Roles of Oxygen Vacancies of CeO2 and Mn-Doped CeO2 with the Same Morphology in Benzene Catalytic Oxidation
Abstract
:1. Introduction
2. Materials and Methods
2.1. The Preparation of CeO2-MnOx Composite Oxides
2.2. Characterization
2.3. Catalytic Activity Tests
2.4. Details of DFT + U Calculation
3. Results and Discussion
3.1. Characterization of Catalysts
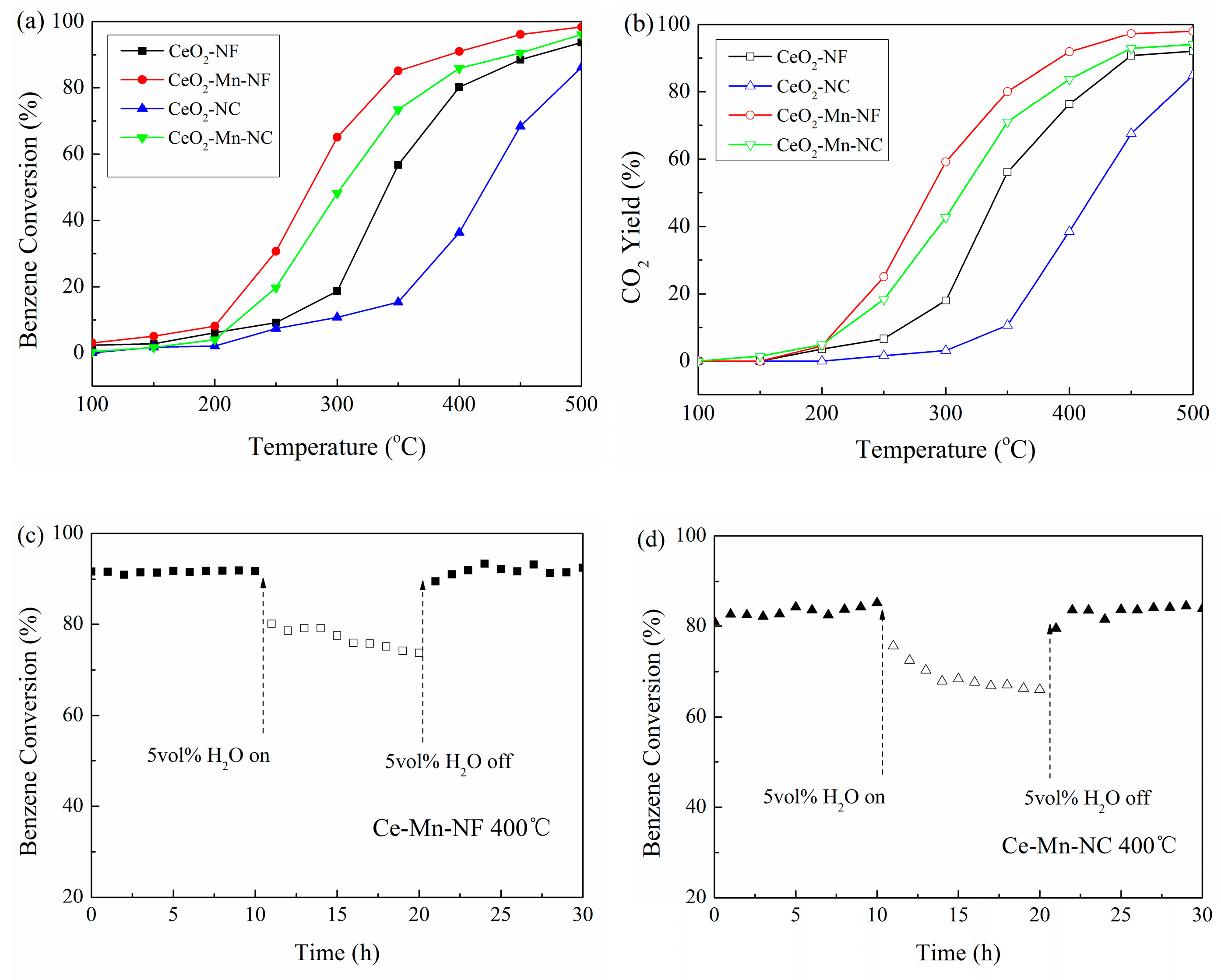
3.2. Catalytic Oxidation Activity towards Benzene
3.3. DFT Calculations
3.4. Factor Influencing the Catalytic Activity
4. Conclusions
Supplementary Materials
Author Contributions
Funding
Institutional Review Board Statement
Informed Consent Statement
Data Availability Statement
Acknowledgments
Conflicts of Interest
References
- Kong, J.J.; Xiang, Z.W.; Li, G.Y.; An, T.C. Introduce oxygen vacancies into CeO2 catalyst for enhanced coke resistance during photothermocatalytic oxidation of typical VOCs. Appl. Catal. B Environ. 2020, 269, 118755. [Google Scholar] [CrossRef]
- Zhang, C.H.; Huang, H.; Li, G.Q.; Wang, L.; Song, L.; Li, X.B. Zeolitic acidity as a promoter for the catalytic oxidation of toluene over MnOx/HZSM-5 catalysts. Catal. Today 2019, 327, 374–381. [Google Scholar] [CrossRef]
- Ma, C.Y.; Mu, Z.; Li, J.J.; Jin, Y.G.; Cheng, J.; Lu, G.Q.; Hao, Z.P.; Qiao, S.Z. Mesoporous Co3O4 and Au/Co3O4 Catalysts for Low-Temperature Oxidation of Trace Ethylene. J. Am. Chem. Soc. 2010, 132, 2608–2613. [Google Scholar] [CrossRef]
- Wang, Y.F.; Zhang, C.B.; Liu, F.D.; He, H. Well-dispersed palladium supported on ordered mesoporous Co3O4 for catalytic oxidation of o-xylene. Appl. Catal. B Environ. 2013, 142, 72–79. [Google Scholar] [CrossRef]
- Zhang, C.H.; Wang, C.; Zhan, W.C.; Guo, Y.L.; Guo, Y.; Lu, G.Z.; Baylet, A.; Giroir-Fendler, A. Catalytic oxidation of vinyl chloride emission over LaMnO3 and LaB0.2Mn0.8O3 (B = Co, Ni, Fe) catalysts. Appl. Catal. B Environ. 2013, 129, 509–516. [Google Scholar] [CrossRef]
- Kolodziej, A.; Lojewska, J.; Tyczkowski, J.; Jodlowski, P.; Redzynia, W.; Iwaniszyn, M.; Zapotoczny, S.; Kustrowski, P. Coupled engineering and chemical approach to the design of a catalytic structured reactor for combustion of VOCs: Cobalt oxide catalyst on knitted wire gauzes. Chem. Eng. J. 2012, 200, 329–337. [Google Scholar] [CrossRef]
- Mo, S.P.; Li, S.D.; Li, W.H.; Li, J.Q.; Chen, J.Y.; Chen, Y.F. Excellent low temperature performance for total benzene oxidation over mesoporous CoMnAl composited oxides from hydrotalcites. J. Mater. Chem. A. 2016, 4, 8113–8122. [Google Scholar] [CrossRef]
