Abstract
Despite many efforts, malaria remains among the most problematic infectious diseases worldwide, mainly due to the development of drug resistance by P. falciparum. Over the past decade, new essential pathways have been emerged to fight against malaria. Among them, epigenetic processes and mitochondrial metabolism appear to be important targets. This review will focus on recent evolutions concerning worldwide efforts to conceive, synthesize and evaluate new drug candidates interfering selectively and efficiently with these two targets and pathways. The focus will be on compounds/scaffolds that possess biological/pharmacophoric properties on DNA methyltransferases and HDAC’s for epigenetics, and on cytochrome bc1 and dihydroorotate dehydrogenase for mitochondrion.
1. Introduction
Malaria is the most prevalent mosquito-transmitted infectious disease worldwide affecting humans. It is caused by Plasmodium parasites, namely five species infecting humans (P. falciparum, P. vivax, P. ovale, P. malariae, P. knowlesi). Among them, the most threatening for human health is P. falciparum. In 2019, the number of malaria cases is reported to have exceeded 220 million causing 400,000 deaths, mostly in Africa [1,2]. While an efficacious vaccine is reported to be underway [3], chemical therapies remain the main methods to reduce the burden of malaria. Nowadays, due to malaria resistance to existing drugs, the only WHO-recommended first-line treatments are five artemisinin-based combination therapies (ACTs) [4]. Unfortunately, it is noteworthy that the emerging resistance of P. falciparum to the most effective drug, artemisinin, and in general to ACTs, has now spread in areas of southern Asia, making the prospects for malaria treatment concerning [5,6]. Therefore, the development of novel antimalarial drugs targeting essential and alternative biological pathways is an urgent need to control malaria worldwide and to reduce the risk of cross-resistance.
In the last fifteen years, two essential pathways have been emerged as important targets to fight against malaria, which are the epigenetic [7] and mitochondrial [8,9] processes. The purpose of this review is to evaluate the last eight years (2014–2021) on the worldwide efforts to conceive, synthesize and evaluate new drug candidates interfering selectively and efficiently with epigenetic and mitochondrial biological targets and pathways.
2. Epigenetics: A New Antimalarial Biological Target
Epigenetics is considered a new molecular target in P. falciparum. It regulates the general pattern of gene expression through mechanisms interfering with specialized nuclear architecture, histone modifications and chromatin-associated noncoding RNAs [10]. Epigenetic changes confer phenotypic plasticity to the parasite, thus, facilitating its proliferation. Histone modifications [11] and, more recently, the identification of DNA cytosine methylation [12] and hydroxymethylation [13] in P. falciparum makes the whole epigenetic system a potential drug target in the search of new antimalarials.
As far as the epigenetic targets are concerned, we will first present the findings (conception, synthesis, evaluation) referring to DNA methylation and then to the histone deacetylase inhibitors (HDACs). A strong biological update has recently been made that rests the focus on these inhibitors [14,15,16,17].
2.1. DNMT Antimalarial Inhibitors
The genome of P. falciparum contains only one bioinformatically-predicted gene with a DNA methyltransferase-2 (DNMT2) enzyme family domain (PF3D7_0727300). In 2013, Ponts et al. [12] first reported that there is a low level of DNA cytosine methylation activity in the recombinant PfDNMT2 domain. Since then, many groups interested in inhibiting human DNMTs were able to obtain compounds potentially active in inhibiting PfDNMTs. In that respect, recently, quinazoline-based human DNMT3a inhibitors, conceived as analogs of the known molecule BIX-01294, showed antimalarial activity on unknown targets (Figure 1) [18].
Figure 1.
Quinazoline-based human DNMTa inhibitors.
In 2017, Arimondo et al. [19] identified quinoline–quinazoline bi-substrate inhibitors of human DNMT3a and DNMT1. By elaborating a strong chemical library, they obtained three compounds exhibiting the inhibition of all P. falciparum asexual blood stages and reducing DNA methylation in Plasmodium (Figure 2) [20].
Figure 2.
Bi-substrate inhibitors of human DNMT3a and DNMT1.
