Cascade Transformations of 1-R-Ethynyl-9,10-anthraquinones with Amidines: Expanding Access to Isoaporphinoid Alkaloids
Abstract
:1. Introduction
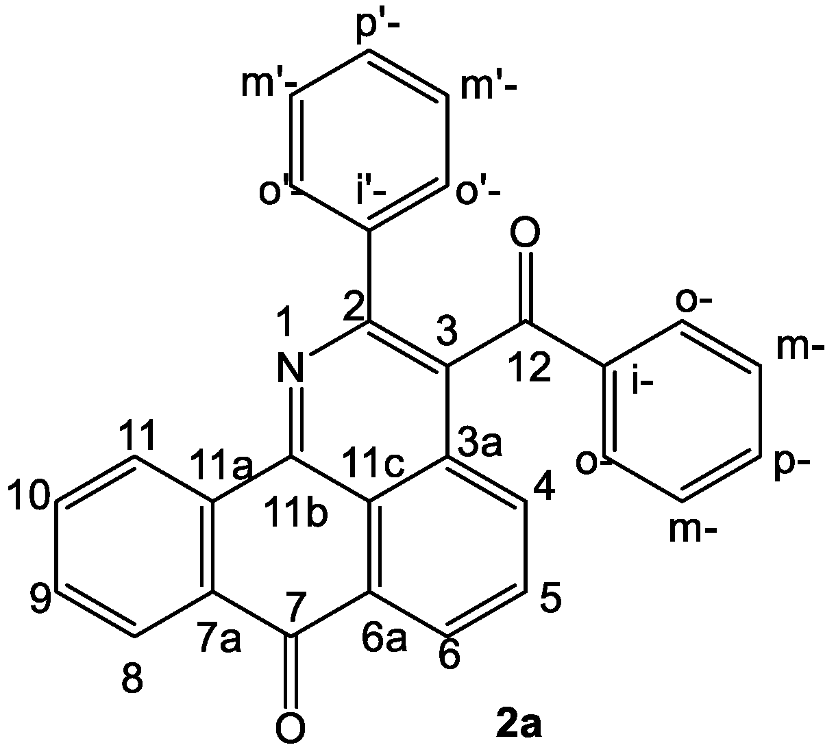
2. Results and Discussion
2.1. Synthesis
2.2. Pharmacological Study
2.3. Anti-Inflammatory Activity
2.4. Cytotoxicity
2.5. Molecular Docking
3. Experimental
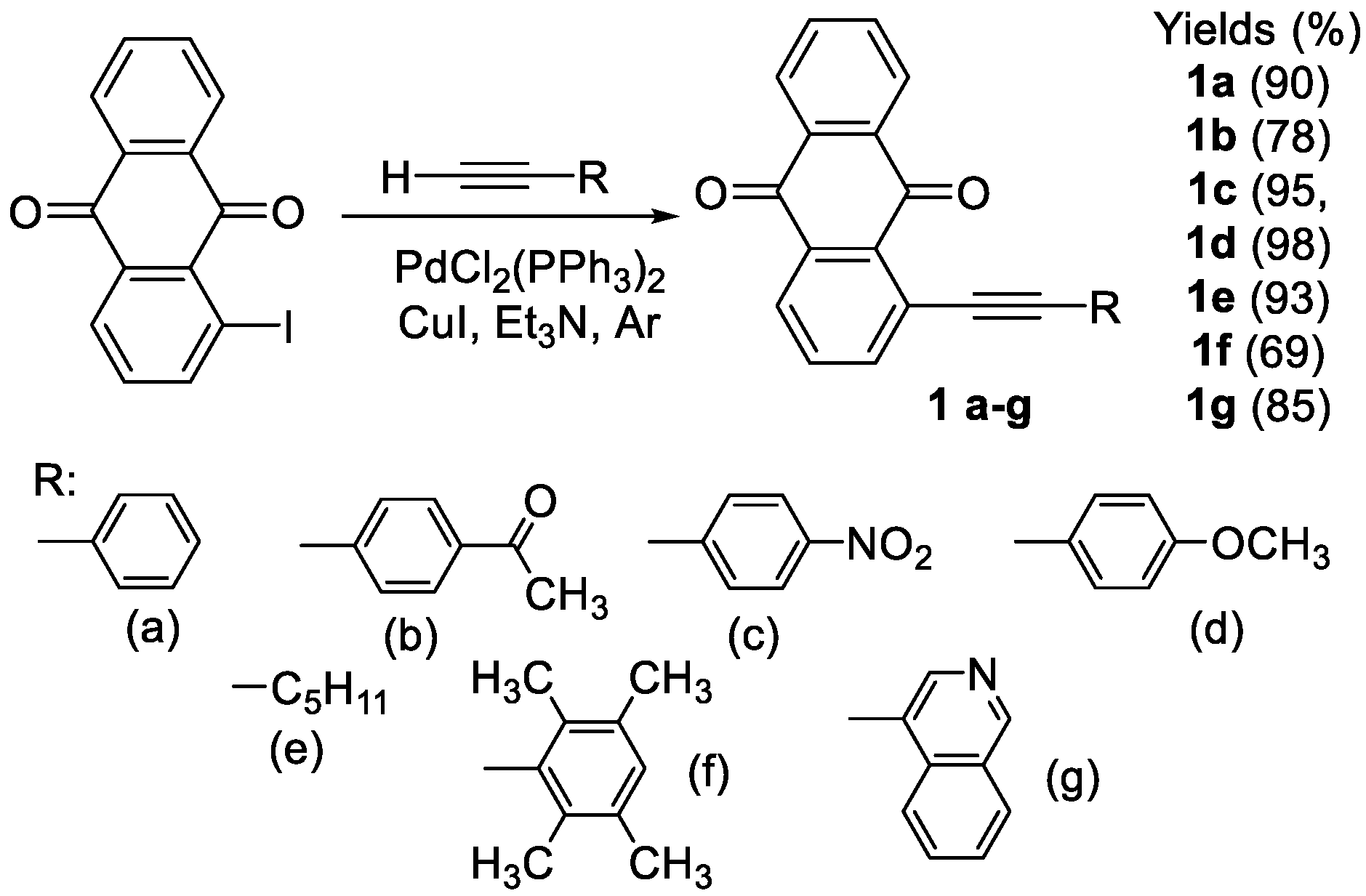
3.1. Preparation of 1-(R-Ethynyl)-9,10-antraquinones (1a–g)
3.2. Reaction of 1-(R-Ethynyl)-9,10-anthraquinones (1a–g) with Benzamidine Hydrochloride Hydrate
3.3. Reaction of 1-(R-Ethynyl)-9,10-anthraquinones (1a–g) with Acetamidine Hydrochloride
3.4. Animal Studies
3.5. Anti-Inflammatory Activity
3.6. Histamine-Induced Mouse Paw Edema Model
3.7. Concanavaline A-Induced Mouse Paw Edema Model
3.8. Cytotoxicity Assay
3.9. Molecular Docking
3.10. Statistical Analysis
4. Conclusions
Author Contributions
Funding
Institutional Review Board Statement
Informed Consent Statement
Data Availability Statement
Acknowledgments
Conflicts of Interest
Sample Availability
References
- Shvartsberg, M.S.; Ivanchikova, I.D.; Vasilevsky, S.F. Acetylenic compounds as intermediates in heterocyclic synthesis: Reaction of 1-acetylenylanthraquinones with hydrazine. Tetr. Lett. 1994, 35, 2077–2080. [Google Scholar] [CrossRef]
- Vasilevsky, S.F.; Baranov, D.S.; Mamatyuk, V.I.; Gatilov, Y.V.; Alabugin, I.V. An Unexpected Rearrangement That Disassembles Alkyne Moiety Through Formal Nitrogen Atom Insertion between Two Acetylenic Carbons and Related Cascade Transformations: New Approach to Sampangine Derivatives and Polycyclic Aromatic Amides. J. Org. Chem. 2009, 74, 6143–6150. [Google Scholar] [CrossRef] [PubMed]
- Baranov, D.S.; Vasilevsky, S.F.; Gold, B.; Alabugin, I.V. Urea as an organic solvent and reagent for the addition/cyclization/fragmentation cascades leading to 2-R-7H-dibenzo[de,h]quinolin-7-one analogues of Aporphinoid alkaloids. RSC Adv. 2011, 1, 1745–1750. [Google Scholar] [CrossRef]
- Baranov, D.S.; Gold, B.; Vasilevsky, S.F.; Alabugin, I.V. Divergent Cyclizations of 1-R-Ethynyl-9,10-anthraquinones: Use of Thiourea as a “S2-” Equivalent in an “Anchor-Relay” Addition Mediated by Formal C-H Activation. J. Org. Chem. 2013, 78, 2074–2082. [Google Scholar] [CrossRef] [PubMed]
