Briarane-Related Diterpenoids from Octocoral Briareum stechei
Abstract
:1. Introduction
2. Results and Discussion
2.1. Structure Determination of Briaexcavatolide P from a Formosan Briareum stechei
2.2. Structure Determination of Briastecholides B and C, and Briarenol R from an Okinawan Briareum stechei
2.3. Bioactivty of Isolated Briaranes
3. Materials and Methods
3.1. General Experimental Procedures
3.2. Animal Material
3.3. Extraction and Isolation
3.3.1. Formosan Briareum stechei
3.3.2. Okinawan Briareum stechei
3.4. In Vitro Inflammatory Assay
4. Conclusions
Supplementary Materials
Author Contributions
Funding
Institutional Review Board Statement
Informed Consent Statement
Data Availability Statement
Acknowledgments
Conflicts of Interest
Sample Availability
References
- Haefner, B. Drugs from the deep: Marine natural products as drug candidates. Drug Discov. Today 2003, 8, 536–544. [Google Scholar] [CrossRef]
- Rocha, J.; Peixe, L.; Gomes, N.C.M.; Calado, R. Cnidarians as a source of new marine bioactive compounds–an overview of the last decade and future steps for bioprospecting. Mar. Drugs 2011, 9, 1860–1886. [Google Scholar] [CrossRef]
- Cooper, E.L.; Hirabayashi, K.; Strychar, K.B.; Sammarco, P.W. Corals and their potential applications to integrative medicine. Evid Based Complement. Altern. Med. 2014, 2014, 184959. [Google Scholar] [CrossRef] [PubMed]
- Li, G.; Li, P.; Tang, X. Natural products from corals. In Symbiotic Microbiomes of Coral Reefs Sponges and Corals, 1st ed.; Li, Z., Ed.; Springer: Dordrecht, The Netherlands, 2019; pp. 465–504. [Google Scholar]
- Bayer, F.M. Key to the genera of octocorallia exclusive of Pennatulacea (Coelenterata: Anthozoa), with diagnoses of new taxa. Proc. Biol. Soc. Wash. 1981, 94, 902–947. [Google Scholar]
- Benayahu, Y.; Jeng, M.-S.; Perkol-Finkel, S.; Dai, C.-F. Soft corals (Octocorallia: Alcyonacea) from Southern Taiwan. II. Species diversity and distributional patterns. Zool. Stud. 2004, 43, 548–560. [Google Scholar]
- Miyazaki, Y.; Reimer, J.D. Morphological and genetic diversity of Briareum (Anthozoa: Octocorallia) from the Ryukyu Archipelago, Japan. Zool. Sci. 2014, 31, 692–702. [Google Scholar] [CrossRef]
- Samimi-Namin, K.; van Ofwegen, L.P. Overview of the genus Briareum (Cnidaria, Octocorallia, Briareidae) in the Indo-Pacific, with the description of a new species. Zookeys 2016, 557, 1–44. [Google Scholar] [CrossRef] [Green Version]
- Chen, Y.-H.; Chin, H.-K.; Peng, B.-R.; Chen, Y.-Y.; Hu, C.-C.; Zheng, L.-G.; Huynh, T.-H.; Su, T.-P.; Zhang, Y.-L.; Wen, Z.-H.; et al. Survey of briarane-type diterpenoids–Part VII. Heterocycles 2020, 100, 857–870. [Google Scholar]
