Effect of Tetraphenylborate on Physicochemical Properties of Bovine Serum Albumin
Abstract
:1. Introduction
2. Results and Discussion
2.1. Isothermal Titration Calorimetry (ITC)
- (a)
- There are no significant differences in the thermodynamic stability of the ligand–albumin complexes formed in the first binding site. Thus, SDS is not a strong enough ligand to replace [B(Ph)4]− in the first binding site.
- (b)
- Binding constants of the SDS–BSA complexes formed in the absence and in the presence of [B(Ph)4]− have similar values:5 SDS + (SDS)2-BSA = (SDS)2-BSA-(SDS)5 logK(ITC)2 = 5.29 (±0.06)5 SDS + (Na[B(Ph)4])2-BSA = (Na[B(Ph)4])2-BSA-(SDS)5 logK(ITC) = 4.92 (±0.04)In the absence of [B(Ph)4]− in the system, the binding constant of SDS to the first binding site of BSA is expected to be logK(ITC) approximately 7 (Table 1). The ITC data showed that in cases where the [B(Ph)4]− ions occupy the first site of the protein, the calculated binding constant (logK(ITC) ~ 5) corresponds to the binding of SDS to the second binding site.
- (c)
- The repulsion interactions between the negatively charged ligands ([B(Ph)4]− and SDS) disfavor occupation by them the same binding site in BSA.
2.2. Steady-State Fluorescence Spectroscopy
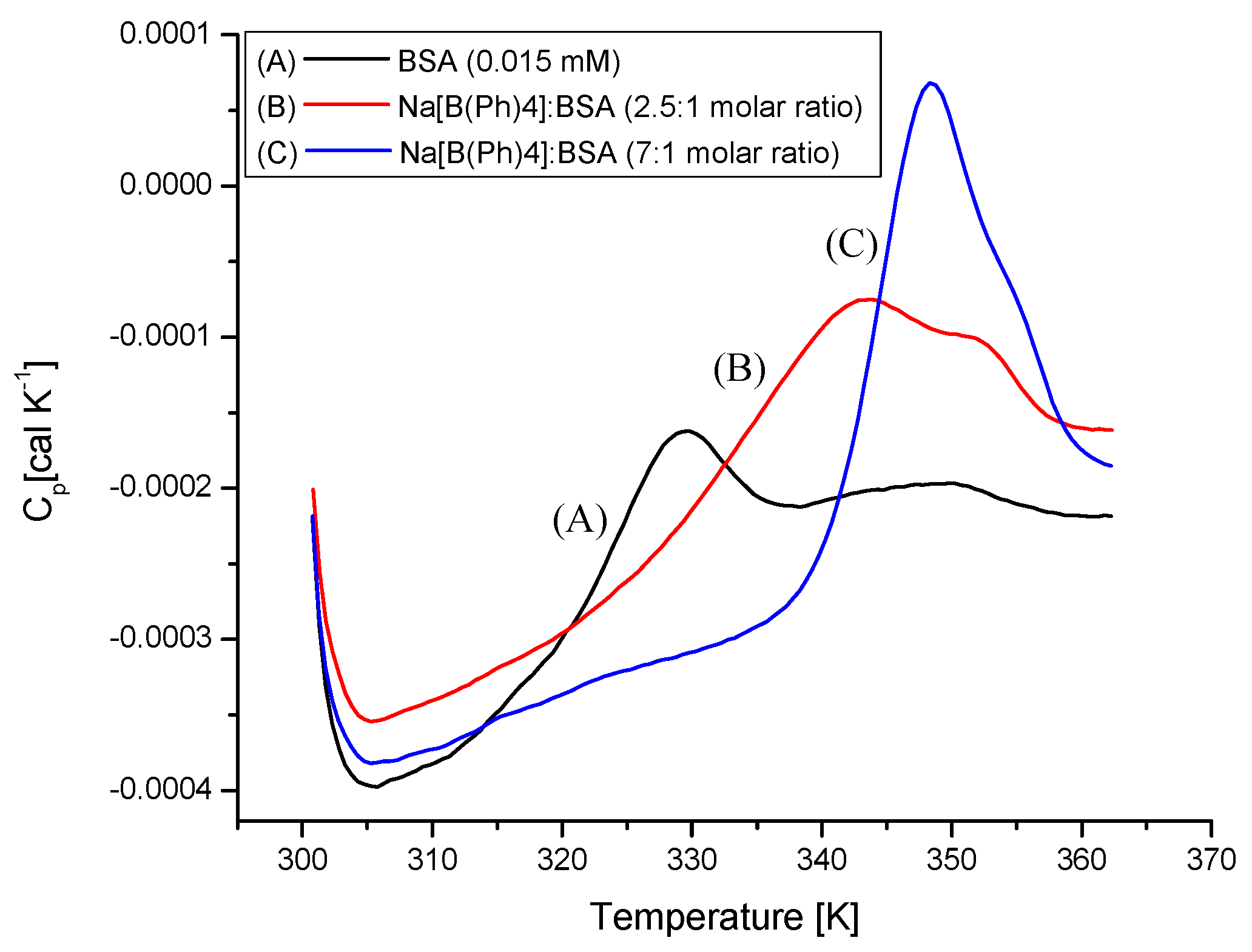
2.3. Differential Scanning Calorimetry (DSC)
2.4. Circular Dichroism (CD) Spectra Analysis
2.5. Molecular Modelling
3. Materials and Methods
3.1. Reagents
3.2. Isothermal Titration Calorimetry (ITC)
3.3. Steady-State Fluorescence Spectroscopy and UV Spectrophotometry
3.4. Differential Scanning Calorimetry (DSC)
3.5. Circular Dichroism Spectroscopy (CD)
3.6. Theoretical Studies
3.6.1. Structures
3.6.2. Molecular Dynamics Simulations
3.6.3. Binding Free-Energy Calculations
4. Conclusions
Supplementary Materials
Author Contributions
Funding
Institutional Review Board Statement
Informed Consent Statement
Data Availability Statement
Conflicts of Interest
Sample Availability
References
- Pessoa, J.C.; Correia, I. Misinterpretations in Evaluating Interactions of Vanadium Complexes with Proteins and Other Biological Targets. Inorganics 2021, 9, 17. [Google Scholar] [CrossRef]
- Chi, E.Y.; Krishnan, S.; Randolph, T.W.; Carpenter, J.F. Physical Stability of Proteins in Aqueous Solution: Mechanism and Driving Forces in Nonnative Protein Aggregation. Pharm. Res. 2003, 20, 1325–1336. [Google Scholar] [CrossRef] [PubMed]
