Design and Synthesis of Novel Betulin Derivatives Containing Thio-/Semicarbazone Moieties as Apoptotic Inducers through Mitochindria-Related Pathways
Abstract
1. Introduction
2. Results and Discussion
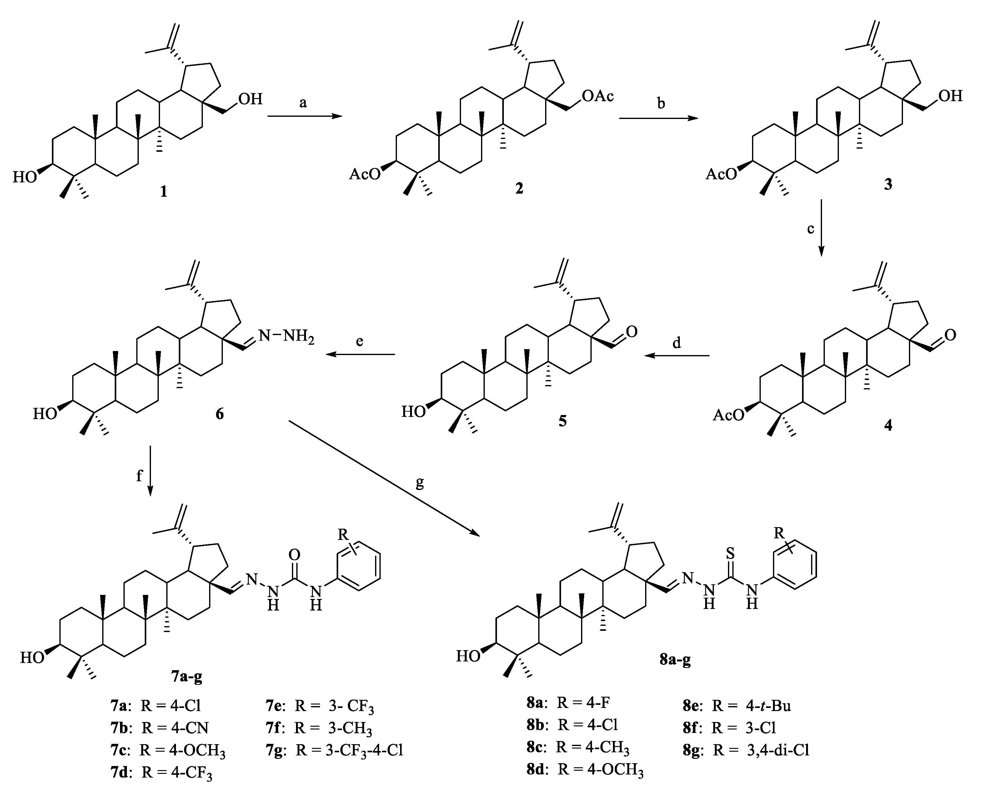
2.1. Synthesis of Botulin Derivatives
2.2. Biological Evaluation of Betulin Derivatives
2.2.1. Betulin Derivatives Inhibited Proliferation of Various Human Cancer Cells
2.2.2. Betulin Derivatives Induced Apoptosis in Various Human Cancer Cells
2.2.3. Compound 8f Induced MMP Loss in MCF-7 Cells
2.2.4. Compound 8f Triggered ROS Generation
2.2.5. Compound 8f Regulated Apoptosis-Related Protein Expression
3. Materials and Methods
3.1. Chemistry
3.1.1. Synthesis of 3-O,28-O-Acetyl-betulin (2)
3.1.2. Synthesis of 3-O-Acetyl-betulin (3)
3.1.3. Synthesis of 3-O-Acetyl-betulinicaldehyde (4)
3.1.4. Synthesis of Betulinicaldehyde (5)
3.1.5. Synthesis of 28-Hydrazonomethyl-betulin (6)
3.1.6. General Procedure for Synthesis of Compounds 7a–g and 8a–g
3.2. Biological Evaluation
3.2.1. In Vitro Cytotoxicity
3.2.2. AO/EB Staining
3.2.3. Cell Apoptosis Analysis
3.2.4. Mitochondrial Membrane Potential (MMP) Assay
3.2.5. ROS Level Assay
3.2.6. Western Blot Assay
4. Conclusions
Supplementary Materials
Author Contributions
Funding
Institutional Review Board Statement
Informed Consent Statement
Data Availability Statement
Acknowledgments
Conflicts of Interest
References
- Siegel, R.L.; Miller, K.D.; Jemal, A. Cancer statistics, 2020. CA Cancer J. Clin. 2020, 70, 7–30. [Google Scholar] [CrossRef]
- Dutta, S.; Mahalanobish, S.; Saha, S.; Ghosh, S.; Sil, P.C. Natural products: An upcoming therapeutic approach to cancer. Food Chem. Toxicol. 2019, 128, 240–255. [Google Scholar] [CrossRef] [PubMed]
- Liu, Y.; Yang, S.; Wang, K.; Lu, J.; Bao, X.; Wang, R.; Qiu, Y.; Wang, T.; Yu, H. Cellular senescence and cancer: Focusing on traditional Chinese medicine and natural products. Cell Prolif. 2020, 53, e12894. [Google Scholar] [CrossRef]
- Ahmad, R.; Khan, M.A.; Srivastava, A.N.; Gupta, A.; Srivastava, A.; Jafri, T.R.; Siddiqui, Z.; Chaubey, S.; Khan, T.; Srivastava, A.K. Anticancer potential of dietary natural products: A comprehensive review. Anticancer. Agents Med. Chem. 2020, 20, 122–236. [Google Scholar] [CrossRef]
- Bu, M.; Li, H.; Wang, H.; Wang, J.; Lin, Y.; Ma, Y. Synthesis of Ergosterol Peroxide Conjugates as Mitochondria Targeting Probes for Enhanced Anticancer Activity. Molecules 2019, 24, 3307. [Google Scholar] [CrossRef]
- Alakurtti, S.; Mäkelä, T.; Koskimies, S.; Yli-Kauhaluoma, J. Pharmacological properties of the ubiquitous natural product betulin. Eur. J. Pharm. Sci. 2006, 29, 1–13. [Google Scholar] [CrossRef]