- Zhao, L.L.; Zhang, Z.P.; Li, Y.S.; Leng, X.S.; Zhang, T.R.; Yuan, F.L.; Niu, X.Y.; Zhu, Y.J. Synthesis of CeaMnOx hollow microsphere with hierarchical structure and its excellent catalytic performance for toluene combustion. Appl. Catal. B Environ. 2019, 245, 502–512. [Google Scholar] [CrossRef]
- Chang, Y.F.; McCarty, J.G. Novel oxygen storage components for advanced catalysts for emission control in natural gas fueled vehicles. Catal. Today 1996, 30, 163–170. [Google Scholar] [CrossRef]
- Zhang, X.D.; Lv, X.T.; Bi, F.K.; Lu, G.; Wang, Y.X. Highly efficient Mn2O3 catalysts derived from Mn-MOFs for toluene oxidation: The influence of MOFs precursors. Mol. Catal. 2020, 482, 110701. [Google Scholar] [CrossRef]
- Zhou, G.L.; He, X.L.; Liu, S.; Xie, H.M.; Fu, M. Phenyl VOCs catalytic combustion on supported CoMn/AC oxide catalyst. J. Ind. Eng. Chem. 2015, 21, 932–941. [Google Scholar] [CrossRef]
- Xie, X.W.; Li, Y.; Liu, Z.Q.; Haruta, M.; Shen, W.J. Low-temperature oxidation of CO catalysed by Co3O4 nanorods. Nature 2009, 458, 746–749. [Google Scholar] [CrossRef]
- Trovarelli, A.; Llorca, J. Ceria Catalysts at Nanoscale: How Do Crystal Shapes Shape Catalysis? ACS Catal. 2017, 7, 4716–4735. [Google Scholar] [CrossRef]
- Lopez, J.M.; Gilbank, A.L.; Garcia, T.; Solsona, B.; Agouram, S.; Torrente-Murciano, L. The prevalence of surface oxygen vacancies over the mobility of bulk oxygen in nanostructured ceria for the total toluene oxidation. Appl. Catal. B Environ. 2015, 174, 403–412. [Google Scholar] [CrossRef] [Green Version]
- Yang, C.T.; Miao, G.; Pi, Y.H.; Xia, Q.B.; Wu, J.L.; Li, Z.; Xiao, J. Abatement of various types of VOCs by adsorption/catalytic oxidation: A review. Chem. Eng. J. 2019, 370, 1128–1153. [Google Scholar] [CrossRef]
- Weon, S.; Choi, W. TiO2 Nanotubes with Open Channels as Deactivation-Resistant Photocatalyst for the Degradation of Volatile Organic Compounds. Environ. Sci. Technol. 2016, 50, 2556–2563. [Google Scholar] [CrossRef] [PubMed]
- Lin, R.; Liu, W.P.; Zhong, Y.J.; Luo, M.F. Catalyst characterization and activity of Ag-Mn complex oxides. Appl. Catal. A Gen. 2001, 220, 165–171. [Google Scholar] [CrossRef]
- Quiroz, J.; Giraudon, J.M.; Gervasini, A.; Dujardin, C.; Lancelot, C.; Trentesaux, M.; Lamonier, J.F. Total Oxidation of Formaldehyde over MnOx-CeO2 Catalysts: The Effect of Acid Treatment. Acs Catal. 2015, 5, 2260–2269. [Google Scholar] [CrossRef]
