylpyrrolidone (NMP) as solvents, either under base conditions (using K2CO3, Cs2CO3, or NaOH) at room temperature, or under reflux conditions. However, we found that none of these combinations achieved the desired compounds, due to the low conversation rate of the starting material. We, therefore, inferred that the solvent and base might be averse to the reaction. Finally, the preparation of compounds 2–5 was accomplished by heating the intermediates 12 with substituted phenols at 130 °C under nitrogen, and the target compounds were obtained in 20–85% yields (Table S1).
Scheme 1.
Synthetic routes of compounds 2–5. (a) EtOH, H2SO4, reflux, (b) NBS, AIBN, CCl4, reflux; (c) R1COCH2CO2Et, K2CO3, CH3CN, reflux; (d) NaOH, EtOH-H2O, reflux; (e) N2H4·H2O, EtOH, reflux; (f) K2CO3, DMSO, 60 °C; (g) POCl3, 60 °C; (h) substituted phenols, 130 °C.
2.3. Herbicidal Activity and SAR
The post- and pre-emergence herbicidal potency of the newly synthesized compounds 2–5 were tested against six weeds, as was the compound diflufenican, as well as our previous lead compound 1, which was was selected as the positive control. The post-emergent herbicidal potency of these compounds is shown in Table 1, and the pre-emergent herbicidal activity is shown in Table S2. The results regarding the herbicidal activity showed that most of the synthesized compounds 2–5 showed good to excellent weed control toward the tested weeds. Some compounds, such as 2a and 3h, exhibited excellent herbicidal activity higher than that of the lead compound 1, and comparable to diflufenican by both pre- and post-emergence application. Additionally, we found that the synthesized compounds showed similar whitening symptoms on the leaves of the treated weeds. For example, as shown in Figure 3, compound 3h exhibited the same whitening symptoms on the leaves of AMARE, ECHCG, and DIGAS as that of diflufenican, suggesting that compound 3h might also inhibit the PDS enzyme in planta.
Table 1.
The post-emergence herbicidal activity of compounds 1–5 and diflufenican.
Figure 3.
The injury symptoms of Eclipta prostrata (ECLPR), Amaranthus retroflexus (AMARE), and Digitaria sanguinalis (DIGSA) after treatment with 3h (A) and diflufenican (B) at a dosage range from 150 to 750 g ai/ha by a post-emergence application, the photos were taken at 20th day after treatment.
Initially, we kept the R1 as a -CH3 and optimized the R2 substitution at the phenoxy group. Previously, we found that installing the electron-donating groups at R2 was detrimental to the compounds’ bioactivity [17]. Therefore, in the current work, we mainly introduced the electron-withdrawing groups at R2. As depicted in Table 1, introducing the -CF3 group at the 4-position of the benzene ring led to compound 2a, which showed excellent herbicidal activity (over 80% that of control) against the six tested weeds at the dosage of 750 g ai/ha, and displayed significantly improved potency than that of diflufenican and compound 1. Substituting the fluorine atom at the 3-position of the benzene ring (2b) was found to be unfavorable to herbicidal activity. In contrast, installing another fluorine atom at the 3-position could improve the herbicidal potency (2c), indicating that the electron-withdrawing group at the 4-position was crucial to activity. Switching the 4-fluorine atom at the benzene ring of 2c to the chlorine atom was beneficial to herbicidal activity (2d > 2c). Interestingly, changing the 4-fluorine atom at 2c to a bromine atom almost did not affect the herbicidal potency (2e ≈ 2e). In addition, adding another fluorine atom at the 5-position of the benzene ring of 2c further improved the potency (2h > 2c). Next, we changed the methyl group at the R1 to an ethyl group, and synthesized the compounds 3a–i (Scheme 1). It was observed that there was some variation in the herbicidal activity of compounds 2 and 3. For example, compound 3a showed a decreased herbicidal potency relative to its mother compound 1a, while 3h showed an improved herbicidal activity than 2h. In most cases, switching the ethyl groups of compounds 3a–i to the cyclopropyl group decreased the herbicidal activity (4a–i). However, changing the cyclopropyl groups of 4a–I to the isopropyl groups resulted in the nearly complete loss of herbicidal potency (5a–i). These results indicated that the substitution of the steric bulky groups at R1 could reduce the herbicidal activity. Therefore, the effect of R1 substitution on the post-emergence herbicidal activity decreased in the order of -CH3, -CH2CH3 > cyclopropyl group > -CH(CH3)2.
In most cases, the pre-emergence herbicidal activity SAR trends for the compounds 2–5 were similar to their post-emergence herbicidal activity that was discussed in the above paragraph. For example, as shown in Table S2, the compounds 2a–h (R1 = -CH3) and 3a–i (R1 = -CH2CH3) showed a higher herbicidal activity than the compounds 4a–i (R1 = cyclopropyl group) and 5a–i (R1 = -CH(CH3)2) (2, 3 > 4 > 5). Additionally, the compound 2a showed a strong pre-emergence herbicidal activity comparable to that of diflufenican, while 3h showed less potency than diflufenican.
2.4. Crop Selectivity
Compound 2a showed higher herbicidal potency than diflufenican, at the rates of 300–750 g ai/ha by the post-emergence application, as well as a comparable potency to that of diflufenican by the pre-emergence application. Therefore, to explore whether 2a could be a potential lead compound or not, we carried out further crop selectivity tests of 2a against six representative crops. As shown in Table 2, at the rate of 300 g ai/ha by the post-emergence application, the compound 2a showed high selectivity to wheat. At the same time, diflufenican was not as safe as 2a to wheat in this experimental condition. Additionally, at 300 g ai/ha, both 2a and diflufenican showed excellent safety towards the six kinds of crops by the pre-emergence application. Collectively, our results showed that 2a had the potential to develop as a lead herbicide for wheat fields by both pre- and post-emergence application.
Table 2.
Post- and pre-emergence crop selectivity results of compounds 2a and diflufenican.
2.5. Synechococcus PDS Binding Affinity
To understand whether our newly synthesized compounds could bind to the PDS in vitro or not, the compounds 2a and 3h, which had good herbicidal activity, were selected for further Synechococcus PDS binding affinity experiments, using a surface plasmon resonance (SPR) assay [18]. We found that 2a and 3h could bind to the recombinant Synechococcus PDS protein which was immobilized on the sensor chip, and the KD values for 2a and 3h were determined to be 7.08 and 63.2 μM, respectively. To our surprise, the KD value of 2a was even higher than that of diflufenican (70.8 μM) and the lead compound 1 (43.5 μM). Together, our results indicated that 2a decimates weeds through the inhibition of PDS in planta.
2.6. Molecular Simulation Studies
To understand the binding details of the synthesized inhibitors to Synechococcus PDS, we carried out molecular dynamic (MD) simulation studies for the representative compound 2a with Synechococcus PDS. First, we docked 2a to the active site of Synechococcus PDS using Autodock 4 software, and the best binding mode of 2a to the protein was selected, based on the binding score [19]. Next, we performed a 30 ns MD simulation of the 2a–Synechococcus PDS complex using the Amber14 program (Figure 4A). Then, we calculated the binding free energy (ΔGbind) of 2a to Synechococcus PDS, using the MM-PBSA method, from the last ten ns of the MD trajectory. As shown in Table S3, the ΔGbind was calculated to be −19.37 kcal/mol, and the van der Waals (ΔEVDW = −52.04 kcal/mol) energy contributed a larger proportion to the ΔGbind than the electrostatic (ΔEele = −12.95 kcal/mol) energy.
Figure 4.
Molecular dynamic simulation study of the 2a-Synechococcus PDS system. (A) The root-mean-square deviation (RMSD) analysis of the C, CA, and N atoms during the MD simulation. (B) The binding mode of 2a to Synechococcus PDS at the last trajectory of MD simulation. (C) Decomposing of the binding free energy of the 2a–Synechococcus PDS complex, in the last 10 ns of the MD trajectories, using MM-GBSA.
Additionally, we extracted the binding mode of 2a to Synechococcus PDS from the MD trajectory. As shown in Figure 4B, at the 30th ns, compound 2a was still located at the active site of Synechococcus PDS, and several conserved interactions were observed to occur between 2a and Synechococcus PDS. For example, the isoalloxazine ring of FAD could form a π–π interaction with the pyridazine ring of 2a, Phe58 had a T-shaped π interaction with the benzene ring of the 4-trifluoromethyl phenyl moiety of 2a, and the 3-trifluoromethyl phenyl moiety of 2a had hydrophilic interactions with the surrounding Phe196, Ile56, and Ala175.
