Cellular and Molecular Engineering of Glycan Sialylation in Heterologous Systems
Abstract
1. Introduction
2. Strategies to Achieve Human Sialylation
2.1. Mammalian Cells
2.1.1. Enhancing the CMP-Sia Supply Chain Improves Sialylation
2.1.2. Overexpression or Suppression of Glycoenzymes to Regulate the Extent and Stereochemistry of Sialylation
2.1.3. Choice of Cell Lines for Transient Expression
2.2. Bacteria
2.3. Insects
2.4. Plants
2.5. Cell-Free Sialylation
3. Manipulating Sialyltransferases at a Molecular Level
3.1. Bacterial Sialyltransferases
3.1.1. Controlling Hydrolysis and Sialidase Activity
3.1.2. Changing Regioselectivity through Rational Mutations
3.1.3. Controlling the Polysialylation Reaction
3.2. Mammalian Sialyltransferases
3.3. Measuring Sialyltransferase Activity
3.4. Applications of Engineered Sialyltransferases
3.5. In Vitro Chemoenzymatic Carbohydrate Synthesis
3.6. Modification of Glycans on Cell Surface
4. Conclusions
Funding
Institutional Review Board Statement
Informed Consent Statement
Conflicts of Interest
References
- Kawasaki, N.; Itoh, S.; Hashii, N.; Takakura, D.; Qin, Y.; Huang, X.; Yamaguchi, T. The significance of glycosylation analysis in development of biopharmaceuticals. Biol. Pharm. Bull. 2009, 32, 796–800. [Google Scholar] [CrossRef] [PubMed]
- Decker, E.L.; Parsons, J.; Reski, R. Glyco-engineering for biopharmaceutical production in moss bioreactors. Front. Plant Sci. 2014, 5, 346. [Google Scholar] [CrossRef] [PubMed]
- Bhide, G.P.; Colley, K.J. Sialylation of N-glycans: Mechanism, cellular compartmentalization and function. Histochem. Cell. Biol. 2017, 147, 149–174. [Google Scholar] [CrossRef] [PubMed]
- Chitlaru, T.; Kronman, C.; Velan, B.; Shafferman, A. Effect of human acetylcholinesterase subunit assembly on its circulatory residence. Biochem. J. 2001, 354, 613–625. [Google Scholar] [CrossRef]
- Kronman, C.; Chitlaru, T.; Elhanany, E.; Velan, B.; Shafferman, A. Hierarchy of post-translational modifications involved in the circulatory longevity of glycoproteins. Demonstration of concerted contributions of glycan sialylation and subunit assembly to the pharmacokinetic behavior of bovine acetylcholinesterase. J. Biol. Chem. 2000, 275, 29488–29502. [Google Scholar] [CrossRef] [PubMed]
- Inoue, S.; Kitajima, K. KDN (deaminated neuraminic acid): Dreamful past and exciting future of the newest member of the sialic acid family. Glycoconj. J. 2006, 23, 277–290. [Google Scholar] [CrossRef] [PubMed]
- Schauer, R.; Kamerling, J.P. Exploration of the Sialic Acid World. Adv. Carbohydr. Chem. Biochem. 2018, 75, 1–213. [Google Scholar] [CrossRef]
- Kiermaier, E.; Moussion, C.; Veldkamp, C.T.; Gerardy-Schahn, R.; de Vries, I.; Williams, L.G.; Chaffee, G.R.; Phillips, A.J.; Freiberger, F.; Imre, R.; et al. Polysialylation controls dendritic cell trafficking by regulating chemokine recognition. Science 2016, 351, 186–190. [Google Scholar] [CrossRef]
- Pietrobono, S.; Stecca, B. Aberrant Sialylation in Cancer: Biomarker and Potential Target for Therapeutic Intervention? Cancers 2021, 13, 2014. [Google Scholar] [CrossRef]
- Sato, C.; Kitajima, K. Polysialylation and disease. Mol. Asp. Med. 2021, 79, 100892. [Google Scholar] [CrossRef]
- Dicker, M.; Strasser, R. Using glyco-engineering to produce therapeutic proteins. Expert Opin. Biol. 2015, 15, 1501–1516. [Google Scholar] [CrossRef]
- Omasa, T.; Onitsuka, M.; Kim, W.D. Cell engineering and cultivation of chinese hamster ovary (CHO) cells. Curr. Pharm. Biotechnol. 2010, 11, 233–240. [Google Scholar] [CrossRef]
- Wang, Q.; Yin, B.; Chung, C.Y.; Betenbaugh, M.J. Glycoengineering of CHO Cells to Improve Product Quality. Methods Mol. Biol. 2017, 1603, 25–44. [Google Scholar] [CrossRef]
- Yin, B.; Wang, Q.; Chung, C.Y.; Bhattacharya, R.; Ren, X.; Tang, J.; Yarema, K.J.; Betenbaugh, M.J. A novel sugar analog enhances sialic acid production and biotherapeutic sialylation in CHO cells. Biotechnol. Bioeng. 2017, 114, 1899–1902. [Google Scholar] [CrossRef]
- Del Solar, V.; Gupta, R.; Zhou, Y.; Pawlowski, G.; Matta, K.L.; Neelamegham, S. Robustness in glycosylation systems: Effect of modified monosaccharides, acceptor decoys and azido sugars on cellular nucleotide-sugar levels and pattern of N-linked glycosylation. Mol. Omics. 2020, 16, 377–386. [Google Scholar] [CrossRef]
- Son, Y.D.; Jeong, Y.T.; Park, S.Y.; Kim, J.H. Enhanced sialylation of recombinant human erythropoietin in Chinese hamster ovary cells by combinatorial engineering of selected genes. Glycobiology 2011, 21, 1019–1028. [Google Scholar] [CrossRef][Green Version]
- Harduin-Lepers, A.; Recchi, M.A.; Delannoy, P. 1994, the year of sialyltransferases. Glycobiol. 1995, 5, 741–758. [Google Scholar] [CrossRef]
- Minch, S.L.; Kallio, P.T.; Bailey, J.E. Tissue plasminogen activator coexpressed in Chinese hamster ovary cells with alpha(2,6)-sialyltransferase contains NeuAc alpha(2,6)Gal beta(1,4)Glc-N-AcR linkages. Biotechnol. Prog. 1995, 11, 348–351. [Google Scholar] [CrossRef] [PubMed]
- Bragonzi, A.; Distefano, G.; Buckberry, L.D.; Acerbis, G.; Foglieni, C.; Lamotte, D.; Campi, G.; Marc, A.; Soria, M.R.; Jenkins, N.; et al. A new Chinese hamster ovary cell line expressing alpha2,6-sialyltransferase used as universal host for the production of human-like sialylated recombinant glycoproteins. Biochim. Biophys. Acta 2000, 1474, 273–282. [Google Scholar] [CrossRef]