- Qi, G.S.; Yang, R.T.; Chang, R. MnOx-CeO2 mixed oxides prepared by co-precipitation for selective catalytic reduction of NO with NH3 at low temperatures. Appl. Catal. B Environ. 2004, 51, 93–106. [Google Scholar] [CrossRef]
- Qi, G.S.; Yang, R.T. Performance and kinetics study for low-temperature SCR of NO with NH3 over MnOx-CeO2 catalyst. J. Catal. 2003, 217, 434–441. [Google Scholar] [CrossRef]
- Guo, Z.Y.; Liang, Q.H.; Yang, Z.Y.; Liu, S.; Huang, Z.H.; Kang, F.Y. Modifying porous carbon nanofibers with MnOx–CeO2–Al2O3 mixed oxides for NO catalytic oxidation at room temperature. Catal. Sci. Technol. 2016, 6, 422–425. [Google Scholar] [CrossRef]
- Zhang, J.; Cao, Y.D.; Wang, C.A.; Ran, R. Design and Preparation of MnO2/CeO2-MnO2 Double-Shelled Binary Oxide Hollow Spheres and Their Application in CO Oxidation. ACS Appl. Mater. Inter. 2016, 8, 8670–8677. [Google Scholar] [CrossRef] [PubMed]
- Xing, L.L.; Yang, Y.X.; Cao, C.M.; Zhao, D.Y.; Gao, Z.N.; Ren, W.; Tian, Y.; Ding, T.; Li, X.G. Decorating CeO2 Nanoparticles on Mn2O3 Nanosheets to Improve Catalytic Soot Combustion. ACS Sustain. Chem. Eng. 2018, 6, 16544–16554. [Google Scholar] [CrossRef]
- Weber, W.H.; Hass, K.C.; Mcbride, J.R. Raman-Study of CeO2-2nd-Order Scattering, Lattice-Dynamics, and Particle-Size Effects. Phys. Rev. B. 1993, 48, 178–185. [Google Scholar] [CrossRef]
- Hu, F.Y.; Chen, J.J.; Peng, Y.; Song, H.; Li, K.Z.; Li, J.H. Novel nanowire self-assembled hierarchical CeO2 microspheres for low temperature toluene catalytic combustion. Chem. Eng. J. 2018, 331, 425–434. [Google Scholar] [CrossRef]
- Du, X.J.; Zhang, D.S.; Shi, L.Y.; Gao, R.H.; Zhang, J.P. Morphology Dependence of Catalytic Properties of Ni/CeO2 Nanostructures for Carbon Dioxide Reforming of Methane. J. Phys. Chem. C. 2012, 116, 10009–10016. [Google Scholar] [CrossRef]
- Souza, E.C.C.; Brito, H.F.; Muccillo, E.N.S. Optical and electrical characterization of samaria-doped ceria. J. Alloys Compd. 2010, 491, 460–464. [Google Scholar] [CrossRef]
- Pfau, A.; Schierbaum, K.D. The electronic-structure of stoichiometric and reduced CeO2 surfaces-an XPS, UPS and HREELSstudy. Surf. Sci. 1994, 321, 71–80. [Google Scholar] [CrossRef]
- Du, X.S.; Wang, X.M.; Chen, Y.R.; Gao, X.; Zhang, L. Supported metal sulfates on Ce-TiOx as catalysts for NH3-SCR of NO: High resistances to SO2 and potassium. J. Ind. Eng. Chem. 2016, 36, 271–278. [Google Scholar] [CrossRef]
- Lee, S.M.; Park, K.H.; Hong, S.C. MnOx/CeO2-TiO2 mixed oxide catalysts for the selective catalytic reduction of NO with NH3 at low temperature. Chem. Eng. J. 2012, 195, 323–331. [Google Scholar] [CrossRef]