- Ibrahim, H.A.; Elgindi, M.R.; Ibrahim, R.R.; El-Hosari, D.G. Antibacterial activities of triterpenoidal compounds isolated from Calothamnus quadrifidus leaves. BMC Complement. Altern. Med. 2019, 19, 102. [Google Scholar]
- Oloyede, H.O.B.; Ajiboye, H.O.; Salawu, M.O.; Ajiboye, T.O. Influence of oxidative stress on the antibacterial activity of betulin, betulinic acid and ursolic acid. Microb. Pathog. 2017, 111, 338–344. [Google Scholar] [CrossRef]
- Huang, Q.X.; Chen, H.F.; Luo, X.R.; Zhang, Y.X.; Yao, X.; Zheng, X. Structure and anti-HIV activity of betulinic acid analogues. Curr. Med. Sci. 2018, 38, 387–397. [Google Scholar] [CrossRef] [PubMed]
- Xiong, J.; Kashiwada, Y.; Chen, C.H.; Qian, K.; Morris-Natschke, S.L.; Lee, K.H.; Takaishi, Y. Conjugates of betulin derivatives with AZT as potent anti-HIV agents. Bioorg. Med. Chem. 2010, 18, 6451–6469. [Google Scholar]
- Wang, Q.; Li, Y.; Zheng, L.; Huang, X.; Wang, Y.; Chen, C.H.; Cheng, Y.Y.; Morris-Natschke, S.L.; Lee, K.H. Novel betulinic acid-nucleoside hybrids with potent anti-HIV activity. ACS Med. Chem. Lett. 2020, 11, 2290–2293. [Google Scholar] [CrossRef] [PubMed]
- Ou, Z.; Zhao, J.; Zhu, L.; Huang, L.; Ma, Y.; Ma, C.; Luo, C.; Zhu, Z.; Yuan, Z.; Wu, J.; et al. Anti-inflammatory effect and potential mechanism of betulinic acid on λ-carrageenan-induced paw edema in mice. Biomed. Pharmacother. 2019, 118, 109347. [Google Scholar] [CrossRef] [PubMed]
- Li, J.; Jiang, B.; Chen, C.; Fan, B.; Huang, H.; Chen, G. Biotransformation of betulin by Mucor subtilissimus to discover anti-inflammatory derivatives. Phytochemistry 2019, 166, 112076. [Google Scholar] [CrossRef] [PubMed]
- Shah, M.R.; Ishtiaq Hizbullah, S.M.; Habtemariam, S.; Zarrelli, A.; Muhammad, A.; Collina, S.; Khan, I. Protein tyrosine phosphatase 1B inhibitors isolated from Artemisia roxburghiana. J. Enzyme. Inhib. Med. Chem. 2016, 31, 563–567. [Google Scholar] [CrossRef] [PubMed]
- Wang, L.; Zhong, D. Effect of betulin on inflammatory biomarkers and oxidative status of ova-induced murine asthma. J. Environ. Pathol. Toxicol. Oncol. 2020, 39, 213–224. [Google Scholar] [CrossRef] [PubMed]
- Dutta, D.; Paul, B.; Mukherjee, B.; Mondal, L.; Sen, S.; Chowdhury, C.; Debnath, M.C. Nanoencapsulated betulinic acid analogue distinctively improves colorectal carcinoma in vitro and in vivo. Sci. Rep. 2019, 9, 11506. [Google Scholar] [CrossRef]
- Zeng, A.; Hua, H.; Liu, L.; Zhao, J. Betulinic acid induces apoptosis and inhibits metastasis of human colorectal cancer cells in vitro and in vivo. Bioorg. Med. Chem. 2019, 27, 2546–2552. [Google Scholar] [CrossRef]
