Synthesis and Fungicidal Activity of Hydrated Geranylated Phenols against Botrytis cinerea
Abstract
:1. Introduction
2. Results
2.1. Synthesis
2.2. In Vitro Antifungal Activity against B. cinerea
2.3. Molecular Docking Study
3. Materials and Methods
3.1. Chemistry
3.2. Synthesis
3.2.1. Microwave-Assisted Electrophilic Aromatic Substitution Reaction
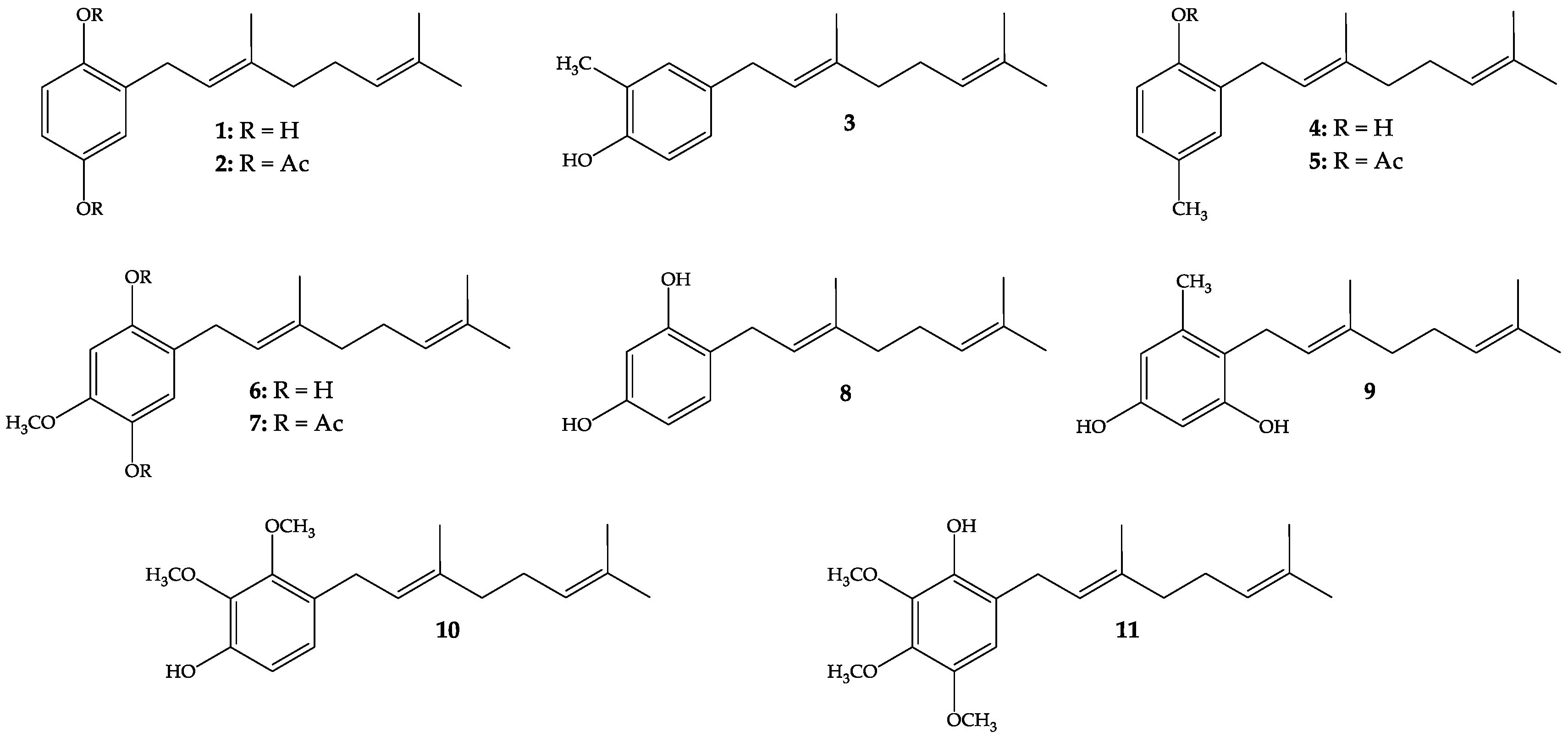
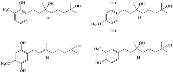
(E)-4-(3,7-dimethylocta-2,6-dien-1-yl)-6-methylphenol (3)
(E)-2-(3,7-dimethylocta-2,6-dien-1-yl)benzene-1,4-diol (18)
(E)-2-(3,7-dimethylocta-2,6-dien-1-yl)benzene-1,3,5-triol (22)
(E)-4-(3,7-dimethylocta-2,6-dien-1-yl)-3-methylphenol (16) and (E)-2-(3,7-dimethylocta-2,6-dien-1-yl)-5-methylphenol (17)
(E)-2-(3,7-dimethylocta-2,6-dien-1-yl)-4,5-dimethoxyphenol (21)
(E)-2-(3,7-dimethylocta-2,6-dien-1-yl)-3,5-dimethoxybenzene-1,4-diol (19)
3.2.2. Hydration Reaction
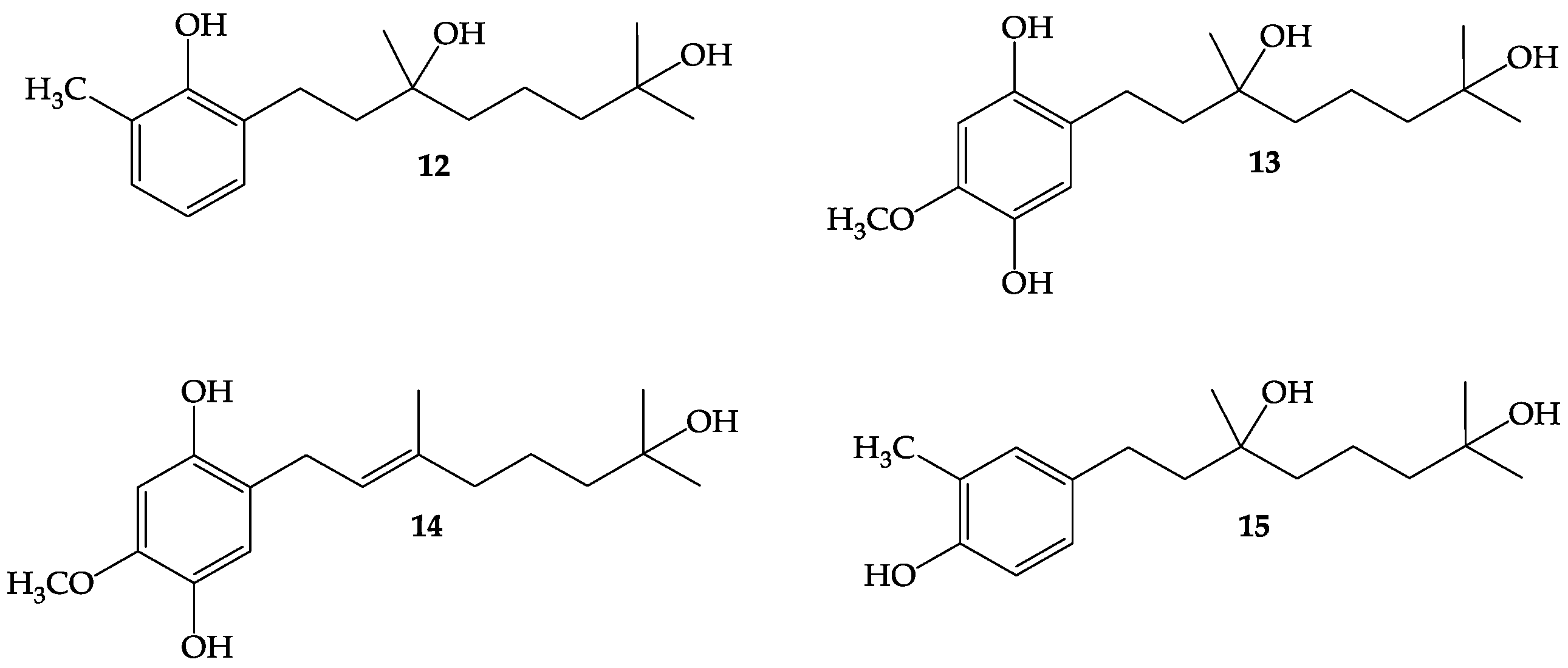
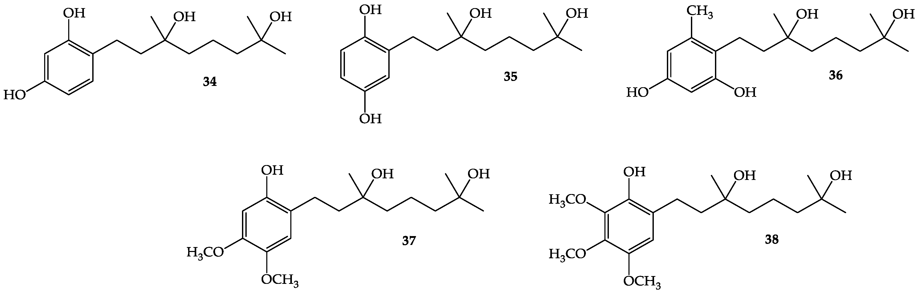
4-(3-hydroxy-3,7-dimethyloct-6-en-1-yl)benzene-1,3-diol (24); (E)-4-(7-hydroxy-3,7-dimethyloct-2-en-1-yl)benzene-1,3-diol (23) and 4-(3,7-dihydroxy-3,7-dimethyloctyl)benzene-1,3-diol (34)
(E)-2-(3,7-dimethylocta-2,6-dien-1-yl)-3,5-dimethoxycyclohexa-2,5-diene-1,4-dione (20) and (E)-2-(7-hydroxy-3,7-dimethyloct-2-en-1-yl)-3,5-dimethoxycyclohexa-2,5-diene-1,4-dione (31)
(E)-4-(7-hydroxy-3,7-dimethyloct-2-en-1-yl)-5-methylbenzene-1,3-diol (26), 4-(3-hydroxy-3,7-dimethyloct-6-en-1-yl)-5-methylbenzene-1,3-diol (27) and 4-(3,7-dihydroxy-3,7-dimethyloctyl)-5-methylbenzene-1,3-diol (36)
4-((E)-3,7-dimethylocta-2,6-dien-1-yl)-6-((e)-7-hydroxy-3,7-dimethyloct-2-en-1-yl)benzene-1,3-diol (32) and (E)-4-(3,7-dimethylocta-2,6-dien-1-yl)-6-(3-hydroxy-3,7-dimethyloct-6-en-1-yl)benzene-1,3-diol (33)
(E)-4-(7-hydroxy-3,7-dimethyloct-2-en-1-yl)-2,3-dimethoxyphenol (28)