- March, D.; Bianco, V.; Franzese, G. Protein Unfolding and Aggregation near a Hydrophobic Interface. Polymers 2021, 13, 156. [Google Scholar] [CrossRef] [PubMed]
- Quevedo, M.; Karbstein, H.P.; Emin, M.A. Influence of thermomechanical treatment and pH on the denaturation kinetics of highly concentrated whey protein isolate. J. Food Eng. 2021, 292, 110294. [Google Scholar] [CrossRef]
- Rose, G.D.; Fleming, P.J.; Banavar, J.R.; Maritan, A. A backbone-based theory of protein folding. Proc. Natl. Acad. Sci. USA 2006, 103, 16623–16633. [Google Scholar] [CrossRef] [PubMed] [Green Version]
- Williams, R.J.P.; Fraústo da Silva, J.J.R. The Natural Selection of the Chemical Elements—The Environment and Life’s Chemistry; Oxford University Press: Oxford, UK, 1996. [Google Scholar]
- Jahmidi-Azizi, N.; Oliva, R.; Gault, S.; Cockell, C.; Winter, R. The Effects of Temperature and Pressure on Protein-Ligand Binding in the Presence of Mars-Relevant Salts. Biology 2021, 10, 687. [Google Scholar] [CrossRef]
- Seedher, N.; Agarwal, P. Competitive binding of fluoroquinolone antibiotics and some other drugs to human serum albumin: A luminescence spectroscopic study. Luminescence 2013, 28, 562–568. [Google Scholar] [CrossRef] [PubMed]
- Maciążek-Jurczyk, M.; Sułkowska, A.; Bojko, B.; Równicka, J.; Sułkowski, W. Fluorescence analysis of competition of phenylbutazone and methotrexate in binding to serum albumin in combination treatment in rheumatology. J. Mol. Struct. 2009, 924–926, 378–384. [Google Scholar] [CrossRef]
- Zhang, G.; Wang, A.; Jiang, T.; Guo, J. Interaction of the irisflorentin with bovine serum albumin: A fluorescence quenching study. J. Mol. Struct. 2008, 891, 93–97. [Google Scholar] [CrossRef]
- Macii, F.; Biver, T. Spectrofluorimetric analysis of the binding of a target molecule to serum albumin: Tricky aspects and tips. J. Inorg. Biochem. 2021, 216, 111305. [Google Scholar] [CrossRef] [PubMed]
- Ni, Y.; Su, S.; Kokot, S. Spectrofluorimetric studies on the binding of salicylic acid to bovine serum albumin using warfarin and ibuprofen as site markers with the aid of parallel factor analysis. Anal. Chim. Acta 2006, 580, 206–215. [Google Scholar] [CrossRef]
- Sudlow, G.; Birkett, D.J.; Wade, D.N. The characterization of two specific drug binding sites on human serum albumin. Mol. Pharmacol. 1975, 11, 824–832. [Google Scholar]