- Yang, W.H.; Su, Z.A.; Xu, Z.H.; Yang, W.N.; Peng, Y.; Li, J.H. Comparative study of α-, β-, γ- and δ-MnO2 on toluene oxidation: Oxygen vacancies and reaction intermediates. Appl. Catal. B Environ. 2020, 260, 118150. [Google Scholar] [CrossRef]
- Machida, M.; Uto, M.; Kurogi, D.; Kijima, T. MnOx-CeO2 binary oxides for catalytic NOx sorption at low temperatures. Sorptive removal of NOx. Chem. Mater. 2000, 12, 3158–3164. [Google Scholar] [CrossRef]
- Rao, T.; Shen, M.Q.; Jia, L.W.; Hao, J.J.; Wang, J. Oxidation of ethanol over Mn-Ce-O and Mn-Ce-Zr-O complex compounds synthesized by sol-gel method. Catal. Commun. 2007, 8, 1743–1747. [Google Scholar] [CrossRef]
- Ramirez, A.; Hillebrand, P.; Stellmach, D.; May, M.M.; Bogdanoff, P.; Fiechter, S. Evaluation of MnOx, Mn2O3, and Mn3O4 Electrodeposited Films for the Oxygen Evolution Reaction of Water. J. Phys. Chem. C. 2014, 118, 14073–14081. [Google Scholar] [CrossRef]
- Marris, H.; Deboudt, K.; Flament, P.; Grobety, B.; Giere, R. Fe and Mn Oxidation States by TEM-EELS in Fine-Particle Emissions from a Fe-Mn Alloy Making Plant. Environ. Sci. Technol. 2013, 47, 10832–10840. [Google Scholar] [CrossRef]
- Hao, X.D.; Yoko, A.; Chen, C.L.; Inoue, K.; Saito, M.; Seong, G.; Takami, S.; Adschiri, T.; Ikuhara, Y. Atomic-Scale Valence State Distribution inside Ultrafine CeO2 Nanocubes and Its Size Dependence. Small 2018, 14, 1802915. [Google Scholar] [CrossRef] [PubMed]
- Paier, J.; Penschke, C.; Sauer, J. Oxygen Defects and Surface Chemistry of Ceria: Quantum Chemical Studies Compared to Experiment. Chem. Rev. 2013, 113, 3949–3985. [Google Scholar] [CrossRef]
- Hojo, H.; Mizoguchi, T.; Ohta, H.; Findlay, S.D.; Shibata, N.; Yamamoto, T.; Ikuhara, Y. Atomic Structure of a CeO2 Grain Boundary: The Role of Oxygen Vacancies. Nano. Lett. 2010, 10, 4668–4672. [Google Scholar] [CrossRef]
- Su, Z.A.; Yang, W.H.; Wang, C.Z.; Xiong, S.C.; Cao, X.Z.; Peng, Y.; Si, W.Z.; Weng, Y.B.; Xue, M.; Li, J.H. Roles of Oxygen Vacancies in the Bulk and Surface of CeO2 for Toluene Catalytic Combustion. Environ. Sci. Technol. 2020, 54, 12684–12692. [Google Scholar] [CrossRef]
- Zhang, H.; Cai, J.M.; Wang, Y.T.; Wu, M.Q.; Meng, M.; Tian, Y.; Li, X.G.; Zhang, J.; Zheng, L.R.; Jiang, Z.; et al. Insights into the effects of surface/bulk defects on photocatalytic hydrogen evolution over TiO2 with exposed {001} facets. Appl. Catal. B Environ. 2018, 220, 126–136. [Google Scholar] [CrossRef]