(E)-2-(7-hydroxy-3,7-dimethyloct-2-en-1-yl)-4,5-dimethoxyphenol (29) and 8-(2-hydroxy-4,5-dimethoxyphenyl)-2,6-dimethyloctane-2,6-diol (37)
(E)-2-(7-hydroxy-3,7-dimethyloct-2-en-1-yl)-3,5-dimethoxybenzene-1,4-diol (30)
8-(2-hydroxy-3,4,5-trimethoxyphenyl)-2,6-dimethyloctane-2,6-diol (38)
2-(3-hydroxy-3,7-dimethyloct-6-en-1-yl)benzene-1,4-diol (25) and 2-(3,7-dihydroxy-3,7-dimethyloctyl)benzene-1,4-diol (35)
3.3. Antifungal Assays
3.4. Molecular Docking
4. Conclusions
Supplementary Materials
Author Contributions
Funding
Institutional Review Board Statement
Informed Consent Statement
Data Availability Statement
Acknowledgments
Conflicts of Interest
Sample Availability
References
- De Rosa, S.; De Giulio, A.; Iodice, C. Biological Effects of Prenylated Hydroquinones—Structure-Activity Relationship Studies in Antimicrobial, Brine Shrimp, and Fish Lethality Assays. J. Nat. Prod. 1994, 57, 1711–1716. [Google Scholar] [CrossRef]
- Bifulco, G.; Bruno, I.; Minale, L.; Riccio, R.; Debitus, C.; Bourdy, G.; Vassas, A.; Lavayre, J. Bioactive Prenylhydroquinone Sulfates and a Novel C31 Furanoterpene Alcohol Sulfate from the Marine Sponge, Ircinia Sp. J. Nat. Prod. 1995, 58, 1444–1449. [Google Scholar] [CrossRef]
- Bowden, B.; Coll, J. Studies of Australian soft corals. XXVI. Tetraprenylbenzoquinone derivatives from a Nephthea species of soft coral (Octocorallia, Alcyonacea). Aust. J. Chem. 1981, 34, 2677–2681. [Google Scholar] [CrossRef]
- Ravi, B.; Wells, R. Lipid and terpenoid metabolites of the Gorgonian Plexaura flava. Aust. J. Chem. 1982, 35, 105–112. [Google Scholar] [CrossRef]
- Howard, B.M.; Clarkson, K.; Bernstein, R.L. Simple prenylated hydroquinone derivatives from the marine urochordate aplidium californicum. Natural anticancer and antimutagenic agents. Tetrahedron Lett. 1979, 20, 4449–4452. [Google Scholar] [CrossRef]
- Targett, N.M.; Keeran, W.S. A Terpenehydroquinone from the Marine Ascidian Aplidium constellatum. J. Nat. Prod. 1984, 47, 556–557. [Google Scholar] [CrossRef]
