Coherent Surface Plasmon Hole Burning via Spontaneously Generated Coherence
Abstract
:1. Introduction
2. Materials and Methods
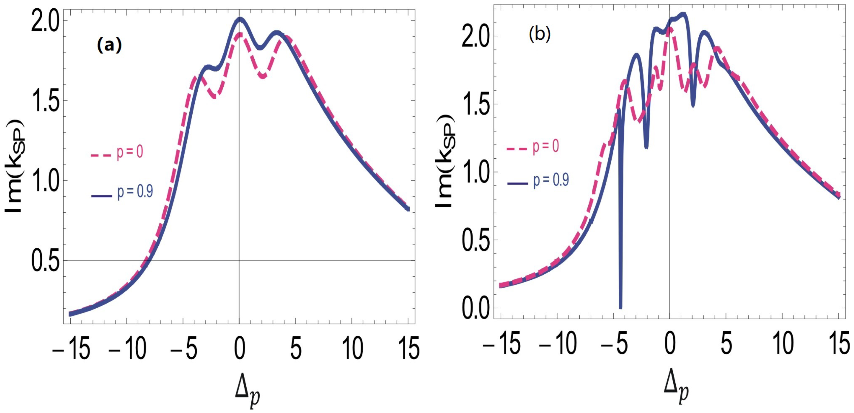
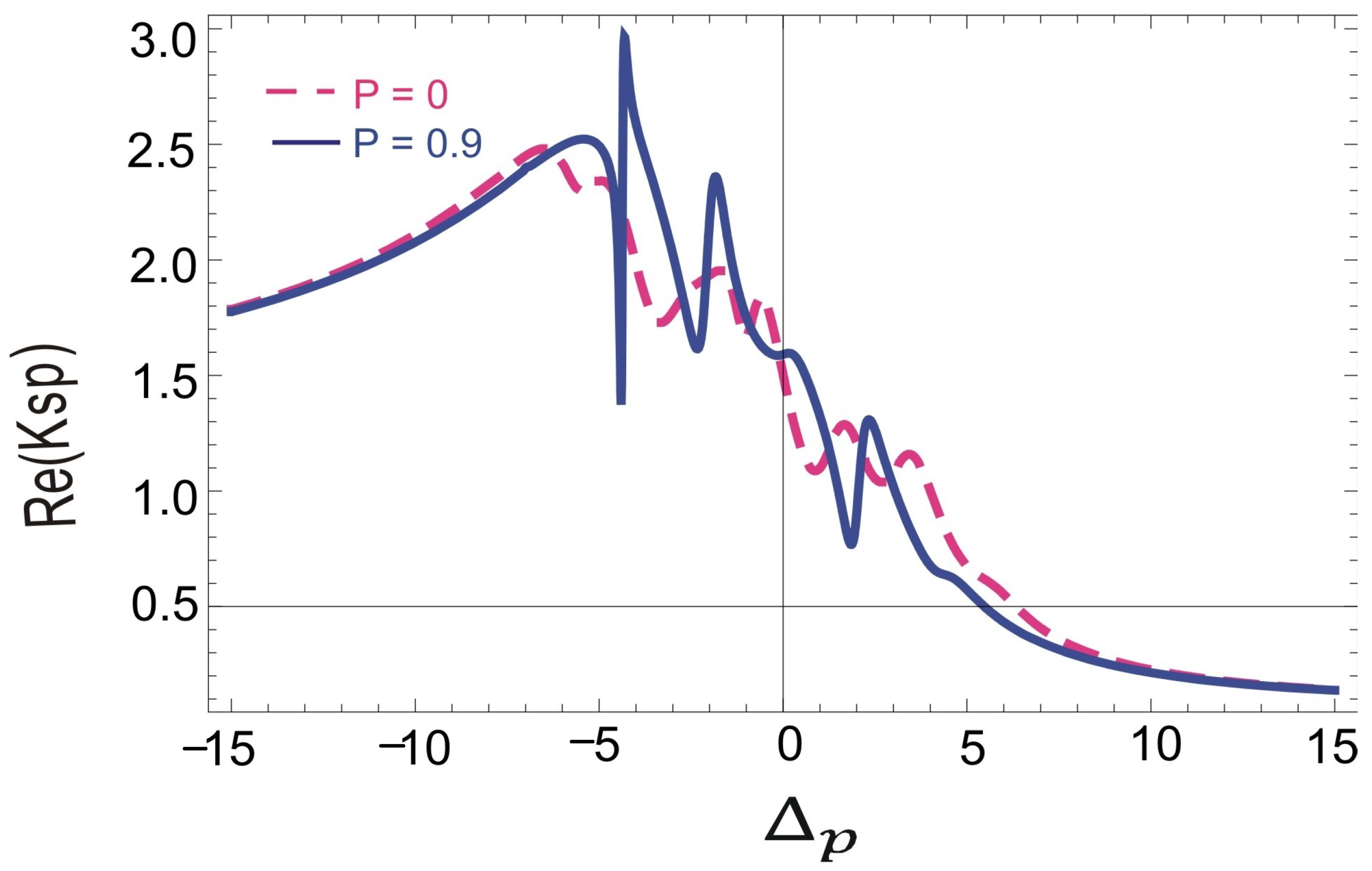
3. Results
4. Conclusions
Author Contributions
Funding
Institutional Review Board Statement
Informed Consent Statement
Data Availability Statement
Conflicts of Interest
References
- Din, R.U.; Badshah, F.; Ahmad, I.; Ge, G.Q. Tunable surface plasmon polaritons at the surfaces of nanocomposite media. EPL (Europhys. Lett.) 2018, 122, 17001. [Google Scholar] [CrossRef]
- Tame, M.S.; McEnery, K.R.; Özdemir, S.K.; Lee, J.; Maier, S.A.; Kim, M.S. Quantum plasmonics. Nat. Phys. 2013, 9, 329. [Google Scholar] [CrossRef] [Green Version]
- Rahman, H.; Bibi, H.; Jabar, M.S.A.; Ahmad, I. Cross-Kerr nonlinearity in the surface plasmon polariton waves generated at the interface of graphene and gain medium. EPL (Europhys. Lett.) 2018, 122, 57003. [Google Scholar] [CrossRef]
- Rahman, H.; Ali, H.; Ahmad, I.; Uddin, R.U.; Ge, G.Q. Magneto-optical rotation of surface plasmon polaritons. J. Phys. D Appl. Phys. 2021, 54, 175107. [Google Scholar] [CrossRef]
- Rahman, H.; Ahmad, I.; Din, R.U.; Ge, G.Q.; Ali, H. Control of surface plasmon-polaritons at interfaces between triple quantum dots and nanocomposites. J. Opt. 2020, 22, 115002. [Google Scholar] [CrossRef]
- Berini, P. Surface plasmon photodetectors and their applications. Laser Photon. Rev. 2014, 8, 197–220. [Google Scholar] [CrossRef]
- Berini, P.; Leon, I.D. Surface plasmon-polariton amplifiers and lasers. Nat. Photon. 2012, 6, 16–24. [Google Scholar] [CrossRef]
- Ma, R.-M.; Oulton, R.F.; Sorger, V.J.; Zhang, X. Plasmon lasers: Coherent light source at molecular scales. Laser Photon. Rev. 2012, 7, 1–21. [Google Scholar] [CrossRef] [Green Version]
- Zeng, X.; Al-Amri, M.; Zubairy, M.S. Nanometer-scale microscopy via graphene plasmons. Phys. Rev. B 2014, 90, 235418. [Google Scholar] [CrossRef] [Green Version]
- Kashif, M.; Mokhtar, M.H.H.; Azeman, N.H.; Hashim, F.H.; Arsad, N.; Bakar, A.A.A. Phase-interrogated surface plasmon resonance sensor based on laser feedback interferometry. Opt. Lasers Eng. 2021, 141, 106564. [Google Scholar] [CrossRef]
- Lim, E.L.; Yap, C.C.; Teridi, M.A.M.; Teh, C.H.; Jumali, M.H.H. Review of recent plasmonic nanoparticles incorporated P3HT: PCBM organic thin film solar cells. Org. Electron. 2016, 36, 12–18. [Google Scholar] [CrossRef]
