Next Article in Journal
Semisynthetic Derivatives of Selected Amaryllidaceae Alkaloids as a New Class of Antimycobacterial Agents
Next Article in Special Issue
A New Class of Uracil–DNA Glycosylase Inhibitors Active against Human and Vaccinia Virus Enzyme
Previous Article in Journal
Photochemistry of Thymine in Protic Polar Nanomeric Droplets Using Electrostatic Embeding TD-DFT/MM
 
 
Font Type:
Arial Georgia Verdana
Font Size:
Aa Aa Aa
Line Spacing:
Column Width:
Background:
Review

Biginelli Reaction Mediated Synthesis of Antimicrobial Pyrimidine Derivatives and Their Therapeutic Properties

Department of Organic Chemistry, Biochemistry and Catalysis, Faculty of Chemistry, University of Bucharest, Soseaua Panduri, 030018 Bucharest, Romania
Molecules 2021, 26(19), 6022; https://doi.org/10.3390/molecules26196022
Submission received: 15 September 2021 / Revised: 25 September 2021 / Accepted: 30 September 2021 / Published: 4 October 2021

Abstract

:
Antimicrobial resistance was one of the top priorities for global public health before the start of the 2019 coronavirus pandemic (COVID-19). Moreover, in this changing medical landscape due to COVID-19, finding new organic structures with antimicrobial and antiviral properties is a priority in current research. The Biginelli synthesis that mediates the production of pyrimidine compounds has been intensively studied in recent decades, especially due to the therapeutic properties of the resulting compounds, such as calcium channel blockers, anticancer, antiviral, antimicrobial, anti-inflammatory or antioxidant compounds. In this review we aim to review the Biginelli syntheses reported recently in the literature that mediates the synthesis of antimicrobial compounds, the spectrum of their medicinal properties, and the structure–activity relationship in the studied compounds.

1. Introduction

Twelve years after 1881, the year in which the German Arthur Rudolf Hantzsch reported the multicomponent synthesis of dihydropyridine [1], in 1893, the Italian chemist Pietro Biginelli published the synthesis of 3,4-dihydropyrimidin-2(1H)-ones, by a simple one-pot condensation reaction of an aromatic aldehyde, urea, and ethyl acetoacetate in ethanol solution (Scheme 1) [2,3]. Both reactions proved to be “key methods” for the synthesis of pyridine and pyrimidine derivatives, respectively, which were greatly developed in the following period, especially due to the applications of the synthesized compounds. The Biginelli reaction has been intensively studied in the last two decades, especially due to the applications of synthesized dihydropyrimidinone compounds at the beginning, especially as calcium channel blockers of the nifedipine-type [4], and then as antitumor [5,6,7,8], antibacterial, antiviral [9,10], anti-inflammatory [11,12], analgesic [13], anti-Alzheimer [14], or antioxidant [15] compounds.
The synthetic method initially reported by Biginelli has undergone changes, such as the “Atwal-modification” [4,5], and most often, the most efficient catalyst has been sought, which would lead to a higher product yield, milder reaction conditions, and efficient catalyst recovery [16,17]. In the last decade, several improved methods were reported for the Biginelli synthesis of these compounds, including solvent free synthesis [18], ultrasound radiation [19], microwave irradiation [20], visible light irradiation [21], or using a biocatalyst [22]. Further methods include using various catalysts, such as Bronsted acids, including H3BO3 [15], HCOOH [21], p-TsOH-H2O [23,24], imidazole-1–yl-acetic acid [25], and L-(+)-tartaric acid-dimethylurea [26]; or Lewis acids, including LiClO4, Lal3, InCl3, BiCl3, Bi(OTf)3, Mn(OAc)3, Cu(OTf)2, CuCl2, FeCl3, ZrCl4, SnCl2, [27,28,29,30,31,32], Sr(OTf)2 [33], VCl3 [34], TaBr5 [35], Ce(NO3)3·6H2O [36], ZrO2/SO4 2− [37], silica-chloride (SiO2-Cl) [38], Sm(ClO4)3 [39], Y(NO3)3·6H2O [40], CeCl7H2O [41], Ce(NH4)2(NO3)6 (CAN) [42], Fe(OTs)6H2O [43], Ca(HSO4)2, Zn(HSO4)2 [44], SnCl2/nano SiO2 [45], Cu(OAc)2 [46], copper zirconium phosphate Cu(OH)2Zr(HPO4)2 [47], Sc(OTf)3, Yb(OTf)3, and Zn(OTf)2 [48]. Other catalysts of the Biginelli reaction reported in the literature include co-phthalocyanines [49], NaHSO4 [50], zeolites [51,52], clays [53,54,55], organic polymers [56,57], organic–inorganic mesoporous materials [58], ionic liquids [59,60,61], etc. [62,63,64]. Asymmetric Biginelli syntheses have also been developed due to the special importance of the pharmaceutical properties of optically active dihydropyrimidinone compounds [65,66,67]. For Biginelli synthesis, the literature accepts three plausible mechanisms: through the formation of the imine intermediate, through the formation of the enamine intermediate, and through the formation of the Knoevanagel intermediate [66]. Despite this, it can be assumed that the Biginelli reaction is, in fact, a multicomponent reaction catalyzed by urea through the generation of iminium species, energetically favored route [32,66].
The need to find new compounds with remarkable antimicrobial activities and with a wide range of other therapeutic activities has been stimulated in the last two years by the fact that both patients with severe cases and patients with moderate cases of COVID-19, with or without pneumonia, they received treatments with various antibiotics [68,69]. Therefore, given the various dihydropyrimidinone compounds synthesized through the Biginelli reaction, as well as their various biological properties (Figure 1), in the present study, we aim to present the Biginelli syntheses that led to compounds with antimicrobial properties as well as their therapeutic properties. The database search methodology used in this review was the use of keywords, which can be found in the title, such as Biginelli reaction, pyrimidine derivatives, and Biginelli therapeutic properties, in different websites, such as PubMed, MDPI, Science Direct, Springer, The Royal Society Chemistry, ACS Publications, and Taylor & Francis. The selection of scientific articles for the last ten years was made according to the novelty brought in the Biginelli synthesis, the subsequent synthesis scheme, as well as the therapeutic properties of the reported compounds. In general, articles from the last ten years have been selected.

