Design, Synthesis, and Biological Evaluation of Desmuramyl Dipeptides Modified by Adamantyl-1,2,3-triazole
Abstract
:1. Introduction
2. Results
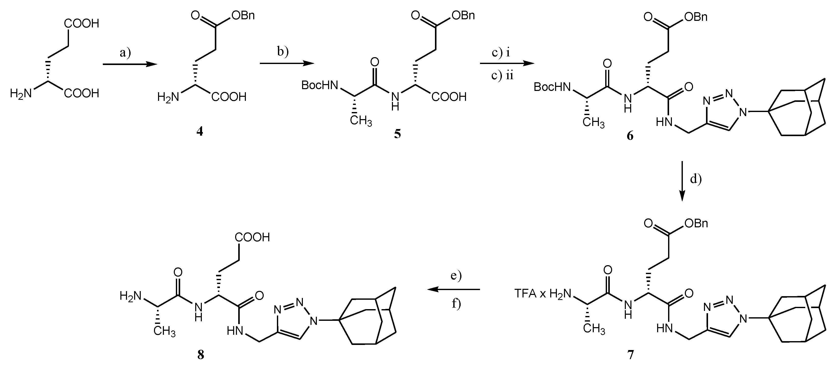
2.1. Chemistry
2.2. Evaluation of Immunostimulant Activity
3. Discussion
4. Materials and Methods
4.1. Materials
4.2. Synthesis
4.2.1. tert-Butyl-((1-(adamantan-1-yl)-1H-1,2,3-triazol-4-yl)-methyl)-carbamate (2)
4.2.2. [1-(Adamantan-1-yl)-1H-1,2,3-triazol-4-yl]methylammonium trifluoroacetate (3)
4.2.3. Benzyl (4R)-4-{[1-(adamantan-1-yl)-1H-1,2,3-triazol-4-yl]methylaminocarbonyl}-4-[(2S)-2-(tert-butyloxycarbonylamino)propanamido]butanoate (6)
4.2.4. (1S)-1-{[N-(1R)-{3-Benzyloxycarbonyl-1-[1-(adamantan-1-yl)-1H-1,2,3-triazol-4-yl]methylaminocarbonyl}propan-1-yl]aminocarbonyl}ethylammonium trifluoroacetate (7)
4.2.5. (1S)-1(4R)-4-{N-[1-(Adamantan-1-yl)-1H-1,2,3-triazol-4-yl]methylcarbamoyl}-4-[((2S)-2-amino)propanamido]butanoic acid (8)
4.2.6. tert-Butyl-2-(2,3,4,6-tetra-O-benzyl-α-d-mannopyranosyloxy)acetate (11)
4.2.7. 2-(2,3,4,6-Tetra-O-benzyl-α-D-mannopyranosyloxy)acetic acid (12)
4.2.8. Benzyl (4R)-4-{N-[(1-(adamantan-1-yl)-1H-1,2,3-triazol-4-yl]methylcarbamoyl}-4-{(2S)-2-[(2,3,4,6-tetra-O-benzyl-α-D-mannopyranosyloxy)ethanamido]propanamido}butanoate (13)
4.2.9. (4R)-4-{N-[(1-(Adamantan-1-yl)-1H-1,2,3-triazol-4-yl]methylcarbamoyl}-4-{(2S)-2-[(α-D-mannopyranosyloxy)ethanamido]propanamido}butanoic acid (14)
4.3. Experiments In Vivo
4.4. Enzyme Immunoassays
4.5. Statistics
5. Conclusions
Supplementary Materials
Author Contributions
Funding
Institutional Review Board Statement
Data Availability Statement
Acknowledgments
Conflicts of Interest
Sample Availability
References
- Awate, S.; Babiuk, L.A.B.; Mutwiri, G. Mechanisms of Action of Adjuvants. Front. Immunol. 2013, 4, 114. [Google Scholar] [CrossRef] [Green Version]
- Nielsen, A.E.; Hantho, J.D.; Mancini, R.J. Synthetic Agonists of NOD-like, RIG-I-like, and C-Type Lectin Receptors for Probing the Inflammatory Immune Response. Future Med. Chem. 2017, 9, 1345–1360. [Google Scholar] [CrossRef]
- Traub, S.; von Aulock, S.; Hartung, T.; Hermann, C. Invited Review: MDP and Other Muropeptides—Direct and Synergistic Effects on the Immune System. J. Endotoxin Res. 2006, 12, 69–85. [Google Scholar] [CrossRef]
- Kingeter, L.M.; Lin, X. C-Type Lectin Receptor-Induced NF-ΚB Activation in Innate Immune and Inflammatory Responses. Cell. Mol. Immunol. 2012, 9, 105–112. [Google Scholar] [CrossRef]
- Maekawa, S.; Ohto, U.; Shibata, T.; Miyake, K.; Shimizu, T. Crystal Structure of NOD2 and Its Implications in Human Disease. Nat. Commun. 2016, 7, 11813. [Google Scholar] [CrossRef] [Green Version]
