Multisyringe Flow Injection Analysis of Tropomyosin Allergens in Shellfish Samples
Abstract
:1. Introduction
2. Results and Discussion
2.1. Conversion of Glutamic Acid into Pyroglutamic Acid
2.2. Study of Interferences
2.3. Analytical Features
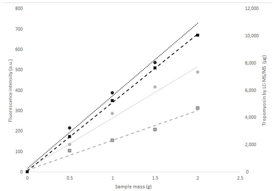
2.4. Validation on Real Samples
2.4.1. Standard Addition of Tropomyosin
2.4.2. Validation of the Overall Procedure
3. Materials and Methods
3.1. Reagents
3.2. Experimental Protocol
3.2.1. Seafood Sample Preparation
3.2.2. Hydrolysis of Tropomyosin
3.2.3. Conversion of Glutamic Acid
3.2.4. Derivatization Procedure of Pyroglutamic Acid
3.3. Determination of Tropomyosin
3.3.1. Instrumentation and Software
3.3.2. Analytical Procedure
3.4. LC-MS/MS Analysis
3.5. SDS-PAGE Analysis
4. Conclusions
Author Contributions
Funding
Institutional Review Board Statement
Informed Consent Statement
Data Availability Statement
Conflicts of Interest
Sample Availability
Appendix A

References
- Zampelas, A.; Panagiotakos, D.B.; Pitsavos, C.; Das, U.N.; Chrysohoou, C.; Skoumas, Y.; Stefanadis, C. Fish consumption among healthy adults is associated with decreased levels of inflammatory markers related to cardiovascular disease: The ATTICA study. J. Am. Coll. Cardiol. 2005, 46, 120–124. [Google Scholar] [CrossRef] [Green Version]
- Lund, E.K.; Belshaw, N.J.; Elliott, G.O.; Johnson, I.T. Recent advances in understanding the role of diet and obesity in the development of colorectal cancer. Proc. Nutr. Soc. 2011, 70, 194–204. [Google Scholar] [CrossRef]
- Ruggiero, C.; Lattanzio, F.; Lauretani, F.; Gasperini, B.; Andres-Lacueva, C.; Cherubini, A. Omega-3 polyunsaturated fatty acids and immune-mediated diseases: Inflammatory bowel disease and rheumatoid arthritis. Curr. Pharm. Des. 2009, 15, 4135–4148. [Google Scholar] [CrossRef]
- Rosell, M.; Wesley, A.M.; Rydin, K.; Klareskog, L.; Alfredsson, L. Dietary fish and fish oil and the risk of rheumatoid arthritis. Epidemiology 2009, 20, 896–901. [Google Scholar] [CrossRef] [PubMed]
- Liperoti, R.; Landi, F.; Fusco, O.; Bernabei, R.; Onder, G. Omega-3 polyunsaturated fatty acids and depression: A review of the evidence. Curr. Pharm. Des. 2009, 15, 4165–4172. [Google Scholar] [CrossRef] [PubMed]
- Lund, E.K. Health benefits of seafood; Is it just the fatty acids? Food Chem. 2013, 140, 413–420. [Google Scholar] [CrossRef] [PubMed]
- Larsen, R.; Eilertsen, K.E.; Elvevoll, E.O. Health benefits of marine foods and ingredients. Biotechnol. Adv. 2011, 29, 508–518. [Google Scholar] [CrossRef]
- Connor, W.E. Importance of n-3 fatty acids in health and disease. Am. J. Clin. Nutr. 2000, 71, 171S–175S. [Google Scholar] [CrossRef] [PubMed]
- Mozaffarian, D.; Rimm, E.B. Fish intake, contaminants, and human health: Evaluating the risks and the benefits. JAMA 2006, 296, 1885–1899. [Google Scholar] [CrossRef] [Green Version]
- Summer, J.; Ross, T. A semi-quantitative seafood safety risk assessment. Int. J. Food Microbiol. 2002, 77, 55–59. [Google Scholar] [CrossRef]
- Fu, L.; Wang, C.; Zhu, Y.; Wang, Y. Seafood allergy: Occurrence, mechanisms and measures. Trends Food Sci. Technol. 2019, 88, 80–92. [Google Scholar] [CrossRef]
- Lehrer, S.B.; Ayuso, R.; Reese, G. Seafood Allergy and Allergens: A Review. Mar. Biotechnol. 2003, 5, 339–348. [Google Scholar] [CrossRef] [PubMed]
- Hajeb, P.; Selamat, J. A Contemporary Review of Seafood Allergy. Clin. Rev. Allerg. Immunol. 2012, 42, 365–385. [Google Scholar] [CrossRef] [PubMed]