- Kutkowska, J.; Strzadala, L.; Rapak, A. Hypoxia increases the apoptotic response to betulinic acid and betulin in human non-small cell lung cancer cells. Chem. Biol. Interact. 2021, 333, 109320. [Google Scholar] [CrossRef]
- Dubinin, M.V.; Semenova, A.A.; Ilzorkina, A.I.; Mikheeva, I.B.; Yashin, V.A.; Penkov, N.V.; Vydrina, V.A.; Ishmuratov, G.Y.; Sharapov, V.A.; Khoroshavina, E.I.; et al. Effect of betulin and betulonic acid on isolated rat liver mitochondria and liposomes. Biochim. Biophys. Acta. Biomembr. 2020, 1862, 183383. [Google Scholar] [CrossRef]
- Buko, V.; Kuzmitskaya, I.; Kirko, S.; Belonovskaya, E.; Naruta, E.; Lukivskaya, O.; Shlyahtun, A.; Ilyich, T.; Zakreska, A.; Zavodnik, I. Betulin attenuated liver damage by prevention of hepatic mitochondrial dysfunction in rats with alcoholic steatohepatitis. Physiol. Int. 2019, 106, 323–334. [Google Scholar] [CrossRef]
- Jiao, L.; Wang, S.; Zheng, Y.; Wang, N.; Yang, B.; Wang, D.; Yang, D.; Mei, W.; Zhao, Z.; Wang, Z. Betulinic acid suppresses breast cancer aerobic glycolysis via caveolin-1/NF-κB/c-Myc pathway. Biochem. Pharmacol. 2019, 161, 149–162. [Google Scholar] [CrossRef]
- Härmä, V.; Haavikko, R.; Virtanen, J.; Ahonen, I.; Schukov, H.P.; Alakurtti, S.; Purev, E.; Rischer, H.; Yli-Kauhaluoma, J.; Moreira, V.M.; et al. Optimization of invasion-specific effects of betulin derivatives on prostate cancer cells through lead development. PLoS ONE 2015, 10, e0126111. [Google Scholar] [CrossRef]
- Dehelean, C.A.; Feflea, S.; Molnár, J.; Zupko, I.; Soica, C. Betulin as an antitumor agent tested in vitro on A431, HeLa and MCF7, and as an angiogenic inhibitor in vivo in the CAM assay. Nat. Prod. Commun. 2012, 7, 981–985. [Google Scholar] [CrossRef] [PubMed]
- Bębenek, E.; Chrobak, E.; Marciniec, K.; Kadela-Tomanek, M.; Trynda, J.; Wietrzyk, J.; Boryczka, S. Biological activity and in silico study of 3-modified derivatives of betulin and betulinic aldehyde. Int. J. Mol. Sci. 2019, 20, 1372. [Google Scholar] [CrossRef] [PubMed]
- Laiolo, J.; Barbieri, C.L.; Joray, M.B.; Lanza, P.A.; Palacios, S.M.; Vera, D.M.A.; Carpinella, M.C. Plant extracts and betulin from Ligaria cuneifolia inhibit P-glycoprotein function in leukemia cells. Food. Chem. Toxicol. 2021, 147, 111922. [Google Scholar] [CrossRef] [PubMed]
- Boryczka, S.; Bębenek, E.; Wietrzyk, J.; Kempińska, K.; Jastrzębska, M.; Kusz, J.; Nowak, M. Synthesis, structure and cytotoxic activity of new acetylenic derivatives of betulin. Molecules 2013, 18, 4526–4543. [Google Scholar] [CrossRef]