- Guella, G.; Mancini, I.; Pietra, F. Verapliquinones—Novel Diprenylquinones from An Aplidium Sp (Ascidiacea) of Ile-Verte Waters, Brittany. Helv. Chim. Acta 1987, 70, 621–626. [Google Scholar] [CrossRef]
- Faulkner, D.J. Marine natural products. Nat. Prod. Res. 2001, 18, 1R–49R. [Google Scholar]
- Baeza, E.; Catalan, K.; Pena-Cortes, H.; Espinoza, L.; Villena, J.; Carrasco, H. Synthesis of Geranylhydroquinone Derivatives with Potential Cytotoxic Activity. Quim. Nova 2012, 35, 523–526. [Google Scholar] [CrossRef] [Green Version]
- Taborga, L.; Espinoza, L.; Moller, A.; Carrasco, H.; Cuellar, M.; Villena, J. Antiproliferative effect and apoptotic activity of linear geranylphenol derivatives from phloroglucinol and orcinol. Chem. Biol. Interact. 2016, 247, 22–29. [Google Scholar] [CrossRef]
- Espinoza, L.; Taborga, L.; Diaz, K.; Olea, A.F.; Peña-Cortes, H. Synthesis of linear geranylphenols and their effect on mycelial growth of plant pathogen Botrytis cinerea. Molecules 2014, 19, 1512–1526. [Google Scholar] [CrossRef] [PubMed] [Green Version]
- Chavez, M.I.; Soto, M.; Taborga, L.; Diaz, K.; Olea, A.F.; Bay, C.; Pena-Cortes, H.; Espinoza, L. Synthesis and in vitro antifungal activity against Botrytis cinerea of geranylated phenols and their phenyl acetate derivatives. Int. J. Mol. Sci. 2015, 16, 19130–19152. [Google Scholar] [CrossRef] [PubMed] [Green Version]
- Taborga, L.; Diaz, K.; Olea, A.F.; Reyes-Bravo, P.; Flores, M.E.; Pena-Cortes, H.; Espinoza, L. Effect of Polymer Micelles on Antifungal Activity of Geranylorcinol Compounds against Botrytis cinerea. J. Agric. Food Chem. 2015, 63, 6890–6896. [Google Scholar] [CrossRef] [PubMed]
- Soto, M.; Espinoza, L.; Chavez, M.I.; Diaz, K.; Olea, A.F.; Taborga, L. Synthesis of New Hydrated Geranylphenols and in Vitro Antifungal Activity against Botrytis cinerea. Int. J. Mol. Sci. 2016, 17, 840. [Google Scholar] [CrossRef] [PubMed] [Green Version]
