Metabolite Profiling of Helichrysum italicum Derived Food Supplements by 1H-NMR-Based Metabolomics
Abstract
:1. Introduction
2. Results and Discussion
2.1. Untargeted Metabolite Profiling of Helichrysum italicum Derived Food Supplements
2.2. Metabolite Fingerprinting by 1D and 2D NMR Spectroscopic Analysis
2.3. Targeted Multivariate Statistical Analysis
3. Materials and Methods
3.1. Plant Material and Sample Preparation
3.2. Generation of 1H NMR Metabolic Profiles
3.3. NMR Data Processing
3.4. Multivariate Data Analysis (Principal Component Analysis)
4. Conclusions
Supplementary Materials
Author Contributions
Funding
Institutional Review Board Statement
Informed Consent Statement
Data Availability Statement
Conflicts of Interest
Sample Availability
References
- Benincasa, C.; Santoro, I.; Nardi, M.; Cassano, A.; Sindona, G. Eco-Friendly Extraction and Characterisation of Nutraceuticals from Olive Leaves. Molecules 2019, 24, 3481. [Google Scholar] [CrossRef] [PubMed] [Green Version]
- Sampaio, B.L.; Edrada-Ebel, R.; Da Costa, F.B. Effect of the environment on the secondary metabolic profile of Tithonia diversifolia: A model for environmental metabolomics of plants. Sci. Rep. 2016, 6, 29265. [Google Scholar] [CrossRef] [Green Version]
- Ranjha, M.M.A.N.; Kanwal, R.; Shafique, B.; Arshad, R.N.; Irfan, S.; Kieliszek, M.; Kowalczewski, P.Ł.; Irfan, M.; Khalid, M.Z.; Roobab, U.; et al. A Critical Review on Pulsed Electric Field: A Novel Technology for the Extraction of Phytoconstituents. Molecules 2021, 26, 4893. [Google Scholar] [CrossRef]
- Celeiro, M.; Garcia-Jares, C.; Llompart, M.; Lores, M. Recent Advances in Sample Preparation for Cosmetics and Personal Care Products Analysis. Molecules 2021, 26, 4900. [Google Scholar] [CrossRef]
- Chemat, F.; Vian, M.A.; Cravotto, G. Green extraction of natural products: Concept and principles. Int. J. Mol. Sci. 2012, 13, 8615–8627. [Google Scholar] [CrossRef] [Green Version]
- Bottone, A.; Masullo, M.; Montoro, P.; Pizza, C.; Piacente, S. HR-LC-ESI-Orbitrap-MS based metabolite profiling of Prunus dulcis Mill. (Italian cultivars Toritto and Avola) husks and evaluation of antioxidant activity. Phytochem. Anal. 2019, 30, 415–423. [Google Scholar] [PubMed]
- Cerulli, A.; Napolitano, A.; Hosek, J.; Masullo, M.; Pizza, C.; Piacente, S. Antioxidant and In Vitro Preliminary Anti-Inflammatory Activity of Castanea sativa (Italian Cultivar “Marrone di Roccadaspide” PGI) Burs, Leaves, and Chestnuts Extracts and Their Metabolite Profiles by LC-ESI/LTQOrbitrap/MS/MS. Antioxidants 2021, 10, 278. [Google Scholar] [CrossRef]