- Grymel, M.; Pastuch-Gawołek, G.; Lalik, A.; Zawojak, M.; Boczek, S.; Krawczyk, M.; Erfurt, K. Glycoconjugation of betulin derivatives using copper-catalyzed 1,3-dipolar azido-alkyne cycloaddition reaction and a preliminary assay of cytotoxicity of the obtained compounds. Molecules 2020, 25, 6019. [Google Scholar] [CrossRef] [PubMed]
- Grymel, M.; Zawojak, M.; Adamek, J. Triphenylphosphonium Analogues of Betulin and Betulinic Acid with Biological Activity: A Comprehensive Review. J. Nat. Prod. 2019, 82, 1719–1730. [Google Scholar] [CrossRef]
- Chen, Y.; Song, Q.; Zhao, J.; Gong, X.; Schlaad, H.; Zhang, G. Betulin-Constituted Multiblock Amphiphiles for Broad-Spectrum Protein Resistance. ACS Appl. Mater. Interfaces 2018, 10, 6593–6600. [Google Scholar] [CrossRef]
- Santos, F.R.S.; Andrade, J.T.; Sousa, C.D.F.; Fernandes, J.S.; Carmo, L.F.; Araújo, M.G.F.; Ferreira, J.M.S.; Villar, J.A.F.P. Synthesis and evaluation of the in vitro antimicrobial activity of triazoles, morpholines and thiosemicarbazones. Med. Chem. 2019, 15, 38–50. [Google Scholar] [CrossRef]
- Marsh, J.W.; Djoko, K.Y.; McEwan, A.G.; Huston, W.M. Copper(II)-bis(thiosemicarbazonato) complexes as anti-chlamydial agents. Pathog. Dis. 2017, 75, ftx084. [Google Scholar] [CrossRef] [PubMed]
- Kassab, S.E.; Hegazy, G.H.; Eid, N.M.; Amin, K.M.; El-Gendy, A.A. Synthesis of 1H-indole-2,3-dione-3-thiosemicarbazone ribonucleosides as antibacterial agents. Nucleosides Nucleotides Nucleic Acids 2010, 29, 72–80. [Google Scholar] [CrossRef] [PubMed]
- Bisceglie, F.; Bacci, C.; Vismarra, A.; Barilli, E.; Pioli, M.; Orsoni, N.; Pelosi, G. Antibacterial activity of metal complexes based on cinnamaldehyde thiosemicarbazone analogues. J. Inorg. Biochem. 2020, 203, 110888. [Google Scholar] [CrossRef]
- Sharma, R.; Nagar, M.; Agarwal, M.; Sharma, H. Synthesis, characterization and antimicrobial activities of some mixed ligand complexes of Co(II) with thiosemicarbazones and N-protected amino acids. J. Enzyme. Inhib. Med. Chem. 2009, 24, 197–204. [Google Scholar] [CrossRef]
- Akladios, F.N.; Andrew, S.D.; Boog, S.J.; de Kock, C.; Haynes, R.K.; Parkinson, C.J. The evaluation of metal co-ordinating bis-thiosemicarbazones as potential anti-malarial agents. Med. Chem. 2019, 15, 51–58. [Google Scholar] [CrossRef]
- Summers, K.L. A structural chemistry perspective on the antimalarial properties of thiosemicarbazone metal complexes. Mini. Rev. Med. Chem. 2019, 19, 569–590. [Google Scholar] [CrossRef]
- Matsa, R.; Makam, P.; Kaushik, M.; Hoti, S.L.; Kannan, T. Thiosemicarbazone derivatives: Design, synthesis and in vitro antimalarial activity studies. Eur. J. Pharm. Sci. 2019, 137, 104986. [Google Scholar] [CrossRef]