2. Biginelli Reaction Mediated Synthesis of Antimicrobial Pyrimidine Derivatives

Kidwai et al. developed a convenient synthetic route for the preparation of quinazolines 2a2h by heating equimolar amounts of aldehyde 1a1d, 5,5-dimethyl-1,3-cyclohexanedione (dimedone), and urea/thiourea in the absence of solvent and catalyst, under microwave irradiation (Scheme 2) [70]. All compounds 2a2h showed antibacterial activity against Staphylococcus aureus ATCC 25923, Escherichia coli ATCC 25922 and Pseudomonas aeruginosa ATCC 27853 in the concentration range of 0.564 μg mL−1 when tested by broth microdilution MIC method using norfloxacin as the standard drug.
Deshmukh et al. reported an efficient one step synthesis of new 2-amino-5-cyano-6-hydroxy-4-arylpyrimidines 3a3l by three component Biginelli condensation of aromatic aldehydes, ethyl cyanoacetate, and guanidine hydrochloride in alkaline ethanol (Scheme 3) [71]. All synthesized compounds showed good to excellent activity against tested Gram-positive (S. aureus) and Gram-negative (E. coli) bacteria, but 2-amino-4-hydroxy-6-phenylpyrimidine-5-carbonitrile 3d was found to be selectively active against Gram-positive bacteria.
Rajanarendar et al. reported Biginelli one-pot condensation of 2-chlorobenzaldehyde, ethyl acetoacetate, and 1-(5-methylisoxazol-3-yl)-3-phenyl thioureas in presence of 10 mol% of ceric ammonium nitrite (CAN) in methanol at 80 °C for 3 h, to obtain isoxazolyl-dihydropyrimidine-thione carboxylates 4a4h in 80–90% yields. On heating compound 4 with 3-amino-5-methylisoxazole 5 for 10 h in diphenyl ether at 200 °C under nitrogen atmosphere, new cyclization occurred, yielding 2-thioxo-2,3,6,10b-tetrahydro-1H-pyrimido[5,4-c]quinolin-5-one compounds 6a6h (Scheme 4) [72]. Compounds 6a6h exhibited moderate to good antibacterial activity against Bacillus subtilis MTCC 441, Bacillus sphaericus MTCC 511, Staphylococcus aureus MTCC 96, Pseudomonas aeruginosa MTCC 741, Klebsiella aerogenes MTCC 39, and Chromobacterium violaceum MTCC 2656, and are more active than the standard drug Ciprofloxacin. The antifungal activity of compounds 6a6h showed that they are significantly toxic towards all the five tested pathogenic fungi, Aspergillus niger MTCC 282, Chrysosporium tropicum MTCC 2821, Rhizopus oryzae MTCC 262, Fusarium moniliformae MTCC 1848, and Curvularia lunata MTCC 2030, and they are lethal even at a 100 μg mL−1 concentration. However, compounds 6b and 6c exhibited high activity, and they inhibited the growth of fungi to a remarkable extent, which correlated with the presence of methyl and methoxy substituents on the para position of the benzene ring.
Chitra et al. reported the synthesis of Biginelli compounds 7a7h by a one pot cyclocondensation of aldehydes, isopropyl acetoacetate, and urea/thiourea in ethanol, using strontium chloride hexahydrate as the catalyst (Scheme 5) [73]. Generally, the compounds showed moderate-to-good antibacterial activity against Staphylococcus aureus, Escherichia coli, Klebsiella pneumoniae, Pseudomonas aeruginosa, and Salmonella typhi. Only 7f, which has a nitro group at the para position, and 7g, which has a fluorine group in the para position, are more active than the reference drug Ciprofloxacin. Additionally, the antifungal activity against Candida albicans, Aspergillus flavus, Rhizopus, and Mucor of compounds 7f and 7g are better than of the standard drug Amphotericin B against all the tested organisms. It is also noted that compounds 7b7g, which have substituents in the 4-aryl group, are more active than the parent compound 7a against all the tested fungi.
Dabholkar et al. reported the one-step synthesis of dihydropyrimidinones 8a8d and 9a9d, using a classic Biginelli synthesis, from thiobarbituric acid, aromatic aldehyde, urea/thiourea in ethanol, and a catalytic amount of HCl (Scheme 6) [74]. All synthesized compounds showed good antibacterial activity against Staphyllococcus aureus ATTC-27853, Corynebacterium diphtheria ATTC-11913, Proteus aeruginosa (recultured) and Escherichia coli ATTC-25922 bacterial strains by the disc diffusion method, considering Ampiciline trihydrate as the standard drug.
Akhaja et al. proposed a method for the synthesis of 1,3-dihydro-2H-indol-2-ones derivatives 14a14l in 4 steps: (1) Biginelli synthesis on CaCl2 catalyst (compounds 10), (2) synthesis of hydrazides 11, by treatment of Biginelli compounds with hydrazine hydrate, (3) cyclization to 1,3,4-thiadiazole 12 in concentrated H2SO4 medium, and (4) condensation with various 5-substituted indoline-2,3-dione 13, in acidic medium, to afford the final compounds 14 (Scheme 7) [75]. Antibacterial activity of all synthesized compounds was screened against Escherichia coli MTCC-443, Pseudomonas aeruginosa MTCC-1688, Klebsiella pneumonia MTCC-109, Salmonella typhi MTCC-98, Staphylococcus aureus MTCC-96, Staphylococcus pyogenus MTCC-442, and Bacillus subtilis MTCC-441, with Gentamycin, Ampicillin, Chloramphenicol, Ciprofloxacin, and Norfloxacin used as standard antibacterial agents; additionally, antifungal activity was screened against three fungal species, C. albicans MTCC 227, Aspergillus niger MTCC 282, and Aspergillus clavatus MTCC 1323, with Nystatin and Griseofulvin as standard antifungal agents. It was found that compounds 14d and 14j (MIC = 62.5–100 μg mL−1), containing a strong electron withdrawing group (F), exhibit excellent activity against all bacterial strains, while 14b and 14h (with Br) exhibited comparable activity against Gram-positive strains (MIC = 100–250 μg mL−1), and 14c and 14i (with NO2) are highly active against Gram-negative strains (MIC = 100–250 μg mL−1), as compared to standard antibiotic Ampicillin. Additionally, compounds 14d and 14f possessed the highest antifungal activity against all fungal strains (100 μg mL−1). It was established that the order of decrease in antibacterial activity, depending on the substituent present at the 5th position of 1H-indole-2,3-diones, is F > NO2 > Br > Cl > H.
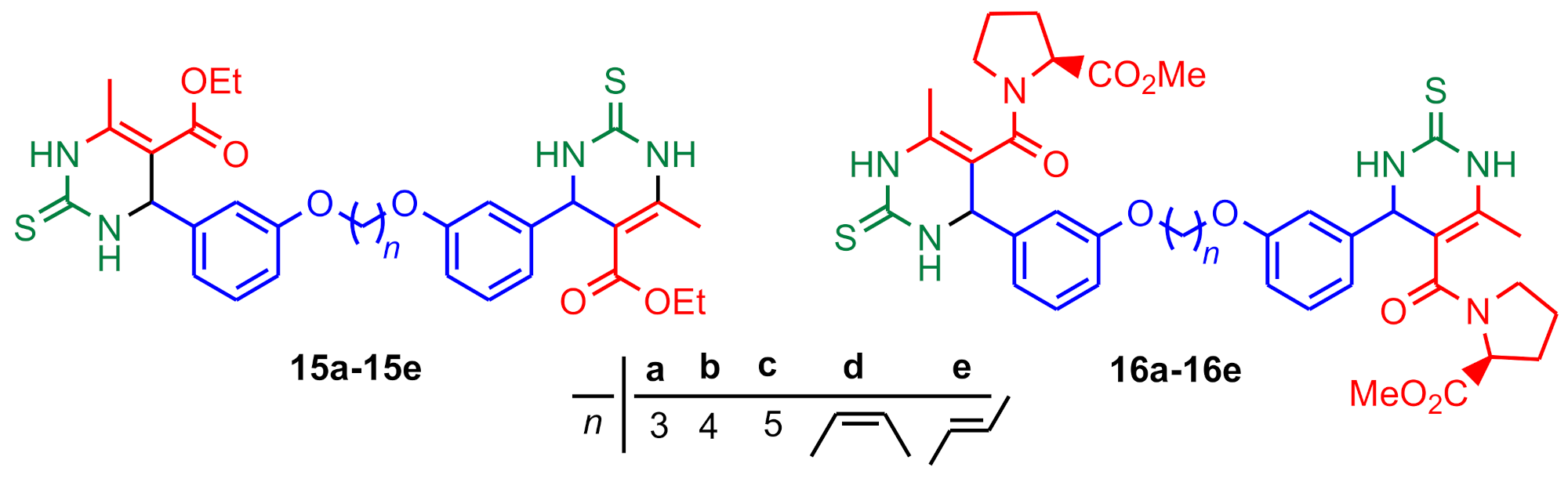
Kamal et al. reported the Biginelli synthesis of some conformationally flexible dimers of monastrol 15a15e and 16a16e, using CeCl3.7H2O as catalyst (Figure 2) [76]. Compounds 15a, 15d, 15e, and 16d exhibited moderate activity against Gram-positive bacteria, such as Staphylococcus aureus, Staphylococcus epidermidis, Bacillus subtilis, and Gram-negative bacteria, including Escherichia coli, Klebsiella pneumoniae, and Pseudomonas aeruginosa.
Kaur et al. reported the synthesis of alkylated indeno[1,2-d] pyrimidine-2-thiones 1726 (ad) in two steps: (i) Biginelli condensation under microwave irradiations to obtain compounds 1726, and (ii) alkylation of the 3,4-dihydropyrimidine-2(1H)-thiones with different reactants (Scheme 8) [77]. It was determined in vitro antibacterial activity of the compounds against seven bacterial strains, such as Bacillus subtilis MTCC 2451, Staphylococcus aureus MTCC 1740, Staphylococcus epidermidis MTCC 435, Escherichia coli MTCC 443, Salmonella typhimurium MTCC 1251, Pseudomonas fluorescence MTCC 103, and Acenetobactor calcoaceticus MTCC 127, by the agar well diffusion method, and minimal inhibition concentration (MIC) was determined. Table 1 lists the compounds with the best antibacterial activity on at least three tested strains. We note that the ethylated compounds “b” are more biologically active.
Kulakov synthesized new 3,4-dihydropyrimidin-2-thiones 28 in two steps: (i) a Biginelli reaction to obtain compounds 27 and (ii) an aminomethylation Mannich reaction to obtain 3,4-dihydropyrimidin-2-thiones grafted with alkaloid cytisine (Scheme 9) [78]. The bioscreening of 28a revealed its pronounced antibacterial activity against the Gram-positive strains S. aureus and B. subtilis, weak activity against Gram-negative strains P. aeruginosa and E. coli, in addition to the fungus C. albicans.
Alam et al. reported the synthesis of compounds 31a31n, using in the first step a Biginelli synthesis to obtain compound 29, from which, by the nucleophilic attack of the hydrazine hydrate, intermediate 30 resulted. Intermediate 30 was condensed with various aldehydes, resulting in final compounds 31 (Scheme 10) [79]. The minimum inhibitory concentrations (MIC) of the compounds with antimicrobial activities are presented in Table 2. Compound 31e, which possesses two chlorine atoms, has the best antimicrobial activity at 12.5 μg mL−1 against all tested strains.
Shah and Patel synthesized new octahydroquinazolinone derivatives, using a modified Biginelli synthesis (Scheme 11) and a Lewis acid, zinc triflate, as catalyst [80]. Compounds 35a35m were screened for their antibacterial activity against Bacillus subtilis MTCC 441, Clostridium tetani MTCC 449, Streptococcus pneumoniae MTCC 1936, E. coli MTCC 443, Salmonella typhi MTCC 98, and Vibrio cholerae MTCC 3906 as well as for antifungal activity against Aspergillus fumigatus MTCC 3008 and Candida albicans MTCC 227. From the screening results, compound 35k shows excellent antibacterial activity against E. coli (MIC = 50 μg mL−1) when compared with ampicillin and equivalent to chloramphenicol (MIC = 50 μg mL−1); compounds 35c, 35e, 35f, 35g, 35h, 35i, and 35l show comparable antibacterial activity against E. coli (MIC = 100 μg mL−1) when compared with ampicillin (MIC = 100 μg mL−1). Compound 35n shows excellent antibacterial activity against S. typhi, S. pneumoniae, V. cholerae, and B. subtilis (MIC = 25–50 μg mL−1) when compared with chloramphenicol (MIC = 50 μg mL−1) and ampicillin (MIC = 100 μg mL−1) and compounds 35o, 35p were found to exhibit excellent antibacterial activity against S. typhi when compared with ampicillin. (MIC = 100 μg mL−1). Antifungal screening data show that compound 35i shows excellent antifungal activity (MIC = 100 μg mL−1) against C. albicans when compared with nystatin and griseofulvin (MIC = 100 μg mL−1); compounds 35a, 35c, 35e35h, 35j, and 35o show excellent antifungal activity (MIC = 500 μg mL−1) against C. albicans when compared with griseofulvin (MIC = 500 μg mL−1).
Youssef and Amin synthesized new compounds 37a37b and 38a38b, using Biginelli intermediates 36a36b obtained by a classical reaction (Scheme 12) [81]. The newly heterocyclic compounds were tested for their antimicrobial activity against Escherichia coli, Pseudomonas putida, Bacillus subtilis, Streptococcus lactis, Aspergillus niger, Penicillium sp., and Candida albicans. All compounds showed moderate to slight inhibitory action towards the microorganisms.
Sedaghati et al. reported synthesis of new Biginelli pyrimidines 39a39b, 40a40c, 41, and 42, using ferric chloride as Lewis acid (Figure 3) [82]. Compounds 39a and 42 possessed a significant antibacterial activity (MIC = 128 μg mL−1) against Staphylococcus aureus PTCC 1337 and Pseudomonas aeruginosa PTCC 1074, respectively. Additionally, compounds 39b, 40a, 40b, 40c, 41, and 42 have been shown to be moderate antifungal agents against both Candida albicans PTCC 5027 and Aspergillus niger 5021 (MIC = 32–128 μg mL−1).
Ghodasara et al. reported the synthesis of Biginelli compounds 43a43d, the corresponding methylated derivatives 44a44d, and their oxidized compounds 45a45d (Scheme 13) [83]. The preliminary in vitro biological activities of the compounds revealed that compounds 43a, 44d, 45h, and 45j exhibited significant (maximum) antibacterial activities against all bacterial tested strains, S. aureus MTCC 96, E. coli MTCC 443, and B. subtilis MTCC 441, compared with Ampicillin, Chloramphenicol, Ciprofloxacin, and Norfloxacin as standards drug, and against both fungal strains, C. albicans MTCC 227 and A. niger MTCC 282.
Godhani et al. reported the Biginelli synthesis of compounds 46a46h (Scheme 14) and their antimicrobial activities [84]. Compounds 46b, 46g, and 46h showed good activity against E. coli MTCC 443 bacteria (MIC = 324.7–405.7 μM L−1), while compound 46e showed excellent activity against E. coli (MIC = 202.93 μM L−1). Additionally, compounds 46b and 46e showed good activity against P. aeruginosa MTCC 1688. Compounds 46a, 46b, 46c, 46d, 46f, 46g, and 46h showed moderate activity against S. aureus MTCC 96, with MIC = ranging from 649.4 to 811.75 μM L−1. Compounds 46b, 46e, and 46f showed good activity against S. pyogenus MTCC 442 (MIC = 324.7–405.87 μM L−1).
Umesha et al. synthesized in two steps compounds 47a47f and 48a48f (Scheme 15) [85]. Compound 48c showed the best antimicrobial activity against all tested strains, four bacterial strains, S. aureus, B. subtilis, S. typhi, and E. coli, and two fungal strains, A. niger and C. albicans, but the other compounds also had good antimicrobial activities.
Viveka et al. synthesized compounds 49a49f by a Biginelli reaction (Scheme 16) [86]. The antibacterial screening results revealed that acetyl-substituted pyrimidinone compounds 49c and 49f showed a broad spectrum of antimicrobial activity against E. coli, P. aeruginosa, and K. pneumonia (6.25 μg mL−1), comparable with the standard Streptomycin (6.25 μg mL−1). A gradual decrease in the activity against the tested strains was noticed, with the introduction of ethoxy 49a and 49d and methoxy 49b and 49e groups, in place of acetyl substituent.
Raj et al. reported the synthesis of dihydropyrimidinones 50a50e, by a Biginelli reaction using Zn(ClO4)2 as catalyst (Scheme 17) [87]. In vitro antibacterial studies of dihydropyrimidones 50a50e were carried out against Escherichia coli MTCC 119, Shigella flexneri MTCC 1457, Pseudomonas aeruginosa MTCC 741, and Staphylococcus aureus MTCC 740 strains, by disk-diffusion assay. Antifungal evaluations were also carried out against two fungal strains, Geotrichum candidum MTCC 3993 and Candida albicans MTCC 227 (Table 3). From the determined MIC values, it can be said that compound 50a had the best antimicrobial activity against all the strains tested.
Gein et al. reported the synthesis of new N,6-diaryl-4-methyl-2-oxo- 1,2,3,6-tetrahydropyrimidine-5-carboxamides by a Biginelli reaction (Scheme 18) [88]. Compounds 5161 showed weak antimicrobial activity against S. aureus, E.coli, and C. albicans (MIC = 250–1000 μg mL−1) considering dioxidine and fluconazole as standards, but good antibacterial activities for compound 53 (MIC = 250 μg mL−1), considering Chloramine B as standard (MIC = 250–500 mg mL−1).
Khalifa et al. reported the synthesis of compounds 62a62d and 63, using a Biginelli intermediate reaction (Figure 4) [89]. Compound 62d exhibited inhibition versus all kinds of bacterial (Staphylococcus aureus, Salmonella typhimurium and Pseudomonas aeruginosa) and fungal strains (Candida albicans and Aspergillus flavus). Additionally, compounds 62a62c possessed good antimicrobial activities.
Ahmad et al. reported the synthesis of some 2-amino-1,4-dihydropyrimidines by a Biginelli reaction, starting from guanidine HCl, benzaldehyde, and ethyl acetoacetate in DMF, and SnCl2·2H2O or NaHCO3 as catalyst, under ultrasonic irradiation [90].
The good antibacterial activities of compounds 64, 65, and 66 (Figure 5), against S. aureus, B. subtilis, E. coli, and S. typhi, as well as the theoretical studies, have shown that these compounds may have acceptable pharmacokinetic/drug-like properties.
Ramachandran et al. reported the syntheses of dihydropyrimidinones 67 and 68 using solvent-free grindstone chemistry method catalyzed by CuCl2·2H2O and HCl (Scheme 19) [91]. All the synthesized compounds exhibited significant activity against pathogenic bacteria Salmonella typhi and Staphylococcus aureus. These dihydropyrimidinone (DHPM) derivatives also focus on the bacterial ribosomal A site RNA as a drug target. Series of docking studies were also performed for human 40S rRNA as a target. It was found that amikacin drug exhibited higher binding affinity than compound 68e, which showed relatively low binding affinity towards human rRNA site (Figure 6).
Desai and Bhatt reported the synthesis of compounds 72a72c, using, in the first step, a Biginelli reaction in the presence of SnCl2·2H2O catalyst to obtain compound 69, which, in the presence of hydrazine hydrate, resulted in a hydrazide 70, from which Schiff bases 71a71c were obtained by reaction with aromatic aldehydes. Cyclization of compounds 71 in the presence of triethylamine provided the desired β-lactams 72a72c, as shown in Scheme 20 [92]. Compounds 72a72c exhibited outstanding antimicrobial properties against almost all tested strains S. aureus, S. pyogenes, E. coli, P. aeruginosa, C. albicans, A. niger, and A. clavatus with MIC = 12.5–50 μg mL−1 for antibacterial activities and 25–100 μg mL−1 for antifungal activities, respectively.
Attri et al. synthesized dihydropyrimidinones by a Biginelli reaction with triethylammonium acetate ionic liquid as catalyst [93]. Compounds 73a73c (Figure 6) showed the good antibacterial activity against all bacteria Escherichia coli MTCC 443, Staphylococcus aureus MTCC 3160, Pseudomonas aeruginosa MTCC 2581 and Klebsiella pneumoniae MTCC 7028, which could possibly be due to the presence of halogen atom in the molecules. Wani et al. reported the synthesis of Flucytosine analogues 74a74b and 75a75b obtained by the classic Biginelli reaction as efficient antifungal agents against C. albicans (Figure 7) [94]. Thus, bis-derivatives 75a75b were found to be more efficacious than their corresponding mono analogues 74a74b. Compound 75b with two pyrimidithione rings showed high synergy with amphotericin-B and fluconazole, both followed by compounds 75a, 74b, and 74a.
Rani et al. synthesized compounds 76a76e by a Biginelli reaction from 3-oxo-N-phenylbutanamide, guanidine nitrate, an aldehyde, and HCl as catalyst [95] (Scheme 21), and compounds 77a77e, from the reaction of derivatives 76 with 6-(hydroxymethyl)-tetrahydro-2H-pyran-2,3,4,5-tetraol, ethyl acetoacetate, and monochloroacetic acid. It was found that compounds 77a and 77b had significant activity against S. aureus (MIC = 2.14 × 10−2 μM mL−1), and compound 77c was most potent against B. subtilis (MIC = 0.58 × 10−2 μM mL−1). Compound 77e displayed more potent activity against E. coli (MIC = 1.10 × 10−2 μM mL−1), and compound 77d was found to be most potent against C. albicans and A. niger (MIC = 1.04 × 10−2 μM mL−1).
Allam synthesized pyrazolopyrimidinone based dihydropyrimidinones 78a78f by a green Biginelli procedure catalyzed by CuCl2·2H2O (Figure 8) [96]. All compounds had good antibacterial activities against B. subtilis, E. coli, K. pneumonia, and S. aureus. Foroughifar et al. reported that tetrahydropyrimidine 79, synthesized by a Biginelli reaction with DABCO (1,4-Diazabicyclooctane) as catalyst, had good antimicrobial activities against all tested strains S. aureus, S. epidermidis, Bacillus cereus, K. pneumoniae, E. coli, and P. aeruginosa [97].
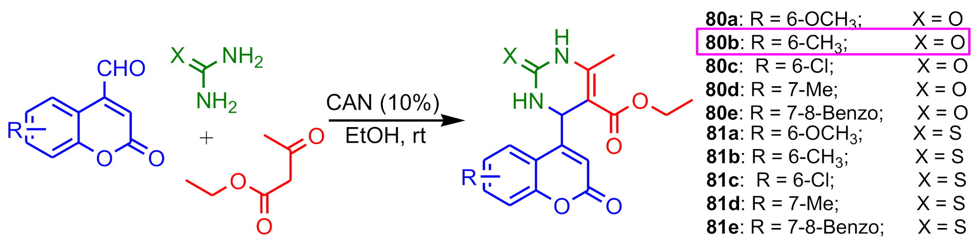
Naik et al. reported the synthesis of a new of 3,4-dihydropyrimidinone-coumarin analogues 80 and 81 (Scheme 22) as a new class of antibacterial agents [98]. The 3,4-dihydropyrimidinone-coumarins were evaluated for their in vitro antibacterial studies against Staphylococcus aureus, Bacillus subtilis, Escherichia coli, and Pseudomonas aeruginosa by Broth micro dilution method (Table 4). All compounds exhibited excellent antibacterial activity against S. aureus - bold values (MIC = 0.2–6.25 μg mL−1), but in the case of B. subtilis, all compounds were less active. The efficacy of substituent at C-6 position decreased in the order -CH3 > -7,8-Benzo > -Cl > -OCH3 (b > e > c >a). Similarly, compounds 81a, 81c, and 81e were highly active against E. coli, whereas the other compounds showed significantly less activity.
Hamdi et al. synthesized 3,4-dihydropyrimidinones 82a82e by a modified Biginelli-type reaction with various metallophthalocyanines 8385 as reusable heterogeneous as catalysts (Figure 9) [99]. The antimicrobial activity of compounds 82a82e was evaluated against Micrococcus luteus LB 14110, Staphylococcus aureus ATCC 6538, Listeria monocytogenes ATCC 19117, and Salmonella typhimurium ATCC 14028, but significant antimicrobial activity (MIC = 312 μg mL−1) was observed against M. luteus.
Youssef et al. synthesized 6-amino-4-aryl-2-thioxo-1,2,3,4-tetrahydropyrimidine- 5-carbonitrile derivatives 86a86d by Biginelli reaction of aromatic aldehydes, malononitrile, and thiourea in alcoholic sodium ethoxide solution [100]. The reaction of each 86 with monobromomalononitrile in ethanolic potassium hydroxide solution yielded, in each case, a single product, 87a87d. By refluxing each 87 with carbon disulphide, the corresponding compounds 88a88b were obtained. Finally, heating compounds 87 with formic acid yielded 89a89b (Figure 10). Compounds 86a, 86b, 87a, 87b, 88a, and 89a showed moderate to slight inhibitory action against the tested strains Escherichia coli, Pseudomonas putida, Bacillus subtilis, Streptococcus lactis, Aspergillus niger, Penicillium sp., and Candida albicans.
Viveka et al. reported the Biginelli synthesis of 3,4-dihydropyrimidinones 90a90c. Reaction of each compound 90 with pyrazole 91 gave thiazolo[2,3-b] dihydropyrimidinones 92a92c (Scheme 23) [101]. As observed in Table 5, compounds 92a92c show good antibacterial activity against all the tested species (MIC = 3.12–25 μg mL−1).
Huseynzada et al. reported Biginelli synthesis catalyzed by Cu(OTf)2 of dihydropyrimidines, their regioselective oxidation, and their antibacterial properties [102]. Compounds 93 and 94 showed the highest inhibitory effect against A. baumanii and S. aureus, with a value of 62.5 μg mL−1 (Figure 11).
Gondru et al. reported the synthesis of a series of newly fused thiazolo[2,3-b] pyrimidinones 97 by reaction between Biginelli intermediates 95 and 3-(2-oxo-2H- chromen-3-yl)-1-aryl-1H-pyrazole-4-carbaldehyde (Scheme 24) [103] 96. All compounds exerted significant in vitro antibacterial activity against almost all the tested bacterial strains with MICs ranging from 1.56–12.5 μg mL−1 (Table 6). Compound 97d displayed inhibitory efficacies and a broader antibacterial spectrum than that of the reference drugs. Compound 97d exhibited excellent inhibiting activity than the standard streptomycin (MIC = 6.25 μg mL−1) and equipotent to that of penicillin (MIC = 1.562 μg mL−1) against S. aureus and B. subtilis with MIC values 1.56 μg mL−1, being almost as active as the standard drug (MIC = 3.12 μg mL−1) against Gram-positive S. epidermidis (MIC = 3.12 μg mL−1). Compounds 97c and 97e could effectively inhibit the growth of S. aureus with MIC values (MIC = 1.56 and 3.12 μg mL−1, respectively) and P. aeruginosa (MIC = 6.25 μg mL−1). Compounds 97a, 97b, 97c and 97e have shown bioactivity against P. aeruginosa (MIC = 6.25 μg mL−1), which was better than penicillin. Compounds 97g and 97h showed significant activity against S. aureus (MIC = 3.12 μg mL−1).
New selenoxotetrahydropyrimidines 98a98g were synthesized by Biginelli reaction of ethyl acetoacetate, substituted aromatic aldehydes and selenourea (Scheme 25) in ethanol in the presence of HCl under microwave irradiation [104]. The results of antibacterial evaluation indicated that compounds 98a and 98e are active against Gram-positive bacteria Pseudomonas fluorescens, while compounds 98b and 98d exhibited significant antibacterial activity against Gram-negative bacteria Klebsellia pneumoniae and Escherichia coli, respectively (Table 7). Only compound 98f was active against both Gram-negative and Gram-positive strains, namely Pseudomonas aeruginosa and Staphylococcus pyrogens. Additionally, compounds 98c and 98g possessed antifungal activity against Aspergillius janus and Penicillium glabrum. In conclusion, all compounds showed inhibitory effects with a minimum inhibitory concentration of 8 μg mL−1.
Devineni et al. developed a Biginelli-type reaction of substituted thiazol-2-amines, 2-(4-nitrophenyl)acetonitrile, and aromatic aldehydes, promoted by heterogeneous catalyst SiO2-ZnBr2 and diisopropylethylamine (DIPEA) as base, for the synthesis of 2,5-substituted-6-(4-nitrophenyl)-5H-thiazolo[3,2-a]pyrimidin -7-amines 99 and 100 (Scheme 26) [105]. All compounds were tested against four bacterial strains, Staphylococcus aureus ATCC 43300, Bacillus subtilis ATCC 6633, Pseudomonas aeruginosa ATCC 27853, and Escherichia coli ATCC 25922, as well as on three fungal strains Aspergillus flavus MTCC-1884, Fusarium oxysporum MTCC-1755, and Candida albicans ATCC 2091. Few of the synthesized compounds showed activity in the MIC range 6.25–25.0 μg mL−1, which was close to that of the standard drugs, tetracycline and amphotericin B (MIC = 3.125–6.25 μg mL−1). Compounds 99c and 100c, containing the dimethylamino group, showed good activity against all the tested species, in particular B. subtilis and P. aeruginosa (MIC = 6.25 μg mL−1).
Gein et al. reported that reaction of dimedone with a mixture of 5-aminotetrazole monohydrate and substituted aromatic aldehyde taken in an equimolar ratio without solvent and catalyst at a temperature of 160–170 °C for 5–10 min afforded 9-aryl-6,6-dimethyl-5,6,7,9-tetrahydrotetrazolo[5,1-b]quinazolin-8(4H)-ones 101 (Figure 12) [106]. All compounds were found to have low antibacterial and antifungal activity (MIC > 1000 μg mL−1).
Afradi reported the synthesis of 3,4-dihydropyrimidines 102a102d using Mn0.5Fe0.25Ca0.25Fe2O4@starch@aspartic acid magnetic nanoparticles (MNPs) as a new nanocatalyst in a solvent free synthesis (Scheme 27) [107]. The main advantages of the Biginelli reaction in the presence of catalyst Mn0.5Fe0.25Ca0.25Fe2O4@starch@aspartic acid magnetic nanoparticles (MNPs) are: short reaction time, high yield, and the green and novel nature of the nanocatalyst. All synthesized compounds possessed good antibacterial activity against Gram-positive bacteria (Staphylococcus aureus ATCC 6538 and Staphylococcus epidermidis ATCC 12228) and Gram-negative bacteria (Pseudomonas aeruginosa ATCC 9027 and Escherichia coli ATCC 8739).
Jadhav et al. reported the diisopropyl ethyl ammonium acetate (DIPEAc)-promoted Biginelli protocol by a successive one-pot three-component reaction of aldehydes, ethylcyanoacetate/ethyl acetoacetate, and thiourea/urea to afford pharmacologically promising 1,2,3,4-tetrahydropyrimidines in high yields at room temperature [108]. All compounds were evaluated against four bacterial Streptococcus pyogenes, Escherichia coli, Staphylococcus aureus, Pseudomonas aeruginosa, and two fungal Candida albicans, Aspergillus niger strains with Ampicillin and Griseofulvin as standard drugs. Compounds 103a, 103b, and 103c showed satisfactory antibacterial activity against all four bacterial pathogens due to the presence of withdrawing groups (-NO2 and -CF3) and electron-donating groups (-OH and -OCH3) in the molecule (Figure 13, Table 8). In addition, 103b showed good antibacterial activity against the Gram-positive strains, P. aeruginosa, E. coli, S. aureus, and S. pyogenes, which can be significantly correlated with the presence of -OH and -OCH3 groups in the molecule. Additionally, compounds 103d, 103e, and 103f showed potent activities against all the tested fungal strains. The best antimicrobial values are marked in bold in Table 8.
Desai et al. carried out a convenient synthesis of 20 pyrimidinthiones in the presence of thiourea and catalyst sulfamic acid (Scheme 28) [109]. Synthesized bacteria Escherichia coli MTCC 443, Pseudomonas aeruginosa MTCC 1688, Staphylococcus aureus MTCC 96, and Streptococcus pyogenes MTCC 442 and fungi Candida albicans MTCC 227, Aspergillus niger MTCC 282, and Aspergillus clavatus MTCC 1323 using serial dilution method. The antimicrobial activity of compounds 104a, 104b, and 104c showed the best activity (of all compounds - bold values) against all tested strains (Table 9).
New 1,2,3,4-tetrahydropyrimidines 105 were synthesized by Biginelli reaction starting from the desirable aldehyde, benzyl 3-oxobutanoate, urea, and Co(HSO4)2 (Scheme 29) [110]. Antibacterial activity of the compounds was tested against bacterial strains S. aureus, P. aeruginosa, E. coli and S. flexneri. Compounds 105a105d showed significant growth inhibition at 40.6, 21.7, 37.8, and 19.9 μg mL−1 concentrations, respectively, against S. aureus and maximum activity at 34.0, 17.8, 101.4, and 52.4 μg mL−1, respectively, against E. coli.
Rajitha et al. synthesized new 3-substituted 5-phenylindeno-thiazolopyrimidinones in two steps (Scheme 30) [111]. The first reaction is a poly(4-vinylpyridinium)hydrogen sulfate catalyzed Biginelli reaction to produce 106, and the second is a condensation with phenacyl bromide to give 107. Among the analogs, 4-methoxyphenyl-5-phenylindeno[1,2-d]thiazolo [3,2-a]pyrimidin-6(5H)-one showed good activity against a bacterium, Staphylococcus aureus (MIC = 25 μg mL−1), and a fungus, Aspergillus niger (zone of inhibition 20 mm).
Sethiya et al. reported the eco-friendly synthesis of pyrimidine derivatives 108a108g by the reaction of aromatic aldehydes, 2-aminobenzothiazole and dimedone in the presence of thiamine hydrochloride (Vitamine B1) as organocatalyst (Scheme 31) [112]. Molecular docking studies were performed on the synthesized compounds using Staphylococcus aureus dihydropteroate synthase (saDHPS) (6CLV) and DNA gyrase (1KZN) proteins. Compound 108e was found to be the most potent and showed good binding interactions and the highest docking score against both proteins, 1KZN and 6CLV (Figure 14).
A series of 3,4-dihydropyrimidin-2(1H)-thione compounds were synthesized from the 1-(4-(1,3-diphenyl-1H-pyrazol-4-yl)-6-methyl-2-thioxo-1,2,3,4-tetrahydro pyrimidin-5-yl)ethanone 109, as can be seen in Scheme 32 [113]. Compounds 110b, 111b, 112, and 113b were the most potent against the tested microorganisms Staphylococcus aureus AUMC B.54, Bacillus cereus AUMC B.52, Escherichia coli AUMC B.53, Pseudomonas aeruginosa AUMC B.73, Candida albicans AUMC 214, and Aspergillus flavus AUMC 1276 (Table 10). It was stated that presence of certain electron donating groups, such as -Cl and -OCH3, may increase the antimicrobial activity of the compounds. These results are in line with similar results in the literature [114,115].