- Chavez, M.I.; Soto, M.; Cimino, F.A.; Olea, A.F.; Espinoza, L.; Diaz, K.; Taborga, L. In Vitro Antifungal Activity of New and Known Geranylated Phenols against Phytophthora cinnamomi Rands. Int. J. Mol. Sci. 2018, 19, 1601. [Google Scholar] [CrossRef] [PubMed] [Green Version]
- Qu, T.; Gao, S.; Li, J.; Hao, J.J.; Ji, P. Synthesis and antifungal activity of 2-allylphenol derivatives against fungal plant pathogens. Pestic. Biochem. Physiol. 2017, 135, 47–51. [Google Scholar] [CrossRef] [PubMed]
- Baeza, E.; Catalan, K.; Villena, J.; Carrasco, H.; Cuellar, M.; Espinoza, L. Synthesis and cytotoxic activity of geranylmethoxyhydroquinone derivatives. J. Chil. Chem.Soc. 2012, 57, 1219–1223. [Google Scholar] [CrossRef] [Green Version]
- Taborga, L.; Vergara, A.; Osorio, M.; Carvajal, M.; Madrid, A.; Marilaf, F.; Carrasco, H.; Espinoza, L. Synthesis and NMR structure determination of new linear geranylphenols by direct geranylation of activated phenols. J.Chil. Chem. Soc. 2013, 58, 1790–1796. [Google Scholar] [CrossRef] [Green Version]
- Chukicheva, I.Y.; Fedorova, I.V.; Koroleva, A.A.; Kuchin, A.V. Synthesis of natural geranyhidroquinone analogs. Chem. Nat. Compd. 2015, 51, 1056–1058. [Google Scholar] [CrossRef]
- Manners, G.; Jurd, L.; Stevens, K. Biogenetic-type syntheses of isoprenoid and diisoprenoid derivatives of orcinol. Tetrahedron 1972, 28, 2949–2959. [Google Scholar] [CrossRef]
- Kregiel, D. Succinate Dehydrogenase of Saccharomyces cerevisiae–The Unique Enzyme of TCA Cycle–Current Knowledge and New Perspectives. In Dehydrogenases; Canuto, R., Ed.; IntechOpen: London, UK, 2012; Chapter 9; pp. 211–234. [Google Scholar]
- Rutter, J.; Winge, D.R.; Schiffman, J.D. Succinate dehydrogenase—Assembly, regulation and role in human disease. Mitochondrion 2010, 10, 393–401. [Google Scholar] [CrossRef] [PubMed] [Green Version]