- Ding, F.; Li, N.; Han, B.; Liu, F.; Zhang, L.; Sun, Y. The binding of C.I. Acid Red 2 to human serum albumin: Determination of binding mechanism and binding site using fluorescence spectroscopy. Dyes Pigments 2009, 83, 249–257. [Google Scholar] [CrossRef]
- Handing, K.B.; Shabalin, I.G.; Kassaar, O.; Khazaipoul, S.; Blindauer, C.A.; Stewart, A.J.; Chruszcz, M.; Minor, W. Circulatory zinc transport is controlled by distinct interdomain sites on mammalian albumins. Chem. Sci. 2016, 7, 6635–6648. [Google Scholar] [CrossRef] [PubMed] [Green Version]
- Sciortino, G.; Sanna, D.; Lubinu, G.; Maréchal, J.; Garribba, E. Unveiling VIVO2+ Binding Modes to Human Serum Albumins by an Integrated Spectroscopic–Computational Approach. Chem. A Eur. J. 2020, 26, 11316–11326. [Google Scholar] [CrossRef]
- Sciortino, G.; Maréchal, J.D.; Garribba, E. Integrated approaches to characterize the systems formed by vanadium with proteins and enzymes. Inorg. Chem. Front. 2021, 8, 1951–1974. [Google Scholar] [CrossRef]
- Sun, X.-Y.; Bi, S.-Y.; Wu, J.; Zhao, R. Study on the interaction of amprolium HCl and dinitolmide in animal-derived food products with BSA by multiple spectroscopies and molecular modeling techniques. J. Biomol. Struct. Dyn. 2019, 37, 4283–4291. [Google Scholar] [CrossRef] [PubMed]
- Abedin, J.; Mahbub, S.; Rahman, M.M.; Hoque, A.; Kumar, D.; Khan, J.M.; El-Sherbeeny, A.M. Interaction of tetradecyltrimethylammonium bromide with bovine serum albumin in different compositions: Effect of temperatures and electrolytes/urea. Chin. J. Chem. Eng. 2021, 29, 279–287. [Google Scholar] [CrossRef]
- Tesmar, A.; Kogut, M.M.; Żamojć, K.; Grabowska, O.; Chmur, K.; Samsonov, S.A.; Makowska, J.; Wyrzykowski, D.; Chmurzyński, L. Physicochemical nature of sodium dodecyl sulfate interactions with bovine serum albumin revealed by interdisciplinary approaches. J. Mol. Liq. 2021, 340, 117185. [Google Scholar] [CrossRef]
- Pawar, S.K.; Jaldappagari, S. Interaction of repaglinide with bovine serum albumin: Spectroscopic and molecular docking approaches. J. Pharm. Anal. 2019, 9, 274–283. [Google Scholar] [CrossRef] [PubMed]
- Grossoehme, N.E.; Spuches, A.M.; Wilcox, D.E. Application of isothermal titration calorimetry in bioinorganic chemistry. J. Biol. Inorg. Chem. 2010, 15, 1193–1194. [Google Scholar] [CrossRef]
- Cramer, D.L.; Cheng, B.; Tian, J.; Clements, J.H.; Wypych, R.M.; Martin, S.F. Some thermodynamic effects of varying nonpolar surfaces in protein-ligand interactions. Eur. J. Med. Chem. 2020, 208, 112771. [Google Scholar] [CrossRef] [PubMed]