3. Biginelli Reaction Mediated Synthesis of Antitubercular Pyrimidine Derivatives

Tuberculosis, resulting from infection by the bacterium Mycobacterium tuberculosis, is a major worldwide health problem [116]. Approximately 2 million people die every year. The emergence of multi-drug resistance has forced the development of new structural classes of antitubercular agents, with several of them showing promising activity against M. tuberculosis [117]. Virsodia et al. synthesized new N-phenyl-6- methyl-2-oxo-4-phenyl-1,2,3,4-tetrahydro-pyrimidine-5-carboxamides using the Biginelli reaction by reacting acetoacetanilide derivatives, substituted aldehydes, and urea in methanol with a catalytic amount of HCl. Compound 114 showed 65% inhibition of M. tuberculosis, the best antitubercular activity (Figure 15). Additionally, 3D-QSAR studies are reported. Trivedi et al. reported the synthesis of 30 dihydropyrimidines by a classical Biginelli reaction and their in vitro antitubercular activity against Mycobacterium tuberculosis H37Rv [118]. Two compounds, 115a and 115b, with MIC of 0.02 μg mL−1 against M. tuberculosis, were found to be the most active of all and more potent than isoniazid. Akhaja et al. found that compound 14d displayed promising antitubercular activity compared to standards Rifampicin and Izoniazid [75].
Trivedi et al. reported synthesis of phenothiazine-pyrazolo[3,4-d]pyrimidines 116a116h by Biginelli reaction in the presence of P2O5 as catalyst (Scheme 33) [119]. Compounds 116b, 116d, and 116f exhibited excellent antitubercular activity with percentage inhibition of 93, 91, and 96, respectively, at a minimum inhibitory concentration (MIC) < 6.25 μg mL−1, whereas compounds 116a, 116c, 116e, 116g, and 116h exhibited moderate to good antitubercular activity, with a percentage inhibition of 75, 68, 74, 54, and 63, respectively, at MIC > 6.25 μg mL−1.
Yadlapalli implemeted a Biginelli reaction for the synthesis of 4-aryl-3,4-dihydro-2(1H)-pyrimidone esters possessing lipophilic carbamoyl groups [120]. Compounds 117a and 117b, with a MIC value of 0.125 and 0.25 μg mL−1, were found to be the most potent in the series (Figure 16). Ambre et al. reported the synthesis of 16 compounds, 4-(substituted) phenyl-2-thioxo-3,4-dihydro-1H- chromino[4,3-d]pyrimidin-5-one and 4-(substituted) phenyl-3,4-dihydro-1H- chromino[4,3-d]pyrimidine-2,5-dione analogs as antitubercular agents by a classical. Biginelli reaction between a substituted aldehyde, 6-substituted-4-hydroxy coumarin, urea (or thiourea), and p-toluenesulfonic acid as catalyst. Compounds 118a and 118b, with MIC of 59% and 61%, respectively, were found to be the most potent in these series [121].
Chikhale et al. synthesized a series of N-(benzo[d]thiazol-2-yl)-6-methyl -4-phenyl-2-thioxo-1,2,3,4-tetrahydropyrimidine -5-carboxamide by a Biginelli reaction (Scheme 34) [122]. It was found that compounds 119a119d exhibited an MIC between 0.08 and 0.09 μM, which is found to be better than the standard reference Isoniazid with MIC of 0.2 μM. The very good antitubercular activity was correlated with the presence of the fluorine atom in the molecule.