- Hajjawi, O. Succinate dehydrogenase: Assembly, regulation and role in human disease. EJSR 2011, 51, 133–142. [Google Scholar]
- Avenot, H.F.; Michailides, T.J. Progress in understanding molecular mechanisms and evolution of resistance to succinate dehydrogenase inhibiting (SDHI) fungicides in phytopathogenic fungi. Crop Prot. 2010, 29, 643–651. [Google Scholar] [CrossRef]
- Qiao, L.; Zhai, Z.-W.; Cai, P.-P.; Tan, C.-X.; Weng, J.-Q.; Han, L.; Liu, X.-H.; Zhang, Y.-G. Synthesis, Crystal Structure, Antifungal Activity, and Docking Study of Difluoromethyl Pyrazole Derivatives. J. Heterocycl. Chem. 2019, 56, 2536–2541. [Google Scholar] [CrossRef]
- Wang, H.; Zhai, Z.-W.; Shi, Y.-X.; Tan, C.-X.; Weng, J.-Q.; Han, L.; Li, B.-J. Novel trifluoromethylpyrazole acyl urea derivatives: Synthesis, crystal structure, fungicidal activity and docking study. J. Mol. Struct. 2018, 1171, 631–678. [Google Scholar] [CrossRef]
- Wang, G.; Cui, P.; Bai, H.; Wei, S.; Li, S. Late-Stage C–H Functionalization of Nicotinamides for the Expedient Discovery of Novel Antifungal Leads. J. Agric. Food Chem. 2019, 67, 11901–11910. [Google Scholar] [CrossRef] [PubMed]
- Qiao, L.; Cai, P.-P.; Shen, Z.-H.; Wu, H.-K.; Tan, C.-X.; Weng, J.-Q.; Liu, X.-H. Crystal structure and molecular docking studies of new pyrazole-4-carboxamides. Heterocycl. Commun. 2019, 25, 66–72. [Google Scholar] [CrossRef]
- Barghash, R.F.; Fawzy, I.M.; Chandrasekar, V.; Singh, A.V.; Katha, U.; Mandour, A.A. In Silico Modeling as a Perspective in Developing Potential Vaccine Candidates and Therapeutics for COVID-19. Coatings 2021, 11, 1273. [Google Scholar] [CrossRef]
- Mansilla, D.S.; Torviso, M.R.; Alesso, E.N.; Vázquez, P.G.; Cáceres, C.V. Synthesis and characterization of copper and aluminum salts of H3PMo12O40 for their use as catalysts in the eco-friendly synthesis of chromanes. Appl. Catal. A Gen. 2010, 375, 196–204. [Google Scholar] [CrossRef]