The main characteristics concerning these three compounds are that (i) all of them possess a quinoline scaffold at one end and an amino-quinazoline scaffold at the other end and (ii) a very important and specific linker with a cyclic piperidine methanol moiety connects these two scaffolds together.
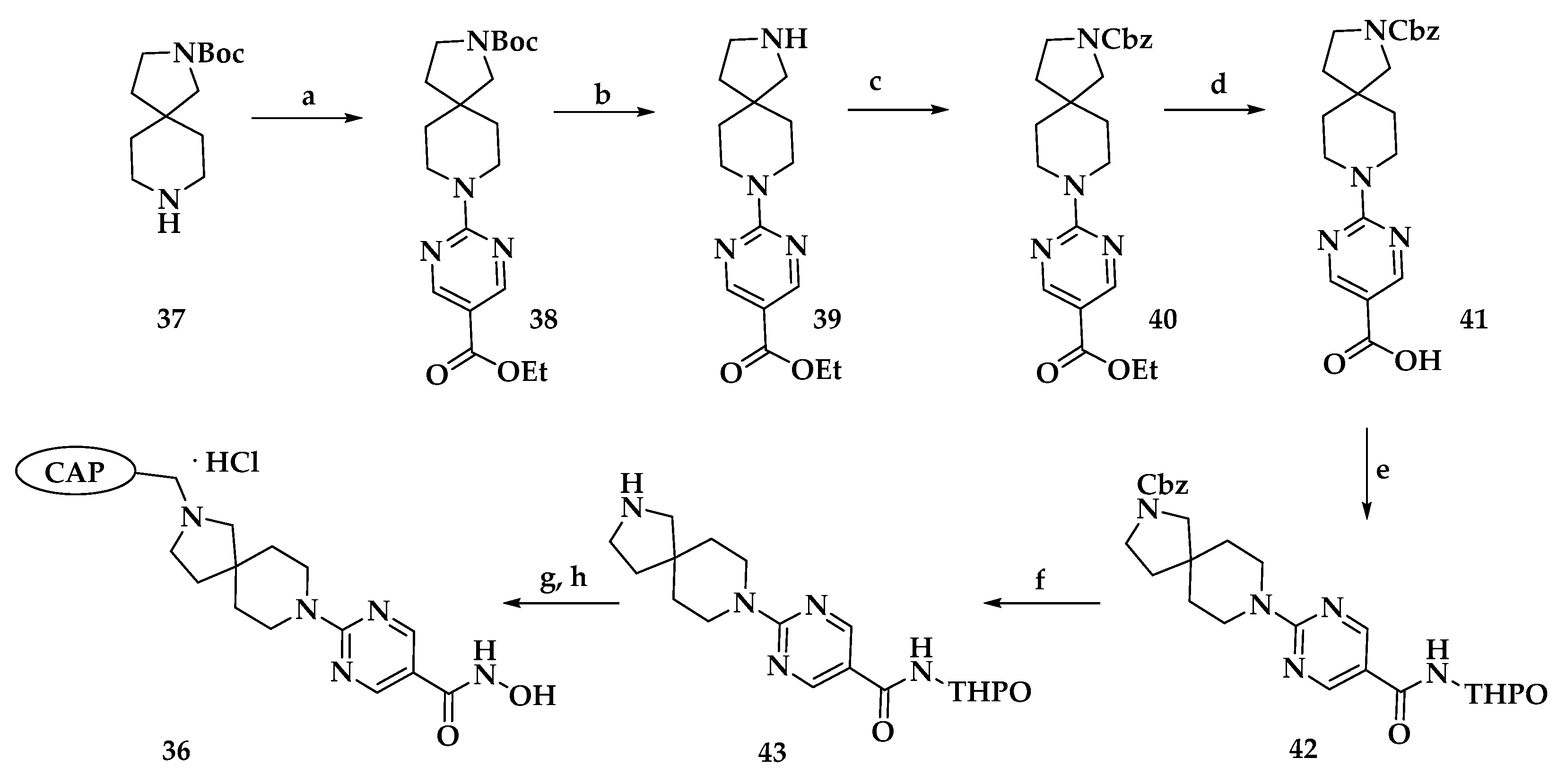
The key elements in the synthetic route adopted by the authors are developed and shown below (Scheme 1) [19,20]. Quinoline 7 was first obtained in a two-step procedure and 91% yield from 4-chloroquinoline 5 after a reaction with ethanolamine, followed by thionyl chloride treatment. Starting from 7-fluoro-quinazoline derivative 8, the authors first decided to introduce the N-Boc methanol-piperidine moiety. Afterward, chlorination of the pyrazolinone group, following a two-step procedure used in pyrimidine chemistry [21], resulted in the formation of the 4-triazolyl-quinazoline intermediate 10 in 66% total yield. Compound 10 was allowed to react with phenylpropyl amine, which upon N-Boc-deprotection with TFA, afforded compound 11. Coupling of the piperidine frame with the quinoline derivative 7 led to the target compound 2 in an overall yield of 61% from 10. Compound 10 was also used for the synthesis of target compounds 3 and 4. The sequence of reactions is the same as before affording compound 3 in 29% yield and 4 in 45% starting from compound 10.
