Intermediate Detection in the Casiopeina–Cysteine Interaction Ending in the Disulfide Bond Formation and Copper Reduction
Abstract
:1. Introduction
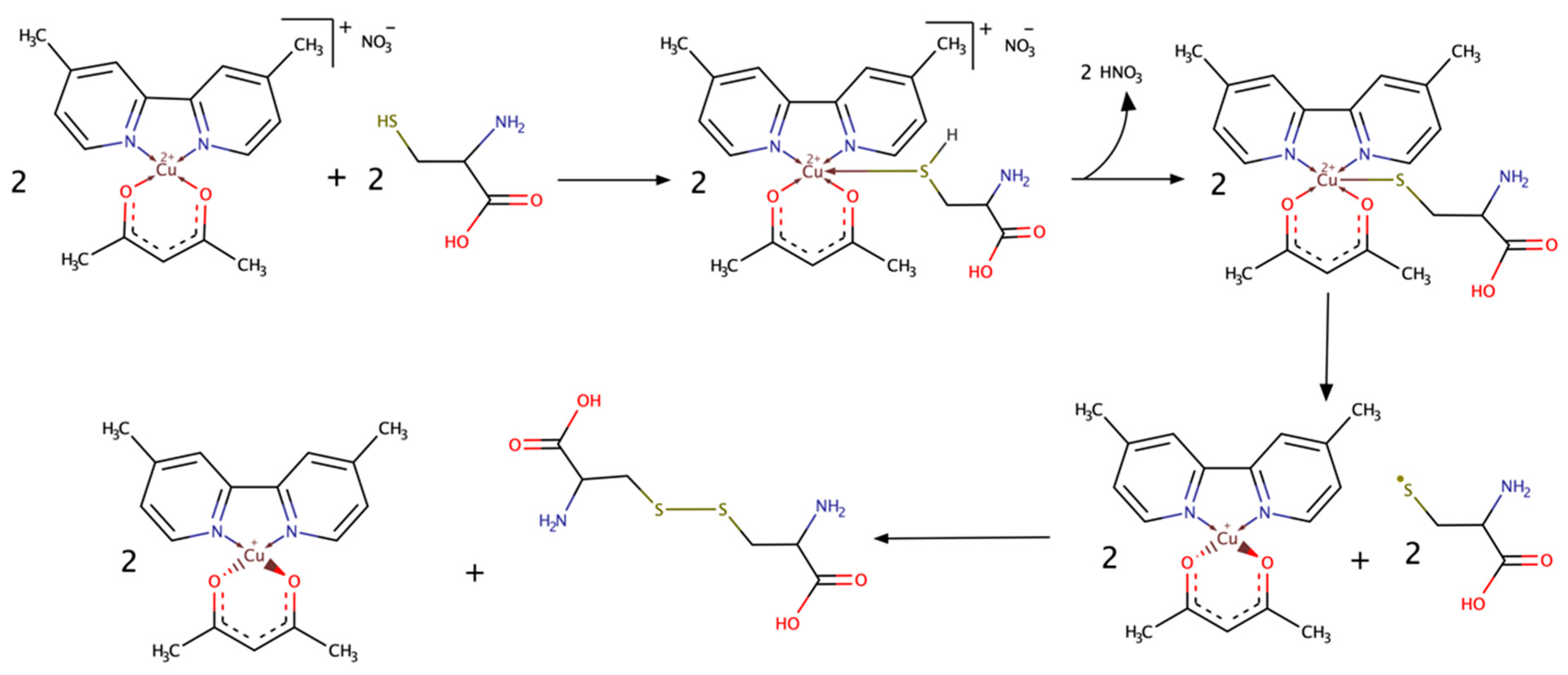
2. Results and Discussion
3. Materials and Methods
3.1. Chemicals
3.2. CasIII-ia Synthesis
3.3. Solid-State Reaction
3.4. Measurements
3.5. Computational Details
4. Conclusions
Supplementary Materials
Author Contributions
Funding
Institutional Review Board Statement
Informed Consent Statement
Data Availability Statement
Acknowledgments
Conflicts of Interest
Sample Availability
References
- Baba, S.P.; Bhatnagar, A. Role of thiols in oxidative stress. Curr. Opin. Toxicol. 2018, 7, 133–139. [Google Scholar] [CrossRef] [PubMed]
- Aquilano, K.; Baldelli, S.; Ciriolo, M.R. Glutathione: New roles in redox signaling for an old antioxidant. Front. Pharmacol. 2014, 5, 196. [Google Scholar] [CrossRef] [PubMed] [Green Version]
- Ulrich, K.; Jakob, U. The role of thiols in antioxidant systems. Free Radic. Biol. Med. 2019, 140, 14–27. [Google Scholar] [CrossRef]
- Ortega, A.L.; Mena, S.; Estrela, J.M. Glutathione in Cancer Cell Death. Cancers 2011, 3, 1285–1310. [Google Scholar] [CrossRef] [PubMed] [Green Version]
- Bansal, A.; Simon, M.C. Glutathione metabolism in cancer progression and treatment resistance. J. Cell Biol. 2018, 217, 2291–2298. [Google Scholar] [CrossRef] [PubMed] [Green Version]
- Kachadourian, R.; Brechbuhl, H.M.; Ruiz-Azuara, L.; Gracia-Mora, I.; Day, B.J. Casiopeína IIgly-induced oxidative stress and mitochondrial dysfunction in human lung cancer A549 and H157 cells. Toxicology 2010, 268, 176–183. [Google Scholar] [CrossRef] [PubMed] [Green Version]
- Millis, K.K.; Weaver, K.H.; Rabenstein, D.L. Oxidation/Reduction Potential of Glutathione. J. Org. Chem. 1993, 58, 4144–4146. [Google Scholar] [CrossRef]
- Jocelyn, P.C. The Standard Redox Potential of Cysteine-Cystine from the Thiol-Disulphide Exchange Reaction with Glutathione and Lipoic Acid. Eur. J. Biochem. 1967, 2, 327–331. [Google Scholar] [CrossRef]
- Ngamchuea, K.; Batchelor-McAuley, C.; Compton, R. The Copper(II)-Catalyzed Oxidation of Glutathione. Chem.—Eur. J. 2016, 22, 15937–15944. [Google Scholar] [CrossRef]
- Kachur, A.V.; Koch, C.J.; Biaglow, J.E. Mechanism of copper-catalyzed autoxidation of cysteine. Free Radic. Res. 1999, 31, 23–34. [Google Scholar] [CrossRef]
- Prudent, M.; Girault, H.H. The role of copper in cysteine oxidation: Study of intra- and inter-molecular reactions in mass spectrometry. Metallomics 2009, 1, 157–165. [Google Scholar] [CrossRef] [Green Version]
- Carrasco-Pozo, C.; Aliaga, M.E.; Olea-Azar, C.; Speisky, H. Double edge redox-implications for the interaction between endogenous thiols and copper ions: In vitro studies. Bioorg. Med. Chem. 2008, 16, 9795–9803. [Google Scholar] [CrossRef] [PubMed]