- Sung, P.-J.; Chen, M.-C. The heterocyclic natural products of gorgonian corals of genus Briareum exclusive of briarane-type diterpenoids. Heterocycles 2002, 57, 1705–1715. [Google Scholar] [CrossRef]
- Burks, J.E.; van der Helm, D.; Chang, C.Y.; Ciereszko, L.S. The crystal and molecular structure of briarein A, a diterpenoid from the gorgonian Briareum asbestinum. Acta Cryst. 1977, B33, 704–709. [Google Scholar] [CrossRef]
- Wei, W.-C.; Sung, P.-J.; Duh, C.-Y.; Chen, B.-W.; Sheu, J.-H.; Yang, N.-S. Anti-inflammatory activities of natural products isolated from soft corals of Taiwan between 2008 and 2012. Mar. Drugs 2013, 11, 4083–4126. [Google Scholar] [CrossRef] [Green Version]
- Cheng, W.; Ji, M.; Li, X.; Ren, J.; Yin, F.; van Ofwegen, L.; Yu, S.; Chen, X.; Lin, W. Fragilolides A–Q, norditerpenoid and briarane diterpenoids from the gorgonian coral Junceella fragilis. Tetrahedron 2017, 73, 2518–2528. [Google Scholar] [CrossRef] [Green Version]
- Coval, S.J.; Cross, S.; Bernardinelli, G.; Jefford, C.W. Brianthein V, a new cytotoxic and antiviral diterpene isolated from Briareum asbestinum. J. Nat. Prod. 1988, 51, 981–984. [Google Scholar] [CrossRef]
- Wu, S.-L.; Sung, P.-J.; Chiang, M.Y.; Wu, J.-Y.; Sheu, J.-H. New polyoxygenated briarane diterpenoids, briaexcavatolides O–R, from the gorgonian Briareum excavatum. J. Nat. Prod. 2001, 64, 1415–1420. [Google Scholar] [CrossRef] [PubMed]
- Zhang, Y.-L.; Chiang, C.-C.; Lee, Y.-T.; Wen, Z.-H.; Wu, Y.-C.; Wu, Y.-J.; Hwang, T.-L.; Wu, T.-Y.; Chang, C.-Y.; Sung, P.-J. Briarenols Q–T: Briaranes from a cultured octocoral Briareum stechei (Kükenthal, 1908). Mar. Drugs 2020, 18, 383. [Google Scholar] [CrossRef]
- Silverstein, R.M.; Webster, F.X.; Kiemle, D.J. Spectroscopic Identification of Organic Compounds, 7th ed.; John Wiley & Sons, Inc.: Hoboken, NJ, USA, 2005; pp. 88–90, 96–98. [Google Scholar]
- Groweiss, A.; Look, S.A.; Fenical, W. Solenolides, new antiinflammatory and antiviral diterpenoids from a marine octocoral of the genus Solenopodium. J. Org. Chem. 1988, 53, 2401–2406. [Google Scholar] [CrossRef]
- Huynh, T.-H.; Chien, S.-Y.; Tanaka, J.; Wen, Z.-H.; Wu, Y.-C.; Wu, T.-Y.; Sung, P.-J. 8-Hydroxybriaranes from Octocoral Briareum stechei (Briareidae) (Kükenthal, 1908). Mar. Drugs 2021, 19, 136. [Google Scholar] [CrossRef]
- Buchholz, B.M.; Chanthaphavong, R.S.; Bauer, A.J.M. Nonhemopoietic cell TLR4 signaling is critical in causing early lipopoly-saccharide-induced ileus. J. Immunol. 2009, 183, 6744–6753. [Google Scholar] [CrossRef] [PubMed] [Green Version]