- Nutrizio, M.; Gajdoš Kljusurić, J.; Marijanović, Z.; Dubrović, I.; Viskić, M.; Mikolaj, E.; Chemat, F.; Režek Jambrak, A. The Potential of High Voltage Discharges for Green Solvent Extraction of Bioactive Compounds and Aromas from Rosemary (Rosmarinus officinalis L.)—Computational Simulation and Experimental Methods. Molecules 2020, 25, 3711. [Google Scholar] [CrossRef]
- Mari, A.; Napolitano, A.; Masullo, M.; Pizza, C.; Piacente, S. Identification and quantitative determination of the polar constituents in Helichrysum italicum flowers and derived food supplements. J. Pharm. Biomed. Anal. 2014, 96, 249–255. [Google Scholar] [CrossRef] [PubMed]
- Rigano, D.; Formisano, C.; Pagano, E.; Senatore, F.; Piacente, S.; Masullo, M.; Capasso, R.; Izzo, A.A.; Borrelli, F. A new acetophenone derivative from flowers of Helichrysum italicum (Roth) Don ssp. italicum. Fitoterapia 2014, 99, 198–203. [Google Scholar] [CrossRef] [PubMed]
- Antunes Viegas, D.; Palmeira-de-Oliveira, A.; Salgueiro, L.; Martinez-de-Oliveira, J.; Palmeira-de-Oliveira, R. Helichrysum italicum: From traditional use to scientific data. J. Ethnopharmacol. 2014, 151, 54–65. [Google Scholar] [CrossRef]
- Mancini, E.; De Martino, L.; Marandino, A.; Scognamiglio, M.R.; De Feo, V. Chemical Composition and Possible in Vitro Phytotoxic Activity of Helichrsyum italicum (Roth) Don ssp. italicum. Molecules 2011, 16, 7725–7735. [Google Scholar] [CrossRef] [Green Version]
- Mastelić, J.; Politeo, O.; Jerković, I. Contribution to the Analysis of the Essential Oil of Helichrysum italicum (Roth) G. Don.—Determination of Ester Bonded Acids and Phenols. Molecules 2008, 13, 795–803. [Google Scholar]
- Cerulli, A.; Masullo, M.; Montoro, P.; Hosek, J.; Pizza, C.; Piacente, S. Metabolite profiling of “green” extracts of Corylus avellana leaves by 1H NMR spectroscopy and multivariate statistical analysis. J. Pharm. Biomed. Anal. 2018, 160, 168–178. [Google Scholar] [CrossRef] [PubMed]
- Bottone, A.; Montoro, P.; Masullo, M.; Pizza, C.; Piacente, S. Metabolite profiling and antioxidant activity of the polar fraction of Italian almonds (Toritto and Avola): Analysis of seeds, skins, and blanching water. J. Pharm. Biomed. Anal. 2020, 190, 113518. [Google Scholar] [CrossRef]
- Beteinakis, S.; Papachristodoulou, A.; Gogou, G.; Katsikis, S.; Mikros, E.; Halabalaki, M. NMR-Based Metabolic Profiling of Edible Olives—Determination of Quality Parameters. Molecules 2020, 25, 3339. [Google Scholar] [CrossRef]
- Sellami, H.K.; Napolitano, A.; Masullo, M.; Smiti, S.; Piacente, S.; Pizza, C. Influence of growing conditions on metabolite profile of Ammi visnaga umbels with special reference to bioactive furanochromones and pyranocoumarins. Phytochemistry 2013, 95, 197–206. [Google Scholar] [CrossRef] [PubMed]
- Bottone, A.; Montoro, P.; Masullo, M.; Pizza, C.; Piacente, S. Metabolomics and antioxidant activity of the leaves of Prunus dulcis Mill. (Italian cvs. Toritto and Avola). J. Pharm. Biomed. Anal. 2018, 158, 54–65. [Google Scholar] [CrossRef]