- Smith, R.C.; Reed, V.D.; Hill, W.E. Oxidation Of Thiols By Copper(II). Phosphorus. Sulfur. Silicon Relat. Elem. 1994, 90, 147–154. [Google Scholar] [CrossRef]
- Bravo-Gómez, M.E.; García-Ramos, J.C.; Gracia-Mora, I.; Ruiz-Azuara, L. Antiproliferative activity and QSAR study of copper(II) mixed chelate [Cu(N–N)(acetylacetonato)]NO3 and [Cu(N–N)(glycinato)]NO3 complexes, (Casiopeínas®). J. Inorg. Biochem. 2009, 103, 299–309. [Google Scholar] [CrossRef]
- Santoro, A.; Calvo, J.S.; Peris-Díaz, M.D.; Krężel, A.; Meloni, G.; Faller, P. The Glutathione/Metallothionein System Challenges the Design of Efficient O2-Activating Copper Complexes. Angew. Chem.-Int. Ed. 2020, 59, 7830–7835. [Google Scholar] [CrossRef] [PubMed]
- Ruiz-Azuara, L. MéxicoTítulo de Marca: Casiopeína. Reg. 407543 SECOFI, 1992. [Google Scholar]
- Arredondo, M.; Núñez, M.T. Iron and copper metabolism. Mol. Asp. Med. 2005, 26, 313–327. [Google Scholar] [CrossRef]
- Bravo-Gómez, M.E.; Dávila-Manzanilla, S.; Flood-Garibay, J.; Muciño-Hermández, M.Á.; Mendoza, Á.; García-Ramos, J.C.; Moreno-Esparza, R.; Ruiz-Azuara, L. Secondary Ligand Effects on the Cytotoxicity of Several Casiopeína’s Group II Compounds. J. Mex. Chem. Soc. 2012, 56, 85–92. [Google Scholar] [CrossRef] [Green Version]
- García-Ramos, J.C.; Galindo-Murillo, R.; Tovar-Tovar, A.; Alonso-Saenz, A.L.; Gómez-Vidales, V.; Flores-Álamo, M.; Ortiz-Frade, L.; Cortes-Guzmán, F.; Moreno-Esparza, R.; Campero, A.; et al. The π-Back-Bonding Modulation and Its Impact in the Electronic Properties of CuII Antineoplastic Compounds: An Experimental and Theoretical Study. Chem.—Eur. J. 2014, 20, 13730–13741. [Google Scholar] [CrossRef]
- Galindo-Murillo, R.; Ruiz-Azuara, L.; Moreno-Esparza, R.; Cortés-Guzmán, F. Molecular recognition between DNA and a copper-based anticancer complex. Phys. Chem. Chem. Phys. 2012, 14, 15539–15546. [Google Scholar] [CrossRef]
- Klaunig, J.E.; Kamendulis, L.M. The Role of Oxidative Stress in Carcinogenesis. Annu. Rev. Pharmacol. Toxicol. 2004, 44, 239–267. [Google Scholar] [CrossRef]
- Gaetke, L.M.; Chow, C.K. Copper toxicity, oxidative stress, and antioxidant nutrients. Toxicology 2003, 189, 147–163. [Google Scholar] [CrossRef]
- Huang, R.; Wallqvist, A.; Covell, D.G. Anticancer metal compounds in NCI’s tumor-screening database: Putative mode of action. Biochem. Pharmacol. 2005, 69, 1009–1039. [Google Scholar] [CrossRef]
- Carvallo-Chaigneau, F.; Trejo-Solís, C.; Gómez-Ruiz, C.; Rodríguez-Aguilera, E.; Macías-Rosales, L.; Cortés-Barberena, E.; Cedillo-Peláez, C.; Gracia-Mora, I.; Ruiz-Azuara, L.; Madrid-Marina, V.; et al. Casiopeina III-ia induces apoptosis in HCT-15 cells in vitro through caspase-dependent mechanisms and has antitumor effect in vivo. BioMetals 2008, 21, 17–28. [Google Scholar] [CrossRef] [PubMed]