- Lee, H.L.; Tang, M.M.; Bakhtiar, M.F.; Mohamad Yadzir, Z.H.; Johar, A. Sensitization to Local Seafood Allergens in Adult Patients with Atopic Dermatitis in Malaysia. Int. Arch. Allergy Immunol. 2021, 182, 153–157. [Google Scholar] [CrossRef] [PubMed]
- Chu, ·K.H.; Tang, C.Y.; ·Wu, A.; ·Leung, P.S.C. Seafood Allergy: Lessons from Clinical Symptoms, Immunological Mechanisms and Molecular Biology. Adv. Biochem. Engin./Biotechnol. 2005, 97, 205–235. [Google Scholar] [CrossRef]
- Fu, L.; Wang, C.; Wang, Y. Seafood allergen-induced hypersensitivity at the microbiota-mucosal site: Implications for prospective probiotic use in allergic response regulation. Crit. Rev. Food Sci. Nutr. 2018, 58, 1512–1525. [Google Scholar] [CrossRef]
- Radauer, C.; Bublin, M.; Wagner, S.; Mari, A.; Breiteneder, H. Allergens are distributed into few protein families and possess a restricted number of biochemical functions. J. Allergy Clin. Immunol. 2008, 121, 847–852e7. [Google Scholar] [CrossRef]
- AllFam Database of Allergen Families. Medical University of Vienna. Available online: http://www.meduniwien.ac.at/allfam/ (accessed on 10 September 2021).
- Agence Française de Sécurité Sanitaire des Aliments. Allergie alimentaire: État des Lieux et Propositions D’orientations. Maison Alfort: AFSSA. 2002. Available online: https://www.anses.fr/fr/system/files/NUT-Ra-AllergiesAlimentaires.pdf (accessed on 5 July 2021).
- Cheikh, R.; Mjid, M.; Souissi, Z.; Ben Hmida, A.; Beji, M. Comparative study of sensitization to five principal foods in North African and Sub-Saharan children between 3 and 14 years of age. Rev. Française d’Allergologie 2013, 53, 141–146. [Google Scholar] [CrossRef]
- Shanti, K.N.; Martin, B.M.; Nagpal, S.; Metcalfe, D.D.; Rao, P.V. Identification of tropomyosin as the major shrimp allergen and characterization of its IgE-binding epitopes. J. Immunol. 1993, 151, 5354–5363. Available online: http://www.jimmunol.org/content/151/10/5354 (accessed on 5 July 2021).
- Fuller, H.R.; Goodwin, P.R.; Morris, G.E. An enzyme-linked immunosorbent assay (ELISA) for the major crustacean allergen, tropomyosin, in food. Food Agric. Immunol. 2006, 17, 43–52. [Google Scholar] [CrossRef]
- Kim, M.J.; Kim, H.I.; Kim, J.H.; Suh, S.M.; Kim, H.Y. Rapid on-site detection of shrimp allergen tropomyosin using a novel ultrafast PCR-system. Food Sci. Biotechnol. 2019, 28, 591–597. [Google Scholar] [CrossRef]
- Phan, N.H.D.; Nguyen, T.T.; Tran, T.B.H.; Vo, N.T.; Le, T.T.T.; Quang, M.T.; Le, T.A.H.; Lao, T.D. Exploring the PCR assay for detecting tropomyosin: Major allergen in shrimp-derived ingredient in food. Pharmacophore 2020, 11, 53–57. Available online: https://pharmacophorejournal.com/7JMSYhG (accessed on 5 July 2021).
- Heick, J.; Fisher, M.; Pöpping, B. First screening method for the simultaneous detection of seven allergens by liquid chromatography mass spectrometry. J. Chromatogr. A 2011, 1218, 938–943. [Google Scholar] [CrossRef]
- Abdel Rahman, M.A.; Gagné, S.; Helleur, R.J. Simultaneous determination of two major snow crab aeroallergens in processing plants by use of isotopic dilution tandem mass spectrometry. Anal. Bionanal. Chem. 2012, 403, 821–831. [Google Scholar] [CrossRef]
- Bailey, K. The Structure of tropomyosin. Proc. Biol. Sci. 1953, 141, 45–48. Available online: http://www.jstor.org/stable/82779 (accessed on 5 July 2021).