- Thi Sam, N.; Misaki, R.; Ohashi, T.; Fujiyama, K. Enhancement of glycosylation by stable co-expression of two sialylation-related enzymes on Chinese hamster ovary cells. J. Biosci. Bioeng. 2018, 126, 102–110. [Google Scholar] [CrossRef] [PubMed]
- Amann, T.; Hansen, A.H.; Kol, S.; Hansen, H.G.; Arnsdorf, J.; Nallapareddy, S.; Voldborg, B.; Lee, G.M.; Andersen, M.R.; Kildegaard, H.F. Glyco-engineered CHO cell lines producing alpha-1-antitrypsin and C1 esterase inhibitor with fully humanized N-glycosylation profiles. Metab. Eng. 2019, 52, 143–152. [Google Scholar] [CrossRef]
- Yang, Z.; Wang, S.; Halim, A.; Schulz, M.A.; Frodin, M.; Rahman, S.H.; Vester-Christensen, M.B.; Behrens, C.; Kristensen, C.; Vakhrushev, S.Y.; et al. Engineered CHO cells for production of diverse, homogeneous glycoproteins. Nat. Biotechnol. 2015, 33, 842–844. [Google Scholar] [CrossRef]
- Yin, B.; Gao, Y.; Chung, C.Y.; Yang, S.; Blake, E.; Stuczynski, M.C.; Tang, J.; Kildegaard, H.F.; Andersen, M.R.; Zhang, H.; et al. Glycoengineering of Chinese hamster ovary cells for enhanced erythropoietin N-glycan branching and sialylation. Biotechnol. Bioeng. 2015, 112, 2343–2351. [Google Scholar] [CrossRef]
- Elliott, S.; Lorenzini, T.; Asher, S.; Aoki, K.; Brankow, D.; Buck, L.; Busse, L.; Chang, D.; Fuller, J.; Grant, J.; et al. Enhancement of therapeutic protein in vivo activities through glycoengineering. Nat. Biotechnol. 2003, 21, 414–421. [Google Scholar] [CrossRef]
- Chuan, K.H.; Lim, S.F.; Martin, L.; Yun, C.Y.; Loh, S.O.; Lasne, F.; Song, Z. Caspase activation, sialidase release and changes in sialylation pattern of recombinant human erythropoietin produced by CHO cells in batch and fed-batch cultures. Cytotechnology 2006, 51, 67–79. [Google Scholar] [CrossRef][Green Version]
- Park, J.H.; Wang, Z.; Jeong, H.J.; Park, H.H.; Kim, B.G.; Tan, W.S.; Choi, S.S.; Park, T.H. Enhancement of recombinant human EPO production and glycosylation in serum-free suspension culture of CHO cells through expression and supplementation of 30Kc19. Appl. Microbiol. Biotechnol. 2012, 96, 671–683. [Google Scholar] [CrossRef]
- Lee, J.H.; Kim, Y.G.; Lee, G.M. Effect of Bcl-xL overexpression on sialylation of Fc-fusion protein in recombinant Chinese hamster ovary cell cultures. Biotechnol. Prog. 2015, 31, 1133–1136. [Google Scholar] [CrossRef]
- Zhang, M.; Koskie, K.; Ross, J.S.; Kayser, K.J.; Caple, M.V. Enhancing glycoprotein sialylation by targeted gene silencing in mammalian cells. Biotechnol. Bioeng. 2010, 105, 1094–1105. [Google Scholar] [CrossRef]
- Zhong, X.; Ma, W.; Meade, C.L.; Tam, A.S.; Llewellyn, E.; Cornell, R.; Cote, K.; Scarcelli, J.J.; Marshall, J.K.; Tzvetkova, B.; et al. Transient CHO expression platform for robust antibody production and its enhanced N-glycan sialylation on therapeutic glycoproteins. Biotechnol. Prog. 2019, 35, e2724. [Google Scholar] [CrossRef]
- Valderrama-Rincon, J.D.; Fisher, A.C.; Merritt, J.H.; Fan, Y.Y.; Reading, C.A.; Chhiba, K.; Heiss, C.; Azadi, P.; Aebi, M.; DeLisa, M.P. An engineered eukaryotic protein glycosylation pathway in Escherichia coli. Nat. Chem. Biol. 2012, 8, 434–436. [Google Scholar] [CrossRef]
- Feldman, M.F.; Wacker, M.; Hernandez, M.; Hitchen, P.G.; Marolda, C.L.; Kowarik, M.; Morris, H.R.; Dell, A.; Valvano, M.A.; Aebi, M. Engineering N-linked protein glycosylation with diverse O antigen lipopolysaccharide structures in Escherichia coli. Proc. Natl. Acad. Sci. USA 2005, 102, 3016–3021. [Google Scholar] [CrossRef]
- Tytgat, H.L.P.; Lin, C.W.; Levasseur, M.D.; Tomek, M.B.; Rutschmann, C.; Mock, J.; Liebscher, N.; Terasaka, N.; Azuma, Y.; Wetter, M.; et al. Cytoplasmic glycoengineering enables biosynthesis of nanoscale glycoprotein assemblies. Nat. Commun. 2019, 10, 5403. [Google Scholar] [CrossRef]
- Bandi, C.K.; Agrawal, A.; Chundawat, S.P. Carbohydrate-Active enZyme (CAZyme) enabled glycoengineering for a sweeter future. Curr. Opin. Biotechnol. 2020, 66, 283–291. [Google Scholar] [CrossRef]
- Wacker, M.; Linton, D.; Hitchen, P.G.; Nita-Lazar, M.; Haslam, S.M.; North, S.J.; Panico, M.; Morris, H.R.; Dell, A.; Wren, B.W.; et al. N-linked glycosylation in Campylobacter jejuni and its functional transfer into E. coli. Science 2002, 298, 1790–1793. [Google Scholar] [CrossRef]
- Cuccui, J.; Wren, B. Hijacking bacterial glycosylation for the production of glycoconjugates, from vaccines to humanised glycoproteins. J. Pharm. Pharmacol. 2015, 67, 338–350. [Google Scholar] [CrossRef]
- Keys, T.G.; Wetter, M.; Hang, I.; Rutschmann, C.; Russo, S.; Mally, M.; Steffen, M.; Zuppiger, M.; Muller, F.; Schneider, J.; et al. A biosynthetic route for polysialylating proteins in Escherichia coli. Metab. Eng. 2017, 44, 293–301. [Google Scholar] [CrossRef]
- Zhu, J.; Ruan, Y.; Fu, X.; Zhang, L.; Ge, G.; Wall, J.G.; Zou, T.; Zheng, Y.; Ding, N.; Hu, X. An Engineered Pathway for Production of Terminally Sialylated N-glycoproteins in the Periplasm of Escherichia coli. Front. Bioeng. Biotechnol. 2020, 8, 313. [Google Scholar] [CrossRef]
- Yee, C.M.; Zak, A.J.; Hill, B.D.; Wen, F. The Coming Age of Insect Cells for Manufacturing and Development of Protein Therapeutics. Ind. Eng. Chem. Res. 2018, 57, 10061–10070. [Google Scholar] [CrossRef]
- Ghosh, S. Sialylation and sialyltransferase in insects. Glycoconj. J. 2018, 35, 433–441. [Google Scholar] [CrossRef]
- Marchal, I.; Jarvis, D.L.; Cacan, R.; Verbert, A. Glycoproteins from insect cells: Sialylated or not? Biol. Chem. 2001, 382, 151–159. [Google Scholar] [CrossRef]