- Bravo-Gómez, M.E.; Hernández de la Paz, A.L.; Gracia-Mora, I. Antineoplastic evaluation of two mixed chelate copper complexes (Casiopeínas®) in HCT-15 xenograft model. J. Mex. Chem. Soc. 2013, 57, 205–211. [Google Scholar] [CrossRef] [Green Version]
- Ruiz-Azuara, L.; Bravo-Gómez, M.E. Copper Compounds in Cancer Chemotherapy. Curr. Med. Chem. 2010, 17, 3606–3615. [Google Scholar] [CrossRef]
- García-Ramos, J.C.; Gutiérrez, A.G.; Vázquez-Aguirre, A.; Toledano-Magaña, Y.; Alonso-Sáenz, A.L.; Gómez-Vidales, V.; Flores-Alamo, M.; Mejía, C.; Ruiz-Azuara, L. The mitochondrial apoptotic pathway is induced by Cu(II) antineoplastic compounds (Casiopeínas®) in SK-N-SH neuroblastoma cells after short exposure times. BioMetals 2017, 30, 43–58. [Google Scholar] [CrossRef]
- Vértiz, G.; García-Ortuño, L.E.; Bernal, J.P.; Bravo-Gómez, M.E.; Lounejeva, E.; Huerta, A.; Ruiz-Azuara, L. Pharmacokinetics and hematotoxicity of a novel copper-based anticancer agent: Casiopeina III-Ea, after a single intravenous dose in rats. Fundam. Clin. Pharmacol. 2014, 28, 78–87. [Google Scholar] [CrossRef]
- Cañas-Alonso, R.C.; Fuentes-Noriega, I.; Ruiz-Azuara, L. Pharmacokinetics of Casiopeína IIgly in beagle dog: A copper based compound with antineoplastic activity. J. Bioanal. Biomed. 2010, 2, 28–34. [Google Scholar] [CrossRef] [Green Version]
- Ramírez-Palma, L.G.; García-Jacas, C.R.; García-Ramos, J.C.; Almada-Monter, R.; Galindo-Murillo, R.; Cortés-Guzmán, F. Pharmacophoric sites of anticancer metal complexes located using quantum topological atomic descriptors. J. Mol. Struct. 2020, 1204, 127480. [Google Scholar] [CrossRef]
- Ruiz-Azuara, L. Process to Obtain New Mixed Copper Aminoacidate from Methylate Phenanthroline Complexes to Be Used as Anticancerigenic Agents. U.S. Patent 5,576,326, 19 November 1996. [Google Scholar]
- Ruiz-Azuara, L. Procedimiento para la Obtención de Complejos Metálicos como Agentes Anticancerígenos. Tipo II. Patente de in-Vención SECOFI 18801, 1994. [Google Scholar]
- Ruiz-Azuara, L. Composición Parental de Casiopeína y usos de la Misma. IMPI No. Solicitud MX/a/2017/016444, 2017. [Google Scholar]
- Seko, H.; Tsuge, K.; Igashira-Kamiyama, A.; Kawamoto, T.; Konno, T. Autoxidation of thiol-containing amino acid to its disulfide derivative that links two copper(II) centers: The important role of auxiliary ligand. Chem. Commun. 2010, 46, 1962–1964. [Google Scholar] [CrossRef]
- Ugone, V.; Pisanu, F.; Sanna, D.; Garribba, E. Interaction of the potent antitumoral compounds Casiopeinas® with blood serum and cellular bioligands. J. Inorg. Biochem. 2021, 224, 111566–111576. [Google Scholar] [CrossRef]
- Rivillas-Acevedo, L.; Grande-Aztatzi, R.; Lomelí, I.; García, J.E.; Barrios, E.; Teloxa, S.; Vela, A.; Quintanar, L. Spectroscopic and Electronic Structure Studies of Copper(II) Binding to His111 in the Human Prion Protein Fragment 106-115: Evaluating the Role of Protons and Methionine Residues. Inorg. Chem. 2011, 50, 1956–1972. [Google Scholar] [CrossRef] [PubMed]