- Kashif, M.; Bakar, A.A.; Hashim, F.H. Analysing surface plasmon resonance phase sensor based on Mach-Zehnder interferometer technique using glycerin. Opt. Commun. 2016, 380, 419–424. [Google Scholar] [CrossRef]
- Abdullah, S.; Azeman, N.H.; Mobarak, N.N.; Zan, M.S.D.; Bakar, A.A.A. Sensitivity enhancement of localized SPR sensor towards Pb(II) ion detection using natural bio-polymer based carrageenan. Optik 2018, 168, 784–793. [Google Scholar] [CrossRef]
- Nazri, N.A.A.; Azeman, N.H.; Luo, Y.; Bakar, A.A.A. Carbon quantum dots for optical sensor applications: A review. Opt. Laser Technol. 2021, 139, 106928. [Google Scholar] [CrossRef]
- Xu, T.; Du, C.; Wang, C.; Luo, X. Subwavelength imaging by metallic slab lens with nanoslits. Appl. Phys. Lett. 2007, 91, 201501. [Google Scholar] [CrossRef]
- Yatsui, T.; Kourogi, M.; Ohtsu, M. Plasmon waveguide for optical far/near-field conversion. Appl. Phys. Lett. 2001, 79, 4583–4585. [Google Scholar] [CrossRef]
- Carretero-Palacios, S.; Jimenez-Solano, A.; Migue, H. Plasmonic nanoparticles as light-harvesting enhancers in perovskite solar cells: A user’s guide. Am. Chem. Soc. 2016, 1, 323–331. [Google Scholar] [CrossRef] [Green Version]
- Gentile, A.; Gacciato, G.; Ruffino, F.; Reitano, R.; Scapellato, G.; Zimbone, M.; Lombardo, S.; Battaglia, A.; Gerardi, C.; Foti, M.; et al. Nanoscale structuration and optical properties of thin gold films on textured FTO. J. Mater. Sci. 2014, 49, 8498–8507. [Google Scholar] [CrossRef]
- Zhang, J.; Zhang, L.; Xu, W. Surface plasmon polaritons: Physics and applications. J. Phys. D Appl. Phys. 2012, 45, 113001. [Google Scholar] [CrossRef]
- Awada, C.; Dab, C.; Grimaldi, M.G.; Alshoaibi, A.; Ruffino, F. High optical enhancement in Au/Ag alloys and porous Au using Surface-Enhanced Raman spectroscopy technique. Sci. Rep. 2021, 11, 4714. [Google Scholar] [CrossRef]
- Duan, Q.; Liu, Y.; Chang, S.; Chen, H.; Chin, J.H. Surface Plasmonic Sensors: Sensing Mechanism and Recent Applications. Sensors 2021, 21, 5262. [Google Scholar] [CrossRef]
- Zhou, F.; Qin, F.; Yi, Z.; Yao, W.; Liu, Z.; Wu, X.; Wu, P. Ultra-wideband and wide-angle perfect solar energy absorber based on Ti nanorings surface plasmon resonance. Phys. Chem. Chem. Phys. 2021, 23, 17041–17048. [Google Scholar] [CrossRef]
- Deng, Y.; Cao, G.; Wu, Y.; Zhou, X.; Liao, W. Theoretical description of dynamic transmission characteristics in MDM waveguide aperture-side-coupled with ring cavity. Plasmonics 2015, 10, 1537–1543. [Google Scholar] [CrossRef]
- Cao, G.; Li, H.; Deng, Y.; Zhan, S.; He, Z.; Li, B. Systematic theoretical analysis of selective-mode. Plasmonic filter based on aperture-side-coupled slot cavity. Plasmonics 2014, 9, 1163–1169. [Google Scholar] [CrossRef]