- Jean, Y.-H.; Chen, W.-F.; Duh, C.-Y.; Huang, S.-Y.; Hsu, C.-H.; Lin, C.-S.; Sung, C.-S.; Chen, I.-M.; Wen, Z.-H. Inducible nitric oxide synthase and cyclooxygenase-2 participate in anti-inflammatory and analgesic effects of the natural marine compound lemnalol from Formosan soft coral Lemnalia cervicorni. Eur. J. Pharmacol. 2008, 578, 323–331. [Google Scholar] [CrossRef] [PubMed]
- Tai, C.-J.; Su, J.-H.; Huang, M.-S.; Wen, Z.-H.; Dai, C.-F.; Sheu, J.-H. Bioactive eunicellin-based diterpenoids from the soft coral Cladiella krempfi. Mar. Drugs 2011, 9, 2036–2045. [Google Scholar] [CrossRef] [Green Version]
- Su, J.-H.; Wen, Z.-H. Bioactive cembrane-based diterpenoids from the soft coral Sinularia triangular. Mar. Drugs 2011, 9, 944–951. [Google Scholar] [CrossRef] [PubMed] [Green Version]
- Chen, C.-H.; Chen, N.-F.; Feng, C.-W.; Cheng, S.-Y.; Hung, H.-C.; Tsui, K.-H.; Hsu, C.-H.; Sung, P.-J.; Chen, W.-F.; Wen, Z.-H. A coral-derived compound improves functional recovery after spinal cord injuruy through its antiapoptotic and anti- inflammatory effects. Mar. Drugs 2016, 14, 160. [Google Scholar] [CrossRef] [PubMed] [Green Version]

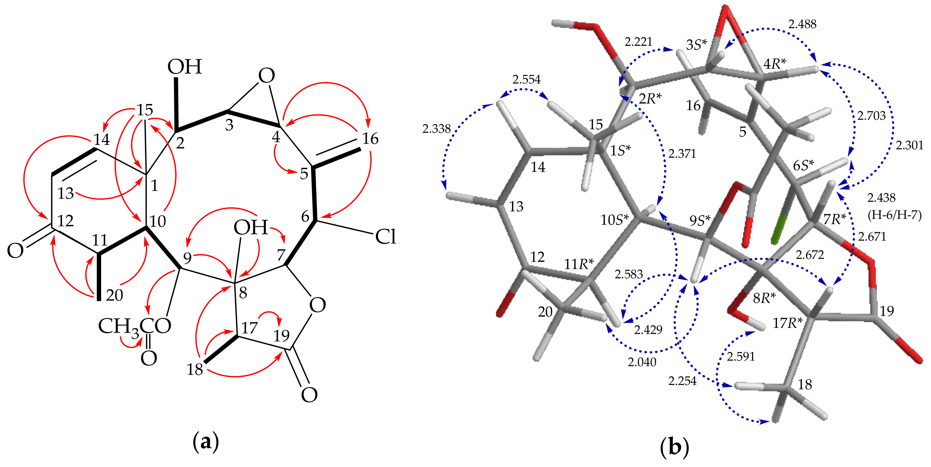
), HMBC (
), and (b) stereoview of 2 and calculated distances (Å) between selected protons with key NOESY (
) correlations.
), HMBC (
), and (b) stereoview of 2 and calculated distances (Å) between selected protons with key NOESY (
) correlations.
), HMBC (
), and (b) stereoview of 3 and calculated distances (Å) between selected protons with key NOESY (
) correlations.
), HMBC (
), and (b) stereoview of 3 and calculated distances (Å) between selected protons with key NOESY (
) correlations.

| 2 | 3 | |||
|---|---|---|---|---|
| C/H | δH a (J in Hz) | δC, b Type | δH f (J in Hz) | δC, g Type |
| 1 | 48.7, C | 41.6, C | ||
| 2 | 5.98 d (8.8) | 75.1, CH | 3.14 dd (8.8, 3.2) | 75.7, CH |
| 3α/β | 1.46 m; 3.25 m | 29.3, CH2 | 3.43 dd (8.8, 4.0) | 62.4, CH |
| 4α/β | 2.41 m; 2.36 m | 34.2, CH2 | 3.71 d (4.0) | 58.3, CH |
| 5 | 148.9, C | 134.5, C | ||
| 6 | 5.21 d (4.0) | 56.3, CH c | 5.35 ddd (2.8, 2.8, 2.8) | 60.9, CH |
| 7 | 5.00 br s | 83.8, CH | 5.06 d (2.8) | 76.3, CH |
| 8 | 83.9, C | 84.3, C | ||
| 9 | 4.88 d (7.6) | 79.2, CH c | 5.54 d (8.4) | 68.4, CH |
| 10 | 3.16 s | 44.0, CH | 2.34 dd (8.4, 4.0) | 39.2, CH |
| 11 | 155.7, C | 2.82 qd (7.6, 4.0) | 44.9, CH | |
| 12 | 4.14 dd (11.6, 6.0) | 69.8, CH | 202.5, C | |