- Ames, W.M.; Larsen, S.C. DFT calculations of the EPR parameters for Cu(II) DETA imidazole complexes. Phys. Chem. Chem. Phys. 2009, 11, 8266–8274. [Google Scholar] [CrossRef]
- Parker, S.F. Assignment of the vibrational spectrum of L-cysteine. Chem. Phys. 2013, 424, 75–79. [Google Scholar] [CrossRef]
- Gaillard, T.; Trivella, A.; Stote, R.H.; Hellwig, P. Far infrared spectra of solid state L-serine, L-threonine, L-cysteine, and L-methionine in different protonation states. Spectrochim. Acta-Part A Mol. Biomol. Spectrosc. 2015, 150, 301–307. [Google Scholar] [CrossRef] [PubMed]
- Sekimoto, K.; Sakakura, M.; Kawamukai, T.; Hike, H.; Shiota, T.; Usui, F.; Bando, Y.; Takayama, M. Ionization characteristics of amino acids in direct analysis in real time mass spectrometry. Analyst 2014, 139, 2589–2599. [Google Scholar] [CrossRef] [PubMed]
- Zhang, P.; Chan, W.; Ang, I.L.; Wei, R.; Lam, M.M.T.; Lei, K.M.K.; Poon, T.C.W. Revisiting Fragmentation Reactions of Protonated α-Amino Acids by High-Resolution Electrospray Ionization Tandem Mass Spectrometry with Collision-Induced Dissociation. Sci. Rep. 2019, 9, 6453. [Google Scholar] [CrossRef] [PubMed]
- Zhang, P.; Chan, W.; Ang, I.L.; Wei, R.; Lam, M.M.T.; Lei, K.M.K.; Poon, T.C.W. Gas-Phase Fragmentation Reactions of Protonated Cystine using High-Resolution Tandem Mass Spectrometry. Molecules 2019, 24, 747. [Google Scholar] [CrossRef] [Green Version]
- Nicolescu, T.O. Interpretation of Mass Spectra. In Mass Spectrometry; Aliofkhazraei, M., Ed.; In Tech Open: Rijeka, Croatia, 2017; pp. 30–40. [Google Scholar]
- Gutiérrez-Arzaluz, L.; Ramírez-Palma, D.I.; Ramírez-Palma, L.G.; Barquera-Lozada, J.E.; Peon, J.; Cortés-Guzmán, F. Origin of the Photoinduced Geometrical Change of Copper(I) Complexes from the Quantum Chemical Topology View. Chem.—Eur. J. 2019, 25, 775–784. [Google Scholar] [CrossRef]
- Ramirez-Palma, D.I.; Cortes-Guzman, F. From Linnett-Gillespie Model to the Polarization of the Spin Valence Shells of Metals in Complexes. Phys. Chem. Chem. Phys. 2020, 22, 24201–24212. [Google Scholar] [CrossRef]
- Stoll, S.; Schweiger, A. EasySpin, a comprehensive software package for spectral simulation and analysis in EPR. J. Magn. Reson. 2006, 178, 42–55. [Google Scholar] [CrossRef] [PubMed]
- Frisch, M.J.; Trucks, G.W.; Schlegel, H.B.; Scuseria, G.E.; Robb, M.A.; Cheeseman, J.R.; Scalmani, G.; Barone, V.; Mennucci, B.; Petersson, G.A.; et al. Gaussian 09 (Revision E.01); Gaussian Inc.: Wallingford, CT, USA, 2009. [Google Scholar]
- Bader, R. Atoms in Molecules. A Quantum Theory, 1st ed.; Oxford University Press: New York, NY, USA, 1990. [Google Scholar]
- Keith, T.A. AIMAll (Version 16.01.09), TK Gristmill Software, Overland Park, KS, USA. 2016. Available online: aim.tkgristmill.com (accessed on 23 June 2021).