- Jarvis, D.L.; Kawar, Z.S.; Hollister, J.R. Engineering N-glycosylation pathways in the baculovirus-insect cell system. Curr. Opin. Biotechnol. 1998, 9, 528–533. [Google Scholar] [CrossRef]
- Suganuma, M.; Nomura, T.; Higa, Y.; Kataoka, Y.; Funaguma, S.; Okazaki, H.; Suzuki, T.; Fujiyama, K.; Sezutsu, H.; Tatematsu, K.I.; et al. N-glycan sialylation in a silkworm-baculovirus expression system. J. Biosci. Bioeng. 2018, 126, 9–14. [Google Scholar] [CrossRef] [PubMed]
- Kato, T.; Kako, N.; Kikuta, K.; Miyazaki, T.; Kondo, S.; Yagi, H.; Kato, K.; Park, E.Y. N-Glycan Modification of a Recombinant Protein via Coexpression of Human Glycosyltransferases in Silkworm Pupae. Sci. Rep. 2017, 7, 1409. [Google Scholar] [CrossRef]
- Gutternigg, M.; Kretschmer-Lubich, D.; Paschinger, K.; Rendic, D.; Hader, J.; Geier, P.; Ranftl, R.; Jantsch, V.; Lochnit, G.; Wilson, I.B. Biosynthesis of truncated N-linked oligosaccharides results from non-orthologous hexosaminidase-mediated mechanisms in nematodes, plants, and insects. J. Biol. Chem. 2007, 282, 27825–27840. [Google Scholar] [CrossRef]
- Kim, Y.K.; Cha, H.J. Engineering N-Glycosylation Pathway in Insect Cells: Suppression of beta-N-Acetylglucosaminidase and Expression of beta-1,4-Galactosyltransferase. Methods Mol. Biol. 2015, 1321, 179–191. [Google Scholar] [CrossRef]
- Mabashi-Asazuma, H.; Kuo, C.W.; Khoo, K.H.; Jarvis, D.L. Modifying an Insect Cell N-Glycan Processing Pathway Using CRISPR-Cas Technology. ACS Chem. Biol. 2015, 10, 2199–2208. [Google Scholar] [CrossRef]
- Hamilton, S.R.; Davidson, R.C.; Sethuraman, N.; Nett, J.H.; Jiang, Y.; Rios, S.; Bobrowicz, P.; Stadheim, T.A.; Li, H.; Choi, B.K.; et al. Humanization of yeast to produce complex terminally sialylated glycoproteins. Science 2006, 313, 1441–1443. [Google Scholar] [CrossRef]
- Burnett, M.J.B.; Burnett, A.C. Therapeutic recombinant protein production in plants: Challenges and opportunities. Plants People Planet 2020, 2, 121–132. [Google Scholar] [CrossRef]
- Budzianowski, J. Tobacco against Ebola virus disease. Przegl. Lek. 2015, 72, 567–571. [Google Scholar]
- D’Aoust, M.A.; Lavoie, P.O.; Couture, M.M.; Trepanier, S.; Guay, J.M.; Dargis, M.; Mongrand, S.; Landry, N.; Ward, B.J.; Vezina, L.P. Influenza virus-like particles produced by transient expression in Nicotiana benthamiana induce a protective immune response against a lethal viral challenge in mice. Plant Biotechnol. J. 2008, 6, 930–940. [Google Scholar] [CrossRef]
- Strasser, R. Plant protein glycosylation. Glycobiology 2016, 26, 926–939. [Google Scholar] [CrossRef]
- Montero-Morales, L.; Steinkellner, H. Advanced Plant-Based Glycan Engineering. Front Bioeng. Biotechnol. 2018, 6, 81. [Google Scholar] [CrossRef]
- Strasser, R.; Altmann, F.; Steinkellner, H. Controlled glycosylation of plant-produced recombinant proteins. Curr. Opin. Biotechnol. 2014, 30, 95–100. [Google Scholar] [CrossRef] [PubMed]
- Castilho, A.; Bohorova, N.; Grass, J.; Bohorov, O.; Zeitlin, L.; Whaley, K.; Altmann, F.; Steinkellner, H. Rapid high yield production of different glycoforms of Ebola virus monoclonal antibody. PLoS ONE 2011, 6, e26040. [Google Scholar] [CrossRef] [PubMed]
- Guarino, C.; DeLisa, M.P. A prokaryote-based cell-free translation system that efficiently synthesizes glycoproteins. Glycobiology 2012, 22, 596–601. [Google Scholar] [CrossRef] [PubMed]
- Jaroentomeechai, T.; Stark, J.C.; Natarajan, A.; Glasscock, C.J.; Yates, L.E.; Hsu, K.J.; Mrksich, M.; Jewett, M.C.; DeLisa, M.P. Single-pot glycoprotein biosynthesis using a cell-free transcription-translation system enriched with glycosylation machinery. Nat. Commun. 2018, 9, 2686. [Google Scholar] [CrossRef]
- Hershewe, J.; Kightlinger, W.; Jewett, M.C. Cell-free systems for accelerating glycoprotein expression and biomanufacturing. J. Ind. Microbiol. Biotechnol. 2020, 47, 977–991. [Google Scholar] [CrossRef]
- Cuccui, J.; Terra, V.S.; Bosse, J.T.; Naegeli, A.; Abouelhadid, S.; Li, Y.; Lin, C.W.; Vohra, P.; Tucker, A.W.; Rycroft, A.N.; et al. The N-linking glycosylation system from Actinobacillus pleuropneumoniae is required for adhesion and has potential use in glycoengineering. Open Biol. 2017, 7. [Google Scholar] [CrossRef]
- Kightlinger, W.; Duncker, K.E.; Ramesh, A.; Thames, A.H.; Natarajan, A.; Stark, J.C.; Yang, A.; Lin, L.; Mrksich, M.; DeLisa, M.P.; et al. A cell-free biosynthesis platform for modular construction of protein glycosylation pathways. Nat. Commun. 2019, 10, 5404. [Google Scholar] [CrossRef]
- Meuris, L.; Santens, F.; Elson, G.; Festjens, N.; Boone, M.; Dos Santos, A.; Devos, S.; Rousseau, F.; Plets, E.; Houthuys, E.; et al. GlycoDelete engineering of mammalian cells simplifies N-glycosylation of recombinant proteins. Nat. Biotechnol. 2014, 32, 485–489. [Google Scholar] [CrossRef]
- Lombard, V.; Golaconda Ramulu, H.; Drula, E.; Coutinho, P.M.; Henrissat, B. The carbohydrate-active enzymes database (CAZy) in 2013. Nucleic Acids Res. 2014, 42, D490–D495. [Google Scholar] [CrossRef]
- Moremen, K.W.; Haltiwanger, R.S. Emerging structural insights into glycosyltransferase-mediated synthesis of glycans. Nat. Chem. Biol. 2019, 15, 853–864. [Google Scholar] [CrossRef]
- Schelch, S.; Zhong, C.; Petschacher, B.; Nidetzky, B. Bacterial sialyltransferases and their use in biocatalytic cascades for sialo-oligosaccharide production. Biotechnol. Adv. 2020, 44, 107613. [Google Scholar] [CrossRef] [PubMed]