4. Antioxidant Activity of Antimicrobial Pyrimidine Derivatives

Youseff et al. found that compounds 37a and 37b showed considerable inhibitory activity in the hemolysis assay (Table 11) [81]. Compounds 37c and 37d (Figure 17) showed moderate antioxidant and inhibitory activity (Table 12). Additionally, the antioxidant assay by ABTS method showed that compounds 37a, 37b, 37c, and 37d showed potent antioxidant activity.
Viveka et al. reported compounds 49c (89.41%) and 49f (83.34%) exhibited excellent DPPH radical scavenging activity, as compared to glutathione (89.09%) [86]. Attri et al. reported that that compounds 73a73c possess good-to-moderate antioxidant activity in comparison to the standard gallic acid and quercetin [93]. Rani et al. reported that compounds 77f and 77g exhibited excellent in vitro antioxidant activity due to the presence of electron releasing groups on benzylidene portion (Figure 18) [95].

5. Anticancer Activity of Antimicrobial Pyrimidine Derivatives

Yadlapalli reported that compound 117a, with excellent antitubercular activity against MTB H37Rv, showed moderate anticancer activity against MCF-7 breast cancer cell lines [120]. Compound 77h was found to be the most potent anticancer agent (IC50 = 57.65 mg mL−1) of all compounds 77 at a dose of 10−4 M against human breast (MCF-7) cancer cell line and was comparable with Adriamycin as the standard [95]. Gondru et al. showed that derivatives 97a, 97g, 97h, and 97j have shown moderate antiproliferative potency against the HepG2 tumor cell line with an average percentage of inhibition, ranging from 39.09 to 40.35 at cell lines [103].

6. Anti-Inflammatory Activity of Antimicrobial Pyrimidine Derivatives

Gelatinases are present in the physiologic system and play a key role in inflammation and autoimmunity states. Activated inflammatory cells and dermal fibroblasts can express several proteinases designated as matrix metalloproteinases (MMPs) able to degrade all connective tissue macromolecules [98]. Among these are gelatinases, e.g., MMP-2 and MMP-9, which, together with interstitial collagenase, have been assumed to be of importance in connective tissue remodeling after inflammation. The obtained results revealed that all compounds 80a80e and 81a81e were highly active against MMP-2 (72 kDa gelatinase A). Similarly, the compounds 80e, 81a, 81b, 81d, and 81e were highly active against MMP-9 (92 kDa gelatinase B), whereas the compounds 80b and 80d showed slight inhibitory activity, and rest of the compounds were not active against MMP-9 (Table 13).
Alam et al. screened compounds 31a31n for their anti-inflammatory activity using Winter et al. method. The results showed inhibition of edema ranging from 32.72% to 71.14%. The compounds 31c, 31d, and 31e (Scheme 10) showed 65.45%, 67.07%, and 71.14%, respectively, inhibition of edema [79]. From the anti-inflammatory activity result analysis, Viveka et al. observed that compounds 92a, 92b, 92d, 92e, 92f, 92g, and 92h showed good activity, with 67.61 to 85.33% inhibition of the edema (Figure 19). The compounds 92a (85.33), 92d (81.32), and 92h (80.75) showed potent anti-inflammatory activity compared with the other test compounds and are comparable with the standard, indomethacin (86.76). This emphasizes the presence of the 3F-4CH3- substituted phenyl ring on the 5th position of the 3-oxothiazolopyrimidine nucleus in this pyrazole series [101]. Additionally, El-Emary et al. found that compounds 110b and 112b (Scheme 29) had the most anti-inflammatory activity, comparable to that of Indomethacin [113].

7. Analgesic Activity of Antimicrobial Pyrimidine Derivatives

Alam et al. reported that compounds 31c, 31d, and 31e with analgesic activity (expressed as % protection) of 44.35%, 47.01%, and 50.36%, respectively, have analgesic properties, considering Indomethacin as the standard (60.30%) [79]. Khalifa et al. reported the descending order of the central analgesic potencies of compounds 62e62g after 90 min, as compared to Tramadol, which were 97.2, 97.2, 89.0, and 78.0% for compounds 62e, 62f, 62g, and 62b, respectively (Figure 4 and Figure 20) [84]. Gein et al. reported that all studied compounds 5161 (Scheme 16) were found to have high analgesic activity, as compared with sodium Metamizole (47.7%) or Nimesulide (75.5%) with analgesic activity between 60.8% and 84.0% [88].

8. Antiviral Activity of Antimicrobial Pyrimidine Derivatives

Umesha et al. reported the antiviral studies for the selected compounds, in which 48a exhibited 73.69% and 54.42% of inhibition of buffalopox and camelpox viruses, respectively (Scheme 15) [85]. The calculated docking (ΔE) and binding (ΔG) energies of 47a were −54.2 and −8.7 kcal Mol−1, respectively, whereas for compound 48a, the calculated energy values were −58.6 and −10.4 kcal Mol−1, respectively. An O4 oxygen atom of compound 47a exhibited long-distance (3.24 Å) hydrogen-bond interactions with the N atom of the residue Met414 of human IMPDH, and most of the atoms of the molecule showed hydrophobic interactions with Cys331, Met70, His93, Asn94, and Cys95 (Figure 21A). Compound 4a exhibited at least three different long-distance hydrogen-bond interactions. An O1 atom showed with the NH2 atom of Arg259 with a distance of 3.06 Å, an O3 atom showed with the NE2 atom of His93 with a distance of 2.87 Å, and a Cl atom showed with the O atom of Pro69 with a distance of 2.87 Å (Figure 21B). Additionally, other atoms of the molecule showed several important hydrophobic interactions against Asp256, Asn94, Met414, Asp71, and Tyr411 with different distances. These results showed that the relatively higher antiviral activity of compound 48a than 47a may due to lower docking and binding energies, as well as higher hydrogen and hydrophobic interactions.
Razzaghi-Asl et al. reported that trifluoromethyl group at the meta-position of phenyl ring provided a potent anti-HIV-1 property to the compound 105d (Scheme 29) [110]. Similarly, compounds bearing nitro 105e, fluorine 105f, bromine 105b, and chlorine 105h groups at the meta-position as well as chlorine and nitro groups at para- and meta-positions 105i (Figure 22) of phenyl were less potent, with an inhibition rate of P24 expression (%) in 100 μM of 52.25, 10.67, 12.93, 50.21, and 61.43, respectively. The presence of fluorine at meta position showed better anti-HIV-1 activity than the para-position 105d (10.67 vs. 4.75% in 100 μM).

9. Antiparasitic Activity of Antimicrobial Pyrimidine Derivatives

Rajanarendar reported that compounds 6b and 6d are proved to be lethal for mosquito larvae, with LC50 concentration, representing the concentration in ppm that killed 50%, of 0.85 and 0.88, respectively (Scheme 4) [72]. Thus, pyrimidine compounds 6b and 6d can be useful as more toxic substances to kill mosquito larvae. Fatima et al. reported the synthesis of three Biginelli compounds 120, 121, and 122 more potent than the standard drug Chloroquine against K1 strains of P. falciparum, with an IC50 (μg mL−1) of 0.56, 0.5 and 0.5, respectively (Figure 23) [123]. These compounds with three different pharmacophores have potential to be exploited in medicinal chemistry.

10. Conclusions

This review summarizes the recent Biginelli syntheses of pyrimidine compounds with antimicrobial properties, as well as their biological activities mentioned in the literature. Regarding the Biginelli synthesis of pyrimidine compounds, the presentation clearly shows that the catalyst has an important role in the development of the reaction and in obtaining a high yield. Derivatization of Biginelli compounds leads in most cases to compounds with stronger antimicrobial properties than the initial Biginelli dihydropyrimidines. Additionally, the presence of another heterocycle in the final molecules, such as pyrazole, thiazole, isoxazole, imidazole, benzothiazole, phenothiazine, 1,3,4-thiadiazole, coumarin, chromene, indole, and quinoline, potentiate the antimyrobial activity of pyrimidine compounds. In general, thiopyrimidine compounds have a stronger antimicrobial activity than pyrimidinone compounds. Selenopyrimidine compounds generally have better antimicrobial activity than pyrimidinone. Additionally, the presence of certain groups grafted on the benzimidazole and pyrazole nuclei, such as -NO2, -CN, -F, -CF3, -CN, -COOCH3, -NHCO, -CHO, Cl, -OH, OCH3, OC2H5, and -N(CH3)2, increases the antimicrobial activity of the compounds [124,125,126,127]. However, there are quite a few studies performed on the structure–properties relationship for these compounds, as well as few studies of molecular mechanics, DFT, through which to achieve the directed synthesis of some biologically active molecules. Therefore, we hope that this article will be a starting point for conducting new theoretical studies and syntheses of new compounds for the synthesis of improved antimicrobial compounds that possess other biological activities.

Funding

PED “Advanced material based on push-pull extended π-conjugated azo-chromophores in functional matrices with enhanced NLO properties” code PN-III-P2-2.1-PED-2019-3009 initiated to 09/10/2019, of funding agency names at https://uefiscdi-direct.ro (accessed on 29 September 2021).

Data Availability Statement

Not available.

Acknowledgments

The author is thankful to Department of Organic Chemistry, Biochemistry and Catalysis, for providing necessary facilities to carry out this research work.

Conflicts of Interest

The author declares no conflict of interest.