- Ren, S.; Liang, W.J.; Li, Q.L.; Zhu, Y.X. Effect of Pd/Ce loading on the performance of Pd-Ce/gamma-Al2O3 catalysts for toluene abatement. Chemosphere 2020, 251, 126382. [Google Scholar] [CrossRef]
- Xia, D.H.; Xu, W.J.; Wang, Y.C.; Yang, J.L.; Huang, Y.J.; Hu, L.L.; He, C.; Shu, D.; Leung, D.Y.C.; Pang, Z.H. Enhanced Performance and Conversion Pathway for Catalytic Ozonation of Methyl Mercaptan on Single-Atom Ag Deposited Three-Dimensional Ordered Mesoporous MnO2. Environ. Sci. Technol. 2018, 52, 13399–13409. [Google Scholar] [CrossRef]
- Qi, G.S.; Yang, R.T. Characterization and FTIR studies of MnOx-CeO2 catalyst for low-temperature selective catalytic reduction of NO with NH3. J. Phys. Chem. B. 2004, 108, 15738–15747. [Google Scholar] [CrossRef]
- Yu, X.L.; Wu, X.M.; Chen, Z.Y.; Huang, Z.W.; Jing, G.H. Oxygen vacancy defect engineering in Mn-doped CeO2 nanostructures for, nitrogen oxides emission abatement. Mol. Catal. 2019, 476, 110512. [Google Scholar] [CrossRef]
- Trovarelli, A. Catalytic properties of ceria and CeO2-containing materials. Catal. Rev. 1996, 38, 439–520. [Google Scholar] [CrossRef]
- Aneggi, E.; Boaro, M.; de Leitenburg, C.; Dolcetti, G.; Trovarelli, A. Insights into the redox properties of ceria-based oxides and their implications in catalysis. J. Alloys Compd. 2006, 408, 1096–1102. [Google Scholar] [CrossRef]
- Tana; Zhang, M.L.; Li, J.; Li, H.J.; Li, Y.; Shen, W.J. Morphology-dependent redox and catalytic properties of CeO2 nanostructures: Nanowires, nanorods and nanoparticles. Catal. Today 2009, 148, 179–183. [Google Scholar] [CrossRef]
- Wang, Z.; Shen, G.L.; Li, J.Q.; Liu, H.D.; Wang, Q.; Chen, Y.F. Catalytic removal of benzene over CeO2-MnOx composite oxides prepared by hydrothermal method. Appl. Catal. B Environ. 2013, 138, 253–259. [Google Scholar] [CrossRef]
- Wang, Z.; Deng, Y.Z.; Shen, G.L.; Akram, S.; Han, N.; Chen, Y.F.; Wang, Q. Catalytic Degradation of Benzene over Nanocatalysts containing Cerium and Manganese. Chemistryopen 2016, 5, 495–504. [Google Scholar] [CrossRef] [Green Version]
- Blochl, P.E. Projector Augmented-Wave Method. Phys. Rev. B. 1994, 50, 17953–17979. [Google Scholar] [CrossRef] [Green Version]
- Chang, S.J.; Li, M.; Hua, Q.; Zhang, L.J.; Ma, Y.S.; Ye, B.J.; Huang, W.X. Shape-dependent interplay between oxygen vacancies and Ag-CeO2 interaction in Ag/CeO2 catalysts and their influence on the catalytic activity. J. Catal. 2012, 293, 195–204. [Google Scholar] [CrossRef]
- Santos, V.P.; Pereira, M.F.R.; Orfao, J.J.M.; Figueiredo, J.L. The role of lattice oxygen on the activity of manganese oxides towards the oxidation of volatile organic compounds. Appl. Catal. B Environ. 2010, 99, 353–363. [Google Scholar] [CrossRef]