Scheme 1.
Synthetic pathway leading to compounds 2, 3 and 4. Reagents and conditions: (a) ethanolamine, 125 °C, 4 h, quant.; (b) SOCl2, DMF (cat.), flash boiling, 91%; (c) N-Boc-4-methanolpiperidine, NaH, DMF, 110 °C, 3 h, 67%; (d) POCl3, 1,2,4-triazole, Et3N, MeCN, 18 h, rt, 66% two-steps; (e) amine, Et3N, DMF, rt or 65 °C, 2–6 h; (f) TFA, rt, 1 h; (g) 7, K2CO3, KI, DMF, 65 °C, 12 h; Yields 2 (61%); 3 (29%); 4 (45%).
The authors determined that the IC50 on P. falciparum NF54 strain for compounds 2, 3 and 4 were 71 ± 23, 513 ± 63 and 60 ± 14 nM, respectively (Table 1). This study showed, through in vitro tests, that the two most potent molecules of the library (2 and 4) significantly inhibit DNA’s methylation. In addition, they were found to be equally active against four Cambodian multidrug-resistant strains (5150, 6591, 5248, 6320) and able to overcome cross-resistance [20]. They were also studied in vivo to examine the parasite clearing. The authors proved that the water-soluble compound 2 can completely reduce the infection on a murine model.
Table 1.
Proliferation inhibition of asynchronous asexual cultures of P. falciparum NF54 and HepG2 Cells a.
Thus, compound 2 exhibited a positive correlation between in vitro and in vivo antimalarial activity and the reduction of DNA methylation. Sentence to be changed as: This series of compounds can be considered as the first one incorporating a potential drug candidate for inhibition of the DNMTs of P. falciparum.
2.2. Histone Deacetylase (HDAC) Inhibition
Histone deacetylases (HDACs), as important epigenetic modulators [22,23,24], have been extensively involved in the therapeutic investigation of many human diseases, especially cancer. Today, there are four anticancer HDAC inhibitors (vorinostat, panobinostat, belinostat, and romidepsin) that have been clinically approved by the US FDA [25,26,27,28,29], while the promising drug candidate quisinostat is currently in phase II of clinical trials [30] against tumors (Figure 3).
Figure 3.
US FDA-approved anticancer HDAC inhibitors.
Concerning the Plasmodium parasite, five P. falciparum HDACs have been identified (PfHDACs) until recently [31,32,33]: (i) class I-type PfHDAC1, which has homology to mammalian class I isoforms, (ii) class II-type PfHDAC2 and PfHDAC3, presenting Zn2+ cations in their active site and are also similar to class II mammalian HDACs, and (iii) class III-type PfSir2A and PfSir2B which use NAD+ as a cofactor and are the silent information regulator 2 (SIR2) proteins. In general, PfHDACs regulate the acetylation level of both malarial histone and nonhistone proteins and play a critical role in the survival and reproduction of parasites. Since the pioneering discovery of apicidin (17) (Figure 4) in 1996 [34], several groups have launched research programs focusing on the therapeutic potency of PfHDAC inhibitors. However, no PfHDAC inhibitor has successfully reached clinical treatment or study despite more than two decades of research. This could be a result of the difficulty of the in vivo tests and consequently on pharmacokinetic studies. As a result, only erythrocytic therapeutic aspects have been tested on some compounds.