To understand the ligand–protein interaction from the energy perspective, we performed a binding free energy decomposition of the 2a–Synechococcus PDS system, using the MM-GBSA method. The results indicated that, among the resides of Synechococcus PDS (Figure 4C), FAD contributed the most significant proportion of the binding free energy (ΔGbind = −4.59 kcal/mol), suggesting that the π–π interaction between the ligand and FAD is crucial to the activity. In addition, Leu176 was also found to contribute a large proportion to the binding energy (ΔGbind = −2.81 kcal/mol), showing the importance of the 3-trifluoromethylphenyl group to the binding free energy value; this observation can also explain why the 3-trifluoromethylphenyl function group was indispensable to the herbicidal activity observed. Other residues, such as Ile56 (ΔGbind = −1.23 kcal/mol), Phe58 (ΔGbind = −1.57 kcal/mol), Tyr61 (ΔGbind = −0.8 kcal/mol), Ala175 (ΔGbind = −0.83 kcal/mol), and Ala192 (ΔGbind = −0.82 kcal/mol) also made relatively large contributions to the binding free energy.
3. Discussion
In this research, we performed molecular modeling studies of our previously discovered lead compound 1 with Synechococcus PDS, and designed the compounds 2–5. Our herbicidal activity results showed that some newly synthesized compounds displayed a good herbicidal activity against the tested weeds at 750 g ai/ha by both pre- and post-emergence applications. Promisingly, compound 2a showed a higher post-emergence herbicidal activity than diflufenican at the rates of 300–750 g ai/ha, and a comparable pre-emergence herbicidal activity to that of diflufenican at 300–750 g ai/ha. Most importantly, 2a was safe to wheat by both pre- and post-emergence applications at 300 g ai/ha, suggesting the great potential for it to develop as a herbicide for wheat fields. Additionally, we found that 2a (KD = 7.08 μM) bound more tightly to the Synechococcus PDS than did lead compound 1 (KD = 43.5 μM) and diflufenican (KD = 70.8 μM). The results of our molecular simulation studies indicated that 2a could bind to the active site of Synechococcus PDS, and that the van der Waals interaction between ligand and protein is important to its activity. Our present study not only provided a lead compound for weed control but also be useful to explain why the 3-trifluoromethylphenyl functional group is crucial to the bioactivity of PDS inhibitors.
4. Materials and Methods
4.1. Synthetic Chemistry
The chemicals used in this study were all commercially available, unless otherwise specified. Silica gel (200–300 mesh) was used for column chromatography. The 1H and 13C NMR spectra of all the synthesized compounds were recorded on a Bruker Avance II 400 MHz spectrometer. The HRMS spectra data were obtained on a Varian 7.0T FTICR-MS spectrometer.
4.1.1. Preparation of the Intermediates 7–12
The synthetic routes for the intermediates 7–12 were the same as for our previous reports [13,17,20]. The details are shown in the Supporting Information.
4.1.2. General Route to Prepare Compounds 2–5
A mixture of 3-chloro-6-(substituted)-4-(3-(trifluoromethyl)phenyl)pyridazines (0.87 mmol) and (substituted)phenol (2.2 mmol) was heated at 130 °C, with stirring for 12 h. Then, the reaction mixture was cooled to room temperature, and CH2Cl2 (100 mL) was added to dissolve the mixture. The organic layer was washed with 10% NaOH (30 mL) and brine (20 mL), dried over magnesium sulfate, and filtered. The resulting solution was concentrated and purified by column chromatography to afford 2–5.
6-methyl-3-(4-(trifluoromethyl)phenoxy)-4-(3(trifluoromethyl)phenyl)pyridazine (2a). Yellow solid; yield 85%; 1H NMR (400 MHz, acetone-d6) δ 8.16 (d, J = 6.4 Hz, 2H), 7.88–7.83 (m, 2H), 7.82–7.76 (m, 3H), 7.49 (d, J = 8.6 Hz, 2H), 2.68 (s, 3H). 13C NMR (101 MHz, acetone-d6) δ 162.01, 159.16, 158.28, 135.35, 134.12, 131.96, 131.64, 131.32, 130.93, 130.63, 129.90, 127.94, 127.90, 127.86, 127.83, 127.02, 126.98, 126.94, 126.90, 126.86, 122.65, 21.48.HRMS (QFT-ESI) calcd for C19H12F6N2O [M + H]+ 399.0927, found: 399.0930.
3-(3-fluorophenoxy)-6-methyl-4-(3-(trifluoromethyl)phenyl)pyridazine (2b). Yellow oil; yield 60%; 1H NMR (400 MHz, acetone-d6) δ 8.15 (d, J = 9.2 Hz, 2H), 7.81–7.79 (m, 3H), 7.45–7.43 (m, 1H), 7.15–7.07 (m, 2H), 7.03–6.97 (m, 1H), 2.66 (s, 3H). 13C NMR (101 MHz, acetone-d6) δ 163.82, 161.39, 160.59, 157.40, 155.00, 154.94, 134.01, 132.64, 130.16, 130.07, 129.29, 129.11, 128.22, 116.61, 116.57, 111.09, 110.87, 108.51, 108.26, 19.96. HRMS (QFT-ESI) calcd for C18H12F4N2O [M + H]+ 349.0959, found: 349.0953.
3-(3,4-difluorophenoxy)-6-methyl-4-(3-(trifluoromethyl)phenyl)pyridazine (2c). Yellow solid; yield 85%; 1H NMR (400 MHz, acetone-d6) δ 8.19–8.13 (m, 2H), 7.87 (d, J = 7.9 Hz, 1H), 7.83–7.76 (m, 2H), 7.45–7.35 (m, 2H), 7.14–7.12 (m, 1H), 2.66 (s, 3H). 13C NMR (101 MHz, acetone-d6) δ 152.13, 148.86, 142.30, 142.16, 141.07, 141.04, 140.98, 140.95, 139.84, 139.71, 139.58, 137.30, 137.17, 125.40, 124.14, 121.91, 121.59, 121.27, 120.95, 120.80, 120.59, 119.48, 116.96, 116.92, 116.89, 116.85, 108.95, 108.91, 108.89, 108.85, 108.48, 108.29, 102.51, 102.31, 11.42. HRMS (QFT-ESI) calcd for C18H11F5N2O [M + H]+ 367.0864, found: 367.0868.
3-(4-chloro-3-fluorophenoxy)-6-methyl-4-(3-(trifluoromethyl)phenyl)pyridazine (2d). Yellow oil; yield 75%; 1H NMR (400 MHz, acetone-d6) δ 8.15 (dd, J = 2.6, 1.9 Hz, 2H), 7.89–7.77 (m, 3H), 7.58 (t, J = 8.7 Hz, 1H), 7.36 (dd, J = 10.2, 2.6 Hz, 1H), 7.17–7.15 (m, 1H), 2.67 (s, 3H). 13C NMR (101 MHz, acetone-d6) δ 151.92, 150.10, 149.09, 147.63, 144.78, 144.68, 125.23, 124.09, 121.89, 121.75, 121.57, 121.25, 120.91, 120.58, 119.68, 116.98, 116.95, 116.91, 116.88, 116.84, 116.80, 109.42, 109.39, 107.30, 107.14, 101.63, 101.39, 11.44. HRMS (QFT-ESI) calcd for C18H11ClF4N2O [M + H]+ 383.0569, found: 383.0571.
3-(4-bromo-3-fluorophenoxy)-6-methyl-4-(3-(trifluoromethyl)phenyl)pyridazine (2e). Yellow solid; yield 82%; 1H NMR (400 MHz, acetone-d6) δ 8.18–8.13 (m, 2H), 7.89–7.77 (m, 3H), 7.75–7.69 (m, 1H), 7.34–7.32 (m, 1H), 7.12–7.10 (m, 1H), 2.68 (s, 3H). 13C NMR (101 MHz, acetone-d6) δ 206.31, 161.93, 161.23, 159.09, 158.78, 155.64, 155.54, 135.28, 134.68, 134.14, 131.91, 131.59, 131.27, 131.00, 130.62, 129.82, 127.02, 126.99, 126.95, 126.92, 126.88, 126.84, 123.81, 119.92, 119.89, 111.56, 111.31, 104.74, 104.53, 21.41. HRMS (QFT-ESI) calcd for C18H11BrF4N2O [M + H]+ 427.0064, found: 427.0066.