- Gobec, M.; Tomašič, T.; Štimac, A.; Frkanec, R.; Trontelj, J.; Anderluh, M.; Mlinarič-Raščan, I.; Jakopin, Ž. Discovery of Nanomolar Desmuramylpeptide Agonists of the Innate Immune Receptor Nucleotide-Binding Oligomerization Domain-Containing Protein 2 (NOD2) Possessing Immunostimulatory Properties. J. Med. Chem. 2018, 61, 2707–2724. [Google Scholar] [CrossRef]
- Khan, F.-A.; Ulanova, M.; Bai, B.; Yalamati, D.; Jiang, Z.-H. Design, Synthesis and Immunological Evaluation of Novel Amphiphilic Desmuramyl Peptides. Eur. J. Med. Chem. 2017, 141, 26–36. [Google Scholar] [CrossRef]
- Ribić, R.; Habjanec, L.; Vranešić, B.; Frkanec, R.; Tomić, S. Synthesis and Immunostimulating Properties of Novel Adamant-1-yl Tripeptides. Chem. Biodivers. 2012, 9, 777–788. [Google Scholar] [CrossRef]
- Willems, M.M.J.H.P.; Zom, G.G.; Meeuwenoord, N.; Khan, S.; Ossendorp, F.; Overkleeft, H.S.; van der Marel, G.A.; Filippov, D.V.; Codée, J.D.C. Lipophilic Muramyl Dipeptide–Antigen Conjugates as Immunostimulating Agents. ChemMedChem 2016, 11, 190–198. [Google Scholar] [CrossRef]
- Ribić, R.; Habjanec, L.; Frkanec, R.; Vranešić, B.; Tomić, S. Influence of Mannosylation on Immunostimulating Activity of Adamant-1-yl Tripeptide. Chem. Biodivers. 2012, 9, 1373–1381. [Google Scholar] [CrossRef]
- Ribić, R.; Stojković, R.; Milković, L.; Antica, M.; Cigler, M.; Tomić, S. Design, Synthesis and Biological Evaluation of Immunostimulating Mannosylated Desmuramyl Peptides. Beilstein J. Org. Chem. 2019, 15, 1805–1814. [Google Scholar] [CrossRef]
- Geijtenbeek, T.B.H.; Gringhuis, S.I. Signalling through C-Type Lectin Receptors: Shaping Immune Responses. Nat. Rev. Immunol. 2009, 9, 465–479. [Google Scholar] [CrossRef]
- Gazi, U.; Martinez-Pomares, L. Influence of the Mannose Receptor in Host Immune Responses. Immunobiology 2009, 214, 554–561. [Google Scholar] [CrossRef] [PubMed]
- Maršavelski, A.; Paurević, M.; Ribić, R. Mannosylated Adamantane-Containing Desmuramyl Peptide Recognition by the NOD2 Receptor: A Molecular Dynamics Study. Org. Biomol. Chem. 2021, 19, 7001–7012. [Google Scholar] [CrossRef]
- Sasaki, T.; Eguchi, S.; Katada, T.; Hiroaki, O. Synthesis of Adamantane Derivatives. 37. A Convenient and Efficient Synthesis of 1-Azidoadamantane and Related Bridgehead Azides, and Some of Their Reactions. J. Org. Chem. 1977, 42, 3741–3743. [Google Scholar] [CrossRef]
- Probst, G.D.; Bowers, S.; Sealy, J.M.; Stupi, B.; Dressen, D.; Jagodzinska, B.M.; Aquino, J.; Gailunas, A.; Truong, A.P.; Tso, L.; et al. Design and Synthesis of Hydroxyethylamine (HEA) BACE-1 Inhibitors: Structure–Activity Relationship of the Aryl Region. Bioorg. Med. Chem. Lett. 2010, 20, 6034–6039. [Google Scholar] [CrossRef]
- Liu, G.; Zhao, N.; Ma, Y. Chemical Synthesis and Anti-Tumor and Anti-Metastatic Effects of Dual Functional Conjugate. U.S. Patent No. 9,085,605, 21 July 2015. [Google Scholar]