- Hałdys, K.; Goldeman, W.; Anger-Góra, N.; Rossowska, J.; Latajka, R. Monosubstituted acetophenone thiosemicarbazones as potent inhibitors of tyrosinase: Synthesis, inhibitory studies, and molecular docking. Pharmaceuticals 2021, 14, 74. [Google Scholar] [CrossRef]
- El Majzoub, R.; Fayyad-Kazan, M.; Nasr El Dine, A.; Makki, R.; Hamade, E.; Grée, R.; Hachem, A.; Talhouk, R.; Fayyad-Kazan, H.; Badran, B. A thiosemicarbazone derivative induces triple negative breast cancer cell apoptosis: Possible role of miRNA-125a-5p and miRNA-181a-5p. Genes Genomics. 2019, 41, 1431–1443. [Google Scholar] [CrossRef]
- Medina-Reyes, E.I.; Mancera-Rodríguez, M.A.; Delgado-Buenrostro, N.L.; Moreno-Rodríguez, A.; Bautista-Martínez, J.L.; Díaz-Velásquez, C.E.; Martínez-Alarcón, S.A.; Torrens, H.; de Los Ángeles Godínez-Rodríguez, M.; Terrazas-Valdés, L.I.; et al. Novel thiosemicarbazones induce high toxicity in estrogen-receptor-positive breast cancer cells (MCF7) and exacerbate cisplatin effectiveness in triple-negative breast (MDA-MB231) and lung adenocarcinoma (A549) cells. Invest. New. Drugs 2020, 38, 558–573. [Google Scholar] [CrossRef]
- Sólimo, A.; Soraires Santacruz, M.C.; Loaiza Perez, A.I.; Bal de Kier Joffé, E.; Finkielsztein, L.M.; Callero, M.A. N4-aryl substituted thiosemicarbazones derived from 1-indanones as potential anti-tumor agents for breast cancer treatment. J. Cell Physiol. 2018, 233, 4677–4687. [Google Scholar] [CrossRef]
- Ma, B.; Goh, B.C.; Tan, E.H.; Lam, K.C.; Soo, R.; Leong, S.S.; Wang, L.Z.; Mo, F.; Chan, A.T.; Zee, B.; et al. A multicenter phase II trial of 3-aminopyridine-2-carboxaldehyde thiosemicarbazone (3-AP, Triapine) and gemcitabine in advanced non-small-cell lung cancer with pharmacokinetic evaluation using peripheral blood mononuclear cells. Invest. New Drugs 2008, 26, 169–173. [Google Scholar] [CrossRef]
- Krishan, S.; Sahni, S.; Leck, L.Y.W.; Jansson, P.J.; Richardson, D.R. Regulation of autophagy and apoptosis by Dp44mT-mediated activation of AMPK in pancreatic cancer cells. Biochim. Biophys. Acta. Mol. Basis. Dis. 2020, 1866, 165657. [Google Scholar] [CrossRef]
- Perondi, D.M.; Jacques, A.V.; Stefanes, N.M.; Maioral, M.F.; Sens, L.; Pacheco, L.A.; Cury, N.M.; Nunes, R.J.; Yunes, J.A.; Santos-Silva, M.C. A novel thiosemicarbazone as a promising effective and selective compound for acute leukemia. Anticancer Drugs 2019, 30, 828–837. [Google Scholar] [CrossRef] [PubMed]