2-fluoro-4-((6-methyl-4-(3-(trifluoromethyl)phenyl)pyridazine-3-yl)oxy)benzonitrile (2f). Yellow solid; yield 75%; 1H NMR (400 MHz, acetone-d6) δ 8.16–8.11 (m, 2H), 7.95–7.85 (m, 3H), 7.82–7.77 (m, 1H), 7.46 (dd, J = 10.6, 2.2 Hz, 1H), 7.34 (dd, J = 8.6, 2.2 Hz, 1H), 2.70 (s, 3H). 13C NMR (101 MHz, acetone-d6) δ 165.91, 163.36, 161.49, 160.41, 160.30, 159.81, 135.51, 134.89, 134.02, 131.23, 130.63, 130.17, 127.10, 127.06, 127.02, 126.99, 126.89, 126.85, 126.81, 126.78, 118.92, 118.89, 114.30, 110.58, 110.35, 97.95, 97.80, 21.50. HRMS (QFT-ESI) calcd for C19H11F4N3O [M + H]+ 374.0911, found: 374.0915.
3-(4-chloro-2-fluorophenoxy)-6-methyl-4-(3-(trifluoromethyl)phenyl)pyridazine (2g). Yellow solid; yield 78%; 1H NMR (400 MHz, acetone-d6) δ 8.21–8.14 (m, 2H), 7.90–7.77 (m, 3H), 7.53–7.40 (m, 2H), 7.33 (d, J = 8.7 Hz, 1H), 2.66 (s, 3H). 13C NMR (101 MHz, acetone-d6) δ 151.92, 150.10, 149.09, 147.63, 144.78, 144.68, 125.23, 124.09, 121.89, 121.75, 121.57, 121.25, 120.91, 120.58, 119.68, 109.42, 109.39, 107.30, 107.14, 101.63, 101.39, 11.44. HRMS (QFT-ESI) calcd for C18H11ClF4N2O [M + H]+ 383.0569, found: 383.0563.
6-methyl-4-(3-(trifluoromethyl)phenyl)-3-(3,4,5-trifluorophenoxy)pyridazine (2h). Yellow oil; yield 65%; 1H NMR (400 MHz, acetone-d6) δ 8.15 (d, J = 5.2 Hz, 2H), 7.87 (d, J = 7.9 Hz, 1H), 7.84–7.77 (m, 2H), 7.30–7.22 (m, 2H), 2.67 (s, 3H). 13C NMR (101 MHz, acetone-d6) δ 161.90, 159.27, 153.32, 153.27, 153.21, 153.16, 150.86, 150.81, 150.75, 150.70, 150.43, 150.39, 150.31, 150.27, 150.19, 150.15, 139.57, 139.42, 139.27, 137.12, 136.97, 136.82, 135.18, 134.13, 132.02, 131.70, 131.38, 130.99, 130.63, 129.67, 127.07, 127.04, 127.00, 126.97, 126.94, 126.90, 126.86, 126.55, 123.85, 108.12, 108.06, 107.95, 107.89, 21.45. HRMS (QFT-ESI) calcd for C18H10F6N2O [M + H]+ 385.0770, found: 385.0772.
6-ethyl-3-(4-(trifluoromethyl)phenoxy)-4-(3-(trifluoromethyl)phenyl)pyridazine (3a). Yellow solid; yield 60%; 1H NMR (400 MHz, acetone-d6) δ 8.17 (d, J = 7.6 Hz, 2H), 7.86 (s, 2H), 7.79 (d, J = 6.4 Hz, 3H), 7.49 (d, J = 8.0 Hz, 2H), 3.02 (q, J = 7.2 Hz, 2H), 1.37 (t, J = 7.6 Hz, 3H). 13C NMR (101 MHz, acetone-d6) δ 162.55, 161.32, 151.36, 151.21, 150.12, 150.09, 150.03, 150.00, 148.90, 148.78, 148.76, 148.66, 146.37, 146.24, 134.55, 133.22, 130.95, 130.63, 130.31, 129.99, 129.62, 129.02, 128.76, 126.04, 126.00, 125.96, 125.92, 125.88, 125.65, 122.89, 118.08, 117.98, 117.53, 117.34, 111.63, 111.43, 28.30, 13.09. HRMS (QFT-ESI) calcd for C20H14F6N2O [M + Na]+ 435.0903, found: 435.0908.
6-ethyl-3-(3-fluorophenoxy)-4-(3-(trifluoromethyl)phenyl)pyridazine (3b). Yellow solid; yield 60%; 1H NMR (400 MHz, acetone-d6) δ 8.18 (d, J = 7.4 Hz, 2H), 7.90–7.84 (m, 2H), 7.81 (t, J = 7.8 Hz, 1H), 7.52–7.44 (m, 1H), 7.18–7.10 (m, 2H), 7.07–7.01 (m, 1H), 3.02 (q, J = 7.6 Hz, 2H), 1.38 (t, J = 7.6 Hz, 3H).13C NMR (101 MHz, acetone-d6) δ 165.26, 163.51, 162.82, 162.18, 156.39, 156.28, 135.51, 134.11, 131.59, 131.49, 130.53, 129.91, 126.81, 118.10, 112.56, 112.35, 110.02, 109.78, 29.25, 14.04. HRMS (QFT-ESI) calcd for C19H14F4N2O [M + Na]+ 385.0934, found: 385.0939.
3-(3,4-difluorophenoxy)-6-ethyl-4-(3-(trifluoromethyl)phenyl)pyridazine (3c). Yellow solid; yield 50%; 1H NMR (400 MHz, DMSO-d6) δ 8.19–8.13 (m, 2H), 7.89 (d, J = 11.2 Hz, 2H), 7.79 (t, J = 7.6 Hz, 1H), 7.59–7.49 (m, 2H), 7.20–7.13 (m, 1H), 2.94 (q, J = 7.6 Hz, 2H), 1.31 (t, J = 7.6 Hz, 3H). 13C NMR (101 MHz, acetone-d6) δ 163.97, 161.92, 158.79, 135.24, 134.85, 134.09, 131.57, 131.25, 130.58, 130.56, 130.23, 130.18, 130.14, 126.99, 126.95, 126.86, 126.83, 122.97, 119.08, 109.18, 108.15, 107.91, 29.26, 14.00. HRMS (QFT-ESI) calcd for C19H13F5N2O [M + Na]+ 403.0840, found: 408.0848.
3-(4-chloro-3-fluorophenoxy)-6-ethyl-4-(3-(trifluoromethyl)phenyl)pyridazine (3d). Yellow oil; yield 50%; 1H NMR (400 MHz, CD2Cl2) δ 7.95–7.88 (m, 2H), 7.75 (d, J = 7.9 Hz, 1H), 7.65 (t, J = 7.8 Hz, 1H), 7.47–7.40 (m, 2H), 7.08 (dd, J = 9.8, 2.6 Hz, 1H), 7.01–6.96 (m, 1.3 Hz, 1H), 3.00 (q, J = 7.6 Hz, 2H), 1.37 (t, J = 7.6 Hz, 3H). 13C NMR (101 MHz, acetone-d6) δ 163.67, 162.06, 160.10, 157.64, 154.80, 154.70, 135.37, 134.11, 131.74, 130.54, 130.02, 129.86, 126.90, 119.48, 117.22, 117.05, 111.70, 111.46, 29.23, 13.99. HRMS (QFT-ESI) calcd for C19H13ClF4N2O [M + Na]+ 419.0545, found: 419.0541.
3-(4-bromo-3-fluorophenoxy)-6-ethyl-4-(3-(trifluoromethyl)phenyl)pyridazine (3e). Yellow solid; yield 50%; 1H NMR (400 MHz, CD2Cl2) δ 7.95–7.88 (m, 2H), 7.75 (d, J = 8.0 Hz, 1H), 7.65 (t, J = 7.6 Hz, 1H), 7.61–7.55 (m, 1H), 7.44 (s, 1H), 7.06 (dd, J = 9.4, 2.4 Hz, 1H), 6.89–6.84 (m, 1H), 3.00 (q, J = 7.6 Hz, 2H), 1.37 (t, J = 7.6 Hz, 3H). 13C NMR (101 MHz, acetone-d6) δ 163.97, 161.92, 158.79, 135.24, 134.85, 134.09, 131.57, 131.25, 130.58, 130.56, 130.23, 130.18, 130.14, 126.99, 126.95, 126.86, 126.83, 122.97, 119.08, 109.18, 108.15, 107.91, 29.26, 14.00. HRMS (QFT-ESI) calcd for C19H13BrF4N2O [M + Na]+ 463.0040, found: 463.0045.
