Deposition of Hybrid Photocatalytic Layers for Air Purification Using Commercial TiO2 Powders
Abstract
1. Introduction
2. Materials and Methods
2.1. Materials
2.2. Synthesis
2.3. Experimental Methods
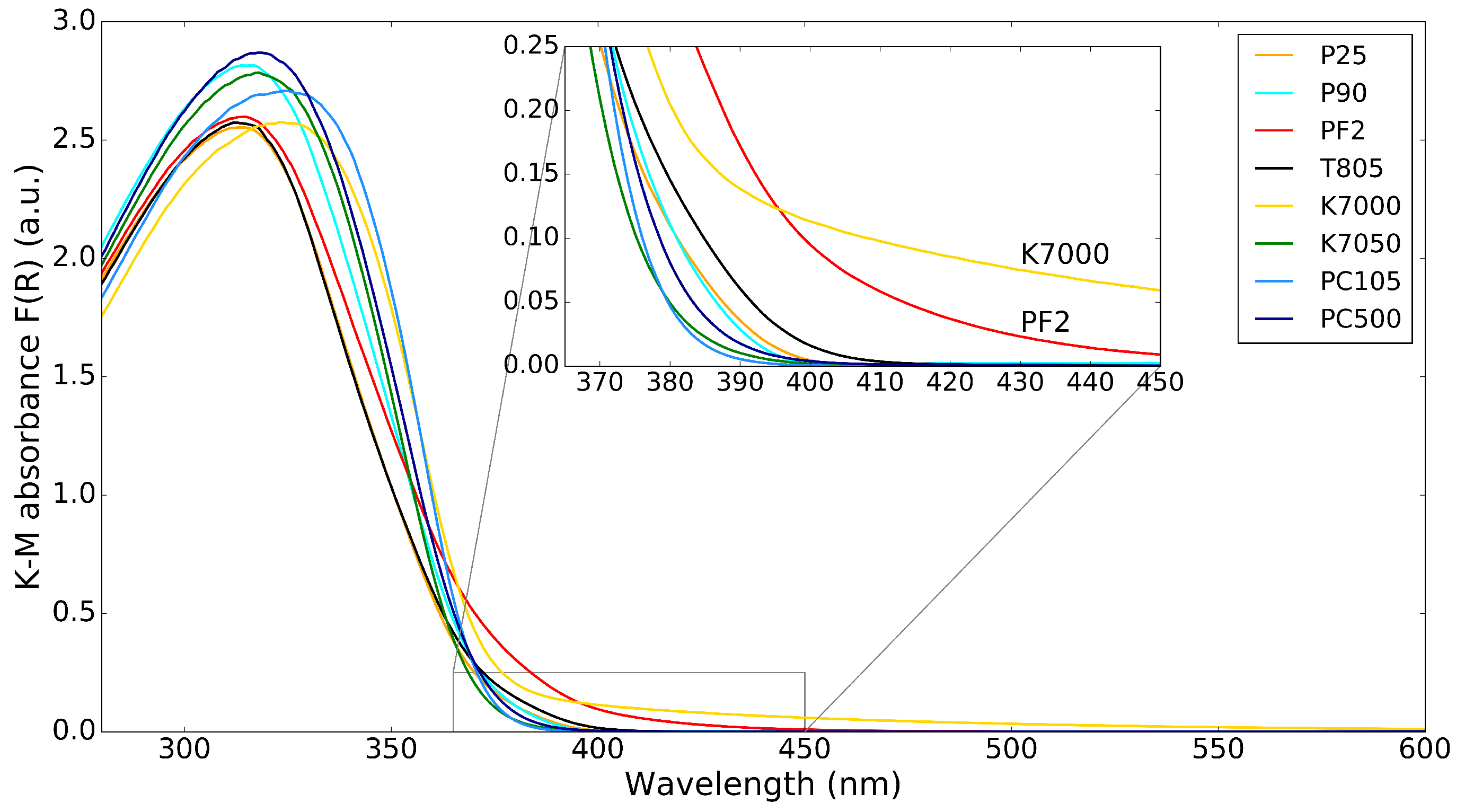
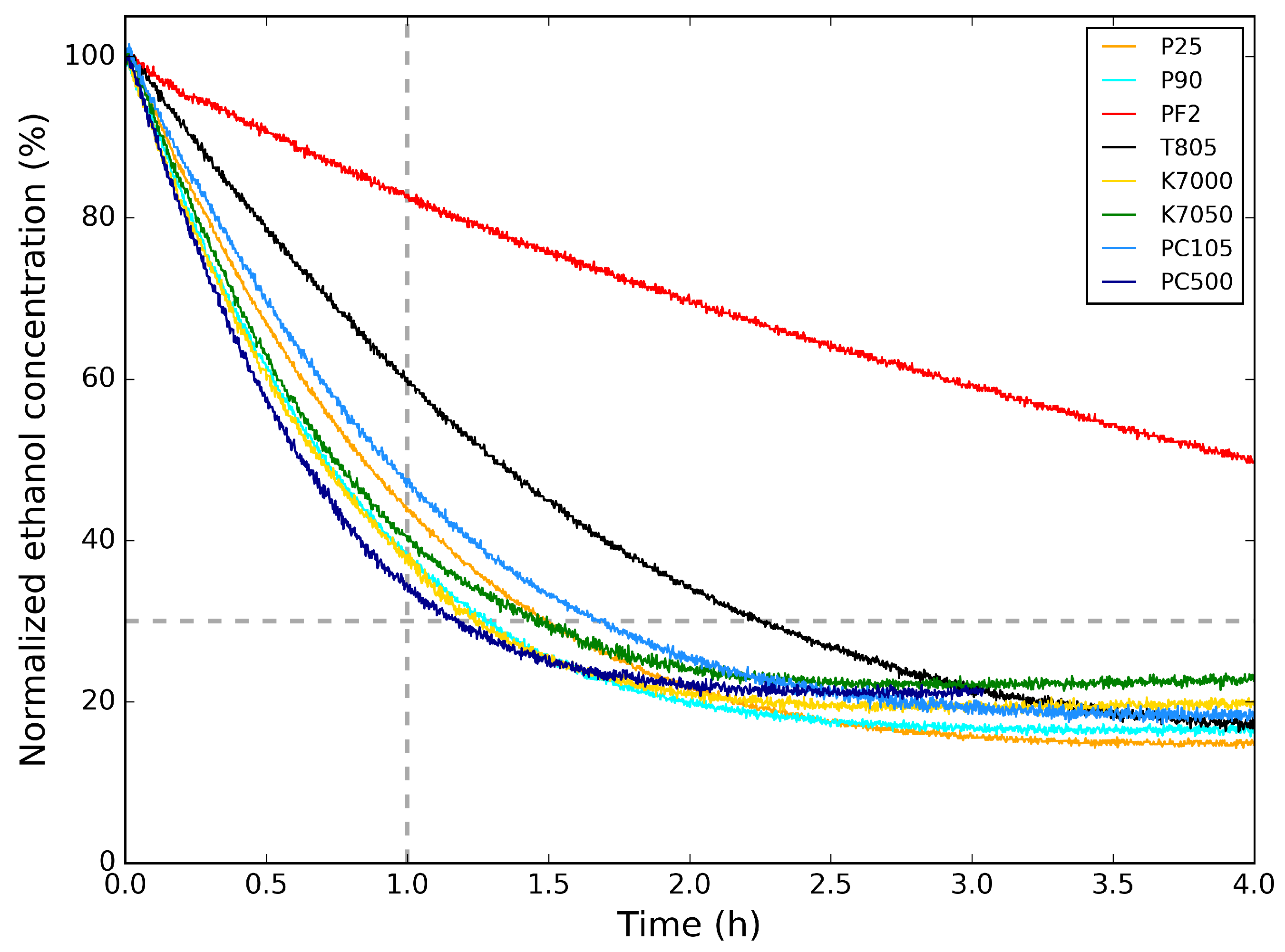
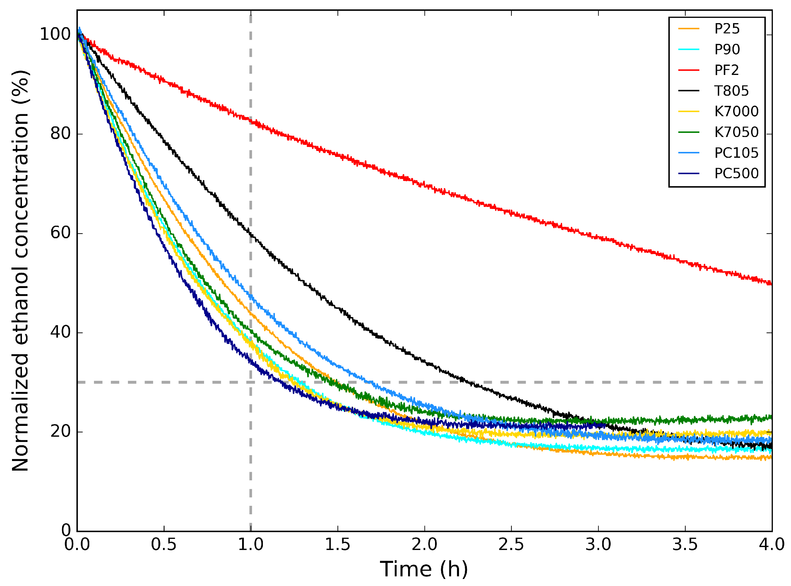
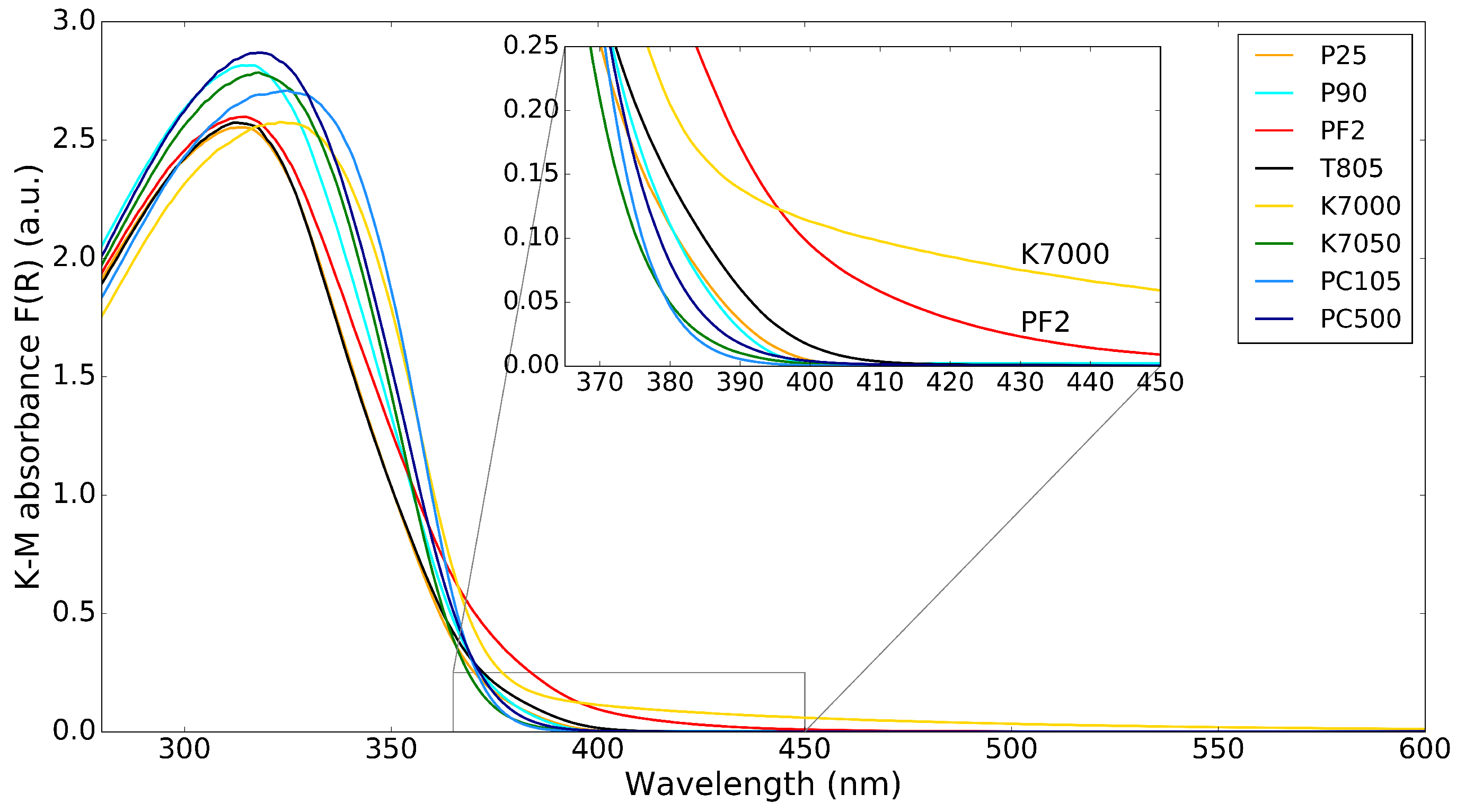
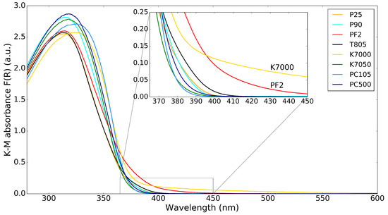
3. Results and Discussion
3.1. TiO2 Powder Comparison
3.2. Polymer/TiO2 and Sol–Gel/TiO2 Hybrid Layers
4. Conclusions
Author Contributions
Funding
Institutional Review Board Statement
Informed Consent Statement
Data Availability Statement
Acknowledgments
Conflicts of Interest
References
- Jones, A.P. Indoor air quality and health. Atmos. Environ. 1999, 33, 4535–4564. [Google Scholar] [CrossRef]
- Bernstein, J.A.; Alexis, N.; Bacchus, H.; Bernstein, I.L.; Fritz, P.; Horner, E.; Li, N.; Mason, S.; Nel, A.; Oullette, J.; et al. The health effects of nonindustrial indoor air pollution. J. Allergy Clin. Immunol. 2008, 121, 585–591. [Google Scholar] [CrossRef] [PubMed]
- Tsai, W.T. Toxic Volatile Organic Compounds (VOCs) in the Atmospheric Environment: Regulatory Aspects and Monitoring in Japan and Korea. Environments 2016, 3, 23. [Google Scholar] [CrossRef]