Figure 4.
Structure of apicidin.
Although the four clinically approved antitumoral HDAC inhibitors (12, 13, 14 and 15) are reported to show antimalarial activity in the nanomolar range, their low selectivity prevents them from going through further clinical studies [35]. Nevertheless, their efficiency to kill malaria parasites renders PfHDACs important targets for antimalarial drug discovery and development.
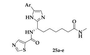
In 2016, Ontoria et al. reported [36] a new series of P. falciparum growth inhibitors. Inspired by two compounds, vorinostat (12), which effectively kills the parasites in vitro, and compound 18 that presents efficacy against malaria in animal models, the authors firstly developed a novel series of heterocyclic compounds elaborated as inhibitors of human class-I HDACs. This new series of molecules is well represented by compound 19 (Figure 5). This library is based on: (i) a central imidazole frame that displays the pharmacophore elements common to many inhibitors of HDAC enzymes, (ii) a zinc-binding group (ZBG) potentially interacting with the catalytic metal ion of the HDAC enzyme, attached by an alkyl linker and (iii) two surface contact groups (the aryl and the amide group) potentially interacting at the entrance of the substrate-binding channel. Taking into consideration many compounds of this structural class, the authors oriented their efforts in developing new selective inhibitors of PfHDAC1. After several efforts and trying to overcome the detrimental effect on oral absorption caused by the basic amido functionality, they managed to introduce the electroneutral thiazole amide fragment.
Figure 5.
Structures of known human HDAC inhibitors.
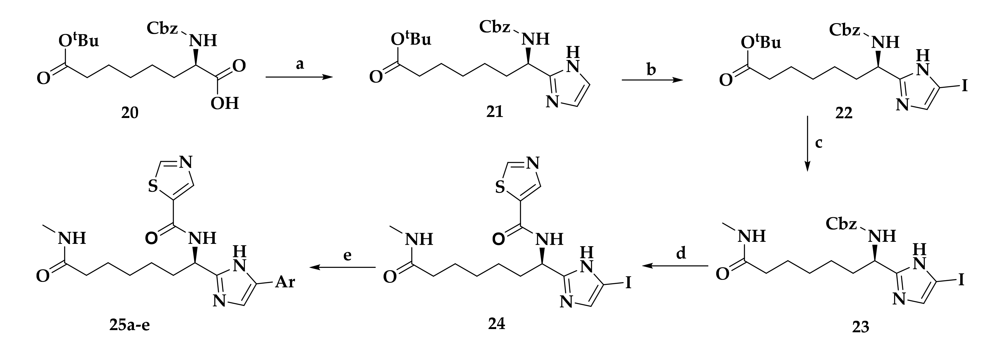
The strategy of the synthesis of the above-mentioned compounds is illustrated in Scheme 2. Starting from the known amino acid 20, [37] an imidazole ring was installed in three synthetic steps [38]. The halogenation/dehalogenation protocol was then applied for the obtention of the desired mono-iodinated compound 22 (total yield 88% starting from 20). Ester deprotection of 22, followed by coupling with methylamine, afforded the synthetically versatile intermediate 23 in 96% yield. Removal of the Cbz- protecting group and reaction with thiazole-2-carboxylic acid led to compound 24 (total yield 91% starting from 20). The Suzuki cross-coupling reaction between 24 and boronic acids (or esters), when using PdCl2 as a pre-catalyst, furnished compounds 25a–e, with yields varying between 46% and 95% for this final step.
Scheme 2.