4-((6-ethyl-4-(3-(trifluoromethyl)phenyl)pyridazine-3-yl)oxy)-2-fluorobenzonitrile (3f). Yellow solid; yield 60%; 1H NMR (400 MHz, acetone-d6) δ 8.15 (d, J = 6.0 Hz, 2H), 7.95–7.89 (m, 2H), 7.87 (d, J = 8.4 Hz, 1H), 7.80 (t, J = 8.0 Hz, 1H), 7.47 (dd, J = 10.4, 2.0 Hz, 1H), 7.35 (dd, J = 8.4, 2.0 Hz, 1H), 3.04 (q, J = 7.6 Hz, 2H), 1.37 (t, J = 7.6 Hz, 3H). 13C NMR (101 MHz, acetone-d6) δ 165.96, 164.45, 163.41, 161.68, 160.47, 160.36, 135.57, 135.03, 134.09, 133.39, 131.60, 131.31, 130.64, 130.45, 130.03, 127.05, 126.82, 126.43, 119.00, 114.32, 110.66, 110.44, 98.05, 97.99, 97.84, 97.79, 29.26, 13.99. HRMS (QFT-ESI) calcd for C20H13F4N3O [M + Na]+ 410.0887, found: 410.0889.
3-(4-chloro-2-fluorophenoxy)-6-ethyl-4-(3-(trifluoromethyl)phenyl)pyridazine (3g). Yellow solid; yield 55%; 1H NMR (400 MHz, CD2Cl2) δ 7.96 (d, J = 8.4 Hz, 2H), 7.75 (d, J = 7.6 Hz, 1H), 7.66 (t, J = 7.6 Hz, 1H), 7.43 (s, 1H), 7.28–7.19 (m, 3H), 2.98 (q, J = 7.6 Hz, 2H), 1.36 (t, J = 7.6 Hz, 3H). 13C NMR (101 MHz, acetone-d6) δ 163.97, 161.92, 158.79, 135.24, 134.85, 134.09, 131.57, 131.25, 130.58, 130.56, 130.23, 130.18, 130.14, 126.99, 126.95, 126.86, 126.83, 122.97, 119.08, 109.18, 108.15, 107.91, 29.26, 14.00. HRMS (QFT-ESI) calcd for C19H13ClF4N2O [M + Na]+ 419.0545, found: 419.0547.
6-ethyl-4-(3-(trifluoromethyl)phenyl)-3-(3,4,5-trifluorophenoxy)pyridazine (3h). Yellow oil; yield 50%; 1H NMR (400 MHz, acetone-d6) δ 8.19–8.12 (m, 2H), 7.89–7.77 (m, 3H), 7.31–7.22 (m, 2H), 3.01 (q, J = 7.6 Hz, 2H), 1.36 (t, J = 7.6 Hz, 3H). 13C NMR (101 MHz, acetone-d6) δ 163.80, 161.99, 153.26, 153.20, 153.15, 153.10, 150.80, 150.74, 150.69, 150.64, 150.39, 150.35, 150.27, 150.23, 150.15, 150.11, 135.25, 134.11, 130.54, 130.10, 126.96, 126.93, 126.89, 126.85, 126.81, 108.14, 107.91, 29.20, 13.95. HRMS (QFT-ESI) calcd for C19H12F6N2O [M + Na]+ 421.0746, found: 427.0751.
4-((6-ethyl-4-(3-(trifluoromethyl)phenyl)pyridazine-3-yl)oxy)benzonitrile (3i). Yellow solid; yield 65%; 1H NMR (400 MHz, acetone-d6) δ 8.16 (t, J = 4.0 Hz, 2H), 7.91–7.85 (m, 4H), 7.79 (t, J = 8.4 Hz, 1H), 7.52–7.45 (m, 2H), 3.02 (q, J = 7.6 Hz, 2H), 1.37 (t, J = 7.6 Hz, 3H). 13C NMR (101 MHz, acetone-d6) δ 163.99, 161.97, 158.86, 135.35, 134.91, 134.04, 130.63, 130.24, 130.20, 127.02, 126.99, 126.95, 126.91, 126.87, 123.05, 119.11, 109.23, 29.30, 14.04. HRMS (QFT-ESI) calcd for C20H14F3N3O [M + Na]+ 392.0981, found: 392.0988.
6-cyclopropyl-3-(4-(trifluoromethyl)phenoxy)-4-(3-(trifluoromethyl)phenyl)pyridazine (4a). Orange oil; yield 35%; 1H NMR (400 MHz, acetone-d6) δ 8.16 (d, J = 9.6 Hz, 2H), 7.86 (d, J = 8.0 Hz, 1H), 7.78 (dd, J = 14.8, 6.4 Hz, 4H), 7.47 (d, J = 8.6 Hz, 2H), 2.32 (tt, J = 8.0, 5.2 Hz, 1H), 1.15–1.08 (m, 4H). 13C NMR (101 MHz, acetone-d6) δ 162.55, 161.04, 157.46, 134.48, 133.22, 129.63, 128.99, 127.78, 126.94, 125.94, 121.65, 14.75, 9.54. HRMS (QFT-ESI) calcd for C21H14F6N2O [M + Na]+ 447.0903, found: 447.0908.
6-cyclopropyl-3-(3-fluorophenoxy)-4-(3-(trifluoromethyl)phenyl)pyridazine (4b). Yellow oil; yield 25%; 1H NMR (400 MHz, acetone-d6) δ 8.15 (d, J = 9.4 Hz, 2H), 7.85 (d, J = 8.0 Hz, 1H), 7.79 (t, J = 7.8 Hz, 1H), 7.72 (s, 1H), 7.50–7.42 (m, 1H), 7.14–7.05 (m, 2H), 7.01 (td, J = 8.6, 2.4 Hz, 1H), 2.36–2.25 (m, 1H), 1.15–1.05 (m, 4H). 13C NMR (101 MHz, acetone-d6) δ 162.97, 161.76, 152.13, 149.77, 149.64, 147.34, 147.21, 134.71, 131.54, 131.52, 129.69, 128.44, 128.38, 118.16, 117.98, 112.06, 111.87, 15.67, 10.75. HRMS (QFT-ESI) calcd for C20H14F4N2O [M + Na]+ 397.0934, found: 397.0938.
6-cyclopropyl-3-(3,4-difluorophenoxy)-4-(3-(trifluoromethyl)phenyl)pyridazine (4c). Orange oil; yield 25%; 1H NMR (400 MHz, CD2Cl2) δ 7.97–7.89 (m, 2H), 7.76 (d, J = 8.0 Hz, 1H), 7.66 (t, J = 7.6 Hz, 1H), 7.35 (s, 1H), 7.21 (dd, J = 18.8, 9.2 Hz, 1H), 7.15–7.05 (m, 1H), 6.98–6.90 (m, 1H), 2.23–2.15 (m, 1H), 1.16–1.10 (m, 4H). 13C NMR (101 MHz, acetone-d6) δ 151.87, 147.86, 142.45, 142.16, 142.07, 141.04, 140.98, 139.66, 139.58, 139.40, 137.24 137.19, 125.21, 124.14, 121.87, 121.59, 121.24, 120.95, 120.80, 120.59, 119.48, 116.96, 116.92, 116.89, 116.85, 108.95, 108.91, 108.89, 108.85, 108.12 107.89, 102.44, 102.31, 14.26, 9.87. HRMS (QFT-ESI) calcd for C20H13F5N2O [M + Na]+ 415.0840, found: 415.0844.
3-(4-chloro-3-fluorophenoxy)-6-cyclopropyl-4-(3-(trifluoromethyl)phenyl)pyridazine (4d). Yellow oil; yield 30%; 1H NMR (400 MHz, CD3CN) δ 8.17–8.09 (m, 2H), 7.91 (d, J = 8.0 Hz, 1H), 7.81 (t, J = 7.6 Hz, 1H), 7.65–7.57 (m, 2H), 7.26 (dd, J = 10.2, 2.4 Hz, 1H), 7.15–7.10 (m, 1H), 2.40–2.31 (m, 1H), 1.24–1.17 (m, 4H). 13C NMR (101 MHz, acetone-d6) δ 162.50, 161.00, 159.18, 156.72, 154.04, 153.95, 134.44, 133.22, 130.82, 129.61, 128.79, 127.75, 118.46, 118.43, 110.64, 110.40, 14.73, 9.51. HRMS (QFT-ESI) calcd for C20H13ClF4N2O [M + Na]+ 431.0545, found: 431.0545.
3-(4-bromo-3-fluorophenoxy)-6-cyclopropyl-4-(3-(trifluoromethyl)phenyl)pyridazine (4e). Orange oil; yield 25%; 1H NMR (400 MHz, acetone-d6) δ 8.13 (d, J = 8.4 Hz, 2H), 7.85 (d, J = 8.0 Hz, 1H), 7.78 (t, J = 7.6 Hz, 1H), 7.74–7.67 (m, 2H), 7.31 (dd, J = 10.0, 2.4 Hz, 1H), 7.12–7.07 (m, 1H), 2.14–2.05 (m, 1H), 1.17–1.06 (m, 4H). 13C NMR (101 MHz, acetone-d6) δ 162.60, 160.96, 160.28, 157.83, 154.81, 154.71, 134.37, 133.71, 133.22, 130.93, 130.68, 130.29, 129.97, 129.63, 128.90, 127.80, 125.93, 118.83, 110.51, 110.26, 103.71, 103.50, 14.79, 9.62. HRMS (QFT-ESI) calcd for C20H13BrF4N2O [M + Na]+ 475.0040, found: 475.0046.