- Mo, J.H.; Zhang, Y.P.; Xu, Q.J.; Lamson, J.J.; Zhao, R.Y. Photocatalytic purification of volatile organic compounds in indoor air: A literature review. Atmos. Environ. 2009, 43, 2229–2246. [Google Scholar] [CrossRef]
- Fujishima, A.; Honda, K. Electrochemical Photolysis of Water at a Semiconductor Electrode. Nature 1972, 238, 37–38. [Google Scholar] [CrossRef] [PubMed]
- Boyjoo, Y.; Sun, H.; Liu, J.; Pareek, V.K.; Wang, S. A review on photocatalysis for air treatment: From catalyst development to reactor design. Chem. Eng. J. 2017, 310, 537–559. [Google Scholar] [CrossRef]
- Daghrir, R.; Drogui, P.; Robert, D. Modified TiO2 For Environmental Photocatalytic Applications: A Review. Ind. Eng. Chem. Res. 2013, 52, 3581–3599. [Google Scholar] [CrossRef]
- Ullah, H.; Tahir, A.A.; Bibi, S.; Mallick, T.K.; Karazhanov, S.Z. Electronic properties of β-TaON and its surfaces for solar water splitting. Appl. Catal. B Environ. 2018, 229, 24–31. [Google Scholar] [CrossRef]
- Wicker, S.; Guiltat, M.; Weimar, U.; Hémeryck, A.; Barsan, N. Ambient Humidity Influence on CO Detection with SnO2 Gas Sensing Materials. A Combined DRIFTS/DFT Investigation. J. Phys. Chem. C 2017, 121, 25064–25073. [Google Scholar] [CrossRef]
- Patterson, A.L. The Scherrer Formula for X-Ray Particle Size Determination. Phys. Rev. 1939, 56, 978–982. [Google Scholar] [CrossRef]
- Kubelka, P. Ein Beitrag zur Optik der Farbanstriche (Contribution to the optic of paint). Z. Fur Tech. Phys. 1931, 12, 593–601. [Google Scholar]