- Koto, S.; Morishima, N.; Miyata, Y.; Zen, S. Preparation of 2,3,4,6-Tetra-O-Benzyl-D-Mannose. Bull. Chem. Soc. Jpn. 1976, 49, 2639–2640. [Google Scholar] [CrossRef] [Green Version]
- Habjanec, L.; Halassy, B.; Tomašić, J. Comparative Study of Structurally Related Peptidoglycan Monomer and Muramyl Dipeptide on Humoral IgG Immune Response to Ovalbumin in Mouse. Int. Immunopharmacol. 2010, 10, 751–759. [Google Scholar] [CrossRef] [PubMed]
- Gobec, M.; Mlinarič-Raščan, I.; Dolenc, M.S.; Jakopin, Ž. Structural Requirements of Acylated Gly-l-Ala-d-Glu Analogs for Activation of the Innate Immune Receptor NOD2. Eur. J. Med. Chem. 2016, 116, 1–12. [Google Scholar] [CrossRef]
- Cheng, W.-C.; You, T.-Y.; Teo, Z.-Z.; Sayyad, A.A.; Maharana, J.; Guo, C.-W.; Liang, P.-H.; Lin, C.-S.; Meng, F.-C. Further Insights on Structural Modifications of Muramyl Dipeptides to Study the Human NOD2 Stimulating Activity. Chem.—Asian J. 2020, 15, 3836–3844. [Google Scholar] [CrossRef] [PubMed]
- Mifamurtide: CGP 19835, CGP 19835A, L-MTP-PE, Liposomal MTP-PE, MLV 19835A, MTP-PE, Muramyltripeptide Phosphatidylethanolamine. Drugs RD 2008, 9, 131–135. [CrossRef] [PubMed]
- Štimac, A.; Šegota, S.; Dutour Sikirić, M.; Ribić, R.; Frkanec, L.; Svetličić, V.; Tomić, S.; Vranešić, B.; Frkanec, R. Surface Modified Liposomes by Mannosylated Conjugates Anchored via the Adamantyl Moiety in the Lipid Bilayer. Biochim. Biophys. Acta BBA—Biomembr. 2012, 1818, 2252–2259. [Google Scholar] [CrossRef] [Green Version]
- Štimac, A.; Šekutor, M.; Mlinarić-Majerski, K.; Frkanec, L.; Frkanec, R. Adamantane in Drug Delivery Systems and Surface Recognition. Mol. J. Synth. Chem. Nat. Prod. Chem. 2017, 22, 297. [Google Scholar] [CrossRef] [Green Version]
- Ribić, R.; Manček-Keber, M.; Chain, F.; Sinnaeve, D.; Martins, J.C.; Jerala, R.; Tomić, S.; Fehér, K. Targeted Delivery of Adamantylated Peptidoglycan Immunomodulators in Lipid Nanocarriers: NMR Shows That Cargo Fragments Are Available on the Surface. J. Phys. Chem. B 2020, 124, 4132–4145. [Google Scholar] [CrossRef] [PubMed]
- Manček-Keber, M.; Ribić, R.; Chain, F.; Sinnaeve, D.; Martins, J.C.; Jerala, R.; Tomić, S.; Fehér, K. Adamantane Containing Peptidoglycan Fragments Enhance RANTES and IL-6 Production in Lipopolysaccharide-Induced Macrophages. Molecules 2020, 25, 3707. [Google Scholar] [CrossRef]
- Magalhaes, J.G.; Fritz, J.H.; Bourhis, L.L.; Sellge, G.; Travassos, L.H.; Selvanantham, T.; Girardin, S.E.; Gommerman, J.L.; Philpott, D.J. Nod2-Dependent Th2 Polarization of Antigen-Specific Immunity. J. Immunol. 2008, 181, 7925–7935. [Google Scholar] [CrossRef] [Green Version]
- Tada, H.; Aiba, S.; Shibata, K.-I.; Ohteki, T.; Takada, H. Synergistic Effect of Nod1 and Nod2 Agonists with Toll-Like Receptor Agonists on Human Dendritic Cells To Generate Interleukin-12 and T Helper Type 1 Cells. Infect. Immun. 2005, 73, 7967–7976. [Google Scholar] [CrossRef] [Green Version]