References

  1. Hantzsch, A. Condensations produkte aus Aldehydammoniak und ketonartigen Verbindungen. Ber. Der Dtsch. Chem. Ges. 1881, 14, 1637–1638. [Google Scholar] [CrossRef] [Green Version]
  2. Biginelli, P. Aldehyde-urea derivatives of aceto-and oxaloacetic acids. Gazz. Chim. Ital. 1893, 23, 360–413. [Google Scholar]
  3. Kappe, C.O. 100 years of the Biginelli dihydropyrimidine synthesis. Tetrahedron 1993, 49, 6937–6963. [Google Scholar] [CrossRef]
  4. Kappe, C.O. Biologically active dihydropyrimidones of the Biginelli-type—A literature survey. Eur. J. Med. Chem. 2000, 35, 1043–1052. [Google Scholar] [CrossRef]
  5. Fatima, A.; Braga, T.C.; Neto, L.S.; Terra, B.S.; Oliveira, B.G.F.; da Silva, D.L.; Modolo, L.V. A mini-review on Biginelli adducts with notable pharmacological properties. J. Adv. Res. 2015, 6, 363–373. [Google Scholar] [CrossRef] [PubMed] [Green Version]
  6. Silva, G.C.O.; Correa, J.R.; Rodrigues, M.O.; Alvim, H.G.O.; Guido, B.C.; Gatto, C.C.; Wanderley, K.A.; Fioramonte, M.; Gozzo, F.C.; de Souzad, R.O.M.A.; et al. The Biginelli reaction under batch and continuous flow conditions: Catalysis, mechanism and antitumoral activity. RSC Adv. 2015, 5, 48506. [Google Scholar] [CrossRef]
  7. Liu, Y.; Liu, J.; Zhang, R.; Guo, Y.; Wang, H.; Meng, Q.; Sun, Y.; Liu, Z. Synthesis, Characterization, and Anticancer Activities Evaluation of Compounds Derived from 3,4-Dihydropyrimidin-2(1H)-one. Molecules 2019, 24, 891. [Google Scholar] [CrossRef] [PubMed] [Green Version]
  8. Li, Y.; Tan, T.; Zhao, Y.; Wei, Y.; Wang, D.; Chen, R.; Tao, L. Anticancer Polymers via the Biginelli Reaction. ACS Macro Lett. 2020, 9, 1249–1254. [Google Scholar] [CrossRef]
  9. Rani, J.; Kumar, S.; Saini, M.; Mundlia, J.; Verma, P.K. Biological potential of pyrimidine derivatives in a new era. Res. Chem. Intermed. 2016, 42, 6777–6804. [Google Scholar] [CrossRef]
  10. Kaur, R.; Chaudhary, S.; Kumar, K.; Gupta, M.K.; Rawal, R.K. Recent synthetic and medicinal perspectives of dihydropyrimidinones: A review. Eur. J. Med. Chem. 2017, 132, 108–134. [Google Scholar] [CrossRef]
  11. Mokale, S.N.; Shinde, S.S.; Elgire, R.D.; Sangshetti, J.N.; Shinde, D.B. Synthesis and anti-inflammatory activity of some 3-(4,6-disubtituted-2-thioxo-1,2,3,4-tetrahydropyrimidin-5-yl) propanoic acid derivatives. Bioorg. Med. Chem. Lett. 2010, 20, 4424–4426. [Google Scholar] [CrossRef]
  12. Gireesh, T.; Kamble, R.R.; Kattimani, P.P.; Dorababu, A.; Manikantha, M.; Hoskeri, J.H. Synthesis of Sydnone Substituted Biginelli Derivatives as Hyaluronidase Inhibitors. Arch. Pharm. Chem. Life Sci. 2013, 346, 645–653. [Google Scholar] [CrossRef] [PubMed]
  13. Sawant, R.; Sarode, V. Synthesis, Spectral Characterization and Analgesic Activity of 2-Methylthio-1,4-Dihydropyrimidines. Iran. J. Pharm. Res. 2011, 10, 733–739. [Google Scholar]
  14. Bais, J.; Benedetti, F.; Berti, F.; Cerminara, I.; Drioli, S.; Funicello, M.; Regini, G.; Vidali, M.; Felluga, F. One Pot Synthesis of Micromolar BACE-1 Inhibitors Based on the Dihydropyrimidinone Scaffold and Their Thia and Imino Analogues. Molecules 2020, 25, 4152. [Google Scholar] [CrossRef]
  15. Ismaili, L.; Nadaradjane, A.; Nicod, L.; Guyon, C.; Xicluna, A.; Robert, J.F.; Refouvelet, B. Synthesis and antioxidant activity evaluation of new hexahydropyrimido[5,4-c]quinoline-2,5-diones and 2-thioxohexahydropyrimido[5,4-c]quinoline-5-ones obtained by Biginelli reaction in two steps. Eur. J. Med. Chem. 2008, 43, 1270–1275. [Google Scholar] [CrossRef]
  16. Panda, S.S.; Khanna, P.; Khanna, L. Biginelli Reaction: A Green Perspective. Curr. Org. Chem. 2012, 16, 507–520. [Google Scholar] [CrossRef]
  17. Chopda, L.V.; Dave, P.N. Recent Advances in Homogeneous and Heterogeneous Catalyst in Biginelli Reaction from 2015-19: A Concise Review. Chem. Sel. 2020, 5, 5552–5572. [Google Scholar] [CrossRef]
  18. Dondoni, A.; Massi, A. Parallel synthesis of dihydropyrimidinones using Yb(III)-resin and polymer-supported scavengers under solvent-free conditions. A green chemistry approach to the Biginelli reaction. Tetrahedron Lett. 2001, 42, 7975–7978. [Google Scholar] [CrossRef]
  19. Zhang, X.; Li, Y.; Liu, C.; Wang, J. An efficient synthesis of 4-substituted pyrazolyl-3,4-dihydropyrimidin-2(1H)-(thio)ones catalyzed by Mg(ClO4)2 under ultrasound irradiation. J. Mol. Catal. A 2006, 253, 207–211. [Google Scholar] [CrossRef]
  20. Ahn, B.J.; Gang, M.S.; Chae, K.; Oh, Y.; Shin, J.; Chalg, W. A microwave-assisted synthesis of 3,4-dihydropyrimidin-2-(1H)-ones catalyzed by FeCl3-supported Nanopore Silica under solvent-free conditions. J. Ind. Eng. Chem. 2008, 14, 401–405. [Google Scholar] [CrossRef]
  21. Devthade, V.; Kamble, G.; Ghugal, S.G.; Chikhalia, K.H.; Umare, S.S. Visible Light-Driven Biginelli Reaction over Mesoporous g-C3N4 Lewis-Base Catalyst. Chem. Sel. 2018, 3, 4009–4014. [Google Scholar] [CrossRef]
  22. Gulati, S.; Singh, R.; Prakash, R.; Sangwan, S. One-pot three component synthesis of substituted dihydropyrimidinones using fruit juices as biocatalyst and their biological studies. PLoS ONE 2020, 15, e0238092. [Google Scholar] [CrossRef] [PubMed]
  23. Cheng, J.; Qi, D.Y. An efficient and solvent-free one-pot synthesis of dihydropyrimidinones under microwave irradiation. Chin. Chem. Lett. 2007, 18, 647–650. [Google Scholar] [CrossRef]
  24. Tayebee, R.; Ghadamgahi, M. Solvent free one-pot multi-component synthesis of 3,4-dihydropyrimidin-2(1H)-ones catalyzed by mesoporous NH4H2PO4/MCM-41 as an environmentally friendly, cheap, and effective catalyst. Arab. J. Chem. 2017, 10 (Suppl. S1), S757–S764. [Google Scholar] [CrossRef] [Green Version]
  25. Kargar, M.; Hekmatshoar, R.; Mostashari, A.; Hashemi, Z. Efficient and green synthesis of 3,4-dihydropyrimidin- 2(1H)-ones/thiones using imidazol-1-yl-acetic acid as a novel, reusable and water-soluble organocatalyst. Catal. Commun. 2011, 15, 123–126. [Google Scholar] [CrossRef]
  26. Gore, S.; Baskaran, S.; Koenig, B. Efficient synthesis of 3,4-dihydropyrimidin-2-ones in low melting tartaric acid-urea mixtures. Green Chem. 2011, 13, 1009–1013. [Google Scholar] [CrossRef] [Green Version]
  27. Paraskar, A.S.; Dewkar, G.K.; Sudalai, A. Cu(OTf)2: A reusable catalyst for high-yield synthesis of 3,4-dihydropyrimidin-2(1H)-ones. Tetrahedron Lett. 2003, 44, 3305–3308. [Google Scholar] [CrossRef]
  28. Naeimi, H.; Rashid, Z.; Zarnani, A.-H.; Ghahremanzadeh, R. Nanocrystalline magnesium oxide: An efficient promoter and heterogeneous nano catalyst for the one-pot synthesis of pyrazolotriazoles in green medium. J. Nanopart. Res. 2014, 16, 2416. [Google Scholar] [CrossRef]
  29. Gohain, M.; Prajapati, D.; Sandhu, J.S. A Novel Cu-catalysed Three-component One-pot Synthesis of Dihydropyrimidin-2(1H)-ones Using Microwaves under Solvent-free Conditions. Synlett 2004, 235–238. [Google Scholar] [CrossRef]
  30. Simon, C.; Constantieux, T.; Rodriguez, J. Utilisation of 1,3-Dicarbonyl Derivatives in Multicomponent Reactions. Eur. J. Org. Chem. 2004, 4957–4980. [Google Scholar] [CrossRef]
  31. Yadav, J.S.; Reddy, B.V.S.; Sridhar, P.; Reddy, J.S.S.; Nagaiah, K.; Lingaiah, N.; Saiprasad, P.S. Green Protocol for the Biginelli Three-Component Reaction: Ag3PW12O40 as a Novel, Water-Tolerant Heteropolyacid for the Synthesis of 3,4-Dihydropyrimidinones. Eur. J. Org. Chem. 2004, 552–557. [Google Scholar] [CrossRef]
  32. De Souza, R.O.M.A.; da Penha, E.T.; Milagre, H.M.S.; Garden, S.J.; Esteves, P.M.; Eberlin, M.N.; Antunes, O.A.C. The Three-Component Biginelli Reaction: A Combined Experimental and Theoretical Mechanistic Investigation. Chem. Eur. J. 2009, 15, 9799–9804. [Google Scholar] [CrossRef]
  33. Su, W.; Li, J.; Zheng, Z.; Shen, Y. One-pot synthesis of dihydropyrimidiones catalyzed by strontium(II) triflate under solvent-free conditions. Tetrahedron Lett. 2005, 46, 6037–6040. [Google Scholar] [CrossRef]
  34. Sabitha, G.; Reddy, G.S.K.K.; Reddy, K.B.; Yadav, J.S. Vanadium(III) chloride catalyzed Biginelli condensation: Solution phase library generation of dihydropyrimidin-(2H)-ones. Tetrahedron Lett. 2003, 44, 6497–6499. [Google Scholar] [CrossRef]
  35. Ahmed, N.; van Lier, J.E. TaBr5-catalyzed Biginelli reaction: One-pot synthesis of 3,4-dihydropyrimidin-2-(1H)-ones/thiones under solvent-free conditions. Tetrahedron Lett. 2007, 48, 5407–5409. [Google Scholar] [CrossRef]
  36. Adib, M.; Ghanbary, K.; Mostofi, M.; Ganjali, M.R. Efficient Ce(NO3)3·6H2O-Catalyzed Solvent-Free Synthesis of 3,4-Dihydropyrimidin-2(1H)-ones. Molecules 2006, 11, 649–654. [Google Scholar] [CrossRef] [Green Version]
  37. Angeles-Beltrán, D.; Lomas-Romero, L.; Lara-Corona, V.H.; González-Zamora, E.; Negrón-Silva, G. Sulfated Zirconia-Catalyzed Synthesis of 3,4-Dihydropyrimidin-2(1H)-ones (DHPMs) Under Solventless Conditions: Competitive Multicomponent Biginelli vs. Hantzsch Reactions. Molecules 2006, 11, 731–738. [Google Scholar] [CrossRef] [Green Version]
  38. Karade, H.N.; Sathe, M.; Kaushik, M.P. Synthesis of 4-Aryl Substituted 3,4-Dihydropyrimidinones Using Silica-chloride Under Solvent Free Conditions. Molecules 2007, 12, 1341–1351. [Google Scholar] [CrossRef] [PubMed] [Green Version]
  39. Liu, C.-J.; Wang, J.-D. Ultrasound-Assisted Synthesis of Novel 4-(2-Phenyl-1,2,3-Triazol-4-yl)-3,4-Dihydropyrimidin-2(1H)- (Thio)ones Catalyzed by Sm(ClO4)3. Molecules 2010, 15, 2087–2095. [Google Scholar] [CrossRef] [Green Version]
  40. Nandurkar, N.S.; Bhanushali, M.J.; Bhor, M.D.; Bhanage, B.M. Y(NO3)3·6H2O: A novel and reusable catalyst for one pot synthesis of 3,4-dihydropyrimidin-2(1H)-ones under solvent-free conditions. J. Mol. Catal. A Chem. 2007, 271, 14–17. [Google Scholar] [CrossRef]
  41. Zych, A.J.; Wang, H.-J.; Sakwa, S.A. Synthesis and Suzuki-Miyaura reactions of 5-halo-3,4-dihydropyrimidin-2(1H)-ones. Tetrahedron Lett. 2010, 51, 5103–5105. [Google Scholar] [CrossRef]
  42. Karade, H.N.; Acharya, J.; Kaushik, M.P. An efficient and rapid dehydrogenation of 4-aryl-3,4-dihydropyrimidin-2(1H)-ones (DHPMs) using CAN/HCl. Tetrahedron Lett. 2012, 53, 5541–5543. [Google Scholar] [CrossRef]
  43. Starcevich, J.T.; Laughlin, T.J.; Mohan, R.S. Iron(III) tosylate catalyzed synthesis of 3,4-dihydropyrimidin-2(1H)-ones/thiones via the Biginelli reaction. Tetrahedron Lett. 2013, 54, 983–985. [Google Scholar] [CrossRef]
  44. Niknam, K.; Zolfigol, M.A.; Hossieninejad, Z.; Daneshvar, N. Efficient synthesis of 3,4-dihydropyrimidin-2(1H)-one using metal hydrogen sulfates M(HSO4)n as catalyst under solvent free conditions. Chin. J. Catal. 2007, 28, 591–595. [Google Scholar] [CrossRef]
  45. Safaei Ghomi, J.; Teymuri, R.; Ziarati, A. A green synthesis of 3,4-dihydropyrimidine-2(1H)-one/thione derivatives using nanosilica-supported tin(II) chloride as a heterogeneous nanocatalyst. Monatsh. Chem. 2013, 144, 1865–1870. [Google Scholar] [CrossRef]
  46. Kathing, C.; Rani, J.W.S.; Singh, N.G.; Tumtin, S.; Nongrum, R.; Nongkhlaw, R. One-pot synthesis of 3,4-Dihydropyrimidin-2(1H)-ones catalysed by cupric acetate under solvent-free conditions. J. Chin. Chem. Soc. 2014, 61, 1254–1258. [Google Scholar] [CrossRef]
  47. Karimi, H. Copper Zirconium Phosphate as an Efficient Catalyst for Multi-component Reactions in Solvent-Free Conditions. Iran. J. Sci. Technol. Trans. Sci. 2018, 42, 219–235. [Google Scholar] [CrossRef]
  48. Popovics-Tóth, N.; Tajti, Á.; Hümpfner, E.; Bálint, E. Synthesis of 3,4-Dihydropyrimidin-2(1H)-one-phosphonates by the Microwave-Assisted Biginelli Reaction. Catalysts 2021, 11, 45. [Google Scholar] [CrossRef]
  49. Medyouni, R.; Elgabsi, W.; Naouali, O.; Romerosa, A.; Al-Ayed, A.S.; Baklouti, L.; Hamdi, N. One-pot three-component Biginelli-type reaction to synthesize 3,4-dihydropyrimidine-2-(1H)-ones catalyzed by Co phthalocyanines: Synthesis, characterization, aggregation behavior and antibacterial activity. Spectrochim. Acta A 2016, 167, 165–174. [Google Scholar] [CrossRef]
  50. Gein, V.L.; Zamaraeva, T.M.; Dmitriev, M.V. Sodium hydrogen sulfate as a catalyst for the synthesis of N,4-diaryl-6-methyl-1-methyl(phenyl)-2-thioxo-1,2,3,4-tetrahydropyrimidine-5-carboxamides via the Biginelli reaction. Chem. Heterocycl. Comp. 2018, 54, 177–182. [Google Scholar] [CrossRef]
  51. Moosavifar, M. An appropriate one-pot synthesis of dihydropyrimidinones catalyzed by heteropoly acid supported on zeolite: An efficient and reusable catalyst for the Biginelli reaction. Compt. Rend. Chim. 2012, 15, 444–447. [Google Scholar] [CrossRef]