- Sharma, V.; Yañez, O.; Alegría-Arcos, M.; Kumar, A.; Thakur, R.C.; Cantero-López, P. A physicochemical and conformational study of co-solvent effect on the molecular interactions between similarly charged protein surfactant (BSA-SDBS) system. J. Chem. Thermodyn. 2020, 142, 106022. [Google Scholar] [CrossRef]
- Lakowicz, J.R. Principles of Fluorescence Spectroscopy, 3rd ed.; Springer: Singapore, 2006. [Google Scholar] [CrossRef]
- Makowska, J.; Żamojć, K.; Wyrzykowski, D.; Wiczk, W.; Chmurzyński, L. Copper(II) complexation by fragment of central part of FBP28 protein from Mus musculus. Biophys. Chem. 2018, 241, 55–60. [Google Scholar] [CrossRef]
- Gelamo, E.; Tabak, M. Spectroscopic studies on the interaction of bovine (BSA) and human (HSA) serum albumins with ionic surfactants. Spectrochim. Acta Part A Mol. Biomol. Spectrosc. 2000, 56, 2255–2271. [Google Scholar] [CrossRef]
- Ghosh, S.; Dey, J. Interaction of bovine serum albumin with N-acyl amino acid based anionic surfactants: Effect of head-group hydrophobicity. J. Colloid Interface Sci. 2015, 458, 284–292. [Google Scholar] [CrossRef]
- Ni, Y.; Zhang, X.; Kokot, S. Spectrometric and voltammetric studies of the interaction between quercetin and bovine serum albumin using warfarin as site marker with the aid of chemometrics. Spectrochim. Acta Part A Mol. Biomol. Spectrosc. 2009, 71, 1865–1872. [Google Scholar] [CrossRef]
- Makowska, J.; Żamojć, K.; Wyrzykowski, D.; Żmudzińska, W.; Uber, D.; Wierzbicka, M.; Wiczk, W.; Chmurzyński, L. Probing the binding of Cu2+ ions to a fragment of the Aβ(1-42) polypeptide using fluorescence spectroscopy, isothermal titration calorimetry and molecular dynamics simulations. Biophys. Chem. 2016, 216, 44–50. [Google Scholar] [CrossRef] [PubMed]
- Michnik, A. Thermal stability of bovine serum albumin DSC study. J. Therm. Anal. Calorim. 2003, 71, 509–519. [Google Scholar] [CrossRef]
- Precupas, A.; Sandu, R.; Leonties, A.R.; Anghel, D.-F.; Popa, V.T. Complex interaction of caffeic acid with bovine serum albumin: Calorimetric, spectroscopic and molecular docking evidence. New J. Chem. 2017, 41, 15003–15015. [Google Scholar] [CrossRef]
- Yamasaki, M.; Yano, H.; Aoki, K. Differential scanning calorimetric studies on bovine serum albumin: I. Effects of pH and ionic strength. Int. J. Biol. Macromol. 1990, 12, 263–268. [Google Scholar] [CrossRef]