- Ni, L.; Chokhawala, H.A.; Cao, H.; Henning, R.; Ng, L.; Huang, S.; Yu, H.; Chen, X.; Fisher, A.J. Crystal structures of Pasteurella multocida sialyltransferase complexes with acceptor and donor analogues reveal substrate binding sites and catalytic mechanism. Biochemistry 2007, 46, 6288–6298. [Google Scholar] [CrossRef] [PubMed]
- Rao, F.V.; Rich, J.R.; Rakic, B.; Buddai, S.; Schwartz, M.F.; Johnson, K.; Bowe, C.; Wakarchuk, W.W.; Defrees, S.; Withers, S.G.; et al. Structural insight into mammalian sialyltransferases. Nat. Struct. Mol. Biol. 2009, 16, 1186–1188. [Google Scholar] [CrossRef] [PubMed]
- Schmolzer, K.; Luley-Goedl, C.; Czabany, T.; Ribitsch, D.; Schwab, H.; Weber, H.; Nidetzky, B. Mechanistic study of CMP-Neu5Ac hydrolysis by alpha2,3-sialyltransferase from Pasteurella dagmatis. FEBS Lett. 2014, 588, 2978–2984. [Google Scholar] [CrossRef] [PubMed]
- Sugiarto, G.; Lau, K.; Qu, J.; Li, Y.; Lim, S.; Mu, S.; Ames, J.B.; Fisher, A.J.; Chen, X. A sialyltransferase mutant with decreased donor hydrolysis and reduced sialidase activities for directly sialylating LewisX. ACS Chem. Biol. 2012, 7, 1232–1240. [Google Scholar] [CrossRef]
- Guo, Y.; Jers, C.; Meyer, A.S.; Arnous, A.; Li, H.; Kirpekar, F.; Mikkelsen, J.D. A Pasteurella multocida sialyltransferase displaying dual trans-sialidase activities for production of 3′-sialyl and 6′-sialyl glycans. J. Biotechnol. 2014, 170, 60–67. [Google Scholar] [CrossRef] [PubMed]
- Mehr, K.; Withers, S.G. Mechanisms of the sialidase and trans-sialidase activities of bacterial sialyltransferases from glycosyltransferase family 80. Glycobiology 2016, 26, 353–359. [Google Scholar] [CrossRef]
- Chandrasekaran, E.V.; Xue, J.; Xia, J.; Locke, R.D.; Matta, K.L.; Neelamegham, S. Reversible sialylation: Synthesis of cytidine 5′-monophospho-N-acetylneuraminic acid from cytidine 5′-monophosphate with alpha2,3-sialyl O-glycan-, glycolipid-, and macromolecule-based donors yields diverse sialylated products. Biochemistry 2008, 47, 320–330. [Google Scholar] [CrossRef]
- Chandrasekaran, E.V.; Xue, J.; Xia, J.; Locke, R.D.; Patil, S.A.; Neelamegham, S.; Matta, K.L. Mammalian sialyltransferase ST3Gal-II: Its exchange sialylation catalytic properties allow labeling of sialyl residues in mucin-type sialylated glycoproteins and specific gangliosides. Biochemistry 2011, 50, 9475–9487. [Google Scholar] [CrossRef]
- Gupta, R.; Matta, K.L.; Neelamegham, S. A systematic analysis of acceptor specificity and reaction kinetics of five human alpha(2,3)sialyltransferases: Product inhibition studies illustrate reaction mechanism for ST3Gal-I. Biochem. Biophys. Res. Commun. 2016, 469, 606–612. [Google Scholar] [CrossRef]
- Sugiarto, G.; Lau, K.; Li, Y.; Khedri, Z.; Yu, H.; Le, D.T.; Chen, X. Decreasing the sialidase activity of multifunctional Pasteurella multocida alpha2-3-sialyltransferase 1 (PmST1) by site-directed mutagenesis. Mol. Biosyst. 2011, 7, 3021–3027. [Google Scholar] [CrossRef]
- Ni, L.; Sun, M.; Yu, H.; Chokhawala, H.; Chen, X.; Fisher, A.J. Cytidine 5′-monophosphate (CMP)-induced structural changes in a multifunctional sialyltransferase from Pasteurella multocida. Biochemistry 2006, 45, 2139–2148. [Google Scholar] [CrossRef]
- Mertsch, A.; He, N.; Yi, D.; Kickstein, M.; Fessner, W.D. An alpha2,3-Sialyltransferase from Photobacterium phosphoreum with Broad Substrate Scope: Controlling Hydrolytic Activity by Directed Evolution. Chemistry 2020, 26, 11614–11624. [Google Scholar] [CrossRef]
- Ding, L.; Zhao, C.; Qu, J.; Li, Y.; Sugiarto, G.; Yu, H.; Wang, J.; Chen, X. A Photobacterium sp. alpha2-6-sialyltransferase (Psp2,6ST) mutant with an increased expression level and improved activities in sialylating Tn antigens. Carbohydr. Res. 2015, 408, 127–133. [Google Scholar] [CrossRef]
- McArthur, J.B.; Yu, H.; Tasnima, N.; Lee, C.M.; Fisher, A.J.; Chen, X. alpha2-6-Neosialidase: A Sialyltransferase Mutant as a Sialyl Linkage-Specific Sialidase. ACS Chem. Biol. 2018, 13, 1228–1234. [Google Scholar] [CrossRef] [PubMed]
- Schmolzer, K.; Eibinger, M.; Nidetzky, B. Active-Site His85 of Pasteurella dagmatis Sialyltransferase Facilitates Productive Sialyl Transfer and So Prevents Futile Hydrolysis of CMP-Neu5Ac. Chembiochem 2017, 18, 1544–1550. [Google Scholar] [CrossRef] [PubMed]
- Choi, Y.H.; Kim, J.H.; Park, J.H.; Lee, N.; Kim, D.H.; Jang, K.S.; Park, I.H.; Kim, B.G. Protein engineering of alpha2,3/2,6-sialyltransferase to improve the yield and productivity of in vitro sialyllactose synthesis. Glycobiology 2014, 24, 159–169. [Google Scholar] [CrossRef] [PubMed]
- Kim, D.U.; Yoo, J.H.; Lee, Y.J.; Kim, K.S.; Cho, H.S. Structural analysis of sialyltransferase PM0188 from Pasteurella multocida complexed with donor analogue and acceptor sugar. BMB Rep. 2008, 41, 48–54. [Google Scholar] [CrossRef]
- McArthur, J.B.; Yu, H.; Zeng, J.; Chen, X. Converting Pasteurella multocidaalpha2-3-sialyltransferase 1 (PmST1) to a regioselective alpha2-6-sialyltransferase by saturation mutagenesis and regioselective screening. Org. Biomol. Chem. 2017, 15, 1700–1709. [Google Scholar] [CrossRef]
- Schmolzer, K.; Czabany, T.; Luley-Goedl, C.; Pavkov-Keller, T.; Ribitsch, D.; Schwab, H.; Gruber, K.; Weber, H.; Nidetzky, B. Complete switch from alpha-2,3- to alpha-2,6-regioselectivity in Pasteurella dagmatis beta-D-galactoside sialyltransferase by active-site redesign. Chem. Commun. (Camb.) 2015, 51, 3083–3086. [Google Scholar] [CrossRef]