  52. Shahid, A.; Ahmed, N.S.; Saleh, T.S.; Al-Thabaiti, S.A.; Basahel, S.N.; Schwieger, W.; Mokhtar, M. Solvent-Free Biginelli Reactions Catalyzed by Hierarchical Zeolite Utilizing a Ball Mill Technique: A Green Sustainable Process. Catalysts 2017, 7, 84. [Google Scholar] [CrossRef]
  53. Bentahar, S.; Taleb, M.A.; Sabour, A.; Dbik, A.; El Khomri, M.; El Messaoudi, N.; Lacherai, A.; Mamouni, R. Potassium Fluoride-Modified Clay as a Reusable Heterogeneous Catalyst for One-Pot Synthesis of 3,4-Dihydropyrimidin-2(1H)-ones. Russ. J. Org. Chem. 2019, 55, 1423–1431. [Google Scholar] [CrossRef]
  54. Torres-Méndez, C.E.; López-Mayorga, B. Copper supported on acid-activated vermiculite as an efficient and recyclable catalyst for the Biginelli reaction: A green approach. Clay Miner. 2020, 55, 271–280. [Google Scholar] [CrossRef]
  55. Bosica, G.; Cachia, F.; De Nittis, R.; Mariotti, N. Efficient One-Pot Synthesis of 3,4-Dihydropyrimidin-2(1H)-ones via a Three-Component Biginelli Reaction. Molecules 2021, 26, 3753. [Google Scholar] [CrossRef] [PubMed]
  56. Diarjani, E.S.; Rajabi, F.; Yahyazadeh, A.; Puente-Santiago, A.R.; Luque, R. Copper Tridentate Schiff Base Complex Supported on SBA-15 as Efficient Nanocatalyst for Three-Component Reactions under Solventless Conditions. Materials 2018, 11, 2458. [Google Scholar] [CrossRef] [PubMed] [Green Version]
  57. Akbarzadeh, P.; Koukabi, N. Synthesis and characterization of the immobilized polythiophene on magnetic carbon nanotube as a prominent catalyst for the synthesis of dihydropyrimidinone and octahydroquinazolinone derivatives. Res. Chem. Intermediat. 2020, 46, 4955–4969. [Google Scholar] [CrossRef]
  58. Farooq, S.; Alharthi, F.A.; Alsalme, A.; Hussain, A.; Dar, B.A.; Hamid, A.; Koul, S. Dihydropyrimidinones: Efficient one-pot green synthesis using Montmorillonite-KSF and evaluation of their cytotoxic activity. RSC Adv. 2020, 10, 42221. [Google Scholar] [CrossRef]
  59. Freitas, E.F.; Souza, R.Y.; Passos, S.T.A.; Dias, J.A.; Dias, S.C.L.; Neto, B.A.D. Tuning the Biginelli reaction mechanism by the ionic liquid effect: The combined role of supported heteropolyacid derivatives and acidic strength. RSC Adv. 2019, 9, 27125. [Google Scholar] [CrossRef] [Green Version]
  60. Liu, Z.; Ma, R.; Cao, D.; Liu, C. New Efficient Synthesis of 3,4-Dihydropyrimidin-2(1H)-ones Catalyzed by Benzotriazolium-Based Ionic Liquids under Solvent-Free Conditions. Molecules 2016, 21, 462. [Google Scholar] [CrossRef] [PubMed] [Green Version]
  61. Zhang, Y.; Wang, B.; Zhang, X.; Huang, J.; Liu, C. An Efficient Synthesis of 3,4-Dihydropyrimidin-2(1H)-Ones and Thiones Catalyzed by a Novel Brønsted Acidic Ionic Liquid under Solvent-Free Conditions. Molecules 2015, 20, 3811–3820. [Google Scholar] [CrossRef] [PubMed] [Green Version]
  62. Mohammadi, B.; Behbahani, F.K. Recent developments in the synthesis and applications of dihydropyrimidin-2(1H)-ones and thiones. Mol. Divers. 2018, 22, 405–446. [Google Scholar] [CrossRef]
  63. Nagarajaiah, H.; Mukhopadhyay, A.; Moorthy, J.N. Biginelli reaction: An overview. Tetrahedron Lett. 2016, 57, 5135–5149. [Google Scholar] [CrossRef]
  64. Shumaila, A.M.A.; Al-Thulaia, A.A.N. Mini-review on the synthesis of Biginelli analogs using greener heterogeneous catalysis: Recent strategies with the support or direct catalyzing of inorganic catalysts. Synth. Commun. 2019, 49, 1613–1632. [Google Scholar] [CrossRef]
  65. Heravi, M.M.; Asadi, S.; Lashkariani, B.M. Recent progress in asymmetric Biginelli reaction. Mol. Divers. 2013, 17, 389–407. [Google Scholar] [CrossRef]
  66. Heravi, M.M.; Moradi, R.; Mohammadkhani, L.; Moradi, B. Current progress in asymmetric Biginelli reaction: An update. Mol. Divers. 2018, 22, 751–767. [Google Scholar] [CrossRef]
  67. Guo, Y.; Gao, Z.; Wang, K.; Li, J.; Bi, X.; Guo, L.; Liu, H.; Shi, E.; Xiao, J. Chiral Spirocyclic Phosphoric Acid-Catalyzed Synthesis of 4-Alkyl-3,4-dihydropyrimidin-2(1H)-one Derivatives by Asymmetric Biginelli Reactions. Asian J. Org. Chem. 2020, 9, 626–630. [Google Scholar] [CrossRef]
  68. Nasir, N.; Rehman, F.; Omair, S.F. Risk factors for bacterial infections in patients with moderate to severe COVID-19 case: A-control study. J. Med. Virol. 2021, 93, 4564–4569. [Google Scholar] [CrossRef]
  69. Marinescu, M. Synthesis of Antimicrobial Benzimidazole–Pyrazole Compounds and Their Biological Activities. Antibiotics 2021, 10, 1002. [Google Scholar] [CrossRef]
  70. Kidwai, M.; Saxena, S.; Khan, M.K.R.; Thukral, S.S. Synthesis of 4-aryl-7,7-dimethyl-1,2,3,4,5,6,7,8-octahydro quinazoline-2-one/thione-5-one derivatives and evaluation as antibacterials. Eur. J. Med. Chem. 2005, 40, 816–819. [Google Scholar] [CrossRef] [PubMed]
  71. Deshmukh, M.B.; Salunkhe, S.M.; Patil, D.R.; Anbhule, P.V. A novel and efficient one step synthesis of 2-amino-5-cyano-6-hydroxy-4-arylpyrimidines and their anti-bacterial activity. Eur. J. Med. Chem. 2009, 44, 2651–2654. [Google Scholar] [CrossRef]
  72. Rajanarendar, E.; Reddy, M.N.; Murthy, K.R.; Reddy, K.G.; Raju, S.; Srinivas, M.; Praveen, B.; Rao, M.S. Synthesis, antimicrobial, and mosquito larvicidal activity of 1-aryl-4-methyl-3,6-bis-(5-methylisoxazol-3-yl)-2-thioxo-2,3,6,10b-tetrahydro-1H -pyrimido[5,4-c]quinolin-5-ones. Bioorg. Med. Chem. Lett. 2010, 20, 6052–6055. [Google Scholar] [CrossRef]
  73. Chitra, S.; Devanathan, D.; Pandiarajan, K. Synthesis and in vitro microbiological evaluation of novel 4-aryl-5-isopropoxycarbonyl-6-methyl-3,4-dihydropyrimidinones. Eur. J. Med. Chem. 2010, 45, 367–371. [Google Scholar] [CrossRef]
  74. Dabholkar, V.V.; Ravi, T.D. Synthesis of Biginelli products of thiobarbituric acids and their antimicrobial activity. J. Serb. Chem. Soc. 2010, 75, 1033–1040. [Google Scholar] [CrossRef]
  75. Akhaja, T.N.; Raval, J.P. 1,3-dihydro-2H-indol-2-ones derivatives: Design, Synthesis, in vitro antibacterial, antifungal and antitubercular study. Eur. J. Med. Chem. 2011, 46, 5573–5579. [Google Scholar] [CrossRef]
  76. Kamal, A.; Shaheer, M.M.; Bajee, S.; Azeeza, S.; Faazil, S.; Ramakrishna, S.; Naidu, V.G.M.; Vishnuwardhan, M.V.P.S. Synthesis and biological evaluation of conformationally flexible as well as restricted dimers of monastrol and related dihydropyrimidones. Eur. J. Med. Chem. 2011, 46, 3274–3281. [Google Scholar] [CrossRef]
  77. Kaur, R.; Bansal, M.; Kaur, B.; Mishra, T.; Bhatia, A. Synthesis of 4-aryl-4,5-dihydro-1H-indeno[1,2-d]pyrimidines by Biginelli condensation and their antibacterial activities. J. Chem. Sci. 2011, 123, 443–451. [Google Scholar] [CrossRef] [Green Version]
  78. Kulakov, I.V. Synthesis and biological activity of 3,4-dihydropyrimidin-2-thione of aminomethylene derivatives based on the alkaloid cytisine. Chem. Nat. Comp. 2011, 47, 597–599. [Google Scholar] [CrossRef]
  79. Alam, M.M.; Akhter, M.; Husain, A.; Marella, A.; Tanwar, O.P.; Ali, R.; Hasan, S.M.; Kumar, H.; Haider, R.; Shaquiquzzaman, M. Anti-inflammatory and antimicrobial activity of 4,5-dihydropyrimidine-5-carbonitrile derivatives: Their synthesis and spectral elucidation. Acta Pol. Pharm. 2012, 69, 1077–1085. [Google Scholar] [PubMed]
  80. Shah, P.M.; Patel, M.P. Zn(OTf)2-catalyzed three component, one-pot cyclocondensation reaction of some new octahydroquinazolinone derivatives and access their bio-potential. Med. Chem. Res. 2012, 21, 1188–1198. [Google Scholar] [CrossRef]
  81. Youssef, M.M.; Amin, M.A. Microwave Assisted Synthesis of Some New Thiazolopyrimidine, Thiazolodipyrimidine and Thiazolopyrimidothiazolopyrimidine Derivatives with Potential Antioxidant and Antimicrobial Activity. Molecules 2012, 17, 9652–9667. [Google Scholar] [CrossRef] [Green Version]
  82. Sedaghati, B.; Fassihi, A.; Arbabi, S.; Ranjbar, M.; Memarian, H.R.; Saghaie, L.; Omidi, A.; Sardari, A.; Jalali, M.; Abedi, D. Synthesis and antimicrobial activity of novel derivatives of Biginelli pyrimidines. Med. Chem. Res. 2012, 21, 3973–3983. [Google Scholar] [CrossRef]
  83. Ghodasara, H.B.; Trivedi, A.R.; Kataria, B.; Patel, B.G.; Shah, V.H. Synthesis and antimicrobial evaluation of novel substituted pyrimidine scaffold. Med. Chem. Res. 2013, 22, 6121–6128. [Google Scholar] [CrossRef]
  84. Godhani, D.R.; Dobariya, P.B.; Jogel, A.A.; Sanghani, A.M.; Mehta, J.P. An efficient synthesis, characterization, and antimicrobial screening of tetrahydropyrimidine derivatives. Med. Chem. Res. 2014, 23, 2417–2425. [Google Scholar] [CrossRef]
  85. Umesha, K.; Sarojini, B.K.; Darshan Raj, C.G.; Bhanuprakash, v.; Yogisharadhya, R.; Raghavendra, R.; Khan, M.T.H. In vitro and in silico biological studies of novel thiazolo [3,2-a]pyrimidine-6-carboxylate derivatives. Med. Chem. Res. 2014, 23, 168–180. [Google Scholar] [CrossRef]
  86. Viveka, S.; Madhu, L.N.; Nagaraja, G.K. Synthesis of new pyrazole derivatives via multicomponent reaction and evaluation of their antimicrobial and antioxidant activities. Monatsh. Chem. 2015, 146, 1547–1555. [Google Scholar] [CrossRef]
  87. Raj, T.; Billing, B.K.; Kaur, N.; Singh, N. Design, synthesis and antimicrobial evaluation of dihydropyrimidone based organic–inorganic nanohybrids. RSC Adv. 2015, 5, 46654. [Google Scholar] [CrossRef]
  88. Gein, V.L.; Zamaraeva, T.M.; Fedotov, A.Y.; Balandina, A.V.; Dmitriev, M.V. Synthesis, Structure, and Antimicrobial Activity of N,6-Diaryl-4-methyl-2-oxo-1,2,3,6-tetrahydropyrimidine-5-carboxamides. Russ. J. Gen. Chem. 2016, 86, 2437–2441. [Google Scholar] [CrossRef]
  89. Khalifa, N.M.; Nossier, E.S.; Al-Omar, M.A.; Amr, A.E. Synthesis, Reactions, and Antimicrobial Activity of Some Novel Fused Thiazolo[3,2-a]pyrimidine-5H-indeno[1,2-d]pyrimidine Derivatives. Russ. J. Gen. Chem. 2016, 86, 1948–1953. [Google Scholar] [CrossRef]
  90. Ahmad, M.J.; Hassan, S.F.; Nisa, R.U.; Ayub, K.; Nadeem, M.S.; Nazir, S.; Ansari, F.L.; Qureshi, N.A.; Rashid, U. Synthesis, in vitro potential and computational studies on 2-amino-1,4-dihydropyrimidines as multitarget antibacterial ligands. Med. Chem. Res. 2016, 25, 1877–1894. [Google Scholar] [CrossRef]
  91. Ramachandran, V.; Arumugasamy, K.; Singh, S.K.; Edayadulla, N.; Ramesh, P.; Kamaraj, S.K. Synthesis, antibacterial studies, and molecular modeling studies of 3,4-dihydropyrimidinone compounds. J. Chem. Biol. 2016, 9, 31–40. [Google Scholar] [CrossRef] [PubMed] [Green Version]
  92. Desai, N.C.; Bhatt, M.J. Catalytic synthesis and antimicrobial activity of N-(3-chloro-2-oxo-4-phenylazetidin-1-yl)-4-(1H-indol-3-yl)-6-methyl-2-thioxo-1,2,3,4-tetrahydropyrimidine-5-carboxamides. Heterocycl. Commun. 2016, 22, 131–136. [Google Scholar] [CrossRef]
  93. Attri, A.; Bhatia, R.; Gaur, J.; Arora, B.; Gupta, A.; Kumar, N.; Choi, E.H. Triethylammonium acetate ionic liquid assisted one-pot synthesis of dihydropyrimidinones and evaluation of their antioxidant and antibacterial activities. Arab. J. Chem. 2017, 10, 206–214. [Google Scholar] [CrossRef] [Green Version]
  94. Wani, M.Y.; Ahmad, A.; Kumar, S.; Sobral, A.J.F.N. Flucytosine analogues obtained through Biginelli reaction as efficient combinative antifungal agents. Microb. Pathog. 2017, 105, 57–62. [Google Scholar] [CrossRef] [PubMed]
  95. Rani, J.; Saini, M.; Kumar, S.; Verma, P.K. Design, synthesis and biological potentials of novel tetrahydroimidazo[1,2-a]pyrimidine derivatives. Chem. Cent. J. 2017, 11, 16. [Google Scholar] [CrossRef] [PubMed] [Green Version]
  96. Allam, M.; Bhavani, A.K.D.; Vodnala, S. The New Green Procedure for Pyrazolopyrimidinone Based Dihydropyrimidinones and Their Antibacterial Screening. Russ. J. Gen. Chem. 2017, 87, 2712–2718. [Google Scholar] [CrossRef]
  97. Foroughifar, N.; Beromi, S.K.; Pasdar, H.; Shahi, M. Synthesis of Some New Tetrahydropyrimidine Derivatives as Possible Antibacterial Agents. Iran. J. Pharm. Res. 2017, 16, 596–601. [Google Scholar] [PubMed]
  98. Naik, N.S.; Shastri, L.A.; Joshi, S.D.; Dixit, S.R.; Chougala, B.M.; Samundeeswari, S.; Holiyachi, M.; Shaikh, F.; Madar, J.; Kulkarni, R.; et al. 3,4-Dihydropyrimidinone-coumarin analogues as a new class of selective agent against S. aureus: Synthesis, biological evaluation and molecular modelling study. Bioorg. Med. Chem. 2017, 25, 1413–1422. [Google Scholar] [CrossRef]