- Povoledo, D.; Vallentyne, J.R. Thermal reaction kinetics of the glutamic acid-pyroglutamic acid system in water. Geochim. Cosmochim. Acta 1964, 28, 731–734. [Google Scholar] [CrossRef]
- Lee, N.; Foustoukos, D.I.; Sverjensky, D.A.; Cody, G.D.; Hazen, R.M. The effects of temperature, pH and redox state on the stability of glutamic acid in hydrothermal fluids. Geochim. Cosmochim. Acta 2014, 135, 66–86. [Google Scholar] [CrossRef]
- Chelius, D.; Jing, K.; Lueras, A.; Rehder, D.S.; Dillon, T.M.; Vizel, A.; Rajan, R.S.; Li, T.; Treuheit, M.J.; Bondarenko, P.V. Formation of Pyroglutamic Acid from N-Terminal Glutamic Acid in Immunoglobulin Gamma Antibodies. Anal. Chem. 2006, 78, 2370–2376. [Google Scholar] [CrossRef] [PubMed]
- Bersin, L.M.; Patel, S.M.; Topp, E.M. Effect of ‘pH’ on the Rate of Pyroglutamate Formation in Solution and Lyophilized Solids. Mol. Pharm. 2021, 18, 3116–3124. [Google Scholar] [CrossRef]
- Himuro, A.; Nakamura, H.; Tamura, Z. The use of 2,2’-thiodiethanol in the fluorimetric determination of secondary amines with o-phthalaldehyde and 2-mercaptoethanol. Anal. Chim. Acta 1983, 147, 317–324. [Google Scholar] [CrossRef]
- Robert-Peillard, F.; Boudenne, J.L.; Coulomb, B. Development of a simple fluorescence-based microplate method for the hight-throughput analysis of proline in wine samples. Food Chem. 2014, 150, 274–279. [Google Scholar] [CrossRef] [PubMed]
- Potka-Wasylka, J.M.; Morrison, C.; Biziuk, M.; Namiesnik, J. Chemical derivatization processes applied to amine determination in samples of different matrix composition. Chem. Rev. 2015, 115, 4693–4718. [Google Scholar] [CrossRef] [PubMed] [Green Version]
- Robert-Peillard, F.; Palacio Barco, E.; Ciulu, M.; Demelas, C.; Théraulaz, F.; Boudenne, J.-L.; Coulomb, B. High throughput determination of ammonium and primary amine compounds in environmental and food samples. Microchem. J. 2017, 133, 216–221. [Google Scholar] [CrossRef] [Green Version]
- Wang, W.; Qi, C.; Kang, T.F.; Niu, Y.; Jin, G.; Ge, Y.Q.; Chen, Y. Analysis of the interaction between tropomyosin allergens and antibodies using a biosensor based on imaging ellipsometry. Anal. Chem. 2013, 85, 4446–4452. [Google Scholar] [CrossRef] [Green Version]
- Wang, J.; Ge, M.; Sun, L.; Ahmed, I.; Li, W.; Lin, H.; Lin, H.; Li, Z. Quantification of crustacean tropomyosin in foods using high-performance liquid chromatography–tandem mass spectrometry method. J. Sci. Food Agric. 2021, 101, 5278–5285. [Google Scholar] [CrossRef]
- Kamath, S.D.; Rahman, A.M.A.; Komoda, T.; Lopata, A.L. Impact of heat processing on the detection of the major shellfish allergen tropomyosin in crustaceans and molluscs using specific monoclonal antibodies. Food Chem. 2013, 141, 4031–4039. [Google Scholar] [CrossRef]
- Kabaha, K.; Taralp, A.; Cakmak, I.; Ozturk, L. Accelerated hydrolysis method to estimate the amino acid content of wheat (Triticum durum Desf.) flour using microwave irradiation. J. Agric. Food Chem. 2011, 59, 2958–2965. [Google Scholar] [CrossRef]
- Himuro, A.; Nakamura, H.; Tamura, Z. Fluorometric determination of secondary amines by high-performance liquid chromatography with post-column derivatization. J. Chrom. A 1983, 264, 423–433. [Google Scholar] [CrossRef]