- Kakuta, Y.; Okino, N.; Kajiwara, H.; Ichikawa, M.; Takakura, Y.; Ito, M.; Yamamoto, T. Crystal structure of Vibrionaceae Photobacterium sp. JT-ISH-224 alpha2,6-sialyltransferase in a ternary complex with donor product CMP and acceptor substrate lactose: Catalytic mechanism and substrate recognition. Glycobiology 2008, 18, 66–73. [Google Scholar] [CrossRef]
- Wang, M.; Wang, Y.; Liu, K.; Dou, X.; Liu, Z.; Zhang, L.; Ye, X.S. Engineering a bacterial sialyltransferase for di-sialylation of a therapeutic antibody. Org. Biomol. Chem. 2020, 18, 2886–2892. [Google Scholar] [CrossRef]
- Iwatani, T.; Okino, N.; Sakakura, M.; Kajiwara, H.; Takakura, Y.; Kimura, M.; Ito, M.; Yamamoto, T.; Kakuta, Y. Crystal structure of alpha/beta-galactoside alpha2,3-sialyltransferase from a luminous marine bacterium, Photobacterium phosphoreum. FEBS Lett. 2009, 583, 2083–2087. [Google Scholar] [CrossRef] [PubMed][Green Version]
- Huynh, N.; Li, Y.; Yu, H.; Huang, S.; Lau, K.; Chen, X.; Fisher, A.J. Crystal structures of sialyltransferase from Photobacterium damselae. FEBS Lett. 2014, 588, 4720–4729. [Google Scholar] [CrossRef] [PubMed]
- Xu, Y.Y.; Fan, Y.Y.; Ye, J.F.; Wang, F.X.; Nie, Q.D.; Wang, L.; Wang, P.G.; Cao, H.Z.; Cheng, J.S. Successfully Engineering a Bacterial Sialyltransferase for Regioselective alpha 2,6-sialylation. ACS Catal. 2018, 8, 7222–7227. [Google Scholar] [CrossRef]
- Janesch, B.; Baumann, L.; Mark, A.; Thompson, N.; Rahmani, S.; Sim, L.; Withers, S.G.; Wakarchuk, W.W. Directed evolution of bacterial polysialyltransferases. Glycobiology 2019, 29, 588–598. [Google Scholar] [CrossRef] [PubMed]
- Keys, T.G.; Fuchs, H.L.; Ehrit, J.; Alves, J.; Freiberger, F.; Gerardy-Schahn, R. Engineering the product profile of a polysialyltransferase. Nat. Chem. Biol. 2014, 10, 437–442. [Google Scholar] [CrossRef] [PubMed]
- Shah, K.; Liu, Y.; Deirmengian, C.; Shokat, K.M. Engineering unnatural nucleotide specificity for Rous sarcoma virus tyrosine kinase to uniquely label its direct substrates. Proc. Natl. Acad. Sci USA 1997, 94, 3565–3570. [Google Scholar] [CrossRef]
- Jakobsson, E.; Jokilammi, A.; Aalto, J.; Ollikka, P.; Lehtonen, J.V.; Hirvonen, H.; Finne, J. Identification of amino acid residues at the active site of endosialidase that dissociate the polysialic acid binding and cleaving activities in Escherichia coli K1 bacteriophages. Biochem. J. 2007, 405, 465–472. [Google Scholar] [CrossRef]
- Yu, C.C.; Hill, T.; Kwan, D.H.; Chen, H.M.; Lin, C.C.; Wakarchuk, W.; Withers, S.G. A plate-based high-throughput activity assay for polysialyltransferase from Neisseria meningitidis. Anal. Biochem. 2014, 444, 67–74. [Google Scholar] [CrossRef]
- Keys, T.G.; Berger, M.; Gerardy-Schahn, R. A high-throughput screen for polysialyltransferase activity. Anal. Biochem. 2012, 427, 60–68. [Google Scholar] [CrossRef] [PubMed]
- Ming, S.A.; Caro, N.C.; Lanz, N.; Vionnet, J.; Vann, W.F. Effect of Acceptor Chain Length and Hydrophobicity on Polymerization Kinetics of the Neisseria meningitidis Group C Polysialyltransferase. Biochemistry 2019, 58, 679–686. [Google Scholar] [CrossRef] [PubMed]
- Meng, L.; Forouhar, F.; Thieker, D.; Gao, Z.; Ramiah, A.; Moniz, H.; Xiang, Y.; Seetharaman, J.; Milaninia, S.; Su, M.; et al. Enzymatic basis for N-glycan sialylation: Structure of rat alpha2,6-sialyltransferase (ST6GAL1) reveals conserved and unique features for glycan sialylation. J. Biol. Chem. 2013, 288, 34680–34698. [Google Scholar] [CrossRef] [PubMed]
- Kuhn, B.; Benz, J.; Greif, M.; Engel, A.M.; Sobek, H.; Rudolph, M.G. The structure of human alpha-2,6-sialyltransferase reveals the binding mode of complex glycans. Acta Cryst. D Biol. Cryst. 2013, 69, 1826–1838. [Google Scholar] [CrossRef] [PubMed]
- Moremen, K.W.; Ramiah, A.; Stuart, M.; Steel, J.; Meng, L.; Forouhar, F.; Moniz, H.A.; Gahlay, G.; Gao, Z.; Chapla, D.; et al. Expression system for structural and functional studies of human glycosylation enzymes. Nat. Chem. Biol. 2018, 14, 156–162. [Google Scholar] [CrossRef]
- Volkers, G.; Worrall, L.J.; Kwan, D.H.; Yu, C.C.; Baumann, L.; Lameignere, E.; Wasney, G.A.; Scott, N.E.; Wakarchuk, W.; Foster, L.J.; et al. Structure of human ST8SiaIII sialyltransferase provides insight into cell-surface polysialylation. Nat. Struct Mol. Biol 2015, 22, 627–635. [Google Scholar] [CrossRef]
- Ribitsch, D.; Zitzenbacher, S.; Augustin, P.; Schmolzer, K.; Czabany, T.; Luley-Goedl, C.; Thomann, M.; Jung, C.; Sobek, H.; Muller, R.; et al. High-quality production of human alpha-2,6-sialyltransferase in Pichia pastoris requires control over N-terminal truncations by host-inherent protease activities. Microb. Cell. Fact. 2014, 13, 138. [Google Scholar] [CrossRef][Green Version]
- Skretas, G.; Carroll, S.; DeFrees, S.; Schwartz, M.F.; Johnson, K.F.; Georgiou, G. Expression of active human sialyltransferase ST6GalNAcI in Escherichia coli. Microb. Cell. Fact. 2009, 8, 50. [Google Scholar] [CrossRef]
- Ortiz-Soto, M.E.; Seibel, J. Expression of Functional Human Sialyltransferases ST3Gal1 and ST6Gal1 in Escherichia coli. PLoS ONE 2016, 11, e0155410. [Google Scholar] [CrossRef]
- Luley-Goedl, C.; Czabany, T.; Longus, K.; Schmolzer, K.; Zitzenbacher, S.; Ribitsch, D.; Schwab, H.; Nidetzky, B. Combining expression and process engineering for high-quality production of human sialyltransferase in Pichia pastoris. J. Biotechnol. 2016, 235, 54–60. [Google Scholar] [CrossRef] [PubMed]
- Anumula, K.R. Activity Determination of Glycosyltransferases. Methods Mol. Biol. 2019, 1934, 83–92. [Google Scholar] [CrossRef] [PubMed]