4-((6-cyclopropyl-4-(3-(trifluoromethyl)phenyl)pyridazine-3-yl)oxy)-2-fluorobenzonitrile (4f). Yellow oil; yield 20%; 1H NMR (400 MHz, acetone-d6) δ 8.12 (d, J = 8.4 Hz, 2H), 7.88 (dd, J = 16.8, 9.2 Hz, 2H), 7.83–7.75 (m, 2H), 7.43 (dd, J = 10.4, 2.0 Hz, 1H), 7.31 (dd, J = 8.4, 2.8 Hz, 1H), 2.34 (tt, J = 8.0, 5.2 Hz, 1H), 1.14 (m, J = 4.4, 2.4 Hz, 4H). 13C NMR (101 MHz, Acetone-d6) δ 165.07, 163.31, 162.52, 160.59, 159.75, 159.63, 134.66, 134.15, 133.20, 129.45, 129.36, 128.07, 126.15, 126.11, 126.07, 126.04, 126.01, 125.97, 125.93, 117.96, 113.38, 109.57, 109.35, 14.82, 9.75. HRMS (QFT-ESI) calcd for C21H13F4N3O [M + Na]+ 422.0887, found: 422.0895.
3-(4-chloro-2-fluorophenoxy)-6-cyclopropyl-4-(3-(trifluoromethyl)phenyl)pyridazine (4g). Orange oil; yield 30%; 1H NMR (400 MHz, CDCl3) δ 7.90 (d, J = 10.8 Hz, 2H), 7.74 (d, J = 7.6 Hz, 1H), 7.64 (t, J = 7.6 Hz, 1H), 7.36 (s, 1H), 7.29–7.25 (m, 1H), 7.13 (t, J = 8.8 Hz, 1H), 7.09–7.03 (m, 1H), 2.24–2.14 (m, 1H), 1.23–1.08 (m, 4H). 13C NMR (101 MHz, acetone-d6) δ 164.03, 161.89, 158.88, 135.19, 134.76, 134.13, 131.57, 131.25, 130.42, 130.38, 130.27, 130.16, 130.14, 127.03, 126.95, 126.88, 126.79, 123.12, 119.13, 109.46, 108.15, 107.98, 14.77, 9.59. HRMS (QFT-ESI) calcd for C20H13ClF4N2O [M + Na]+ 431.0545, found: 431.00548.
6-cyclopropyl-4-(3-(trifluoromethyl)phenyl)-3-(3,4,5-trifluorophenoxy)pyridazine (4h). Yellow oil; yield 30%; 1H NMR (400 MHz, acetone-d6) δ 8.15 (t, J = 10.0 Hz, 2H), 7.86 (d, J = 8.8 Hz, 1H), 7.79 (t, J = 7.6 Hz, 1H), 7.73 (d, J = 6.0 Hz, 1H), 7.39 (s, 1H), 7.27–7.20 (m, 1H), 2.36 –2.26 (m, 1H), 1.14–1.07 (m, 4H). 13C NMR (101 MHz, acetone-d6) δ 161.78, 158.97, 153.29, 153.24, 153.18, 153.16, 150.87, 150.83, 150.77, 150.70, 150.43, 150.38, 150.36, 150.26, 150.19, 150.14, 139.57, 139.40, 139.27, 137.12, 136.96, 136.82, 135.17, 134.12, 132.04, 131.71, 131.37, 130.99, 130.66, 129.67, 127.07, 127.08, 127.99, 126.96, 126.92, 126.90, 126.86, 126.55, 123.85, 108.12, 108.06, 107.95, 107.89, 15.71, 10.46. HRMS (QFT-ESI) calcd for C20H12F6N2O [M + Na]+ 433.0746, found: 433.0752.
4-((6-cyclopropyl-4-(3-(trifluoromethyl)phenyl)pyridazine-3-yl)oxy)benzonitrile (4i). Orange oil; yield 30%; 1H NMR (400 MHz, acetone-d6) δ 8.15 (dd, J = 6.0, 5.2 Hz, 2H), 7.88–7.81 (m, 3H), 7.82–7.75 (m, 2H), 7.48–7.43 (m, 2H), 2.24–2.15 (m, 1H), 1.17–1.08 (m, 4H). 13C NMR (101 MHz, acetone-d6) δ 162.85, 160.84, 158.03, 134.33, 133.96, 133.20, 130.95, 130.63, 130.31, 129.99, 129.67, 129.18, 127.90, 121.89, 118.20, 108.15, 14.83, 9.69. HRMS (QFT-ESI) calcd for C21H14F3N3O [M + Na]+ 404.0981, found: 404.0988.
6-isopropyl-3-(4-(trifluoromethyl)phenoxy)-4-(3-(trifluoromethyl)phenyl)pyridazine (5a). Yellow solid; yield 40%; 1H NMR (400 MHz, CD2Cl2) δ 7.89–7.84 (m, 2H), 7.68 (d, J = 8.0 Hz, 1H), 7.59 (dd, J = 14.8, 8.0 Hz, 3H), 7.38 (s, 1H), 7.25 (d, J = 8.4 Hz, 2H), 3.29–3.16 (m, 1H), 1.31 (d, J = 7.2 Hz, 6H). 13C NMR (101 MHz, acetone-d6) δ 167.26, 162.24, 158.23, 135.53, 134.18, 131.64, 131.32, 130.57, 130.26, 128.96, 127.92, 127.88, 127.85, 127.81, 127.01, 126.97, 126.93, 126.90, 122.80, 35.16, 22.69. HRMS (QFT-ESI) calcd for C21H16F6N2O [M + Na]+ 449.1059, found: 449.1066.
3-(3-fluorophenoxy)-6-isopropyl-4-(3-(trifluoromethyl)phenyl)pyridazine (5b). Yellow oil; yield 60%; 1H NMR (400 MHz, CD2Cl2) δ 7.90–7.83 (m, 2H), 7.67 (d, J = 8.0 Hz, 1H), 7.57 (t, J = 7.6 Hz, 1H), 7.36 (s, 1H), 7.33–7.26 (m, 1H), 6.95–6.83 (m, 3H), 3.27–3.17 (m, 1H), 1.30 (d, J = 6.6 Hz, 6H). 13C NMR (101 MHz, acetone-d6) δ 166.10, 164.36, 161.93, 161.37, 155.46, 155.35, 134.69, 133.25, 130.97, 130.67, 130.58, 130.33, 129.61, 129.15, 127.90, 117.23, 111.69, 111.48, 109.20, 108.96, 34.21, 21.79. HRMS (QFT-ESI) calcd for C20H16F4N2O [M + Na]+ 399.1091, found: 399.1095.
3-(3,4-difluorophenoxy)-6-isopropyl-4-(3-(trifluoromethyl)phenyl)pyridazine (5c). Yellow solid; yield 60%; 1H NMR (400 MHz, acetone-d6) δ 8.17 (d, J = 7.6 Hz, 2H), 7.89–7.76 (m, 3H), 7.45–7.35 (m, 2H), 7.17–7.11 (m, 1H), 3.37–3.27 (m, 1H), 1.38 (d, J = 7.2 Hz, 6H). 13C NMR (101 MHz, acetone-d6) δ 180.47, 174.53, 169.50, 167.01, 153.83, 153.71, 148.08, 147.68, 144.60, 144.51, 144.20, 144.11, 143.89, 142.97, 142.27, 140.44, 140.19, 139.90, 139.68, 131.73, 131.52, 48.03, 36.33. HRMS (QFT-ESI) calcd for C20H15F5N2O [M + Na]+ 417.0997, found: 417.0999.
3-(4-chloro-3-fluorophenoxy)-6-isopropyl-4-(3-(trifluoromethyl)phenyl)pyridazine (5d). Yellow oil; yield 45%; 1H NMR (400 MHz, CD2Cl2) δ 7.88–7.81 (m, 2H), 7.68 (d, J = 7.6 Hz, 1H), 7.58 (t, J = 7.6 Hz, 1H), 7.39–7.33 (m, 2H), 7.01 (dd, J = 9.6, 2.4 Hz, 1H), 6.93–6.89 (m, 1H), 3.28–3.16 (m, 1H), 1.30 (d, J = 6.8 Hz, 6H). 13C NMR (101 MHz, acetone-d6) δ 167.17, 162.16, 160.11, 157.65, 154.75, 154.65, 135.43, 134.15, 131.74, 130.53, 130.03, 128.92, 126.96, 126.92, 126.90, 126.86, 119.56, 117.31, 117.13, 111.77, 111.54, 35.11, 22.67. HRMS (QFT-ESI) calcd for C20H15ClF4N2O [M + Na]+ 433.0701, found: 433.0709.