- Chitambar, C.R.; Antholine, W.E. Iron-targeting antitumor activity of gallium compounds and novel insights into triapine(®)-metal complexes. Antioxid. Redox. Signal. 2013, 18, 956–972. [Google Scholar] [CrossRef]
- Altintop, M.D.; Sever, B.; Özdemir, A.; Kuş, G.; Oztopcu-Vatan, P.; Kabadere, S.; Kaplancikli, Z.A. Synthesis and evaluation of naphthalene-based thiosemicarbazone derivatives as new anticancer agents against LNCaP prostate cancer cells. J. Enzyme. Inhib. Med. Chem. 2016, 31, 410–416. [Google Scholar] [CrossRef] [PubMed][Green Version]
- Xu, Y.X.; Zeng, M.L.; Yu, D.; Ren, J.; Li, F.; Zheng, A.; Wang, Y.P.; Chen, C.; Tao, Z.Z. In vitro assessment of the role of DpC in the treatment of head and neck squamous cell carcinoma. Oncol. Lett. 2018, 15, 7999–8004. [Google Scholar] [CrossRef]
- Kunos, C.A.; Waggoner, S.; von Gruenigen, V.; Eldermire, E.; Pink, J.; Dowlati, A.; Kinsella, T.J. Phase I trial of pelvic radiation, weekly cisplatin, and 3-aminopyridine-2-carboxaldehyde thiosemicarbazone (3-AP, NSC #663249) for locally advanced cervical cancer. Clin. Cancer Res. 2010, 16, 1298–1306. [Google Scholar] [PubMed]
- Synnott, N.C.; O’Connell, D.; Crown, J.; Duffy, M.J. COTI-2 reactivates mutant p53 and inhibits growth of triple-negative breast cancer cells. Breast Cancer Res. Treat. 2020, 179, 47–56. [Google Scholar] [CrossRef]
- Traynor, A.M.; Lee, J.W.; Bayer, G.K.; Tate, J.M.; Thomas, S.P.; Mazurczak, M.; Graham, D.L.; Kolesar, J.M.; Schiller, J.H. A phase II trial of triapine (NSC# 663249) and gemcitabine as second line treatment of advanced non-small cell lung cancer: Eastern Cooperative Oncology Group Study 1503. Invest. New Drugs 2010, 28, 91–97. [Google Scholar]
- Bu, M.; Yang, B.B.; Hu, L. Natural Endoperoxides as Drug Lead Compounds. Curr. Med. Chem. 2016, 23, 383–405. [Google Scholar] [CrossRef] [PubMed]
- Han, Y.L.; Lin, Y.; Wang, Y.M.; Wang, H.J.; Li, H.L.; Wang, J.; Ma, Y.K.; Bu, M. Synthesis and cytotoxic evaluation of steroidal endoperoxide derivatives with hydrazide side chain as anticancer agents. Heterocycles 2020, 100, 790–801. [Google Scholar]
- Wang, H.J.; Bu, M.; Wang, J.; Liu, L.; Zhang, S. Synthesis and biological evaluation of novel steroidal 5α,8α-endoperoxide derivatives with aromatic hydrazone side chain as potential anticancer agents. Russ. J. Bioorg. Chem. 2019, 45, 585–590. [Google Scholar] [CrossRef]
- Ma, L.; Wang, H.; Wang, J.; Liu, L.; Zhang, S.; Bu, M. Novel steroidal 5α,8α-endoperoxide derivatives with semicarbazone/thiosemicarbazone side-chain as apoptotic inducers through an intrinsic apoptosis pathway: Design, synthesis and biological studies. Molecules 2020, 25, 1209. [Google Scholar] [CrossRef]