Synthetic pathway leading to compounds 25a–e. Reagents and conditions: (a) (i) MeNHOMe.HCl, HBTU, DIPEA, DMF, rt; (ii) LiAlH4, THF, −20 °C; (iii) glyoxal, NH3, MeOH, rt, 93% (3 steps); (b) (i) NIS, CH3CN, −10 °C; (ii) Na2SO3, Bu4NHSO4, dioxane/water, 160 °C, μw, 30 min., 84% (2 steps) (c) (i) TFA, DCM, rt; (ii) MeNH2, HBTU, DMF, rt, 96% (2 steps); (d) (i) HBr in CH3COOH, DCM, 0 °C to rt; (ii) thiazole-2-carboxylic acid, EDC.HCl, HOBt, DIPEA, DMF, rt, 90% (2 steps); (e) ArB(OH)2, PdCl2 (dppf), K2CO3, DME/water, 110 °C. Yields 25a (95%); 25b (46%); 25c (55%); 25d (62%); 25e synthesized by alternative analogous procedures (2 steps quantitative).
The authors evaluated the activities of their compounds against Pf growth (EC50 values obtained) and against HeLa class I HDAC and hHDAC1 (IC50′s determined) (Table 2). Their results highlighted, that in respect to inhibition of human class I HDAC and HeLa cells, both potency and selectivity on Plasmodium growth were strongly influenced by the nature of the aryl substituent attached to the imidazole core. Among the different fused (hetero) aromatic systems evaluated, only the 4-isoquinoline analogs emerged as the most promising (EC50 = 100–270 nM) with selectivity indexes between 14 and 37. Among the non-fused systems, the pyrazole derivative 25d has a good EC50 value and a 40-fold selectivity for parasite growth. Finally, for compound 25e, obtained by the deprotection of a 2-methoxy quinoline derivative by acidic treatment before installing the amido thiazole core, the authors determined a good Plasmodium growth inhibition (EC50 = 0.5 μM) along with the best selectivity index (SI = 54).
Table 2.
Biological evaluation of compounds 25a–e a.
In order to prove the target of compound 25d, the authors treated P. falciparum parasites with increasing concentrations of the compound and clearly confirmed hyperacetylation at a concentration close to the EC50 value, while there was very little effect on hyperacetylation for the HeLa cells. In addition, no toxicity was observed for this compound on HeLa or HUVEC cells. After this screening approach, the authors consider their compounds to be the first selective inhibitors of PfHDACs and propose 25d to be the lead compound of the series. The electroneutral thiazole amide fragment introduced is considered as the key element permitting the compound to ally potency, selectivity, and oral absorption advantages.
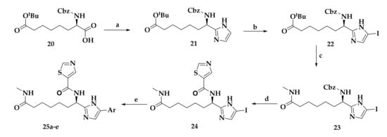
In 2018, Andrews and Hansen reported [39] their efforts to construct histone deacetylase class II inhibitors with dual-stage antiplasmodial activity. In fact, as PfHDAC1 possess a high sequence identity to its human homologs (61% to hHDAC1 and 62% to hHDAC2) [40,41,42,43], raising difficulties in selectivity/toxicity issues, the authors considered that class II selective hHDACi should be better to target for the development of parasite-selective antiplasmodial HDAC inhibitors. Based on a previous discovery by them [44] hit compound 26 bearing a peptoid-like scaffold (Figure 6), the authors synthesized new analogs through the modification of each region (CAP, linker, ZBG) in order to get an insight into the structure–activity as well as the structure–toxicity relationships. Thus, they elaborated two different methods toward the synthesis of their peptoid-based hydroxamic acid-focused chemical library. The first approach concerns the diverse-oriented four components Ugi reaction. However, the second methodology applied provides access to many more compounds and it was conducted by two submonomer pathways. This approach circumvents the problem of the isocyanides involved in the Ugi reaction which are toxic and have limited commercial availability because of chemical space. This second approach is presented in Scheme 3.
Figure 6.
Structure of compound 26.
Scheme 3.