- Deng, Y.; Cao, G.; Yang, H.; Zhou, X.; Wu, Y. Dynamic control of double plasmon-induced transparencies in aperture-coupled waveguide-cavity system. Plasmonics 2018, 13, 345–352. [Google Scholar] [CrossRef]
- Trommsdorff, H.; Corval, A.; Laue, L.V. Spectral hole burning: Spontaneous and photoinduced tunneling reactions in low temperature solids. Pure Appl. Chem. 1995, 67, 191–198. [Google Scholar] [CrossRef]
- Gu, Y.; Sun, Q.; Gong, Q.Q. Coherent hole burning and Mollow absorption effects in the cycling transition subject to a magnetic field. Phys. Rev. A 2004, 69, 063805. [Google Scholar] [CrossRef]
- Ali, H.; Imtiaz, M.T.; Zubair, M.; Ahmad, P.; Ali, T.; Khan, F. Control over spectral hole burning via spontaneously generated coherence and Kerr non-linearity. Optik 2020, 224, 165558. [Google Scholar] [CrossRef]
- Wei, X.G.; Wu, J.H.; Wang, H.H.; Li, A.; Kang, Z.H.; Jiang, Y.; Gao, J.Y. First-principles experimental observation of coherent hole burnings in atomic rubidium vapor. Phys. Rev. A 2006, 74, 063820. [Google Scholar] [CrossRef]
- Rahman, H.; Ullah, H.; Jabar, M.A.; Khan, A.A.; Ahmad, I.; Bacha, B.A. Coherent control of polarization state rotation via Doppler broadening and Kerr nonlinearity in a spinning fast light medium. Laser Phys. 2014, 24, 115404. [Google Scholar] [CrossRef]
- Rahman, H.; Khan, M.; Ahmad, S.; Tayyab, T.; Bibi, H.; Ali, H. Polarization state and image rotation via spontaneously generated coherence in a spinning fast light medium. Commun. Theor. Phys. 2020, 72, 115502. [Google Scholar] [CrossRef]
- Ali, H.; Ahmad, I. Control of group velocity via Spontaneously generated coherence and Kerr Nonlinearity. Commun. Theor. Phys. 2014, 62, 410–415. [Google Scholar] [CrossRef]
- Harris, S.E. Electromagnetically Induced Transparency. Phys. Today 1997, 50, 36. [Google Scholar] [CrossRef]
- Scully, M.O.; Zhu, S.Y.; Fearn, H. Lasing without inversion. I. Initial atomic coherence. Z. Phys. D Atoms Mol. Clust. 1992, 22, 471. [Google Scholar] [CrossRef]
- Bai, Y.F.; Guo, H.; Sun, H.; Han, D.A.; Liu, C.; Chen, X.Z. Effects of spontaneously generated coherence on the conditions for exhibiting lasing without inversion in a V system. Phys. Rev. A 2004, 69, 043814. [Google Scholar] [CrossRef]
- Yan, X.; Wang, L.; Yin, B.; Song, J. Enhancement of nonlinear susceptibility in a four-level tripod scheme. J. Opt. Soc. Am. B 2009, 26, 1862. [Google Scholar] [CrossRef]