- Eufinger, K.; De Gryse, R.; Poelman, D. Effect of Deposition Conditions and Doping on the Structure, Optical Properties and Photocatalytic Activity of d.c. Magnetron Sputtered TiO2 Thin Films. Ph.D Thesis, Ghent University, Ghent, Belgium, 2007. [Google Scholar]
- Swanson, H.E.; McMurdie, H.F.; Morris, M.C.; Evans, E.H. Standard X-ray Diffraction Powder Patterns. Nat. Bur. Stand. Monogr. 1969, 7, 82–83. [Google Scholar]
- Douven, S.; Mahy, J.G.; Wolfs, C.; Reyserhove, C.; Poelman, D.; Devred, F.; Gaigneaux, E.M.; Lambert, S.D. Efficient N, Fe Co-Doped TiO2 Active under Cost-Effective Visible LED Light: From Powders to Films. Catalysts 2020, 10, 547. [Google Scholar] [CrossRef]
- Malengreaux, C.M.; Douven, S.; Poelman, D.; Heinrichs, B.; Bartlett, J.R. An ambient temperature aqueous sol–gel processing of efficient nanocrystalline doped TiO2-based photocatalysts for the degradation of organic pollutants. J. Sol.-Gel Sci. Technol. 2014, 71, 557–570. [Google Scholar] [CrossRef]
- Mahy, J.G.; Lambert, S.D.; Tilkin, R.G.; Wolfs, C.; Poelman, D.; Devred, F.; Gaigneaux, E.M.; Douven, S. Ambient temperature ZrO2-doped TiO2 crystalline photocatalysts: Highly efficient powders and films for water depollution. Mater. Today Energy 2019, 13, 312–322. [Google Scholar] [CrossRef]