Synthetic pathways leading to peptoid-based hydroxamic acids 31k–t. Reagents and conditions: (a) tButyl bromoacetate, Et3N, THF, rt, 46%; (b) 3,5-dimethylbenzoyl chloride, Et3N, DCM, rt, 99%; (c) (i) TFA/DCM (1:1), rt, 99%; (d) R1-NH2, EDC, DMAP, Et3N, DCM, rt, 80%; (e) H2NOH (aq.), NaOH, DCM/MeOH (1:3), rt, yields 24–91%; (f) Methylamine hydrochloride, K2CO3, DCM, 46%; (g) methyl 4-(aminoethyl)benzoate hydrochloride, Et3N, THF, rt, 50%; (h) R2-Ph-COCl, Et3N, DCM, rt, yields 46–88%.
In the first submonomer pathway, methyl(4-aminomethyl) benzoate hydrochloride (27) was reacted with tert-butyl bromoacetate and subsequently acylated with 3,5-dimethyl benzoyl chloride leading to tert-butyl ester 29 in 73% yield (2 steps). After deprotection of the tert-butyl group and EDC-mediated amide coupling reactions and aqueous hydroxyaminolysis using hydroxylamine and sodium hydroxide, the final hydroxamic acid derivatives 31k–r, were obtained in medium to good yields. Hydroxamic acids 31s–t, were prepared via the second submonomer pathway, starting with a reaction of bromoacetyl bromide 32 with methylamine hydrochloride, followed by a reaction of substitution with 4-amino methyl benzoate hydrochloride affording the secondary amine 34 in medium yields. Acylation of the amine 34 with two different benzoyl chlorides followed by hydroxyaminolysis finally led to the target compounds, while the range of yields of this final step varies between 46% and 88%.
All synthesized compounds were screened and assessed for their antiplasmodial activities and human cell (HepG2) cytotoxicities. Most of them displayed IC50 values ranging from 0.0052 to 0.25 μM against asexual blood-stage P. falciparum parasites (3D7 line) and selectivity indexes from 170 to 1483 over mammalian cells. The authors suggest that the greatest impact on SAR and STR results is especially due to the carboxylic region (R1). They also suggest that certain structural modifications on the isocyanide and carbonyl region improve cytotoxicity. In addition, some compounds showed submicromolar activity against P. berghei exo-erythrocytic forms, with the compound 31h emerging as the dual-stage antiplasmodial HDACi (IC50 (Pf3D7) = 0.0052 μM, IC50 (PbEEF) = 0.016 μM) one with specific parasite activity. The authors also point out that several compounds (31c, 31e, 31s, 31t) developed in the series showed interesting antiplasmodial activities, IC50 (Pf3D7) = 0.0052–0.12 μM, and good selectivity indexes, SI = 417–889, thus, representing a valuable starting point for the development of novel drug candidates (Table 3).
Table 3.
In vitro results against asexual intraerythrocytic stage P. falciparum.
Ruoxi Li et al. reported this year [45] their results of a new series of PfHDAC1 inhibitors with dual-stage antimalarial potency and improved safety which was based on structural modifications of quisinostat. Quisinostat (16) showed potent antimalarial in vitro activity [46] and inhibited both wild-type and drug-resistant P. falciparum strains with IC50 values 5–7 nM. Based on these findings, the authors elaborated a focused library of 31 novel hydroxamic acid derivatives and evaluated their efficacy as antimalarials. Similar to other HDAC inhibitors, the authors conceived their structures considering the three important components of quisinostat: an hydroxamic acid that chelates the Zn2+ cofactor in the catalytic pocket (ZBG), an N-methylindole fragment (CAP region) entering in favorable interactions with the amino acid residues at the entrance of the catalytic pocket and the linker between these two entities that is a pyrimidinyl 4-aminomethyl piperidine fragment (Figure 7). The authors focused on the modification of the linker, while the critical scaffolds of hydroxamic acid and indole were mainly preserved. Concerning the linker, the authors oriented their efforts towards the introduction of a rigid spirocyclic moiety [47], in contrast to the most widely applied flexible aliphatic diamine linkers existing in HDAC inhibitors’ strategy.
Figure 7.