- Aknin, M.; Dayan, T.L.A.; Rudi, A.; Kashman, Y.; Gaydou, E.M. Hydroquinone antioxidants from the Indian Ocean tunicate Aplidium savignyi. J. Agric. Food Chem. 1999, 47, 4175–4177. [Google Scholar] [CrossRef]
- Sato, A.; Shindo, T.; Kasanuki, N.; Hasegawa, K. Antioxidant Metabolites from the Tunicate Amaroucium-Multiplicatum. J. Nat. Prod. 1989, 52, 975–981. [Google Scholar] [CrossRef] [PubMed]
- Oramas-Royo, S.; Haidar, S.; Amesty, Á.; Martín-Acosta, P.; Feresin, G.; Tapia, A.; Aichele, D.; Jose, J.; Estévez-Braun, A. Design, synthesis and biological evaluation of new embelin derivatives as CK2 inhibitors. Bioorganic Chem. 2020, 95, 103520. [Google Scholar] [CrossRef] [PubMed]
- Singh, A.V.; Maharjan, R.-S.; Kanase, A.; Siewert, K.; Rosenkranz, D.; Singh, R.; Laux, P.; Luch, A. Machine-Learning-Based Approach to Decode the Influence of Nanomaterial Properties on Their Interaction with Cells. ACS Appl. Mater. Interfaces 2021, 13, 1943–1955. [Google Scholar] [CrossRef] [PubMed]












| Geranylated Compounds | EC50, µg/mL ± SD a |
|---|---|
| 3 | >300 (NA) |
| 16 | 136 ± 1.56 |
| 17 | 89 ± 2.00 |
| 18 | 84 ± 1.84 |
| 19 | 78 ± 2.45 |
| 20 | 224 ± 4.56 |
| 21 | 181 ± 3.62 |
| 22 | 276 ± 5.80 |
| Geranylated Compounds | EC50, µg/mL ± SD a |
|---|---|
| 23 | 130 ± 2.25 |
| 24 | 134 ± 4.30 |
| 25 | 108 ± 1.70 |
| 26 | 162 ± 3.24 |
| 27 | 60 ± 1.20 |
| 28 | >300 |
| 29 | 217 ± 6.54 |
| 30 | 17 ± 1.35 |
| 31 | >300 |
| 32 | 48 ± 0.80 |
| 33 | 151 ± 3.20 |
| Geranylated Compounds | EC50, µg/mL ± SD a |
|---|---|
| 34 | >300 |
| 35 | 54 ± 0.75 |
| 36 | >300 |
| 37 | 217 ± 3.46 |
| 38 | 123 ± 2.65 |
| One Hydroxyl Group | Two Hydroxyl Group | No Hydroxyl Group | ||||||
|---|---|---|---|---|---|---|---|---|
| ID | EC50, µg/mL | Docking Score | ID | EC50, µg/mL | Docking Score | ID | EC50, µg/mL | Docking Score |
| 30 | 17 | −9.2 | 37 | 217 | −7.4 | 19 | 78 | −8.1 |
| 14 | - | −8.9 | 35 | 54 | −7.0 | 18 | 84 | −7,1 |