- Vasilevsky, S.F.; Davydova, M.P.; Mamatyuk, V.I.; Tsvetkov, J.N.; Hughes, A.; Baranov, D.S.; Alabugin, I.V. Full Cleavage of C≡C Bond in Electron-Deficient Alkynes via Reaction with Ethylenediamine. Aust. J. Chem. 2017, 70, 421–429. [Google Scholar] [CrossRef]
- Alabugin, I.V.; Gonzalez-Rodriguez, E.; Kawade, R.K.; Stepanov, A.A.; Vasilevsky, S.F. Alkynes as synthetic equivalents of ketones and aldehydes: A hidden entry into carbonyl chemistry. Molecules 2019, 24, 1036. [Google Scholar] [CrossRef] [PubMed] [Green Version]
- Moroz, A.A.; Piskunov, A.V.; Shvartsberg, M.S. Acetylenic derivatives of anthraquinon. Bull. Acad. Sci. USSR Div. Chem. (Engl. Transl.) 1981, 30, 304–308. [Google Scholar] [CrossRef]
- Vasilevsky, S.F.; Baranov, D.S.; Mamatyuk, V.I.; Fadeev, D.S.; Gatilov, Y.V.; Stepanov, A.A.; Vasilieva, N.V.; Alabugin, I.V. Conformational Flexibility of Fused Tetracenedione Propellers Obtained from One-Pot Reductive Dimerization of Acetylenic Quinone. J. Org. Chem. 2015, 80, 1618–1631. [Google Scholar] [CrossRef] [PubMed]
- Heilbron, I.; Bunbury, H.M. (Eds.) Dictionary of Organic Compounds; Chapman & Hall (CRC Press): Boca Raton, FL, USA, 1946; Volume 1, p. 211. [Google Scholar]
- Mosmann, T. Rapid colorimetric assay for cellular growth and survival: Application to proliferation and cytotoxicity assays. J. Immunol. Methods 1983, 65, 55–63. [Google Scholar] [CrossRef]
- Harder, E.; Damm, W.; Maple, J.; Wu, C.; Reboul, M.; Xiang, J.Y.; Wang, L.; Lupyan, D.; Dahlgren, M.K.; Knight, J.L.; et al. OPLS3: A Force Field Providing Broad Coverage of Drug-like Small Molecules and Proteins. J. Chem. Theory Comput. 2016, 12, 281–296. [Google Scholar] [CrossRef]
- Frederick, C.A.; Williams, L.D.; Ughetto, G.; van der Marel, G.A.; van Boom, J.H.; Rich, A.; Wang, A.H. Structural comparison of anticancer drug-DNA complexes: Adriamycin and daunomycin. Biochemistry 1990, 29, 2538–2549. [Google Scholar] [CrossRef] [PubMed]
- Holt, C.J.; Wentworth, K.J.; Johnson, R.P. A Short and Efficient Synthesis of the [3] Triangulene Ring System. Angew. Chem. Int. Ed. 2019, 58, 15793–15796. [Google Scholar] [CrossRef] [PubMed]
- Nun, P.; Gaillard, S.; Poater, A.; Cavallo, L.; Nolan, S.P. A Combined Mechanistic and Computational Study of the Gold(I)-Catalyzed Formation of Substituted Indenes. Org. Biomol. Chem. 2011, 9, 101–104. [Google Scholar] [CrossRef] [PubMed]