- Neese, F. The ORCA program system. Wiley Interdiscip. Rev. Comput. Mol. Sci. 2012, 2, 73–78. [Google Scholar] [CrossRef]
- García-Ramos, J.C.; Tovar-Tovar, A.; Hernández-Lima, J.; Cortés-Guzmán, F.; Moreno-Esparza, R.; Ruiz-Azuara, L. A new kind of intermolecular stacking interaction between copper (II) mixed chelate complex (Casiopeína III-ia) and adenine. Polyhedron 2011, 30, 2697–2703. [Google Scholar] [CrossRef]









| CasIII-ia (A) | |||
|---|---|---|---|
| Experimental | Computational | ||
| gxx = gyy | 2.0767 | 2.0466 | |
| gzz | 2.2517 | 2.1458 | |
| Axx = Ayy | 7.47 | 105.26 | |
| Azz | 117.4 | −185.99 | |
| CasIII-ia–Cysteine 1:1 (B) | |||
| Experimental | Octahedral | Square Planar Pyramid | |
| gxx = gyy = gzz | 2.10557 | 2.1010 | 2.0755 |
| Axx = Ayy = Azz | 48.797 | 104.57 | 23.85 |
Publisher’s Note: MDPI stays neutral with regard to jurisdictional claims in published maps and institutional affiliations. |
© 2021 by the authors. Licensee MDPI, Basel, Switzerland. This article is an open access article distributed under the terms and conditions of the Creative Commons Attribution (CC BY) license (https://creativecommons.org/licenses/by/4.0/).
Share and Cite
Ramírez-Palma, L.G.; Espinoza-Guillén, A.; Nieto-Camacho, F.; López-Guerra, A.E.; Gómez-Vidales, V.; Cortés-Guzmán, F.; Ruiz-Azuara, L. Intermediate Detection in the Casiopeina–Cysteine Interaction Ending in the Disulfide Bond Formation and Copper Reduction. Molecules 2021, 26, 5729. https://doi.org/10.3390/molecules26195729
Ramírez-Palma LG, Espinoza-Guillén A, Nieto-Camacho F, López-Guerra AE, Gómez-Vidales V, Cortés-Guzmán F, Ruiz-Azuara L. Intermediate Detection in the Casiopeina–Cysteine Interaction Ending in the Disulfide Bond Formation and Copper Reduction. Molecules. 2021; 26(19):5729. https://doi.org/10.3390/molecules26195729
Chicago/Turabian StyleRamírez-Palma, Lillian G., Adrián Espinoza-Guillén, Fabiola Nieto-Camacho, Alexis E. López-Guerra, Virginia Gómez-Vidales, Fernando Cortés-Guzmán, and Lena Ruiz-Azuara. 2021. "Intermediate Detection in the Casiopeina–Cysteine Interaction Ending in the Disulfide Bond Formation and Copper Reduction" Molecules 26, no. 19: 5729. https://doi.org/10.3390/molecules26195729
APA StyleRamírez-Palma, L. G., Espinoza-Guillén, A., Nieto-Camacho, F., López-Guerra, A. E., Gómez-Vidales, V., Cortés-Guzmán, F., & Ruiz-Azuara, L. (2021). Intermediate Detection in the Casiopeina–Cysteine Interaction Ending in the Disulfide Bond Formation and Copper Reduction. Molecules, 26(19), 5729. https://doi.org/10.3390/molecules26195729