  99. Hamdi, N.; Medyouni, R.; Bilel, H.; Mansour, L.; Romerosa, A. An Efficient One-Pot Protocol for the Synthesis of Substituted 3,4-Dihydropyrimidin-2(1H)-ones Using Metallophthalocyanines (MPcs) as Potent Heterogeneous Catalysts: Synthesis, Characterization, Aggregation and Antimicrobial Activity. Molecules 2017, 22, 605. [Google Scholar] [CrossRef]
  100. Youssef, A.M.S.; Fouda, A.M.; Faty, R.M. Microwave assisted synthesis of some new thiazolopyrimidine and pyrimidothiazolopyrimidopyrimidine derivatives with potential antimicrobial activity. Chem. Cent. J. 2018, 12, 50. [Google Scholar] [CrossRef]
  101. Viveka, S.; Nagaraja, G.K.; Shama, P.; Basavarajaswamy, G.; Rao, K.P.; Sreenivasa, M.Y. One pot synthesis of thiazolo[2,3-b]dihydropyrimidinone possessing pyrazole moiety and evaluation of their antiinflammatory and antimicrobial activities. Med. Chem. Res. 2018, 27, 171–185. [Google Scholar] [CrossRef]
  102. Huseynzada, A.E.; Jelch, C.; Akhundzada, H.V.N.; Soudani, S.; Nasr, C.B.; Israyilova, A.; Doria, F.; Hasanova, U.A.; Khankishiyeva, R.F.; Freccero, M. Synthesis, crystal structure and antibacterial studies of dihydropyrimidines and their regioselectively oxidized products. RSC Adv. 2021, 11, 6312. [Google Scholar] [CrossRef]
  103. Gondru, R.; Peddi, S.R.; Manga, V.; Khanapur, M.; Gali, R.; Sirassu, N.; Bavantula, R. One-pot synthesis, biological evaluation and molecular docking studies of fused thiazolo[2,3-b]pyrimidinone pyrazolylcoumarin hybrids. Mol. Div. 2018, 22, 943–956. [Google Scholar] [CrossRef] [PubMed]
  104. Samdhian, V.; Bhatia, S.K.; Kaur, B. Cell-Viability Analysis Against MCF-7 Human Breast Cell Line and Antimicrobial Evaluation of Newly Synthesized Selenoxopyrimidines. Russ. J. Org. Chem. 2019, 55, 1041–1046. [Google Scholar] [CrossRef]
  105. Devineni, S.R.; Madduri, T.R.; Chamarthi, N.R.; Liu, C.Q.; Pavuluri, C.M. An efficient microwave-promoted three-component synthesis of thiazolo[3,2-a]pyrimidines catalyzed by SiO2–ZnBr2 and antimicrobial activity evaluation. Chem. Heterocycl. Compd. 2019, 55, 266–274. [Google Scholar] [CrossRef]
  106. Gein, V.L.; Prudnikova, A.N.; Kurbatova, A.A.; Dmitriev, M.V.; Novikova, V.V.; Rudakova, I.P.; Starikov, A.L. Three-Component Reaction of Dimedone with Aromatic Aldehydes and 5-Aminotetrazole. Russ. J. Gen. Chem. 2019, 89, 881–885. [Google Scholar] [CrossRef]
  107. Afradi, N.; Foroughifar, N.; Pasdar, H.; Qomi, M. Aspartic-acid-loaded starch-functionalized Mn–Fe–Ca ferrite magnetic nanoparticles as novel green heterogeneous nanomagnetic catalyst for solvent-free synthesis of dihydropyrimidine derivatives as potent antibacterial agents. Res. Chem. Intermed. 2019, 45, 3251–3271. [Google Scholar] [CrossRef]
  108. Jadhav, C.K.; Nipate, A.S.; Chate, A.V.; Songire, V.D.; Patil, A.P.; Gill, C.H. Efficient Rapid Access to Biginelli for the Multicomponent Synthesis of 1,2,3,4-Tetrahydropyrimidines in Room-Temperature Diisopropyl Ethyl Ammonium Acetate. ACS Omega 2019, 4, 22313–22324. [Google Scholar] [CrossRef] [PubMed]
  109. Desai, N.C.; Joshi, S.B.; Jadeja, K.A. A one-pot multicomponent Biginelli reaction for the preparation of novel pyrimidinthione derivatives as antimicrobial agents. J. Heterocycl. Chem. 2020, 57, 791–795. [Google Scholar] [CrossRef]
  110. Razzaghi-Asl, N.; Kamrani-Moghadam, M.; Farhangi, B.; Vahabpour, R.; Zabihollahi, R.; Sepehri, S. Design, synthesis and evaluation of cytotoxic, antimicrobial, and anti-HIV-1 activities of new 1,2,3,4-tetrahydropyrimidine derivatives. Res. Pharm. Sci. 2019, 14, 155–166. [Google Scholar] [CrossRef] [PubMed]
  111. Rajitha, G.; Arya, C.G.; Janardhan, B.; Laxmi, S.V.; Ramesh, G.; Kumari, U.S. 3-Aryl/Heteryl-5-Phenylindeno[1,2-d]thiazolo[3,2-a]pyrimidin-6(5H)-ones: Synthesis, Characterization, and Antimicrobial Investigation. Russ. J. Bioorg. Chem. 2020, 46, 612–619. [Google Scholar] [CrossRef]
  112. Sethiya, A.; Soni, J.; Manhas, A.; Jha, P.C.; Agarwal, S. Green and highly efficient MCR strategy for the synthesis of pyrimidine analogs in water via C–C and C–N bond formation and docking studies. Res. Chem. Intermed. 2021. [Google Scholar] [CrossRef]
  113. El-Emary, T.I.; Abdel-Mohsena, S.A.; Mohamed, S.A. An Efficient Synthesis and Reactions of 5-Acetyl-6-Methyl-4-(1,3-Diphenyl-1H-Pyrazol-4-yl)-3,4-Dihydropyrmidin-2(1H)-Thione as Potential Antimicrobial and Anti-Inflammatory Agents. Russ. J. Bioorg. Chem. 2021, 47, 561–571. [Google Scholar] [CrossRef]
  114. Marinescu, M.; Berea, E.B.; Neculae, A.V.F.; Stavarache, C.E.; Hanganu, A.; Zalaru, C.M.; Marton, G.I. Synthesis, biological screening and DFT studies of the new tetrahydropyrimidine-benzo[d]imidazol compounds. Arch. Chem. Res. 2018, 19–20, 2. [Google Scholar] [CrossRef]
  115. 115. Marinescu, M.; Zălaru, C.-M.; Hanganu, A.; Stavarache, C.; Marton, G.I. Synthesis, Spectral Characterization Antimicrobial Activity and DFT Studies of Some Tetrahydropyrimidinones. Proceedings 2020, 57, 52. [Google Scholar] [CrossRef]
  116. Vickers, C.F.; Silva, A.P.G.; Chakraborty, A.; Fernandez, P.; Kurepina, N.; Saville, C.; Naranjo, Y.; Pons, M.; Schnettger, L.S.; Gutierrez, M.G.; et al. Structure-based design of MptpB inhibitors that reduce multidrug-resistant mycobacterium tuberculosis survival and infection burden in vivo. J. Med. Chem. 2018, 61, 18337–18352. [Google Scholar] [CrossRef] [Green Version]
  117. Virsodia, V.; Pissurlenkar, R.R.S.; Manvar, D.; Dholakia, C.; Adlakha, P.; Shah, A.; Coutinho, E.C. Synthesis, screening for antitubercular activity and 3D-QSAR studies of substituted N-phenyl-6-methyl-2-oxo-4-phenyl-1,2,3,4-tetrahydro-pyrimidine-5-carboxamides. Eur. J. Med. Chem. 2008, 43, 2103–2115. [Google Scholar] [CrossRef]
  118. Trivedi, A.R.; Bhuva, V.R.; Dholariya, B.H.; Dodiya, D.K.; Kataria, V.B.; Shah, V.H. Novel dihydropyrimidines as a potential new class of antitubercular agents. Bioorg. Med. Chem. Lett. 2010, 20, 6100–6102. [Google Scholar] [CrossRef]
  119. Trivedi, A.R.; Dholariya, B.H.; Vakhariya, C.P.; Dodiya, D.K.; Ram, H.K.; Kataria, V.B.; Siddiqui, A.B.; Shah, V.H. Synthesis and anti-tubercular evaluation of some novel pyrazolo[3,4-d]pyrimidine derivatives. Med. Chem. Res. 2012, 21, 1887–1891. [Google Scholar] [CrossRef]
  120. Yadlapalli, R.K.; Chourasia, O.P.; Vemuri, K.; Sritharan, M.; Perali, R.S. Synthesis and in vitro anticancer and antitubercular activity of diarylpyrazole ligated dihydropyrimidines possessing lipophilic carbamoyl group. Bioorg. Med. Chem. Lett. 2012, 22, 2708–2711. [Google Scholar] [CrossRef]
  121. Ambre, P.K.; Pissurlenkar, R.R.S.; Wavhale, R.D.; Shaikh, M.S.; Khedkar, V.M.; Wan, B.; Franzblau, S.G.; Coutinho, E.C. Design, synthesis, and evaluation of 4-(substituted)phenyl-2-thioxo-3,4-dihydro-1H-chromino[4,3-d]pyrimidin -5-one and 4-(substituted)phenyl-3,4-dihydro-1H-chromino[4,3-d]pyrimidine-2,5-dione analogs as antitubercular agents. Med. Chem. Res. 2014, 23, 2564–2575. [Google Scholar] [CrossRef]
  122. Chikhale, R.; Menghani, S.; Babu, R.; Bansode, R.; Bhargavi, G.; Karodia, N.; Rajasekharan, M.V.; Paradkar, A.; Khedekar, P. Development of selective DprE1 inhibitors: Design, synthesis, crystal structure and antitubercular activity of benzothiazolylpyrimidine-5-carboxamide. Eur. J. Med. Chem. 2015, 96, 30–46. [Google Scholar] [CrossRef] [PubMed]
  123. Fatima, S.; Sharma, A.; Saxena, R.; Tripathi, R.; Shukla, S.K.; Pandey, S.K.; Tripathi, R. Tripathi, R.P. One pot efficient diversity oriented synthesis of polyfunctional styryl thiazolopyrimidines and their bio-evaluation as antimalarial and anti-HIV agents. Eur. J. Med. Chem. 2012, 55, 195–204. [Google Scholar] [CrossRef] [PubMed]
  124. Marinescu, M.; Cinteza, L.O.; Marton, G.I.; Chifiriuc, M.C.; Popa, M.; Stanculescu, I.; Zalaru, C.M.; Stavarache, C.E. Synthesis, density functional theory study and in vitro antimicrobial evaluation of new benzimidazole Mannich bases. BMC Chem. 2020, 14, 45. [Google Scholar] [CrossRef]
  125. Marinescu, M.; Tudorache, D.G.; Marton, G.; Zalaru, C.M.; Popa, M.; Chifiriuc, M.C.; Stavarache, C.; Constantinescu, C. Density functional theory molecular modeling, chemical synthesis, and antimicrobial behaviour of selected benzimidazole derivatives. J. Mol. Struct. 2017, 1130, 463–471. [Google Scholar] [CrossRef]
  126. Marinescu, M.; Cinteza, L.O.; Marton, G.; Măruţescu, L.; Chifiriuc, M.C.; Constantinescu, C. Density functional theory molecular modeling and antimicrobial behaviour of selected 1,2,3,4,5,6,7,8-octahydroacridine-N(10)-oxides. J. Mol. Struct. 2017, 1144, 14–23. [Google Scholar] [CrossRef]
  127. Zalaru, C.; Dumitrascu, F.; Draghici, C.; Tarcomnicu, I.; Tatia, R.; Moldovan, L.; Chifiriuc, M.C.; Lazar, V.; Marinescu, M.; Nitulescu, G.; et al. Synthesis, spectroscopic characterization, DFT study and antimicrobial activity of novel alkylaminopyrazole derivatives. J. Mol. Struct. 2018, 1156, 12–21. [Google Scholar] [CrossRef]
Scheme 1. The Biginelli dihydropyrimidone synthesis.
Scheme 1. The Biginelli dihydropyrimidone synthesis.
Molecules 26 06022 sch001
Figure 1. Schematic representation of the synthesis and therapeutical properties of antimicrobial Biginelli mediated Pyrimidine compounds.
Figure 1. Schematic representation of the synthesis and therapeutical properties of antimicrobial Biginelli mediated Pyrimidine compounds.
Molecules 26 06022 g001
Scheme 2. Synthesis of quinazolines 2a2h using Biginelli reaction.
Scheme 2. Synthesis of quinazolines 2a2h using Biginelli reaction.
Molecules 26 06022 sch002
Scheme 3. Synthesis of 2-amino-5-cyano-6-hydroxy-4-arylpyrimidines 3a3l.
Scheme 3. Synthesis of 2-amino-5-cyano-6-hydroxy-4-arylpyrimidines 3a3l.
Molecules 26 06022 sch003
Scheme 4. Synthesis of compounds 4a4h and 6a6h.
Scheme 4. Synthesis of compounds 4a4h and 6a6h.
Molecules 26 06022 sch004
Scheme 5. Synthesis of compounds 7a7h.
Scheme 5. Synthesis of compounds 7a7h.
Molecules 26 06022 sch005
Scheme 6. Synthesis of compounds 8a8d and 9a9d.
Scheme 6. Synthesis of compounds 8a8d and 9a9d.
Molecules 26 06022 sch006
Scheme 7. Synthesis of compounds 14a14l.
Scheme 7. Synthesis of compounds 14a14l.
Molecules 26 06022 sch007
Figure 2. Chemical structures of the comounds 15a15e and 16a16e.
Figure 2. Chemical structures of the comounds 15a15e and 16a16e.
Molecules 26 06022 g002
Scheme 8. Synthesis of compounds 1726 and 1726(ad).
Scheme 8. Synthesis of compounds 1726 and 1726(ad).
Molecules 26 06022 sch008
Scheme 9. Synthesis of compounds 28a28b.
Scheme 9. Synthesis of compounds 28a28b.
Molecules 26 06022 sch009
Scheme 10. Synthesis of compounds 31a31n.
Scheme 10. Synthesis of compounds 31a31n.
Molecules 26 06022 sch010
Scheme 11. Synthesis of compounds 35a35p.
Scheme 11. Synthesis of compounds 35a35p.
Molecules 26 06022 sch011
Scheme 12. Synthesis of compounds 36, 37, and 38.
Scheme 12. Synthesis of compounds 36, 37, and 38.
Molecules 26 06022 sch012
Figure 3. Chemical structures of compounds 39a39b, 40a40c, 41 and 42.
Figure 3. Chemical structures of compounds 39a39b, 40a40c, 41 and 42.
Molecules 26 06022 g003
Scheme 13. Synthesis of compounds 43a43d, 44a44d, and 45a5d.
Scheme 13. Synthesis of compounds 43a43d, 44a44d, and 45a5d.
Molecules 26 06022 sch013
Scheme 14. Synthesis of compounds 46a46h.
Scheme 14. Synthesis of compounds 46a46h.
Molecules 26 06022 sch014
Scheme 15. Synthesis of compounds 47a47f and 48a48f.
Scheme 15. Synthesis of compounds 47a47f and 48a48f.
Molecules 26 06022 sch015
Scheme 16. Synthesis of compounds 49a49f.
Scheme 16. Synthesis of compounds 49a49f.
Molecules 26 06022 sch016
Scheme 17. Synthesis of compounds 50a50e.
Scheme 17. Synthesis of compounds 50a50e.
Molecules 26 06022 sch017
Scheme 18. Synthesis of compounds 5161.
Scheme 18. Synthesis of compounds 5161.
Molecules 26 06022 sch018
Figure 4. Chemical structures of compounds 62a62d and 63.
Figure 4. Chemical structures of compounds 62a62d and 63.
Molecules 26 06022 g004
Figure 5. Chemical structures of compounds 6466.
Figure 5. Chemical structures of compounds 6466.
Molecules 26 06022 g005
Scheme 19. Synthesis of compounds 67a67e and 68a68e.
Scheme 19. Synthesis of compounds 67a67e and 68a68e.
Molecules 26 06022 sch019
Figure 6. Extra precision Glide docking of human rRNA (3J3D) with (a) amikacin and (b) compound 68e.
Figure 6. Extra precision Glide docking of human rRNA (3J3D) with (a) amikacin and (b) compound 68e.
Molecules 26 06022 g006
Scheme 20. Synthesis of compounds 71a71c and 72a72c.
Scheme 20. Synthesis of compounds 71a71c and 72a72c.
Molecules 26 06022 sch020
Figure 7. Chemical structures of compounds 73a73c, 74a74b, and 75a75b.