- Gonzalez-Rodriguez, E.; Abdo, M.A.; dos Passos Gomes, G.; Ayad, S.; White, F.D.; Tsvetkov, N.P.; Hanson, K.; Alabugin, I.V. Twofold π-Extension of Polyarenes via Double and Triple Radical Alkyne peri-Annulations: Radical Cascades Converging on the Same Aromatic Core. J. Am. Chem. Soc. 2020, 142, 8352–8366. [Google Scholar] [CrossRef] [PubMed]
- Hughes, A.; Gomes, G.; Alabugin, I.V. Stereoelectronic Influence of a “Spectator” Propargylic Substituent Can Override Aromaticity Effects in Radical Peri-cyclizations on Route to Expanded Polyaromatics. J. Org. Chem. 2019, 84, 1853–1862. [Google Scholar] [CrossRef] [PubMed]
- Tsvetkov, N.P.; Gonzalez-Rodriguez, E.; Hughes, A.; dos Passos Gomes, G.; White, F.D.; Kuriakose, F.; Alabugin, I.V. Radical Alkyne Peri-annulations for Synthesis of Functionalized Phenalenes, Benzanthrenes, and Olympicene. Angew. Chem. Int. Ed. 2018, 57, 3651–3655. [Google Scholar] [CrossRef] [PubMed]
- Kawade, R.K.; Hu, C.; Dos Santos, N.R.; Watson, N.; Lin, X.; Hanson, K.; Alabugin, I.V. Phenalenannulations: Three-point double annulation reactions that convert benzenes into pyrenes. Angew. Chem. Int. Ed. 2020, 59, 14352–14357. [Google Scholar] [CrossRef] [PubMed]











| Agent | Dose, mg/kg | Histamine-Induced Inflammation | Concanavalin A-Induced Inflammation | ||
|---|---|---|---|---|---|
| IEI, % | AIA, % | IEI, % | AIA, % | ||
| Control | - | 34.3 ± 2.6 ### | 0 | 37.7 ± 2.8 ## | 0 |
| 9 2d | 20 | 23.0 ± 1.9 ** | 33 | 21.4 ± 1.6 *** | 43 |
| 8 2d | 20 | 22.7 ± 2.3 ** | 34 | 27.9 ± 1.2 ** | 26 |
| 2 3a | 20 | 13.9 ± 0.8 *** | 60 | 17.8 ± 1.8 *** | 53 |
| 1 3b | 20 | 22.1 ± 1.8 ** | 36 | 18.0 ± 2.0 *** | 52 |
| 4 3d | 20 | 19.9 ± 2.6 ** | 42 | 15.2 ± 1.6 ***## | 60 |
| 3 3h | 20 | 23.9 ± 1.7 ** | 30 | 19.7 ± 2.3 *** | 48 |
| 5 3i | 20 | 22.6 ± 2.3 ** | 34 | 18.5 ± 1.6 *** | 51 |
| 6 3j | 20 | 28.9 ± 2.0 ## | 16 | 22.1 ± 2.5 ** | 41 |
| 7 3k | 20 | 22.7 ± 1.7 ** | 34 | 31.1 ± 2.4 # | 18 |
| Indomethacin | 20 | 17.8 ± 2.7 *** | 48 | 23.4 ± 2.2 ** | 38 |
| Agent | IC50 ± SEM, μM | ||||
|---|---|---|---|---|---|
| hTERT | U-87 MG | A549 | MCF7 | HeLa | |
| Doxorubicin | 4.1 ± 1.0 | 2.3 ± 0.6 | 4.05 ± 0.9 | 3.6 ± 0.4 | 6.0 ± 1.0 |