3-(4-bromo-3-fluorophenoxy)-6-isopropyl-4-(3-(trifluoromethyl)phenyl)pyridazine (5e). Yellow oil; yield 55%; 1H NMR (400 MHz, acetone-d6) δ 8.16 (d, J = 8.0 Hz, 2H), 7.88–7.84 (m, 2H), 7.79 (t, J = 7.6 Hz, 1H), 7.75–7.70 (m, 1H), 7.35 (dd, J = 9.6, 2.4 Hz, 1H), 7.13–7.16 (m, 1H), 3.38–3.27 (m, 1H), 1.38 (d, J = 6.8 Hz, 6H). 13C NMR (101 MHz, acetone-d6) δ 167.17, 162.09, 161.18, 158.73, 155.53, 155.43, 135.40, 134.60, 134.13, 131.53, 131.22, 130.51, 130.04, 128.91, 119.97, 111.64, 111.39, 104.77, 104.57, 35.09, 22.67. HRMS (QFT-ESI) calcd for C20H15BrF4N2O [M + Na]+ 477.0197, found: 477.0199.
2-fluoro-4-((6-isopropyl-4-(3-(trifluoromethyl)phenyl)pyridazine-3-yl)oxy)benzonitrile (5f). Yellow oil, yield 50%; 1H NMR (400 MHz, CD2Cl2) δ 7.82 (s, 1H), 7.79 (d, J = 7.6 Hz, 1H), 7.68 (d, J = 8.0 Hz, 1H), 7.61 = 7.57 (m, 2H), 7.40 (s, 1H), 7.09–7.02 (m, 2H), 3.31–3.20 (m, 1H), 1.31 (d, J = 7.2 Hz, 6H). 13C NMR (101 MHz, acetone-d6) δ 166.95, 165.07, 162.52, 160.87, 159.57, 159.46, 134.67, 134.26, 133.24, 130.99, 130.68, 130.36, 130.04, 129.69, 128.35, 125.87, 118.24, 113.39, 109.87, 109.64, 97.15, 96.99, 34.23, 21.70. HRMS (QFT-ESI) calcd for C21H15F4N3O [M + Na]+ 424.1043, found: 424.1048.
3-(4-chloro-2-fluorophenoxy)-6-isopropyl-4-(3-trifluoromethyl)phenyl)pyridazine (5g). Yellow solid; yield 45%; 1H NMR (400 MHz, CDCl3) δ 7.99 (d, J = 7.6 Hz, 2H), 7.77 (d, J = 7.6 Hz, 1H), 7.67 (t, J = 7.6 Hz, 1H), 7.45 (s, 1H), 7.31–7.15 (m, 3H), 3.35 –3.25 (m, 1H), 1.42 (d, J = 6.8 Hz, 6H).13C NMR (101 MHz, acetone-d6) δ 166.99, 162.36, 152.31, 152.17, 151.02, 151.00, 150.94, 150.91, 149.86, 149.76, 149.72, 149.63, 147.34, 147.22, 135.57, 134.20, 130.54, 129.86, 128.85, 127.03, 127.00, 126.96, 126.92, 126.89, 126.85, 126.82, 119.08, 119.04, 119.02, 118.98, 118.47, 118.28, 112.64, 112.44, 35.12, 22.68. HRMS (QFT-ESI) calcd for C20H15ClF4N2O [M + H]+ 410.0882, found: 410.0885.
6-isopropyl-4-(3-(trifluoromethyl)phenyl)-3-(3,4,5-trifluorophenoxy)pyridazine (5h). Yellow solid; yield 50%; 1H NMR (400 MHz, CD2Cl2) δ 7.84–7.77 (m, 2H), 7.67 (d, J = 7.6 Hz, 1H), 7.57 (t, J = 7.6 Hz, 1H), 7.35 (s, 1H), 6.83 (dd, J = 8.0, 6.0 Hz, 2H), 3.29–3.16 (m, 1H), 1.28 (d, J = 6.8 Hz, 6H). 13C NMR (101 MHz, acetone-d6) δ 167.29, 162.32, 154.64, 154.61, 154.52, 154.49, 154.40, 154.37, 153.44, 153.38, 153.33, 153.17, 151.00, 150.94, 150.90, 150.86, 150.81, 150.76, 150.70, 150.05, 150.01, 149.93, 149.89, 149.81, 149.77, 134.97, 134.16, 130.52, 129.69, 127.16, 127.12, 127.09, 127.05, 127.02, 126.99, 126.95, 126.91, 108.23, 108.17, 108.06, 108.00, 100.94, 100.88, 100.77, 100.71, 34.87, 22.47. HRMS (QFT-ESI) calcd for C20H14F6N2O [M + Na]+ 435.0903, found: 433.0709.
4-((6-isopropyl-4-(3-(trifluoromethyl)phenyl)pyridazine-3-yl)oxy)benzonitrile (5i). Yellow oil, yield 65%; 1H NMR (400 MHz, acetone-d6) δ 8.16 (d, J = 8.4 Hz, 2H), 7.92–7.82 (m, 4H), 7.79 (dd, J = 9.6, 5.6 Hz, 1H), 7.52–7.46 (m, 2H), 3.35–3.33 (m, 1H), 1.39 (d, J = 6.8 Hz, 6H). 13C NMR (101 MHz, acetone-d6) δ 163.98, 163.83, 162.01, 161.92, 158.80, 135.28, 134.86, 134.09, 130.59, 130.24, 130.18, 130.14, 126.91, 122.98, 119.09, 109.18, 108.15, 107.92, 29.32, 29.27, 29.23, 14.00. HRMS (QFT-ESI) calcd for C21H16F3N3O [M + Na]+ 406.1138, found: 406.1132.
4.2. Protein Overexpression and Purification
Plasmid DNA (pET15b-Synechococcus PDS) was transformed into BL21(DE3) chemically competent cells (Tsingke Biotechnology, Beijing, China). One colony in the plate was picked and cultured overnight in 3 mL of LB medium, containing 100 μg/mL ampicillin at 37 °C. After 12 h, the bacterial culture was transferred into 500 mL of 2× YT medium containing 100 μg/mL ampicillin. When the cell culture density reached 0.6 at OD600, the culture temperature was then adjusted to 22 °C, and isopropyl-β-D-thio-galactoside (IPTG, 1 mM final) was supplemented to induce the expression of PDS proteins [21]. After 16 h of cell culture, the cells were harvested by centrifugation at 13,000 rpm at 4 °C. The harvested cell pellet was suspended in 20 mL lysis buffer (100 mM phosphate buffer, 500 mM NaCl, 5 mM dithiothreitol, pH 7.4), which contained one piece of a protease inhibitor cocktail (Roche complete, EDTA-free) and l mg/mL lysozyme (Sigma, Darmstadt, Germany). The cell suspension was placed on ice for 15 min and lysed by sonication (on 1 s and off 9 s, 15 min). After sonication, the lysate was centrifuged at 13,000 rpm at 4 °C for 30 min to collect the supernatant, which was mixed with Ni–NTA agarose (Qiagen), and incubated by slow shaking at 4 °C for 2 h. The mixture of proteins and the Ni–NTA agarose were treated with the wash buffer (100 mM phosphate buffer, 500 mM NaCl, 50 mM imidazole, pH 7.4) 5 times, and the PDS protein was finally collected with the elution buffer (100 mM phosphate buffer, 500 mM NaCl, 250 mM imidazole). All the collected proteins in different fractions were combined, and concentrated with an Ultra-15 centrifugal filter unit with a 10 kDa cutoff (Millipore). The concentrated proteins were then treated with a desalting column (7K MWCO Zeba Spin Desalting Columns, Thermo Scientific, Waltham, MA, USA) to remove the excessive imidazole. The final PDS protein was stored at −80 °C for the subsequent binding assay.