- Agarwal, G.S. Anisotropic Vacuum-Induced Interference in Decay Channels. Phys. Rev. Lett. 2000, 84, 5500. [Google Scholar] [CrossRef] [Green Version]
- Wang, C.L.; Kang, Z.; Tian, S.; Jiang, Y.; Gao, J. Effect of spontaneously generated coherence on absorption in a V-type system: Investigation in dressed states. Phys. Rev. A 2009, 79, 043810. [Google Scholar] [CrossRef]
- Dey, T.N.; Agarwal, G.S. Observable effects of Kerr nonlinearity on slow light. Phys. Rev. A 2007, 76, 015802. [Google Scholar] [CrossRef]
- Kuang, S.Q.; Du, P.; Gang, R.; Jiang, Y.; Gao, J.Y. Low light based on coherent hole-burning in a Doppler broadened three-level type atomic system. Opt. Express 2008, 16, 11604–11610. [Google Scholar] [CrossRef]
- Din, R.U.; Chin, X.; Ahmad, I.; Ge, Q.Q. Incoherent and coherent manipulation of surface plasmon hole burning. Laser Phys. Lett. 2019, 16, 036001. [Google Scholar] [CrossRef]
- Harris, S.E.; Field, J.E.; Imamoglu, A. Nonlinear optical processes using electromagnetically induced transparency. Phys. Rev. Lett. 1990, 64, 1107. [Google Scholar] [CrossRef] [PubMed]
- Agarwal, D.S.; Dasgupta, S. Superluminal propagation via coherent manipulation of the Raman gain process. Phys. Rev. A 2004, 70, 023802. [Google Scholar] [CrossRef] [Green Version]






Publisher’s Note: MDPI stays neutral with regard to jurisdictional claims in published maps and institutional affiliations. |
© 2021 by the authors. Licensee MDPI, Basel, Switzerland. This article is an open access article distributed under the terms and conditions of the Creative Commons Attribution (CC BY) license (https://creativecommons.org/licenses/by/4.0/).
Share and Cite
Rahman, H.; Ali, H.; Din, R.U.; Ahmad, I.; Sarker, M.R.; Ali, S.H.M. Coherent Surface Plasmon Hole Burning via Spontaneously Generated Coherence. Molecules 2021, 26, 6497. https://doi.org/10.3390/molecules26216497
Rahman H, Ali H, Din RU, Ahmad I, Sarker MR, Ali SHM. Coherent Surface Plasmon Hole Burning via Spontaneously Generated Coherence. Molecules. 2021; 26(21):6497. https://doi.org/10.3390/molecules26216497
Chicago/Turabian StyleRahman, Habibur, Hazrat Ali, Rafi Ud Din, Iftikhar Ahmad, Mahidur R. Sarker, and Sawal Hamid Md Ali. 2021. "Coherent Surface Plasmon Hole Burning via Spontaneously Generated Coherence" Molecules 26, no. 21: 6497. https://doi.org/10.3390/molecules26216497
APA StyleRahman, H., Ali, H., Din, R. U., Ahmad, I., Sarker, M. R., & Ali, S. H. M. (2021). Coherent Surface Plasmon Hole Burning via Spontaneously Generated Coherence. Molecules, 26(21), 6497. https://doi.org/10.3390/molecules26216497