Some new spirocyclic hydroxamic acid derivatives.
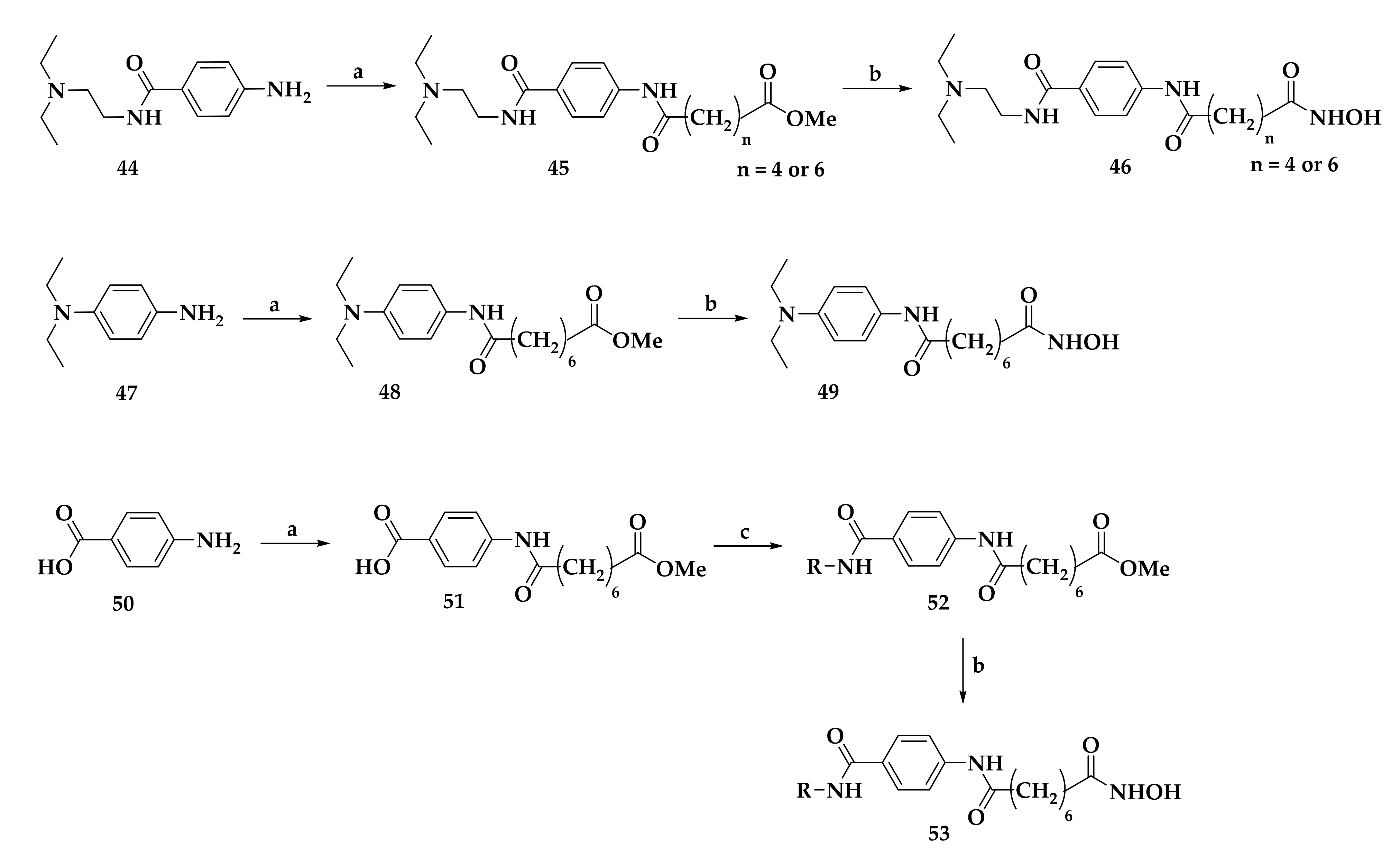
Scheme 4 presents the synthesis of spirocyclic derivatives 36 via a different method from that already reported for quisinostat [48]. Tert-butyl-2,8-diaza spiro-(4,5)-decane-2-carboxylate (37) was coupled with ethyl 2-chloropyrimidine carboxylate under alkaline conditions to afford ester 38 in 86% yield. A two-step modification of the protective group (Cbz vs. Boc) by acid elimination of Boc and installation of the benzyloxy carbonyl group led to compound 40 in 94% yield. Further hydrolysis of the ethyl ester providing the appropriate carboxylic acid was followed by conversion into 42 via condensation with O-(tetrahydro-2H-pyranyl-2-yl) hydroxylamine in excellent yields. Hydrogenolysis of the Cbz group afforded the intermediate 43 possessing a free secondary amine. This function was then coupled under reductive amination conditions with a variety of aldehydes leading to the final compounds 36 with yields varying between 20% and 30% for this final step.