- Li, H.; Wang, H.; Wang, J.; Lin, Y.; Ma, Y.; Bu, M. Design, synthesis and biological evaluation of novel 5α, 8α-endoperoxide steroidal derivatives with hybrid side chain as anticancer agents. Steroids 2020, 153, 108471. [Google Scholar] [CrossRef]
- Zhang, J.; Wang, X.; Yang, J.; Guo, L.; Wang, X.; Song, B.; Dong, W.; Wang, W. Novel diosgenin derivatives containing 1,3,4-oxadiazole/thiadiazole moieties as potential antitumor agents: Design, synthesis and cytotoxic evaluation. Eur. J. Med. Chem. 2020, 186, 111897. [Google Scholar] [CrossRef]
- Kumar, P.; Nagarajan, A.; Uchil, P.D. Analysis of cell viability by the MTT assay. Cold Spring Harb. Protoc. 2018, 2018, pdb-prot095505. [Google Scholar] [CrossRef]
- Liu, K.; Liu, P.C.; Liu, R.; Wu, X. Dual AO/EB staining to detect apoptosis in osteosarcoma cells compared with flow cytometry. Med. Sci. Monit. Basic Res. 2015, 21, 15–20. [Google Scholar]
- Kasibhatla, S.; Amarante-Mendes, G.P.; Finucane, D.; Brunner, T.; Bossy-Wetzel, E.; Green, D.R. Acridine orange/ethidium bromide (AO/EB) staining to detect apoptosis. CSH Protoc. 2006, 2006, pdb-prot4493. [Google Scholar] [CrossRef]
- Darzynkiewicz, Z.; Bedner, E.; Smolewski, P. Flow cytometry in analysis of cell cycle and apoptosis. Semin. Hematol. 2001, 38, 179–193. [Google Scholar] [CrossRef]
- Riccardi, C.; Nicoletti, I. Analysis of apoptosis by propidium iodide staining and flow cytometry. Nat. Protoc. 2006, 1, 1458–1461. [Google Scholar] [CrossRef] [PubMed]
- Sakamuru, S.; Attene-Ramos, M.S.; Xia, M. Mitochondrial membrane potential assay. Methods Mol. Biol. 2016, 1473, 17–22. [Google Scholar] [PubMed]
- Puleston, D. Detection of mitochondrial mass, damage, and reactive oxygen species by flow cytometry. Cold Spring Harb. Protoc. 2015, 2015, pdb-prot086298. [Google Scholar] [CrossRef] [PubMed]
- Kurien, B.T.; Scofield, R.H. Western blotting. Methods 2006, 38, 283–293. [Google Scholar] [CrossRef] [PubMed]
- Eslami, A.; Lujan, J. Western blotting: Sample preparation to detection. J. Vis. Exp. 2010, 44, e2359. [Google Scholar] [CrossRef]











| Compound | X b | R | IC50 (μM) a | ||||
|---|---|---|---|---|---|---|---|
| HepG2 | MCF-7 | A549 | HCT-116 | GES-1 | |||
| 7a | O | 4-Cl | 11.64 ± 0.62 | 8.57 ± 0.60 | 18.07 ± 1.03 | 34.80 ± 1.25 | 70.82 ± 2.12 |
| 7b | O | 4-CN | 15.43 ± 0.75 | 7.88 ± 0.54 | 25.14 ± 1.01 | 51.06 ± 2.52 | 85.36 ± 3.37 |
| 7c | O | 4-OCH3 | 46.70 ± 1.68 | 44.35 ± 2.26 | >80 | >80 | - |
| 7d | O | 4-CF3 | 12.60 ± 0.67 | 15.33 ± 1.23 | 29.42 ± 1.12 | 28.60 ± 1.36 | 168.32 ± 4.59 |
| 7e | O | 3-CF3 | 8.93 ± 0.63 | 5.96 ± 0.80 | 43.77 ± 1.44 | 26.14 ± 1.17 | 196.18 ± 5.82 |