- Do Amaral, F.P.; Napolitano, A.; Masullo, M.; dos Santos, L.C.; Festa, M.; Vilegas, W.; Pizza, C.; Piacente, S. HPLC-ESIMSn Profiling, Isolation, Structural Elucidation, and Evaluation of the Antioxidant Potential of Phenolics from Paepalanthus geniculatus. J. Nat. Prod. 2012, 75, 547–556. [Google Scholar] [CrossRef]
- Seigner, J.; Junker-Samek, M.; Plaza, A.; D’Urso, G.; Masullo, M.; Piacente, S.; Holper-Schichl, Y.M.; de Martin, R. A Symphytum officinale Root Extract Exerts Anti-inflammatory Properties by Affecting Two Distinct Steps of NF-kappa B Signaling. Front. Pharmacol. 2019, 10, 289. [Google Scholar] [CrossRef] [PubMed]
- Materska, M.; Olszowka, K.; Chilczuk, B.; Stochmal, A.; Pecio, L.; Pacholczyk-Sienicka, B.; Piacente, S.; Pizza, C.; Masullo, M. Polyphenolic profiles in lettuce (Lactuca sativa L.) after CaCl2 treatment and cold storage. Eur. Food Res. Technol. 2019, 245, 733–744. [Google Scholar]
- Masullo, M.; Lauro, G.; Cerulli, A.; Kontek, B.; Olas, B.; Bifulco, G.; Piacente, S.; Pizza, C. Giffonins, Antioxidant Diarylheptanoids from Corylus avellana, and Their Ability to Prevent Oxidative Changes in Human Plasma Proteins. J. Nat. Prod. 2021, 84, 646–653. [Google Scholar] [CrossRef] [PubMed]
- Cerulli, A.; Lauro, G.; Masullo, M.; Cantone, V.; Olas, B.; Kontek, B.; Nazzaro, F.; Bifulco, G.; Piacente, S. Cyclic Diarylheptanoids from Corylus avellana Green Leafy Covers: Determination of Their Absolute Configurations and Evaluation of Their Antioxidant and Antimicrobial Activities. J. Nat. Prod. 2017, 80, 1703–1713. [Google Scholar] [CrossRef] [PubMed]
- Masullo, M.; Cerulli, A.; Mari, A.; Santos, C.C.D.; Pizz, C.; Piacente, S. LC-MS profiling highlights hazelnut (Nocciola di Giffoni PGI) shells as a byproduct rich in antioxidant phenolics. Food Res. Int. 2017, 101, 180–187. [Google Scholar] [CrossRef]
- Liu, W.; Li, J.; Zhang, X.; Zu, Y.; Yang, Y.; Liu, W.; Xu, Z.; Gao, H.; Sun, X.; Jiang, X.; et al. Current Advances in Naturally Occurring Caffeoylquinic Acids: Structure, Bioactivity, and Synthesis. J. Agric. Food Chem. 2020, 68, 10489–10516. [Google Scholar] [CrossRef] [PubMed]
- Mahmood, N.; Piacente, S.; Burke, A.; Khan, A.; Pizza, C. Constituents of Cuscuta reflexa are anti-HIV agents. Antivir. Chem. Chemother. 1997, 8, 70–74. [Google Scholar] [CrossRef] [Green Version]
- Santana-Gálvez, J.; Cisneros-Zevallos, L.; Jacobo-Velázquez, D.A. Chlorogenic Acid: Recent Advances on Its Dual Role as a Food Additive and a Nutraceutical against Metabolic Syndrome. Molecules 2017, 22, 358. [Google Scholar] [CrossRef] [Green Version]






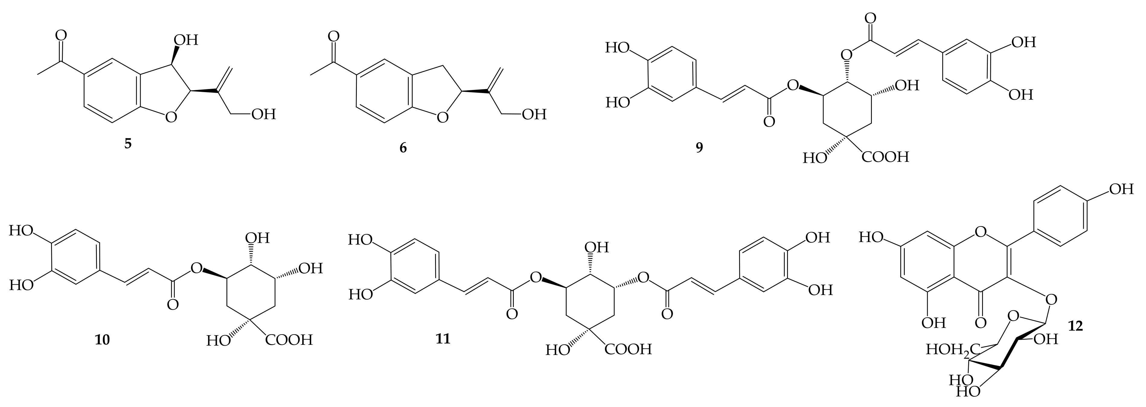
| Compound | 1H Chemical Shifts (Multiplicity, J in Hz) | |
|---|---|---|