| 2b | ˃100 | ˃100 | ˃100 | ˃100 | ˃100 |
| 2d | ˃100 | ˃100 | ˃100 | ˃100 | ˃100 |
| 3a | ˃100 | ˃100 | ˃100 | ˃100 | 86.3 ± 12.9 |
| 3b | ˃100 | ˃100 | ˃100 | ˃100 | ˃100 |
| 3d | ˃100 | ˃100 | ˃100 | ˃100 | ˃100 |
| 3h | ˃100 | ˃100 | ˃100 | ˃100 | ˃100 |
| 3i | ˃100 | ˃100 | ˃100 | ˃100 | ˃100 |
| 3j | ˃100 | 50.1 ± 5.9 | ˃100 | 92.9 ± 7.2 | 21.3 ± 5.9 |
| 3k | ˃100 | ˃100 | ˃100 | ˃100 | 22.7 ± 7.3 |
| Ligand | Binding Energy *, kcal/mol |
|---|---|
| Doxorubicin | −12.4 |
| 3j | −7.1 |
| 3k | −6.1 |
| 3h | −6.0 |
| 2b | −5.2 |
| 3a | −5.1 |
| 3b | −5.0 |
| 3i | −4.9 |
| 3d | −4.7 |
| 2d | −4.1 |
Publisher’s Note: MDPI stays neutral with regard to jurisdictional claims in published maps and institutional affiliations. |
© 2021 by the authors. Licensee MDPI, Basel, Switzerland. This article is an open access article distributed under the terms and conditions of the Creative Commons Attribution (CC BY) license (https://creativecommons.org/licenses/by/4.0/).
Share and Cite
Vasilevsky, S.F.; Krivenko, O.L.; Sorokina, I.V.; Baev, D.S.; Tolstikova, T.G.; Alabugin, I.V. Cascade Transformations of 1-R-Ethynyl-9,10-anthraquinones with Amidines: Expanding Access to Isoaporphinoid Alkaloids. Molecules 2021, 26, 6883. https://doi.org/10.3390/molecules26226883
Vasilevsky SF, Krivenko OL, Sorokina IV, Baev DS, Tolstikova TG, Alabugin IV. Cascade Transformations of 1-R-Ethynyl-9,10-anthraquinones with Amidines: Expanding Access to Isoaporphinoid Alkaloids. Molecules. 2021; 26(22):6883. https://doi.org/10.3390/molecules26226883
Chicago/Turabian StyleVasilevsky, Sergey Francevich, Ol’ga Leonidovna Krivenko, Irina Vasilievna Sorokina, Dmitry Sergeevich Baev, Tatyana Genrikhovna Tolstikova, and Igor V. Alabugin. 2021. "Cascade Transformations of 1-R-Ethynyl-9,10-anthraquinones with Amidines: Expanding Access to Isoaporphinoid Alkaloids" Molecules 26, no. 22: 6883. https://doi.org/10.3390/molecules26226883
APA StyleVasilevsky, S. F., Krivenko, O. L., Sorokina, I. V., Baev, D. S., Tolstikova, T. G., & Alabugin, I. V. (2021). Cascade Transformations of 1-R-Ethynyl-9,10-anthraquinones with Amidines: Expanding Access to Isoaporphinoid Alkaloids. Molecules, 26(22), 6883. https://doi.org/10.3390/molecules26226883