| 7f | O | 3-CH3 | 49.02 ± 1.96 | 26.82 ± 1.34 | >80 | >80 | - |
| 7g | O | 3-CF3-4-Cl | 11.04 ± 1.02 | 7.06 ± 0.44 | 33.64 ± 1.15 | 13.46 ± 0.74 | 144.63 ± 3.88 |
| 8a | S | 4-F | 12.42± 0.48 | 9.80 ± 0.58 | 24.05 ± 1.11 | 32.53 ± 1.26 | 176.62 ± 5.02 |
| 8b | S | 4-Cl | 8.40 ± 0.34 | 7.79 ± 0.45 | 18.66 ± 0.98 | 49.51 ± 1.44 | 203.32 ± 5.74 |
| 8c | S | 4-CH3 | 40.25 ± 1.28 | 28.56 ± 1.06 | >80 | 46.31 ± 1.77 | - |
| 8d | S | 4-OCH3 | 32.50 ± 1.17 | 38.37 ± 1.58 | >80 | >80 | - |
| 8e | S | 4-t-Bu | >80 | 46.36 ± 3.42 | >80 | >80 | - |
| 8f | S | 3-Cl | 6.87 ± 0.76 | 5.86 ± 0.61 | 10.36 ± 0.74 | 24.65 ± 0.90 | 214.60 ± 6.28 |
| 8g | S | 3,4-di-Cl | 8.74 ± 0.48 | 11.30 ± 1.07 | 16.85 ± 1.05 | 20.15 ± 0.87 | 174.50 ± 5.14 |
| 1 | 20.42± 1.22 | 19.43 ± 0.93 | 27.06 ± 1.20 | 30.02 ± 1.22 | 108.07 ± 4.34 | ||
| Mitomycin | 27.42 ± 1.24 | 15.88 ± 1.03 | 12.84 ± 1.08 | 11.36 ± 0.87 | 20.54 ± 1.02 | ||
Publisher’s Note: MDPI stays neutral with regard to jurisdictional claims in published maps and institutional affiliations. |
© 2021 by the authors. Licensee MDPI, Basel, Switzerland. This article is an open access article distributed under the terms and conditions of the Creative Commons Attribution (CC BY) license (https://creativecommons.org/licenses/by/4.0/).
Share and Cite
Wang, J.; Wu, J.; Han, Y.; Zhang, J.; Lin, Y.; Wang, H.; Wang, J.; Liu, J.; Bu, M. Design and Synthesis of Novel Betulin Derivatives Containing Thio-/Semicarbazone Moieties as Apoptotic Inducers through Mitochindria-Related Pathways. Molecules 2021, 26, 6356. https://doi.org/10.3390/molecules26216356
Wang J, Wu J, Han Y, Zhang J, Lin Y, Wang H, Wang J, Liu J, Bu M. Design and Synthesis of Novel Betulin Derivatives Containing Thio-/Semicarbazone Moieties as Apoptotic Inducers through Mitochindria-Related Pathways. Molecules. 2021; 26(21):6356. https://doi.org/10.3390/molecules26216356
Chicago/Turabian StyleWang, Jiafeng, Jiale Wu, Yinglong Han, Jie Zhang, Yu Lin, Haijun Wang, Jing Wang, Jicheng Liu, and Ming Bu. 2021. "Design and Synthesis of Novel Betulin Derivatives Containing Thio-/Semicarbazone Moieties as Apoptotic Inducers through Mitochindria-Related Pathways" Molecules 26, no. 21: 6356. https://doi.org/10.3390/molecules26216356
APA StyleWang, J., Wu, J., Han, Y., Zhang, J., Lin, Y., Wang, H., Wang, J., Liu, J., & Bu, M. (2021). Design and Synthesis of Novel Betulin Derivatives Containing Thio-/Semicarbazone Moieties as Apoptotic Inducers through Mitochindria-Related Pathways. Molecules, 26(21), 6356. https://doi.org/10.3390/molecules26216356