- Cimieri, I.; Poelman, H.; Avci, N.; Geens, J.; Lambert, S.D.; Heinrichs, B.; Poelman, D. Sol–gel preparation of pure and doped TiO2 films for the photocatalytic oxidation of ethanol in air. J. Sol.-Gel Sci. Technol. 2012, 63, 526–536. [Google Scholar] [CrossRef][Green Version]






| Bulk | Polymer (PEG, PVP or PMMA) | Sol–Gel | Sol–Gel | |
|---|---|---|---|---|
| powder added | P25; P90; PF2; T805; K7000; K7050; PC105; PC500 * | P25 | P25 | - |
| deposition method | spreading paste with razor blade | dip-coating | dip-coating (DC) or spray-coating (SC) | dip-coating or spray-coating |
| sample name | P25; P90; PF2; T805; K7000; K7050; PC105; PC500 | PEG P25;PVP P25;PMMA P25 | DC sol–gel P25;SC sol–gel P25 | DC sol–gel ref; SC sol–gel ref |
| P25 | P90 | PF2 | T805 | K7000 | K7050 | PC105 | PC500 | |
|---|---|---|---|---|---|---|---|---|
| Estimated crystal size (nm) | 32 | 17 | 30 | 31 | 11 | 9 | 33 | 10 |
| Surface area (m/g) | 35–65 | 70–110 | 45–70 | 35–55 | >225 | >225 | ∼90 | ∼350 |
| Sample Name | (1 h) (%) | Sample Name | (1 h) (%) |
|---|---|---|---|
| P25 | 44 | PEG P25 | 96 |
| P90 | 38 | PVP P25 | 98 |
| PF2 | 82 | PMMA P25 | 98 |
| T805 | 60 | DC sol–gel ref | 81 |
| K7000 | 38 | SC sol–gel ref | 90 |
| K7050 | 40 | DC sol–gel P25 | 81 |
| PC105 | 48 | SC sol–gel P25 | 63 |
| PC500 | 34 |