Figure 7. Chemical structures of compounds 73a73c, 74a74b, and 75a75b.
Molecules 26 06022 g007
Scheme 21. Synthesis of compounds 76a76e and 77a77e.
Scheme 21. Synthesis of compounds 76a76e and 77a77e.
Molecules 26 06022 sch021
Figure 8. Chemical structures of compounds 78a78f and 79.
Figure 8. Chemical structures of compounds 78a78f and 79.
Molecules 26 06022 g008
Scheme 22. Synthesis of compounds 80a80e and 81a81e.
Scheme 22. Synthesis of compounds 80a80e and 81a81e.
Molecules 26 06022 sch022
Figure 9. Chemical structures of compounds 82a82e and 8385.
Figure 9. Chemical structures of compounds 82a82e and 8385.
Molecules 26 06022 g009
Figure 10. Chemical structures of compounds 86, 87, 88, and 89.
Figure 10. Chemical structures of compounds 86, 87, 88, and 89.
Molecules 26 06022 g010
Scheme 23. Synthesis of compounds 90a90c and 92a92c.
Scheme 23. Synthesis of compounds 90a90c and 92a92c.
Molecules 26 06022 sch023
Figure 11. Chemical structures of compounds 93 and 94.
Figure 11. Chemical structures of compounds 93 and 94.
Molecules 26 06022 g011
Scheme 24. Synthesis of compounds 97a97j.
Scheme 24. Synthesis of compounds 97a97j.
Molecules 26 06022 sch024
Scheme 25. Synthesis of compounds 98a98g.
Scheme 25. Synthesis of compounds 98a98g.
Molecules 26 06022 sch025
Scheme 26. Synthesis of compounds 99a99e and 100a100e.
Scheme 26. Synthesis of compounds 99a99e and 100a100e.
Molecules 26 06022 sch026
Figure 12. Chemical structures of compounds 101.
Figure 12. Chemical structures of compounds 101.
Molecules 26 06022 g012
Scheme 27. Synthesis of the compounds 102a102i catalyzed by MnFeCaFe2O4@starch@aspartic acid MNPs.
Scheme 27. Synthesis of the compounds 102a102i catalyzed by MnFeCaFe2O4@starch@aspartic acid MNPs.
Molecules 26 06022 sch027
Figure 13. Structure−activity relationship of compounds 103a103f.
Figure 13. Structure−activity relationship of compounds 103a103f.
Molecules 26 06022 g013
Scheme 28. Synthesis of compounds 104a104c.
Scheme 28. Synthesis of compounds 104a104c.
Molecules 26 06022 sch028
Scheme 29. Synthesis of compounds 105a105d.
Scheme 29. Synthesis of compounds 105a105d.
Molecules 26 06022 sch029
Scheme 30. Synthesis of compounds 106 and 107.
Scheme 30. Synthesis of compounds 106 and 107.
Molecules 26 06022 sch030
Scheme 31. Synthesis of compounds 108a108g.
Scheme 31. Synthesis of compounds 108a108g.
Molecules 26 06022 sch031
Figure 14. 3D and 2D interaction plots of docked compound 108e within the binding cavity of 1KZN.
Figure 14. 3D and 2D interaction plots of docked compound 108e within the binding cavity of 1KZN.
Molecules 26 06022 g014
Scheme 32. Synthesis of compounds 109, 110a110c, 111a, 111b, 112, 113a, and 113b.
Scheme 32. Synthesis of compounds 109, 110a110c, 111a, 111b, 112, 113a, and 113b.
Molecules 26 06022 sch032
Figure 15. Chemical structure of compounds 14d, 114, 115a, and 115b.
Figure 15. Chemical structure of compounds 14d, 114, 115a, and 115b.
Molecules 26 06022 g015
Scheme 33. Synthesis of compounds 116a116h.
Scheme 33. Synthesis of compounds 116a116h.
Molecules 26 06022 sch033
Figure 16. Chemical structure of compounds 117a117b, 118a118b.
Figure 16. Chemical structure of compounds 117a117b, 118a118b.
Molecules 26 06022 g016
Scheme 34. Synthesis of compounds 119a119d.
Scheme 34. Synthesis of compounds 119a119d.
Molecules 26 06022 sch034
Figure 17. Chemical structure of compounds 37a37d.
Figure 17. Chemical structure of compounds 37a37d.
Molecules 26 06022 g017
Figure 18. Chemical structures of compounds 77f77h.
Figure 18. Chemical structures of compounds 77f77h.
Molecules 26 06022 g018
Figure 19. Chemical structures of compounds 92a, 92b, 92e92h.
Figure 19. Chemical structures of compounds 92a, 92b, 92e92h.
Molecules 26 06022 g019
Figure 20. Chemical structures of compounds 62e, 62f, and 62g.
Figure 20. Chemical structures of compounds 62e, 62f, and 62g.
Molecules 26 06022 g020
Figure 21. Intermolecular interactions with of the compounds 47a (A) and 48a (B) (Scheme 13) at the active site of human inosine monophosphate dehydrogenase (IMPDH) type II (PDB ID: 1NFB), where Cys331 is the catalytic residue. Both compounds exhibited imperative hydrogen bonding with a number of explicit residues of the active site of IMPDH.
Figure 21. Intermolecular interactions with of the compounds 47a (A) and 48a (B) (Scheme 13) at the active site of human inosine monophosphate dehydrogenase (IMPDH) type II (PDB ID: 1NFB), where Cys331 is the catalytic residue. Both compounds exhibited imperative hydrogen bonding with a number of explicit residues of the active site of IMPDH.
Molecules 26 06022 g021
Figure 22. Chemical structures of compounds 105e, 105f, 105h and 105i.
Figure 22. Chemical structures of compounds 105e, 105f, 105h and 105i.
Molecules 26 06022 g022
Figure 23. Chemical structures of compounds 120, 121, and 122.
Figure 23. Chemical structures of compounds 120, 121, and 122.
Molecules 26 06022 g023
Table 1. Minimum inhibitory concentration of compounds 1723.
Table 1. Minimum inhibitory concentration of compounds 1723.
CompoundMinimum Inhibitory Concentration MIC (μg mL−1)
PFSTSAECBSSEAC
17b15-12---55
20a-2754122-
20b141617211336
23b1428---46-
25b-1326545020-
PF: P. fluorescence; ST: S. typhimurium; SA: S. aureus; EC: E. coli; BS: B. subtilis; SE: S. epidermidis; AC: A. calcoaceticus.
Table 2. Minimum inhibitory concentration MIC (μg mL−1) of compounds 31.
Table 2. Minimum inhibitory concentration MIC (μg mL−1) of compounds 31.
CompoundsStaphylococcus aureusEscherichia coliRhizopus oryzaPenicillium citrum
31b50>10050>100
31c505050>100
31d50502525
31e12.512.512.512.5
31i25255050
Norfloxacin6.256.25--
Fluconazole--6.256.25
Table 3. In vitro antibacterial activities of compounds 50a50e.
Table 3. In vitro antibacterial activities of compounds 50a50e.
CompoundsMIC (μg mL−1)
SaPaSfEcGcCa
50a15 ± 130 ± 0.57172 ± 240 ± 199 ± 1
50b15>100>100>10060 ± 3>100
50c20 ± 318 ± 17375 ± 2>10099 ± 1
50d80 ± 482 ± 2>10090 ± 4>100>100
50e90 ± 291 ± 2>10085 ± 4>100>100
Sa: S. aureus MTCC 740; Pa: P. aeruginosa MTCC 741; Sf: S. flexneri MTCC 1457; Ec: E. coli MTCC 119; Gc: G. candidum MTCC 3993; CA: C. albicans MTCC 227.
Table 4. In vitro antibacterial activity (MIC) of compounds 80a80e and 81a81e.
Table 4. In vitro antibacterial activity (MIC) of compounds 80a80e and 81a81e.
CompoundMinimum Inhibitory Concentrations (MIC) (μg mL−1)
S. aureusB. subtilisE. coliP. aeruginosa
80a0.412.550100
80b0.81005025
80c3.121002550
80d0.25012.5100
80e0.41002525
81a0.41001.6100
81b0.85025100
81c0.8500.4100
81d6.255025100
81e0.41000.4100
Ciprofloxacin222<4
Table 5. In vitro antibacterial activity (MIC) of compounds 92a92c.
Table 5. In vitro antibacterial activity (MIC) of compounds 92a92c.
CompoundMinimum Inhibitory Concentrations (MIC) (μg mL−1)
E. coliS. aureusP. aeruginosaK. pneumoniae
92a3.123.1212.56.25
92b3.126.2512.53.12
92c6.25256.256.25
Streptomycin2.82.53.82.8
Table 6. In vitro antibacterial activity (MIC) of compounds 97a97i.
Table 6. In vitro antibacterial activity (MIC) of compounds 97a97i.
CompoundsMinimum Inhibitory Concentrations (MIC) (μg mL−1)
S. aureusB. subtilisS. epidermitisE. coliK. pneumoniaeP. aeruginosa
97a--50 ± 0.22-50 ± 0.636.25 ± 0.21
97b25 ± 0.6225 ± 0.4612.5 ± 0.9050 ± 0.3250 ± 0.796.25 ± 0.79
97c1.56 ± 0.2212.5 ± 0.7112.5 ± 0.312.5 ± 0.4412.5 ± 0.586.25 ± 0.15
97d1.56 ± 0.351.56 ± 0.453.12 ± 0.666.25 ± 0.706.25 ± 0.4012.5 ± 0.23
97e3.12 ± 0.286.25 ± 0.1912.5 ± 0.3750 ± 0.686.25 ± 0.306.25 ± 0.16
97f6.25 ± 0.496.25 ± 0.3312.5 ± 0.3850 ± 0.4212.5 ± 0.2212.5 ± 0.50
97g3.12 ± 0.2812.5 ± 0.4212.5 ± 0.3125 ± 0.2050 ± 0.4012.5 ± 0.36
97h3.12 ± 0.196.25 ± 0.2012.5 ± 0.456.25 ± 0.4312.5 ± 0.226.25 ± 0.38
97i---12.5 ± 0.25-25 ± 0.55
Streptomycin6.25 ± 0.256.25 ± 0.703.125 ± 0.456.25 ± 0.823.125 ± 0.961.562 ± 0.69
Penicillin1.56 ± 0.211.562 ± 0.653.125 ± 0.2212.5 ± 0.356.25 ± 0.8812.5 ± 0.74
Table 7. In vitro antibacterial activity (MIC) (μg mL−1) of compounds 98a98g.
Table 7. In vitro antibacterial activity (MIC) (μg mL−1) of compounds 98a98g.
Comp.Gram-Positive BacteriaGram Negative BacteriaFungi
EcKpPaPfSaBsSpAjPgAnFoAs
98a32163283232163232321616
98b32832161632323216323216
98c16323232321616816161616
98d8321632321632321633232
98e32323283232641616161616
98f1616832161683216323232
98g32321616323232168163216
Amoxicilin44442242----
Fluconazole--------2222
Ec: Escherichia coli; Kp: Klebsiella pneumoniae; Pa: Pseudomonas aeruginosa; Pf: Pseudomonas fluorescens; Sa: Staphylococcus aureus; Bs: Bacillus subtilis; Sp: Staphylococcus pyrogens; Aj: Aspergillus janus; Pg: Penicillium glabrum; An: Aspergillus niger; Fo: Fusarium oxysporum; As: Aspergillus sclerotioum.
Table 8. In vitro antibacterial activity (MIC) (μg mL−1) of compounds 103a103f.
Table 8. In vitro antibacterial activity (MIC) (μg mL−1) of compounds 103a103f.
CompoundsMinimum Inhibitory Concentrations (MIC) (μg mL−1)
E. coliP. aeruginosaS. aueusS. pyogenesC. albicansA. niger
103a502550050500250
103b5012.525250100250
103c12.52510050500250
103d10050010010010025
103e50050050025012.550
103f1001002505050100
Ampicillin5050200200--
Griseofulvin----500100
Table 9. In vitro antibacterial activity (MIC) (μg mL−1) of compounds 104a104c.
Table 9. In vitro antibacterial activity (MIC) (μg mL−1) of compounds 104a104c.
CompoundBacteriaFungi
EcPaSaSpCaAnAc
104a12.52502502501000250250
104b10020050020012.550500
104c10025012.512.550010001000
Ciprofloxacin25255050---
Nystatin----100100100
Ec: Escherichia coli; Pa: Pseudomonas aeruginosa; Sa: Staphylococcus aureus; Sp: Streptococcus pyogenes; Ca: Candida albicans; An: Aspergillus niger; Ac: Aspergillus clavatus.
Table 10. In vitro antibacterial activity (MIC) (μg mL−1) of compounds 109113.
Table 10. In vitro antibacterial activity (MIC) (μg mL−1) of compounds 109113.
CompoundsDiameter of Zone of Inhibition (mm)/% Inhibition with Reference to Standard
S. aueusB. cereusE. coliP. aeruginosaC. albicansA. flavus
10915 (46)19 (49)22 (81)14 (82)--
110a9 (50)-----
110b13 (72)16 (66)31 (>100)23 (>100)11 (39)27 (64)
110c10 (55)13 (54)15 (56)---
111a12 (66)9 (37)13 (48)--21 (50)
111b19 (>100)29 (>100)33 (>100)26 (>100)10 (36)36 (86)
11211 (61)35 (>100)11 (41)8 (47)--
113a12 (66)10 (42)13 (48)8 (47)19 (68)26 (62)
113b22 (>100)29 (>100)37 (>100)24 (>100)-44 (>100)
Chloramphenicol18242717--
Clotrimazole----2842
Table 11. Antioxidant assays by erythrocyte hemolysis (A/B).
Table 11. Antioxidant assays by erythrocyte hemolysis (A/B).
CompoundAbsorbance of Sample (A)Hemolysis (%)
Complete hemolysis with distilled water (B)0.660-
37a0.0355.22
37b0.0314.68
37c0.0456.92
37d0.0518.02
Table 12. Antioxidant assays by ABTS method (Abs. (control) − Abs.(test)/Abs.(control) × 100).
Table 12. Antioxidant assays by ABTS method (Abs. (control) − Abs.(test)/Abs.(control) × 100).
CompoundAbsorbance of Sample (A)Inhibition (%)
ABTS control0.540
Ascorbic acid0.0688.8
37a0.1081.5
37b0.1277.7
37c0.1572.2
37d0.1375.9
Table 13. The in vitro anti-inflammatory results of compounds 80a80e and 81a81e with % bands and % inhibition of MMP-2 and MMP-9.
Table 13. The in vitro anti-inflammatory results of compounds 80a80e and 81a81e with % bands and % inhibition of MMP-2 and MMP-9.
Compound% Bands of MMP% Inhibition of MMP
MMP-9MMP-2MMP-9MMP-2
80a20108090
80b15058595
80c10015-85
80d30057095
80e10049096
81a10018-82
81b90131087
81c10015-85
81d70203080
81e05109590
Tetracycline0000100100
Publisher’s Note: MDPI stays neutral with regard to jurisdictional claims in published maps and institutional affiliations.

Share and Cite

MDPI and ACS Style

Marinescu, M. Biginelli Reaction Mediated Synthesis of Antimicrobial Pyrimidine Derivatives and Their Therapeutic Properties. Molecules 2021, 26, 6022. https://doi.org/10.3390/molecules26196022

AMA Style

Marinescu M. Biginelli Reaction Mediated Synthesis of Antimicrobial Pyrimidine Derivatives and Their Therapeutic Properties. Molecules. 2021; 26(19):6022. https://doi.org/10.3390/molecules26196022

Chicago/Turabian Style

Marinescu, Maria. 2021. "Biginelli Reaction Mediated Synthesis of Antimicrobial Pyrimidine Derivatives and Their Therapeutic Properties" Molecules 26, no. 19: 6022. https://doi.org/10.3390/molecules26196022

APA Style

Marinescu, M. (2021). Biginelli Reaction Mediated Synthesis of Antimicrobial Pyrimidine Derivatives and Their Therapeutic Properties. Molecules, 26(19), 6022. https://doi.org/10.3390/molecules26196022

Article Metrics

Back to TopTop