4.3. Surface Plasmon Resonance Assay
The interactions between the obtained proteins from purification and compounds were analyzed by an SPR assay, using the Biacore 8K (Cytiva, Washington, USA) system at 25 °C [22]. The Synechococcus PDS protein was immobilized on a CM5 sensor chip, using the amine-coupling method. The protein immobilization level was ∼8000 RU. For the binding studies, the test compounds with different concentrations were injected at a flow rate of 30 μL/min in a running buffer of PBS-P (10 mM phosphate buffer with 2.7 mM KCl, 137 mM NaCl, and 0.05% Surfactant P20) containing 5% DMSO for the interaction measurements. Both the association time and the dissociation time were 60 s. The equilibrium dissociation constant, KD, values were calculated via the Biacore 8K evaluation software.
4.4. Herbicidal Activity Assay
The pre- and post-emergence herbicidal activity of the newly prepared compounds was evaluated against six kinds of weeds: Setaria faberii (SETFA), Echinochloa crus-galli (ECHCG), Digitaria sanguinalis (DIGSA), Eclipta prostrate (ECLPR), Abutilon juncea (ABUJU), and Amaranthus retroflexus (AMARE). Compound 1 and diflufenican were used as positive controls. The tested methods were the same as our previous reports [17,23,24,25,26]. Briefly, for the pre-emergence herbicidal activity assays, the tested compounds in solvent (containing Tween-80 + DMF) were sprayed on the surface of the soil in the cups. After 21 days, the herbicidal activity was evaluated (Table S2). For the post-emergence herbicidal activity tests, the weeds were treated with the tested compounds, at rates ranging from 150 to 700 g ai/ha at the 3–4-leaf stage. After 21 days post-treatment, the results were evaluated (Table 1).
4.5. Crop Selectivity
The pre- and post-emergence crop selectivity of compound 2a and diflufenican were tested using similar methods to our previous reports [9,13,17]. Briefly, the seeds of six crops: maize, rice, wheat, rape, soybean, and cotton were sown in the cups, and treated with the solutions of the tested inhibitors at 300 g ai/ha. The results regarding crop safety were determined 24 days post-treatment (Table 2).
4.6. Mocelcuar Simulation Studies
The structures of the compounds 1 and 2a were constructed by SYBYL6.9 [7]. The structure of Synechococcus PDS was built based on chain A of the structure of OsPDS (PDB id: 5MOG) by MODELER 9v19 [14,15], then optimized using Amber 14 [27,28]. The docking of 1 and 2a to the catalytic site of Synechococcus PDS was performed using Autodock 4 [16], and the best binding mode of each molecule was selected based on the docking score [19,29]. The parameters for the molecular dynamic (MD) simulations were prepared using the tleap program, the optimization of the 2a–Synechococcus PDS complex was performed using Sander, and the production of MD was performed using the pmemd module. The set of detailed parameters, the binding free energy calculation, and energy decomposition were the same as in the previous reports [25,30,31].
4.7. clogP Calculation
The clogP values of the compounds 1–5 and diflufenican were calculated using Chemdraw 19.1.
5. Conclusions
Based on the discussions in the above sections, we can draw the following conclusions:
1. Among the newly designed analogs, the compounds 2a–h showed a higher herbicidal activity than the compounds 3a–i, 4a–i, and 5a–i (2 > 3 > 4 > 5), suggesting that the substituents at 3-phenoxy-4-(3-trifluoromethylphenyl)pyridazine scaffold are crucial to the bioactivity.
2. The substituents at R1 had a considerable effect on the herbicidal activity of the target compounds. The effect of R1 on herbicidal activity decreased in the order of -CH3, -CH2CH3 > cyclopropyl group > -CH(CH3)2.
3. The synthesized 3-phenoxy-4-(3-trifluoromethylphenyl)pyridazines are PDS inhibitors, because these compounds showed the same whitening symptoms on the treated weeds as diflufenican, and could bind to the PDS in vitro.
4. Compound 2a showed a higher post-emergence herbicidal activity than diflufenican at the rates of 300–750 g ai/ha, and a comparable pre-emergence herbicidal activity to diflufenican at 300–750 g ai/ha.
5. Wheat was selective to the compound 2a by both pre- and post-emergence applications at 300 g ai/ha.
6. Our MD results showed that the hydrophilic interactions between the inhibitors and PDS are important for their binding affinity.
Supplementary Materials
The supplementary Information is available online. Table S1: The structures, yields, and clogP of compounds 2–5; Table S2: The pre-emergence herbicidal activity of compounds 1–5 and diflufenican; Table S3: Calculated binding free energies (kcal/mol) of 2a with Synechococcus PDS; General method to synthesize intermediates 7–12; The 1H NMR, 13C NMR, 19F NMR and HRMS spectrum of representative compounds.
Author Contributions
Conceptualization, H.X. and Z.X.; organic synthesis, L.Y., D.W. and D.Z.; protein, D.M. and L.Y.; formal analysis, L.Y. and D.W.; investigation, L.Y.; calculation, D.W.; data curation, D.W., L.Y., N.Z. and J.W.; writing—original draft preparation, D.W. and L.Y.; writing—review and editing, H.X., D.W., L.Y.; supervision, H.X. and Z.X.; project administration, H.X. and Z.X.; funding acquisition, H.X. and Z.X. All authors have read and agreed to the published version of the manuscript.
Funding
This research was supported in part by the National Natural Science Foundation of China (No. 21877066, 21837001).
Institutional Review Board Statement
Not applicable.
Informed Consent Statement
Not applicable.
Data Availability Statement
Not available.
Conflicts of Interest
The authors declare no conflict of interest.
Sample Availability
Samples of the compounds 2–5 are available from the authors.
References
- Abouziena, H.F.; Haggag, W.M. Weed Control in Clean Agriculture: A Review. Planta Daninha 2016, 34, 377–392. [Google Scholar] [CrossRef]
- Liu, J.; Hua, R.; Lv, P.; Tang, J.; Wang, Y.; Cao, H.; Wu, X.; Li, Q.X. Novel hydrolytic de-methylthiolation of the s-triazine herb-icide prometryn by Leucobacter sp. JW-1. Sci. Total Environ. 2017, 579, 115–123. [Google Scholar] [CrossRef] [PubMed]
- Wang, D.; Wang, B.; Xi, Z. Development of protoporphyrinogen IX oxidase inhibitors for sustainable agriculture. In Crop Protection Products for Sustainable Agriculture; American Chemical Society: Colombia, WA, USA, 2021; Volume 1390, pp. 11–41. [Google Scholar]
- Lin, H.Y.; Chen, X.; Dong, J.; Yang, J.F.; Xiao, H.; Ye, Y.; Li, L.H.; Zhan, C.G.; Yang, W.C.; Yang, G.F. Rational redesign of en-zyme via the combination of quantum mechanics/molecular mechanics, molecular dynamics, and structural biology study. J. Am. Chem. Soc. 2021, 143, 15674–15687. [Google Scholar] [CrossRef]
- Duke, S.O. The history and current status of glyphosate. Pest Manag. Sci. 2018, 74, 1027–1034. [Google Scholar] [CrossRef]
- Zhao, L.-X.; Jiang, M.-J.; Hu, J.-J.; Zou, Y.-L.; Cheng, Y.; Ren, T.; Gao, S.; Fu, Y.; Ye, F. Design, Synthesis, and Herbicidal Activity of Novel Diphenyl Ether Derivatives Containing Fast Degrading Tetrahydrophthalimide. J. Agric. Food Chem. 2020, 68, 3729–3741. [Google Scholar] [CrossRef]
- Zuo, Y.; Wu, Q.; Su, S.-W.; Niu, C.-W.; Xi, Z.; Yang, G.-F. Synthesis, Herbicidal Activity, and QSAR of Novel N-Benzothiazolyl-pyrimidine-2,4-diones as Protoporphyrinogen Oxidase Inhibitors. J. Agric. Food Chem. 2016, 64, 552–562. [Google Scholar] [CrossRef]
- Yang, J.; Guan, A.; Wu, Q.; Cui, D.; Liu, C. Design, synthesis and herbicidal evaluation of novel uracil derivatives containing an isoxazoline moiety. Pest Manag. Sci. 2020, 76, 3395–3402. [Google Scholar] [CrossRef]
- Xu, H.; Zou, X.M.; Zhu, Y.Q.; Liu, B.; Tao, H.L.; Hu, X.H.; Song, H.B.; Hu, F.Z.; Wang, Y.; Yang, H.Z. Synthesis and herbicidal activity of novel α,α,α-trifluoro-m-tolyl pyridazinone derivatives. Pest Manag. Sci. 2006, 62, 522–530. [Google Scholar]
- Matthias, W.; Gerhard, H. Herbicides with Bleaching Properties. In Modern Crop Protection Compounds; John Wiley & Sons Ltd.: Chichester, UK, 2019; pp. 213–302. [Google Scholar]
- Zhang, H.; Wang, J.; Ji, Z.; Sun, X.; Tian, Q.; Wei, S.; Ji, Z. Discovery, SAR, and putative mode of action of N-benzyl-2-methoxybenzamides as potential bleaching herbicides. Pest Manag. Sci. 2021, 77, 2804–2811. [Google Scholar] [CrossRef] [PubMed]
- Heap, I. The International Herbicide-Resistant Weed Database. 2020. Available online: www.weedscience.org (accessed on 1 November 2021).