Publisher’s Note: MDPI stays neutral with regard to jurisdictional claims in published maps and institutional affiliations. |
© 2021 by the authors. Licensee MDPI, Basel, Switzerland. This article is an open access article distributed under the terms and conditions of the Creative Commons Attribution (CC BY) license (https://creativecommons.org/licenses/by/4.0/).
Share and Cite
Cosaert, E.; Wolfs, C.; Lambert, S.D.; Heynderickx, G.J.; Poelman, D. Deposition of Hybrid Photocatalytic Layers for Air Purification Using Commercial TiO2 Powders. Molecules 2021, 26, 6584. https://doi.org/10.3390/molecules26216584
Cosaert E, Wolfs C, Lambert SD, Heynderickx GJ, Poelman D. Deposition of Hybrid Photocatalytic Layers for Air Purification Using Commercial TiO2 Powders. Molecules. 2021; 26(21):6584. https://doi.org/10.3390/molecules26216584
Chicago/Turabian StyleCosaert, Ewoud, Cédric Wolfs, Stéphanie D. Lambert, Geraldine J. Heynderickx, and Dirk Poelman. 2021. "Deposition of Hybrid Photocatalytic Layers for Air Purification Using Commercial TiO2 Powders" Molecules 26, no. 21: 6584. https://doi.org/10.3390/molecules26216584
APA StyleCosaert, E., Wolfs, C., Lambert, S. D., Heynderickx, G. J., & Poelman, D. (2021). Deposition of Hybrid Photocatalytic Layers for Air Purification Using Commercial TiO2 Powders. Molecules, 26(21), 6584. https://doi.org/10.3390/molecules26216584