- Murayama, K.; Tomida, M. Heat-Induced Secondary Structure and Conformation Change of Bovine Serum Albumin Investigated by Fourier Transform Infrared Spectroscopy. Biochemistry 2004, 43, 11526–11532. [Google Scholar] [CrossRef] [PubMed]
- Bohlooli, M.; Moosavi-Movahedi, A.A.; Ghaffari-Moghaddam, M.; Saboury, A.A.; Khajeh, M.; Najafi, S.; Poormolaie, N.; Taghavi, F.; Poursasan, N.; Sanchooli, M.; et al. Comparative study of thermal domains analyzing of glycated and non-glycated human serum albumin. Thermochim. Acta 2014, 594, 24–30. [Google Scholar] [CrossRef]
- Pelton, J.T.; McLean, L.R. Spectroscopic Methods for Analysis of Protein Secondary Structure. Anal. Biochem. 2000, 277, 167–176. [Google Scholar] [CrossRef]
- Provencher, S.W.; Glöckner, J. Estimation of protein secondary structure from circular dichroism. Biochemistry 1981, 20, 33–37. [Google Scholar] [CrossRef] [PubMed]
- Kurt, B.; Temel, H. Parametrization of boronates using VFFDT and paramfit for molecular dynamics simulation. Molecules 2020, 25, 2196. [Google Scholar] [CrossRef]
- Kurt, B.; Temel, H. Development of AMBER parameters for molecular dynamics simulations of boron compounds containing aromatic structure. Chem. Phys. Lett. 2021, 775, 138656. [Google Scholar] [CrossRef]
- Case, D.A.; Cerutti, D.S.; III Cheatham, T.E.; Darden, T.A.; Duke, R.E.; Giese, T.J.; Gohlke, H.; Goetz, A.W.; Greene, D.; Homeyer, N.; et al. AMBER 2017; University of California: San Francisco, CA, USA, 2017. [Google Scholar]
- Potthoff, J.; Bojarski, K.K.; Kohut, G.; Lipska, A.G.; Liwo, A.; Kessler, E.; Ricard-Blum, S.; Samsonov, S.A. Analysis of Procollagen C-Proteinase Enhancer-1/Glycosaminoglycan Binding Sites and of the Potential Role of Calcium Ions in the Interaction. Int. J. Mol. Sci. 2019, 20, 5021. [Google Scholar] [CrossRef] [PubMed] [Green Version]
- Maier, J.A.; Martinez, C.; Kasavajhala, K.; Wickstrom, L.; Hauser, K.E.; Simmerling, C. ff14SB: Improving the Accuracy of Protein Side Chain and Backbone Parameters from ff99SB. J. Chem. Theory Comput. 2015, 11, 3696–3713. [Google Scholar] [CrossRef] [Green Version]
- Wang, J.; Wolf, R.M.; Caldwell, J.W.; Kollman, P.A.; Case, D.A. Development and testing of a general amber force field. J. Comput. Chem. 2004, 25, 1157–1174. [Google Scholar] [CrossRef]
- Bayly, C.I.; Cieplak, P.; Cornell, W.; Kollman, P.A. A well-behaved electrostatic potential based method using charge restraints for deriving atomic charges: The RESP model. J. Phys. Chem. 1993, 97, 10269–10280. [Google Scholar] [CrossRef]