- Tukhvatulin, A.I.; Dzharullaeva, A.S.; Tukhvatulina, N.M.; Shcheblyakov, D.V.; Shmarov, M.M.; Dolzhikova, I.V.; Stanhope-Baker, P.; Naroditsky, B.S.; Gudkov, A.V.; Logunov, D.Y.; et al. Powerful Complex Immunoadjuvant Based on Synergistic Effect of Combined TLR4 and NOD2 Activation Significantly Enhances Magnitude of Humoral and Cellular Adaptive Immune Responses. PLoS ONE 2016, 11, e0155650. [Google Scholar] [CrossRef]
- Roychowdhury, A.; Wolfert, M.A.; Boons, G.-J. Synthesis and Proinflammatory Properties of Muramyl Tripeptides Containing Lysine and Diaminopimelic Acid Moieties. ChemBioChem 2005, 6, 2088–2097. [Google Scholar] [CrossRef]
- Tom, J.K.; Albin, T.J.; Manna, S.; Moser, B.A.; Steinhardt, R.C.; Esser-Kahn, A.P. Applications of Immunomodulatory Immune Synergies to Adjuvant Discovery and Vaccine Development. Trends Biotechnol. 2018, 37, 373–388. [Google Scholar] [CrossRef]
- Habjanec, L.; Frkanec, R.; Halassy, B.; Tomašić, J. Effect of Liposomal Formulations and Immunostimulating Peptidoglycan Monomer (PGM) on the Immune Reaction to Ovalbumin in Mice. J. Liposome Res. 2006, 16, 1–16. [Google Scholar] [CrossRef]







Publisher’s Note: MDPI stays neutral with regard to jurisdictional claims in published maps and institutional affiliations. |
© 2021 by the authors. Licensee MDPI, Basel, Switzerland. This article is an open access article distributed under the terms and conditions of the Creative Commons Attribution (CC BY) license (https://creativecommons.org/licenses/by/4.0/).
Share and Cite
Peroković, V.P.; Car, Ž.; Draženović, J.; Stojković, R.; Milković, L.; Antica, M.; Škalamera, Đ.; Tomić, S.; Ribić, R. Design, Synthesis, and Biological Evaluation of Desmuramyl Dipeptides Modified by Adamantyl-1,2,3-triazole. Molecules 2021, 26, 6352. https://doi.org/10.3390/molecules26216352
Peroković VP, Car Ž, Draženović J, Stojković R, Milković L, Antica M, Škalamera Đ, Tomić S, Ribić R. Design, Synthesis, and Biological Evaluation of Desmuramyl Dipeptides Modified by Adamantyl-1,2,3-triazole. Molecules. 2021; 26(21):6352. https://doi.org/10.3390/molecules26216352
Chicago/Turabian StylePeroković, Vesna Petrović, Željka Car, Josip Draženović, Ranko Stojković, Lidija Milković, Mariastefania Antica, Đani Škalamera, Srđanka Tomić, and Rosana Ribić. 2021. "Design, Synthesis, and Biological Evaluation of Desmuramyl Dipeptides Modified by Adamantyl-1,2,3-triazole" Molecules 26, no. 21: 6352. https://doi.org/10.3390/molecules26216352
APA StylePeroković, V. P., Car, Ž., Draženović, J., Stojković, R., Milković, L., Antica, M., Škalamera, Đ., Tomić, S., & Ribić, R. (2021). Design, Synthesis, and Biological Evaluation of Desmuramyl Dipeptides Modified by Adamantyl-1,2,3-triazole. Molecules, 26(21), 6352. https://doi.org/10.3390/molecules26216352