| 13α/β | 2.04 m; 1.58 ddd (14.4, 11.6, 3.2) | 37.9, CH2 | 5.86 d (10.0) | 123.1, CH |
| 14 | 4.80 dd (3.2, 3.2) | 75.8, CH | 7.14 d (10.0) | 155.8, CH |
| 15 | 1.06 s | 14.9, CH3 | 1.20 s | 14.7, CH3 |
| 16a/b | 5.56 br s; 5.26 br s | 119.1, CH2 | 5.95 d (2.8); 5.47 d (2.8) | 118.9, CH2 |
| 17 | 2.87 q (6.8) | 52.1, CH | 2.48 q (6.8) | 45.5, CH |
| 18 | 1.01 d (6.8) | 6.6, CH3 | 1.23 d (6.8) | 6.2, CH3 |
| 19 | 175.9, C c | 173.8, C | ||
| 20 | 5.41 br s; 5.19 br s | 106.6, CH2 | 1.29 d (7.6) | 14.7, CH3 |
| OH-2 | 2.21 d (3.2) | |||
| OH-8 | 3.76 s | 3.43 s | ||
| OH-9 | 5.52 d (7.6) | |||
| OH-12 | 4.08 d (6.0) | |||
| OAc-2 | 170.7, C d | |||
| 1.89 s | 21.3, CH3 e | |||
| OAc-9 | 169.4, C | |||
| 2.24 s | 21.9, CH3 | |||
| OAc-14 | 171.2, C d | |||
| 1.89 s | 21.5, CH3 e | |||
| Compound (10 µM) | iNOS |
|---|---|
| Expression (% of LPS) | |
| Control | 0.51 ± 0.09 |
| Vehicle | 100.00 ± 1.87 |
| Briaexcavatolide P (1) | 46.53 ± 2.15 |
| Briastecholide B (2) | 86.45 ± 3.85 |
| Briastecholide C (3) | 79.30 ± 3.13 |
| Briarenol R (4) | 87.52 ± 2.84 |
| Dexamethasone | 42.40 ± 1.11 |
Publisher’s Note: MDPI stays neutral with regard to jurisdictional claims in published maps and institutional affiliations. |
© 2021 by the authors. Licensee MDPI, Basel, Switzerland. This article is an open access article distributed under the terms and conditions of the Creative Commons Attribution (CC BY) license (https://creativecommons.org/licenses/by/4.0/).
Share and Cite
Huynh, T.-H.; Neoh, C.-A.; Tsai, Y.-C.; Yao, Z.-K.; Zheng, L.-G.; Huang, P.-C.; Wen, Z.-H.; Chen, J.-J.; Wu, Y.-J.; Sung, P.-J. Briarane-Related Diterpenoids from Octocoral Briareum stechei. Molecules 2021, 26, 6861. https://doi.org/10.3390/molecules26226861
Huynh T-H, Neoh C-A, Tsai Y-C, Yao Z-K, Zheng L-G, Huang P-C, Wen Z-H, Chen J-J, Wu Y-J, Sung P-J. Briarane-Related Diterpenoids from Octocoral Briareum stechei. Molecules. 2021; 26(22):6861. https://doi.org/10.3390/molecules26226861
Chicago/Turabian StyleHuynh, Thanh-Hao, Choo-Aun Neoh, Yu-Chi Tsai, Zhi-Kang Yao, Li-Guo Zheng, Pin-Chang Huang, Zhi-Hong Wen, Jih-Jung Chen, Yu-Jen Wu, and Ping-Jyun Sung. 2021. "Briarane-Related Diterpenoids from Octocoral Briareum stechei" Molecules 26, no. 22: 6861. https://doi.org/10.3390/molecules26226861
APA StyleHuynh, T.-H., Neoh, C.-A., Tsai, Y.-C., Yao, Z.-K., Zheng, L.-G., Huang, P.-C., Wen, Z.-H., Chen, J.-J., Wu, Y.-J., & Sung, P.-J. (2021). Briarane-Related Diterpenoids from Octocoral Briareum stechei. Molecules, 26(22), 6861. https://doi.org/10.3390/molecules26226861