- Humphrey, W.; Dalke, A.; Schulten, K. VMD: Visual molecular dynamics. J. Mol. Graph. 1996, 14, 33–38. [Google Scholar] [CrossRef]











| Parameter | SDS/BSA (1) | Na[B(Ph)4]/BSA |
|---|---|---|
| N1 | 1.75 (±0.14) | 1.78 (±0.02) |
| logK(ITC)1 | 7.61 (±0.38) | 7.09 (±0.10) |
| ΔG(ITC)1 [kcal mol−1] | −10.38 (±0.67) | −9.67 (±0.14) |
| ΔH(ITC)1 [kcal mol−1] | −9.11 (±0.26) | −3.14 (±0.12) |
| TΔS(ITC)1 [kcal mol−1] | 1.27 | 6.53 |
| N2 | 5.33 (±0.29) | 4.09 (±0.09) |
| logK(ITC)2 | 5.29 (±0.06) | 5.39 (±0.06) |
| ΔG(ITC)2 [kcal mol−1] | −7.22 (±0.09) | −7.35 (±0.09) |
| ΔH(ITC)2 [kcal mol−1] | −7.98 (±0.27) | 4.00 (±0.14) |
| TΔS(ITC)2 [kcal mol−1] | −0.76 | 11.3 |
| System | KSV [104 M−1] | R2 | kq [M−1·s−1] |
|---|---|---|---|
| BSA | 5.41 | 0.972 | 8.58 × 1012 |
| BSA-Na[B(Ph)4] (1:3) | 3.12 | 0.965 | 4.94 × 1012 |
| BSA-Na[B(Ph)4] (1:7) | 1.98 | 0.987 | 3.15 × 1012 |
| BSA-Na[B(Ph)4] (1:15) | 1.35 | 0.962 | 2.14 × 1012 |
| T [K] | BSA | Na[B(Ph)4]:BSA | Na[B(Ph)4]:BSA |
|---|---|---|---|
| 2.5:1 | 7:1 | ||
| (Molar Ratio) | (Molar Ratio) | ||
| The Percentage Content of α-Helix (H); β-Structure (S); β-Turn (Trn); Random Coil (Unrd) [%] | |||
| 298.15 | 59.8 (H); 6.7 (S) | 62.5 (H); 5.2 (S) | 59.2 (H); 6.1 (S) |
| 11.1 (Trn); 22.3 (Unrd) | 10.5 (Trn); 21.1 (Unrd) | 11.5 (Trn); 23.1 (Unrd) | |
| 308.15 | 60.5 (H); 8.0 (S) | 63.9 (H); 4.5 (S) | 59.5 (H); 6.8 (S) |
| 11.7 (Trn); 20.3 (Unrd) | 10.3 (Trn); 21.3 (Unrd) | 11.5 (Trn); 22.6 (Unrd) | |
| 318.15 | 56.0 (H); 7.3 (S) | 61.3 (H); 5.8 (S) | 58.2 (H); 7.8 (S) |
| 13.4 (Trn); 23.6 (Unrd) | 10.9 (Trn); 22.6 (Unrd) | 12.1 (Trn); 22.4 (Unrd) | |
| 328.15 | 50.8 (H); 10.5 (S) | 58.0 (H); 7.0 (S) | 56.0 (H); 8.4 (S) |
| 14.1 (Trn); 24.9 (Unrd) | 12.5 (Trn); 22.6 (Unrd) | 12.1 (Trn); 23.8 (Unrd) | |
| 338.15 | 44.4 (H); 11.5 (S) | 47.7 (H); 11.3 (S) | 50.2 (H); 8.4 (S) |
| 16.7 (Trn); 27.5 (Unrd) | 15.6 (Trn); 25.9 (Unrd) | 15.8 (Trn); 25.9 (Unrd) | |
| 348.15 | 36.4 (H); 15.0 (S) | 39.1 (H); 14.4 (S) | 50.5 (H); 9.1 (S) |
| 19.8 (Trn); 29.4 (Unrd) | 18.6 (Trn); 28.3 (Unrd) | 15.7 (Trn); 25.5 (Unrd) | |
| 358.15 | 25.4 (H); 21.2 (S) | 35.4 (H); 15.6 (S) | 23.7 (H); 22.4 (S) |
| 24.1 (Trn); 29.8 (Unrd) | 20.7 (Trn); 27.7 (Unrd) | 22.9 (Trn); 31.0 (Unrd) | |
| 368.15 | 25.3 (H); 22.2 (S) | 22.0 (H); 24.9 (S) | 22.6 (H); 22.5 (S) |