- Tang, W.X.; Wu, X.F.; Li, D.Y.; Wang, Z.; Liu, G.; Liu, H.D.; Chen, Y.F. Oxalate route for promoting activity of manganese oxide catalysts in total VOCs’ oxidation: Effect of calcination temperature and preparation method. J. Mater. Chem. A. 2014, 2, 2544–2554. [Google Scholar] [CrossRef]










| Samples | Lattice Parameters (a) | Extent of Deviation |
|---|---|---|
| (Å) | (×10−4) | |
| CeO2-NF | 5.40864 | 10.06 |
| Ce-Mn-NF | 5.40842 | 11.94 |
| CeO2-NC | 5.41061 | 4.02 |
| Ce-Mn-NC | 5.40878 | 11.52 |
| Sample | A610/A460(%) | BE (eV) | Oβ/(Oα + Oβ)(%) | Ce3+/(Ce3+ + Ce4+) (%) | Mn 2p3/2 BE (eV) | |||
|---|---|---|---|---|---|---|---|---|
| Oα | Oβ | Mn4+ | Mn3+ | Mn2+ | ||||
| CeO2-NF | 13.9 | 529.2 | 531.5 | 21.1 | 8.74 | ---- | ---- | ---- |
| Ce-Mn-NF | 20.9 | 529.3 | 531.7 | 25.5 | 11.3 | 640.9 | 641.8 | 643.1 |
| CeO2-NC | 11.3 | 529.2 | 531.6 | 17.1 | 7.32 | ---- | ---- | ---- |
| Ce-Mn-NC | 19.4 | 529.1 | 531.5 | 22.0 | 9.71 | 640.8 | 641.8 | 643.2 |
Publisher’s Note: MDPI stays neutral with regard to jurisdictional claims in published maps and institutional affiliations. |
© 2021 by the authors. Licensee MDPI, Basel, Switzerland. This article is an open access article distributed under the terms and conditions of the Creative Commons Attribution (CC BY) license (https://creativecommons.org/licenses/by/4.0/).
Share and Cite
Yang, M.; Shen, G.; Wang, Q.; Deng, K.; Liu, M.; Chen, Y.; Gong, Y.; Wang, Z. Roles of Oxygen Vacancies of CeO2 and Mn-Doped CeO2 with the Same Morphology in Benzene Catalytic Oxidation. Molecules 2021, 26, 6363. https://doi.org/10.3390/molecules26216363
Yang M, Shen G, Wang Q, Deng K, Liu M, Chen Y, Gong Y, Wang Z. Roles of Oxygen Vacancies of CeO2 and Mn-Doped CeO2 with the Same Morphology in Benzene Catalytic Oxidation. Molecules. 2021; 26(21):6363. https://doi.org/10.3390/molecules26216363
Chicago/Turabian StyleYang, Min, Genli Shen, Qi Wang, Ke Deng, Mi Liu, Yunfa Chen, Yan Gong, and Zhen Wang. 2021. "Roles of Oxygen Vacancies of CeO2 and Mn-Doped CeO2 with the Same Morphology in Benzene Catalytic Oxidation" Molecules 26, no. 21: 6363. https://doi.org/10.3390/molecules26216363
APA StyleYang, M., Shen, G., Wang, Q., Deng, K., Liu, M., Chen, Y., Gong, Y., & Wang, Z. (2021). Roles of Oxygen Vacancies of CeO2 and Mn-Doped CeO2 with the Same Morphology in Benzene Catalytic Oxidation. Molecules, 26(21), 6363. https://doi.org/10.3390/molecules26216363