- Czabany, T.; Schmolzer, K.; Luley-Goedl, C.; Ribitsch, D.; Nidetzky, B. All-in-one assay for beta-d-galactoside sialyltransferases: Quantification of productive turnover, error hydrolysis, and site selectivity. Anal. Biochem. 2015, 483, 47–53. [Google Scholar] [CrossRef] [PubMed]
- Caval, T.; Tian, W.; Yang, Z.; Clausen, H.; Heck, A.J.R. Direct quality control of glycoengineered erythropoietin variants. Nat. Commun. 2018, 9, 3342. [Google Scholar] [CrossRef]
- Zhu, Y.; Groth, T.; Kelkar, A.; Zhou, Y.; Neelamegham, S. A GlycoGene CRISPR-Cas9 lentiviral library to study lectin binding and human glycan biosynthesis pathways. Glycobiology 2020. [Google Scholar] [CrossRef]
- Narimatsu, Y.; Joshi, H.J.; Nason, R.; Van Coillie, J.; Karlsson, R.; Sun, L.; Ye, Z.; Chen, Y.H.; Schjoldager, K.T.; Steentoft, C.; et al. An Atlas of Human Glycosylation Pathways Enables Display of the Human Glycome by Gene Engineered Cells. Mol. Cell. 2019, 75, 394–407.e395. [Google Scholar] [CrossRef] [PubMed]
- Hong, S.; Shi, Y.; Wu, N.C.; Grande, G.; Douthit, L.; Wang, H.; Zhou, W.; Sharpless, K.B.; Wilson, I.A.; Xie, J.; et al. Bacterial glycosyltransferase-mediated cell-surface chemoenzymatic glycan modification. Nat. Commun. 2019, 10, 1799. [Google Scholar] [CrossRef]
- Blixt, O.; Allin, K.; Bohorov, O.; Liu, X.; Andersson-Sand, H.; Hoffmann, J.; Razi, N. Glycan microarrays for screening sialyltransferase specificities. Glycoconj J. 2008, 25, 59–68. [Google Scholar] [CrossRef]
- Noel, M.; Gilormini, P.A.; Cogez, V.; Lion, C.; Biot, C.; Harduin-Lepers, A.; Guerardel, Y. MicroPlate Sialyltransferase Assay: A Rapid and Sensitive Assay Based on an Unnatural Sialic Acid Donor and Bioorthogonal Chemistry. Bioconjug. Chem. 2018, 29, 3377–3384. [Google Scholar] [CrossRef]
- Guo, X.; Elkashef, S.M.; Patel, A.; Ribeiro Morais, G.; Shnyder, S.D.; Loadman, P.M.; Patterson, L.H.; Falconer, R.A. An assay for quantitative analysis of polysialic acid expression in cancer cells. Carbohydr. Polym. 2021, 259, 117741. [Google Scholar] [CrossRef] [PubMed]
- Bao, L.; Ding, L.; Yang, M.; Ju, H. Noninvasive imaging of sialyltransferase activity in living cells by chemoselective recognition. Sci. Rep. 2015, 5, 10947. [Google Scholar] [CrossRef] [PubMed]
- Song, H.W.; Yoo, G.; Bong, J.H.; Kang, M.J.; Lee, S.S.; Pyun, J.C. Surface display of sialyltransferase on the outer membrane of Escherichia coli and ClearColi. Enzym. Microb. Technol. 2019, 128, 1–8. [Google Scholar] [CrossRef]
- Hirai, G.; Kato, M.; Koshino, H.; Nishizawa, E.; Oonuma, K.; Ota, E.; Watanabe, T.; Hashizume, D.; Tamura, Y.; Okada, M.; et al. Ganglioside GM3 Analogues Containing Monofluoromethylene-Linked Sialoside: Synthesis, Stereochemical Effects, Conformational Behavior, and Biological Activities. Jacs Au 2021, 1, 137–146. [Google Scholar] [CrossRef]
- Axer, A.; Jumde, R.P.; Adam, S.; Faust, A.; Schafers, M.; Fobker, M.; Koehnke, J.; Hirsch, A.K.H.; Gilmour, R. Enhancing glycan stability via site-selective fluorination: Modulating substrate orientation by molecular design. Chem. Sci. 2020, 12, 1286–1294. [Google Scholar] [CrossRef]
- Haab, B.B.; Klamer, Z. Advances in Tools to Determine the Glycan-Binding Specificities of Lectins and Antibodies. Mol. Cell. Proteom. 2020, 19, 224–232. [Google Scholar] [CrossRef]
- Chao, Q.; Ding, Y.; Chen, Z.H.; Xiang, M.H.; Wang, N.; Gao, X.D. Recent Progress in Chemo-Enzymatic Methods for the Synthesis of N-Glycans. Front. Chem. 2020, 8, 513. [Google Scholar] [CrossRef]
- Oh, T.J.; Kim, D.H.; Kang, S.Y.; Yamaguchi, T.; Sohng, J.K. Enzymatic synthesis of vancomycin derivatives using galactosyltransferase and sialyltransferase. J. Antibiot. (Tokyo) 2011, 64, 103–109. [Google Scholar] [CrossRef]
- Tasnima, N.; Yu, H.; Yan, X.; Li, W.; Xiao, A.; Chen, X. Facile chemoenzymatic synthesis of Lewis a (Le(a)) antigen in gram-scale and sialyl Lewis a (sLe(a)) antigens containing diverse sialic acid forms. Carbohydr. Res. 2019, 472, 115–121. [Google Scholar] [CrossRef] [PubMed]
- Santra, A.; Yu, H.; Tasnima, N.; Muthana, M.M.; Li, Y.; Zeng, J.; Kenyond, N.J.; Louie, A.Y.; Chen, X. Systematic Chemoenzymatic Synthesis of O-Sulfated Sialyl Lewis x Antigens. Chem. Sci. 2016, 7, 2827–2831. [Google Scholar] [CrossRef] [PubMed]
- Geissner, A.; Baumann, L.; Morley, T.J.; Wong, A.K.O.; Sim, L.; Rich, J.R.; So, P.P.L.; Dullaghan, E.M.; Lessard, E.; Iqbal, U.; et al. 7-Fluorosialyl Glycosides Are Hydrolysis Resistant but Readily Assembled by Sialyltransferases Providing Easy Access to More Metabolically Stable Glycoproteins. ACS Cent. Sci. 2021, 7, 345–354. [Google Scholar] [CrossRef] [PubMed]
- Tseng, H.K.; Su, Y.Y.; Chang, T.W.; Liu, H.C.; Li, P.J.; Chiang, P.Y.; Lin, C.C. Acceptor-mediated regioselective enzyme catalyzed sialylation: Chemoenzymatic synthesis of GAA-7 ganglioside glycan. Chem. Commun. (Camb.) 2021, 57, 3468–3471. [Google Scholar] [CrossRef] [PubMed]
- Watson, D.C.; Wakarchuk, W.W.; Leclerc, S.; Schur, M.J.; Schoenhofen, I.C.; Young, N.M.; Gilbert, M. Sialyltransferases with enhanced legionaminic acid transferase activity for the preparation of analogs of sialoglycoconjugates. Glycobiology 2015, 25, 767–773. [Google Scholar] [CrossRef] [PubMed]
- T Hart, I.M.E.; Li, T.; Wolfert, M.A.; Wang, S.; Moremen, K.W.; Boons, G.J. Chemoenzymatic synthesis of the oligosaccharide moiety of the tumor-associated antigen disialosyl globopentaosylceramide. Org. Biomol. Chem. 2019, 17, 7304–7308. [Google Scholar] [CrossRef]