- Xu, H.; Hu, X.-H.; Zou, X.-M.; Liu, B.; Zhu, Y.-Q.; Wang, Y.; Hu, F.-Z.; Yang, H.-Z. Synthesis and Herbicidal Activities of Novel 3-N-Substituted Amino-6-methyl-4-(3-trifluoromethylphenyl)pyridazine Derivatives. J. Agric. Food Chem. 2008, 56, 6567–6572. [Google Scholar] [CrossRef]
- Brausemann, A.; Gemmecker, S.; Koschmieder, J.; Ghisla, S.; Beyer, P.; Einsle, O. Structure of Phytoene Desaturase Provides Insights into Herbicide Binding and Reaction Mechanisms Involved in Carotene Desaturation. Structure 2017, 25, 1222–1232.e3. [Google Scholar] [CrossRef]
- Xiong, L.; Li, H.; Jiang, L.-N.; Ge, J.-M.; Yang, W.-C.; Zhu, X.L.; Yang, G.-F. Structure-Based Discovery of Potential Fungicides as Succinate Ubiquinone Oxidoreductase Inhibitors. J. Agric. Food Chem. 2017, 65, 1021–1029. [Google Scholar] [CrossRef]
- Morris, G.M.; Huey, R.; Lindstrom, W.; Sanner, M.F.; Belew, R.K.; Goodsell, D.S.; Olson, A.J. AutoDock4 and AutoDockTools4: Automated docking with selective receptor flexibility. J. Comput. Chem. 2009, 30, 2785–2791. [Google Scholar] [CrossRef] [PubMed] [Green Version]
- Xu, H.; Zhu, Y.-Q.; Zou, X.-M.; Liu, B.; Wang, Y.; Hu, F.-Z.; Yang, H.-Z. Synthesis and herbicidal activities of novel 3-(substituted benzyloxy or phenoxy)-6-methyl-4-(3-trifluoromethylphenyl)pyridazine derivatives. Pest Manag. Sci. 2011, 68, 276–284. [Google Scholar] [CrossRef]
- Zhang, K.; Sun, W.; Huang, L.; Zhu, K.; Pei, F.; Zhu, L.; Wang, Q.; Lu, Y.; Zhang, H.; Jin, H.; et al. Identifying glyceraldehyde 3-phosphate dehydrogenase as a cyclic adenosine diphosphoribose binding protein by photoaffinity potein-liand labeling approach. J. Am. Chem. Soc. 2017, 139, 156–170. [Google Scholar] [CrossRef] [PubMed]
- Wang, D.-W.; Yu, S.-Y.; Pang, Z.-L.; Ma, D.-J.; Liang, L.; Wang, X.; Wei, T.; Yang, H.-Z.; Ma, Y.-Q.; Xi, Z. Discovery of a Broad-Spectrum Fluorogenic Agonist for Strigolactone Receptors through a Computational Approach. J. Agric. Food Chem. 2021, 69, 10486–10495. [Google Scholar] [CrossRef] [PubMed]
- Xu, H.; Hu, X.; Zhu, Y.; Zou, X.; Liu, B.; Hu, F.; Yang, H. Synthesis and herbicidal activities of novel 4-(3-trifluoromethylphenyl)-2H-pyridazin-3-one derivatives. Sci. China Ser. B Chem. 2010, 53, 157–166. [Google Scholar] [CrossRef]
- Fraser, P.D.; Linden, H.; Sandmann, G. Purification and reactivation of recombinant Synechococcus phytoene desaturase from an overexpressing strain of Escherichia coli. Biochem. J. 1993, 291, 687–692. [Google Scholar] [CrossRef] [Green Version]
- Pang, Z.; Zhang, X.; Ma, F.; Liu, J.; Zhang, H.; Wang, J.; Wen, X.; Xi, Z. Comparative studies of potential binding pocket resi-dues reveal the molecular basis of ShHTL receptors in the perception of GR24 in Striga. J. Agric. Food Chem. 2020, 68, 12729–12737. [Google Scholar] [CrossRef] [PubMed]
- Wang, D.-W.; Zhang, R.-B.; Ismail, I.; Xue, Z.-Y.; Liang, L.; Yu, S.-Y.; Wen, X.; Xi, Z. Design, Herbicidal Activity, and QSAR Analysis of Cycloalka[d]quinazoline-2,4-dione–Benzoxazinones as Protoporphyrinogen IX Oxidase Inhibitors. J. Agric. Food Chem. 2019, 67, 9254–9264. [Google Scholar] [CrossRef] [PubMed]
- Wang, D.-W.; Li, Q.; Wen, K.; Ismail, I.; Liu, D.-D.; Niu, C.-W.; Wen, X.; Yang, G.-F.; Xi, Z. Synthesis and Herbicidal Activity of Pyrido[2,3-d]pyrimidine-2,4-dione–Benzoxazinone Hybrids as Protoporphyrinogen Oxidase Inhibitors. J. Agric. Food Chem. 2017, 65, 5278–5286. [Google Scholar] [CrossRef] [PubMed]
- Wang, D.-W.; Zhang, R.-B.; Yu, S.-Y.; Liang, L.; Ismail, I.; Li, Y.-H.; Xu, H.; Wen, X.; Xi, Z. Discovery of Novel N-Isoxazolinylphenyltriazinones as Promising Protoporphyrinogen IX Oxidase Inhibitors. J. Agric. Food Chem. 2019, 67, 12382–12392. [Google Scholar] [CrossRef] [PubMed]
- Li, K.-J.; Qu, R.-Y.; Liu, Y.-C.; Yang, J.-F.; Devendar, P.; Chen, Q.; Niu, C.-W.; Xi, Z.; Yang, G.-F. Design, Synthesis, and Herbicidal Activity of Pyrimidine–Biphenyl Hybrids as Novel Acetohydroxyacid Synthase Inhibitors. J. Agric. Food Chem. 2018, 66, 3773–3782. [Google Scholar] [CrossRef]
- Case, D.A.; Babin, V.; Berryman, J.T.; Betz, R.M.; Cai, Q.; Cerutti, D.S.; Cheatham, T.E.; Darden, T.; Duke, R.E.; Gohlke, H. AMBER 14; University of California: San Francisco, CA, USA, 2014. [Google Scholar]
- Yang, J.-F.; Yin, C.-Y.; Wang, D.; Jia, C.-Y.; Hao, G.-F.; Yang, G.-F. Molecular Determinants Elucidate the Selectivity in Abscisic Acid Receptor and HAB1 Protein Interactions. Front. Chem. 2020, 8, 425. [Google Scholar] [CrossRef] [PubMed]
- Liang, L.; Yu, S.; Li, Q.; Wang, X.; Wang, D.; Xi, Z. Design, synthesis, and molecular simulation studies of N-phenyltetrahydroquinazolinones as protoporphyrinogen IX oxidase inhibitors. Bioorg. Med. Chem. 2021, 39, 116165. [Google Scholar] [CrossRef]
- Zhang, R.B.; Yu, S.Y.; Liang, L.; Ismail, I.; Wang, D.W.; Li, Y.H.; Xu, H.; Wen, X.; Xi, Z. Design, synthesis, and molecular mech-anism studies of N-phenylisoxazoline-thiadiazolo[3,4-a]pyridazine hybrids as protoporphyrinogen IX oxidase inhibitors. J. Agric. Food Chem. 2020, 68, 13672–13684. [Google Scholar] [CrossRef]
- Wang, D.W.; Liang, L.; Xue, Z.Y.; Yu, S.Y.; Zhang, R.B.; Wang, X.; Xu, H.; Wen, X.; Xi, Z. Discovery of N-phenylaminomethylthioacetylpyrimidine-2,4-diones as protoporphyrinogen IX oxidase inhibitors through a reaction in-termediate derivation approach. J. Agric. Food Chem. 2021, 69, 4081–4092. [Google Scholar] [CrossRef] [PubMed]
Publisher’s Note: MDPI stays neutral with regard to jurisdictional claims in published maps and institutional affiliations. |
© 2021 by the authors. Licensee MDPI, Basel, Switzerland. This article is an open access article distributed under the terms and conditions of the Creative Commons Attribution (CC BY) license (https://creativecommons.org/licenses/by/4.0/).