| 32 | 48 | −8.8 | 38 | 123 | −6.7 | 21 | 181 | −6.9 |
| 27 | 60 | −7.6 | 34 | >300 | −6.3 | 20 | 224 | −5.4 |
| 25 | 108 | −6.9 | 36 | >300 | −6.2 | |||
| 24 | 134 | −6.8 | ||||||
| 26 | 162 | −6.8 | ||||||
| 29 | 217 | −6.5 | ||||||
| 33 | 151 | −6.4 | ||||||
| 28 | >300 | −6.1 | ||||||
| 23 | 130 | −6.0 | ||||||
| 31 | >300 | −5.6 | ||||||
Publisher’s Note: MDPI stays neutral with regard to jurisdictional claims in published maps and institutional affiliations. |
© 2021 by the authors. Licensee MDPI, Basel, Switzerland. This article is an open access article distributed under the terms and conditions of the Creative Commons Attribution (CC BY) license (https://creativecommons.org/licenses/by/4.0/).
Share and Cite
Soto, M.; Estevez-Braun, A.; Amesty, Á.; Kluepfel, J.; Restrepo, S.; Diaz, K.; Espinoza, L.; Olea, A.F.; Taborga, L. Synthesis and Fungicidal Activity of Hydrated Geranylated Phenols against Botrytis cinerea. Molecules 2021, 26, 6815. https://doi.org/10.3390/molecules26226815
Soto M, Estevez-Braun A, Amesty Á, Kluepfel J, Restrepo S, Diaz K, Espinoza L, Olea AF, Taborga L. Synthesis and Fungicidal Activity of Hydrated Geranylated Phenols against Botrytis cinerea. Molecules. 2021; 26(22):6815. https://doi.org/10.3390/molecules26226815
Chicago/Turabian StyleSoto, Mauricio, Ana Estevez-Braun, Ángel Amesty, Julia Kluepfel, Susana Restrepo, Katy Diaz, Luis Espinoza, Andrés F. Olea, and Lautaro Taborga. 2021. "Synthesis and Fungicidal Activity of Hydrated Geranylated Phenols against Botrytis cinerea" Molecules 26, no. 22: 6815. https://doi.org/10.3390/molecules26226815
APA StyleSoto, M., Estevez-Braun, A., Amesty, Á., Kluepfel, J., Restrepo, S., Diaz, K., Espinoza, L., Olea, A. F., & Taborga, L. (2021). Synthesis and Fungicidal Activity of Hydrated Geranylated Phenols against Botrytis cinerea. Molecules, 26(22), 6815. https://doi.org/10.3390/molecules26226815