- Wu, D.Y.; Adak, A.K.; Kuo, Y.T.; Shen, Y.J.; Li, P.J.; Hwu, J.R.; Lin, C.C. A Modular Chemoenzymatic Synthesis of Disialosyl Globopentaosylceramide (DSGb5Cer) Glycan. J. Org. Chem. 2020. [Google Scholar] [CrossRef] [PubMed]
- Liu, L.; Prudden, A.R.; Capicciotti, C.J.; Bosman, G.P.; Yang, J.Y.; Chapla, D.G.; Moremen, K.W.; Boons, G.J. Streamlining the chemoenzymatic synthesis of complex N-glycans by a stop and go strategy. Nat. Chem. 2019, 11, 161–169. [Google Scholar] [CrossRef]
- Barb, A.W.; Brady, E.K.; Prestegard, J.H. Branch-specific sialylation of IgG-Fc glycans by ST6Gal-I. Biochemistry 2009, 48, 9705–9707. [Google Scholar] [CrossRef]
- Thomann, M.; Schlothauer, T.; Dashivets, T.; Malik, S.; Avenal, C.; Bulau, P.; Ruger, P.; Reusch, D. In vitro glycoengineering of IgG1 and its effect on Fc receptor binding and ADCC activity. PLoS ONE 2015, 10, e0134949. [Google Scholar] [CrossRef]
- Noel, M.; Gilormini, P.A.; Cogez, V.; Yamakawa, N.; Vicogne, D.; Lion, C.; Biot, C.; Guerardel, Y.; Harduin-Lepers, A. Probing the CMP-Sialic Acid Donor Specificity of Two Human beta-d-Galactoside Sialyltransferases (ST3Gal I and ST6Gal I) Selectively Acting on O- and N-Glycosylproteins. Chembiochem 2017, 18, 1251–1259. [Google Scholar] [CrossRef]
- Wu, Z.L.; Person, A.D.; Burton, A.J.; Singh, R.; Burroughs, B.; Fryxell, D.; Tatge, T.J.; Manning, T.; Wu, G.; Swift, K.A.D.; et al. Direct fluorescent glycan labeling with recombinant sialyltransferases. Glycobiology 2019, 29, 750–754. [Google Scholar] [CrossRef]
- Chinoy, Z.S.; Bodineau, C.; Favre, C.; Moremen, K.W.; Duran, R.V.; Friscourt, F. Selective Engineering of Linkage-Specific alpha2,6-N-Linked Sialoproteins Using Sydnone-Modified Sialic Acid Bioorthogonal Reporters. Angew. Chem. Int. Ed. Engl. 2019, 58, 4281–4285. [Google Scholar] [CrossRef]
- Watson, D.C.; Wakarchuk, W.W.; Gervais, C.; Durocher, Y.; Robotham, A.; Fernandes, S.M.; Schnaar, R.L.; Young, N.M.; Gilbert, M. Preparation of legionaminic acid analogs of sialo-glycoconjugates by means of mammalian sialyltransferases. Glycoconj. J. 2015, 32, 729–734. [Google Scholar] [CrossRef] [PubMed]
- Illiano, A.; Pinto, G.; Melchiorre, C.; Carpentieri, A.; Faraco, V.; Amoresano, A. Protein Glycosylation Investigated by Mass Spectrometry: An Overview. Cells 2020, 9, 1986. [Google Scholar] [CrossRef] [PubMed]
- Xiao, H.; Suttapitugsakul, S.; Sun, F.; Wu, R. Mass Spectrometry-Based Chemical and Enzymatic Methods for Global Analysis of Protein Glycosylation. Acc. Chem. Res. 2018, 51, 1796–1806. [Google Scholar] [CrossRef]
- Abukar, T.; Rahmani, S.; Thompson, N.K.; Antonescu, C.N.; Wakarchuk, W.W. Development of BODIPY labelled sialic acids as sialyltransferase substrates for direct detection of terminal galactose on N- and O-linked glycans. Carbohydr. Res. 2021, 500, 108249. [Google Scholar] [CrossRef]
- El Maarouf, A.; Moyo-Lee Yaw, D.; Lindhout, T.; Pearse, D.D.; Wakarchuk, W.; Rutishauser, U. Enzymatic engineering of polysialic acid on cells in vitro and in vivo using a purified bacterial polysialyltransferase. J. Biol. Chem. 2012, 287, 32770–32779. [Google Scholar] [CrossRef]
- Rutishauser, U. Polysialic acid in the plasticity of the developing and adult vertebrate nervous system. Nat. Rev. Neurosci. 2008, 9, 26–35. [Google Scholar] [CrossRef] [PubMed]
- Bonfanti, L. PSA-NCAM in mammalian structural plasticity and neurogenesis. Prog. Neurobiol. 2006, 80, 129–164. [Google Scholar] [CrossRef]
- Capicciotti, C.J.; Zong, C.; Sheikh, M.O.; Sun, T.; Wells, L.; Boons, G.J. Cell-Surface Glyco-Engineering by Exogenous Enzymatic Transfer Using a Bifunctional CMP-Neu5Ac Derivative. J. Am. Chem. Soc. 2017, 139, 13342–13348. [Google Scholar] [CrossRef]
- Wu, Z.L.; Person, A.D.; Zou, Y.; Burton, A.J.; Singh, R.; Burroughs, B.; Fryxell, D.; Tatge, T.J.; Manning, T.; Wu, G.; et al. Differential distribution of N- and O-Glycans and variable expression of sialyl-T antigen on HeLa cells-Revealed by direct fluorescent glycan imaging. Glycobiology 2020, 30, 454–462. [Google Scholar] [CrossRef]
- Pagan, J.D.; Kitaoka, M.; Anthony, R.M. Engineered Sialylation of Pathogenic Antibodies In Vivo Attenuates Autoimmune Disease. Cell 2018, 172, 564–577.e513. [Google Scholar] [CrossRef]





| SiaT | Organism | CAZy Group | Regio-Selectivity | 3D Structure (PDB) | Ref. for Structure | Examples of Engineering (Mutation and Improvement) | Ref. for Engineering |
|---|---|---|---|---|---|---|---|
| PmST1 | Pasteurella multocida | GT80 | α2,3 and α2,6 | M144D, lower donor hydrolysis and sialidase activity (20- and 5588-fold, respectively) | [67] | ||
| E271F/R313Y, lower sialidase activity (6333-fold) | [67] | ||||||
| WT (2EX0, 2EX1, 2IHK, 2IHJ, 2IHZ, 2ILV, 2IY8, 2IY7, 2C84, 2C83) | [64,67,80] | P34H/M144L, converted regioselectivity to α2,6 and lower donor hydrolysis and sialidase activity (2- and 53-fold, respectively) | [81] | ||||
| M144D (3S44) | |||||||
| R313X (X = N, T, Y, H, D), converted regioselectivity to α2,3 | [79] | ||||||
| R313X/T265S (X = N, H), converted regioselectivity to α2,3 | |||||||
| and higher α2,3-SiaT activity | |||||||
| PdST | Pasteurella dagmatis | GT80 | α2,3 | WT (4V2U) | [82] | P7H/M117A, converted regioselectivity to α2,6 | [82] |
| P7H (4V38, 4V3B) | |||||||
| P7H/M117A (4V39, 4V3C) | |||||||
| PspST | Photobacterium sp. JT-ISH-224 | GT80 | α2,6 | WT (2Z4T) | [83] | A235D, lower donor hydrolysis (2.6-fold) | [76] |
| A235M/A366G, improved antibody di-sialylation | [84] | ||||||