| 22.6 (Trn); 30.4 (Unrd) | 22.3 (Trn); 31.0 (Unrd) | 22.5 (Trn); 32.1 (Unrd) | |
| No of [B(Ph)4]− | ΔGele, [kcal mol−1] | ΔGvdW, [kcal mol−1] | ΔGtot, [kcal mol−1] |
|---|---|---|---|
| 1 | −0.3 ± 0.1 | −21.0 ± 2.5 | −21.3 ± 2.6 |
| 2 | N/A | N/A | N/A |
| 3 | −0.2 ± 0.1 | −23.0 ± 3.2 | −23.3 ± 3.2 |
| 4 | −0.6 ± 0.2 | −22.5 ± 2.9 | −23.1 ± 2.9 |
| 5 | −0.2 ± 0.1 | −23.4 ± 3.4 | −23.6 ± 3.4 |
| 6 | N/A | N/A | N/A |
| 7 | −0.4 ± 0.2 | −18.6 ± 5.7 | −18.7 ± 5.9 |
| 8 | −0.6 ± 0.1 | −29.9 ± 2.5 | −30.5 ± 2.5 |
| 9 | −0.3 ± 0.1 | −15.8 ± 2.5 | −16.1 ± 2.5 |
| 10 | 0.7 ± 0.1 | −32.2 ± 2.6 | −32.8 ± 2.6 |
| 11 | N/A | N/A | N/A |
| 12 | −0.3 ± 0.2 | −21.2 ± 2.9 | −21.5 ± 2.9 |
| 13 | −0.2 ± 0.1 | −15.2 ± 1.9 | −15.4 ± 1.9 |
| 14 | −0.6 ± 0.2 | −28.5 ± 3.2 | −29.0 ± 3.3 |
| 15 | −0.3 ± 0.2 | −20.8 ± 3.8 | −21.1 ± 3.9 |
Publisher’s Note: MDPI stays neutral with regard to jurisdictional claims in published maps and institutional affiliations. |
© 2021 by the authors. Licensee MDPI, Basel, Switzerland. This article is an open access article distributed under the terms and conditions of the Creative Commons Attribution (CC BY) license (https://creativecommons.org/licenses/by/4.0/).
Share and Cite
Grabowska, O.; Kogut, M.M.; Żamojć, K.; Samsonov, S.A.; Makowska, J.; Tesmar, A.; Chmur, K.; Wyrzykowski, D.; Chmurzyński, L. Effect of Tetraphenylborate on Physicochemical Properties of Bovine Serum Albumin. Molecules 2021, 26, 6565. https://doi.org/10.3390/molecules26216565
Grabowska O, Kogut MM, Żamojć K, Samsonov SA, Makowska J, Tesmar A, Chmur K, Wyrzykowski D, Chmurzyński L. Effect of Tetraphenylborate on Physicochemical Properties of Bovine Serum Albumin. Molecules. 2021; 26(21):6565. https://doi.org/10.3390/molecules26216565
Chicago/Turabian StyleGrabowska, Ola, Małgorzata M. Kogut, Krzysztof Żamojć, Sergey A. Samsonov, Joanna Makowska, Aleksandra Tesmar, Katarzyna Chmur, Dariusz Wyrzykowski, and Lech Chmurzyński. 2021. "Effect of Tetraphenylborate on Physicochemical Properties of Bovine Serum Albumin" Molecules 26, no. 21: 6565. https://doi.org/10.3390/molecules26216565
APA StyleGrabowska, O., Kogut, M. M., Żamojć, K., Samsonov, S. A., Makowska, J., Tesmar, A., Chmur, K., Wyrzykowski, D., & Chmurzyński, L. (2021). Effect of Tetraphenylborate on Physicochemical Properties of Bovine Serum Albumin. Molecules, 26(21), 6565. https://doi.org/10.3390/molecules26216565