- Böhlen, P.; Mellet, M. Automated fluorometric amino acid analysis: The determination of proline and hydroxyproline. Anal. Biochem. 1979, 94, 313–321. [Google Scholar] [CrossRef]
- Laemmli, U.K. Cleavage of Structural Proteins during the Assembly of the Head of Bacteriophage T4. Nature 1970, 227, 680–685. [Google Scholar] [CrossRef]







| Step | Multisyringe Pump 0 | Multisyringe Pump 1 | Mode | Comments | ||||||
|---|---|---|---|---|---|---|---|---|---|---|
| V1 | V2 | V5 | V6 | V1 | V2 | V3 | V4 | |||
| 1 | Ocean optics: get dark current | |||||||||
| 2 | Ocean optics: get blank current | |||||||||
| 3 | OFF | ON | OFF | ON | OFF | OFF | OFF | OFF | Dispense | System and tube washing |
| 4 | ON | OFF | OFF | OFF | OFF | OFF | OFF | OFF | Pick up | Sample (1 mL) and OPA (300 µL) introduction in mixing tank: quenching of primary amines |
| 5 | ON | OFF | ON | OFF | ON | OFF | OFF | OFF | Dispense | |
| 6 | Wait 240 s | |||||||||
| 7 | OFF | OFF | OFF | OFF | OFF | ON | OFF | OFF | Dispense | NaOCl (500 µL) introduction in mixing tank: conversion of pyroglutamic acid into primary amine |
| Wait 120 s | ||||||||||
| OFF | OFF | OFF | OFF | OFF | OFF | OFF | ON | Dispense | DTE (500 µL) introduction in mixing tank: excess NaOCl quenching | |
| 8 | Wait 240 s | |||||||||
| 9 | OFF | OFF | OFF | OFF | OFF | OFF | ON | OFF | Dispense | OPA-NAC reagent (250 µL) introduction in mixing tank: derivatization |
| 10 | Wait 240 s | |||||||||
| 13 | OFF | ON | OFF | OFF | OFF | OFF | OFF | OFF | Pick up | Reaction mixture aspiration |
| 14 | Ocean optics: start measurement | |||||||||
| 15 | ON | ON | ON | ON | OFF | OFF | OFF | OFF | Dispense | Mixture dispense towards detector and washing of mixing cell |
| 16 | Ocean optics: stop measurement | |||||||||
| 17 | OFF | ON | OFF | ON | OFF | OFF | OFF | OFF | Pick up | Draining mixing cell |
| 18 | End of analytical procedure: return to step 3 | |||||||||
Publisher’s Note: MDPI stays neutral with regard to jurisdictional claims in published maps and institutional affiliations. |
© 2021 by the authors. Licensee MDPI, Basel, Switzerland. This article is an open access article distributed under the terms and conditions of the Creative Commons Attribution (CC BY) license (https://creativecommons.org/licenses/by/4.0/).
Share and Cite
Coulomb, B.; Robert-Peillard, F.; Ben Ali Gam, N.; Sadok, S.; Boudenne, J.-L. Multisyringe Flow Injection Analysis of Tropomyosin Allergens in Shellfish Samples. Molecules 2021, 26, 5809. https://doi.org/10.3390/molecules26195809
Coulomb B, Robert-Peillard F, Ben Ali Gam N, Sadok S, Boudenne J-L. Multisyringe Flow Injection Analysis of Tropomyosin Allergens in Shellfish Samples. Molecules. 2021; 26(19):5809. https://doi.org/10.3390/molecules26195809
Chicago/Turabian StyleCoulomb, Bruno, Fabien Robert-Peillard, Najib Ben Ali Gam, Salwa Sadok, and Jean-Luc Boudenne. 2021. "Multisyringe Flow Injection Analysis of Tropomyosin Allergens in Shellfish Samples" Molecules 26, no. 19: 5809. https://doi.org/10.3390/molecules26195809
APA StyleCoulomb, B., Robert-Peillard, F., Ben Ali Gam, N., Sadok, S., & Boudenne, J.-L. (2021). Multisyringe Flow Injection Analysis of Tropomyosin Allergens in Shellfish Samples. Molecules, 26(19), 5809. https://doi.org/10.3390/molecules26195809