| PphST | Photobacterium phosphoreum JT-ISH-467 | GT80 | α2,3 | WT (2ZWI) | [85] | A151D, lower hydrolysis and sialidase activity | [75] |
| (4- and 68-fold, respectively) | |||||||
| L387A, lower hydrolysis and sialidase activity | |||||||
| (10- and 68-fold, respectively) | |||||||
| Pd2,6ST | Photobacterium damselae | GT80 | α2,6 | WT (4R83, 4R84, 4R9V) | [86] | S232L/T356S/W361F, higher α2,6-sialidase activity (100-fold) | [81] |
| A200Y/S232Y, converted regioselectivity to terminal sialylation | [87] | ||||||
| NmPST | Neisseria meningitidis group B | GT38 | α2,8 | No structure available | I360V/Y9S/E68V/M340T, higher stability | [88] | |
| and pSiaT activity (2-fold) | |||||||
| K69Q, pSiaT activity for PSAs with homogenous length | [89] |
| SiaT | Acceptor | Donor Precursor or Donor | Sialylated Product | R1 | R2 | R3 | R4 | R5 | Yield | Ref. |
|---|---|---|---|---|---|---|---|---|---|---|
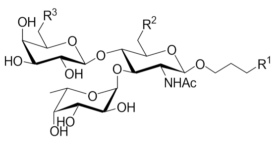
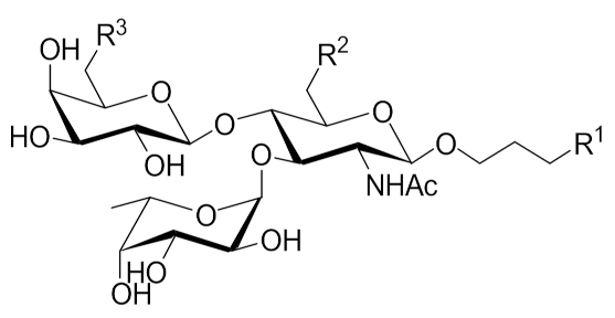
| PmST1(M144D) | ![]() LexβProR1 | ![]() Donor Precursor 1 | ![]() sLexβProR1 | N3 | OH | OH | NHAc | OH | 93 | [67] |
| NHGc | 87 | |||||||||
| OH | 85 | |||||||||
| NHAcN3 | 89 | |||||||||
| N3 | 84 | |||||||||
| NHAc | N3 | 91 | ||||||||
| OAc | 62 | |||||||||
| NHGc | 64 | |||||||||
![]() Donor Precursor 2 | N3 | OSO3H | OH | NHAc | OH | 85 | [120] | |||
| NH2 | OH | OSO3H | 47 | |||||||
| OSO3H | 82 | |||||||||
| N3 | OSO3H | OH | NHGc | 60 | ||||||
| NH2 | OH | OSO3H | 64 | |||||||
| OSO3H | 38 | |||||||||
![]() LeaβProN3 | ![]() Donor Precursor 1 | ![]() sLeaβProN3 | NHAc | OH | 85 | [119] | ||||
| NHGc | 82 | |||||||||
| OH | 86 | |||||||||
| NHTFA | 80 | |||||||||
| NHAc | NHAc | 76 | ||||||||
![]() Donor Precursor 2 | NHAc | OAc | 62 | |||||||
| NHGc | 51 | |||||||||
| PphST | ![]() Lac | ![]() Donor Precursor 2 | ![]() Neu5Acα2,3Lac | FL | NHAc | H | OH | ND | [75] | |
| NHGc | ||||||||||
| OH | ||||||||||
| H | OH | |||||||||
| NHAc | H | N3 | ||||||||
| NHAcPh | OH | |||||||||
| PspST (A235M/A366G) | Herceptin (G2F glycoform) | ![]() Donor Precursor 1 | Herceptin (A2F glycoform) | NHAc | OH | ND | [83] | |||
| NHAcN3 | ||||||||||
| NHLev | ||||||||||
| NHAc | N3 | |||||||||
| CjST1 | ![]() GalβR1 | ![]() Donor | ![]() Neu5Acα2,3GalβR1 | oNP | OH | 75 | [121] | |||
| F | 64 | |||||||||
| MU | OH | 65 | ||||||||
| F | 51 | |||||||||
| PmST1 | ![]() GalNAcβ1,3Galβ1,4GlcβHexN3 | ![]() Donor Precursor 2 (Neu5Gc8Me) | ![]() sialyl GalNAcβ1,3Galβ1,4GlcβHexN3 | H | H | Neu5GcMe | H | 70 | [122] | |
| PspST | 88 | |||||||||
| PspST | Neu5Gc8Me | Neu5Gc8Me | Neu5GcMe | H | 77 | |||||
| Pd2,6ST | Neu5Gce | H | 30 | |||||||
| H | Neu5Gc8Me | 20 | ||||||||
| PspST(A235M) | ![]() LacNAc-FCHASE | ![]() Donor (Leg5Ac7Ac) | ![]() Leg5Ac7Acα2,6LacNAc-FCHASE | Regioselectivity for product was not explored | ~30 | [123] | ||||
| SiaT | Acceptor | Donor Precursor or Donor | Sialylated Product | R1 | Yield | Ref. |
|---|---|---|---|---|---|---|
| ST3Gal1 | ![]() Gb5 | ![]() Donor (CMP-Neu5Ac) | ![]() MSGb5 | H | 53 | [124] |
| PenNH2 | 69 | |||||
| ST6GalNAc5 | ![]() MSGb5 | ![]() DSGb5 | H | 50 | ||
| PenNH2 | 57 | |||||
| ST6Gal1 | ![]() Bi-antennary N-glycan | ![]() Mono-sialyl Bi-antennary N-glycan | 68 | [126] | ||
| ST3Gal1 | Asialofetuin | ![]() Donor | sialyl fetuin | No mention | [129] | |
| ST6Gal1 | ||||||
| ST6Gal1 | ![]() Donor | CH2N3 | No mention | [131] | ||
| PhSydCl | ||||||
| ST3Gal4 | CH2N3 | |||||
| ST3Gal1 | ![]() GM1a | ![]() Donor (Leg5Ac7Ac) | ![]() Leg-GD1a | No mention | [132] | |
| asialo-interferon-α2b | mono-Leg-interferon-α2b | |||||
| ST6Gal1 | asialo-A1AT | tri-Leg-A1AT | ||||
| ST6Gal1 | asialo-A1AT | Donor | mono-sialyl-A1AT | No mention | [121] |
| SiaT | Fluorescence Tag | Labeled Osition in Sia | Cell Line Used for Labeling | Ref. |
|---|---|---|---|---|
| PmST1 (M144D) | Cy5 | C5 acetamide | CHO cells | [108] |
| Biotin | ||||
| Pd2,6ST | Cy5 | |||
| Biotin | ||||
| NmPST | No tag | CHO cells chicken DF1 fibloblasts rat Schwann cells | [136] | |
| ST3Gal1 | Alexa Fluor 555 | C9 hydroxyl | HeLa cells | [130] |
| ST6Gal1 | ||||
| ST6GalNAc4 | ||||
| ST3Gal1 | BODIPY | C9 hydroxyl | Jurkat cells | [135] |
| ST6Gal1 | C5 acetamide | |||
| ST6Gal1 | Biotin and heparan sulfate | C5 acetamide | Ext1-/- cells | [139] |
Publisher’s Note: MDPI stays neutral with regard to jurisdictional claims in published maps and institutional affiliations. |
© 2021 by the authors. Licensee MDPI, Basel, Switzerland. This article is an open access article distributed under the terms and conditions of the Creative Commons Attribution (CC BY) license (https://creativecommons.org/licenses/by/4.0/).
Share and Cite
Hombu, R.; Neelamegham, S.; Park, S. Cellular and Molecular Engineering of Glycan Sialylation in Heterologous Systems. Molecules 2021, 26, 5950. https://doi.org/10.3390/molecules26195950
Hombu R, Neelamegham S, Park S. Cellular and Molecular Engineering of Glycan Sialylation in Heterologous Systems. Molecules. 2021; 26(19):5950. https://doi.org/10.3390/molecules26195950
Chicago/Turabian StyleHombu, Ryoma, Sriram Neelamegham, and Sheldon Park. 2021. "Cellular and Molecular Engineering of Glycan Sialylation in Heterologous Systems" Molecules 26, no. 19: 5950. https://doi.org/10.3390/molecules26195950
APA StyleHombu, R., Neelamegham, S., & Park, S. (2021). Cellular and Molecular Engineering of Glycan Sialylation in Heterologous Systems. Molecules, 26(19), 5950. https://doi.org/10.3390/molecules26195950



