| 1 | alanine | 1.48 * (d, 7.2), 3.83 (q, 6.0) |
| 2 | GABA | 1.92 * (t, 7.5), 2.30 (t, 7.3) 3.0 (t, 7.5) |
| 3 | lysine | 1.52 (m), 1.73 (m), 2.00 * (m) |
| 4 | valine | 0.98 (d, 7), 1.03 (d, 7.0) 2.31 * (m) |
| 5 | 12-hydroxytremetone | 2.56 * (s), 3.21 (dd, 10.0, 16.0), 3.53 (dd, 10.0, 16.0), 4.20 s, 5.26 (t, 10.0), 5.45 (s), 6.87 (d, 8.0), 7.01 (d, 8.0, 1.2), 7.89 (d, 1.2) |
| 6 | gnaphaliol | 2.60 * (s), 4.25 (d, 13.2), 4.27 (d, 13.2), 5.23 (d, 6.2), 5.29 (d, 6.2), 5.41 s, 6.99 (d, 8.0), 8.04 (d, 8.0, 1.2), 8.12 (d, 1.2) |
| 7 | β-glucose | 4.50 * (d, 8.0) |
| 8 | α-glucose | 5.14 * (d, 3.6) |
| 9 | 3,4-dicaffeoylquinic acid | 2.02 (m), 2.09 (m), 2.17 (m), 2.28 (m), 4.32 (m), 5.12 (brd, 6.5); 5.63 (m), 6.29 (d, 16.0), 6.23 * (d, 16.0), 6.76 (d, 8.0), 6.75 (d, 8.3), 6.91 (dd, 8.0, 2.0), 6.92 (dd, 8.3, 2.0), 7.02 (d, 2.0), 7.52 (d, 16.0), 7.60 (d, 16.0) |
| 10 | chlorogenic acid | 2.02 (t, 12.0), 2.15 (t, 12.0); 3.73 (dd, 2.0, 8.5), 4.16 (m), 5.42 (t, 8.5), 6.31 * (d, 16.0), 6.80 (d, 8.0), 6.98 (d, 8.0, 1.2), 7.08 (d, 1.2), 7.60 (d, 16.0) |
| 11 | 3,5-dicaffeoylquinic acid | 2.16 (m), 2.21 (m), 2.24 (m), 2.32 (dd, 13.5, 3.5), 3.97 (dd, 7.5, 3.0), 5.38 (m), 5.43 (m), 6.26 (d, 16.0), 6.37 * (d, 16.0), 6.77 (d, 8.0,), 6.78 (d, 8.3), 6.96 (dd, 8.0, 2.0), 6.97 (dd, 8.3, 2.0), 7.06 (d, 2.0, x2), 7.58 (d, 16.0), 7.62 (d, 16.0) |
| 12 | kaempferol 3-O-glucopyranoside | 3.21–3.5 (m), 3.69 (dd, 12.0, 2.0), 3.53 (dd, 12.0, 2.0), 6.16 (d, 1.2), 6.35 (d, 1.2), 6.86 (d, 8.2), 7.87 * (d, 8.2) |
Publisher’s Note: MDPI stays neutral with regard to jurisdictional claims in published maps and institutional affiliations. |
© 2021 by the authors. Licensee MDPI, Basel, Switzerland. This article is an open access article distributed under the terms and conditions of the Creative Commons Attribution (CC BY) license (https://creativecommons.org/licenses/by/4.0/).
Share and Cite
Cerulli, A.; Masullo, M.; Piacente, S. Metabolite Profiling of Helichrysum italicum Derived Food Supplements by 1H-NMR-Based Metabolomics. Molecules 2021, 26, 6619. https://doi.org/10.3390/molecules26216619
Cerulli A, Masullo M, Piacente S. Metabolite Profiling of Helichrysum italicum Derived Food Supplements by 1H-NMR-Based Metabolomics. Molecules. 2021; 26(21):6619. https://doi.org/10.3390/molecules26216619
Chicago/Turabian StyleCerulli, Antonietta, Milena Masullo, and Sonia Piacente. 2021. "Metabolite Profiling of Helichrysum italicum Derived Food Supplements by 1H-NMR-Based Metabolomics" Molecules 26, no. 21: 6619. https://doi.org/10.3390/molecules26216619
APA StyleCerulli, A., Masullo, M., & Piacente, S. (2021). Metabolite Profiling of Helichrysum italicum Derived Food Supplements by 1H-NMR-Based Metabolomics. Molecules, 26(21), 6619. https://doi.org/10.3390/molecules26216619