Scheme 4.
Synthesis of novel derivatives 36. Reagents and conditions: (a) ethyl-2-chloropyrimidine-5-carboxylate; i-Pr2NEt, DCM, rt, 86%; (b) HCl/1,4-dioxane (4M), DCM, rt, quantitative; (c) PhCH2OC(O)Cl, i-Pr2Net, DCM, rt, 87%; (d) K2CO3, MeOH, H2O, 65 °C; (e) THPONH2, EDCI, HOBt, Et3N, Me2NCHO, rt, 82% (2 steps); (f) Et3SiH, Pd/C, MeOH/DCM (1:1), rt; (g) R-CHO, NaBH3(CN), MeOH rt; (h) HCl/1,4-dioxane (4 M), DCM, rt (20–30% 3 steps).
All compounds were tested and compared to 16 for antimalarial potency and cytotoxicity. Six derivatives, 36a–f, inherit the nanoscale IC50 values of 16 against drug-sensitive and chloroquine-resistant P. falciparum parasites while their cytotoxicity is attenuated 3–10 times, due to the central diamine spirocyclic fragment (Table 4). Compounds 36a–f, were also evaluated against five clinical Pf isolates carrying various phenotypes of resistance including artemisinin-resistant parasites. As IC50 values between these and wild-type parasites are similar, the authors concluded that the compounds can be good candidates against antimalarial drug resistance.
Table 4.
In vitro results against erythrocytic stage in P. falciparum of compounds 36a–f a.
The same compounds showed enhanced metabolic stability in comparison to quisinostat (16). However, only 36b prevents asymptomatic liver stage infection and targets PfHDAC1. In that respect, the authors consider that compound 36b could represent a new starting point for antimalarial drug development.
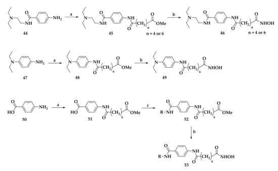
In addition, very recently, Arimondo’s group reported [49] a new generation of compounds targeting hHDAC6, but the same compounds were also found to be very active against P. falciparum. Their strategy was based on constructing dual inhibitors, combining the histone deacetylase inhibitor SAHA with the DNMT inhibitor procainamide [50] in a compound called Proca-SAHA [31]. The authors found this compound to be active against the P. falciparum asexual blood-stage (IC50Pf = 41 nM), showing a 50-fold better selectivity index than SAHA alone. Afterward, they conducted a focused structure–activity relationship study and reported seven new compounds in which the number of methylene groups of the linker and/or the terminal amide group were modified.
The synthetic procedure followed for the preparation of this series of compounds is presented in Scheme 5.
Scheme 5.
Synthesis of hydroxamate derivatives. Reagents and conditions: (a) methyl 8-chloro-oxooctanoate or methyl 6-chloro-6-oxohexanoate, TEA, DMF, 18 h, rt, yields 70–98%; (b) NH2OH 50%, MeOH, 18 h, rt, yields 42–88%; (c) HATU, DIPEA, DMF, appropriate amine, 4 h, rt, yields 38–72%.
Compounds 46 were synthesized by direct coupling between procainamide and the corresponding acyl chlorides of the methyl oxonoate derivatives in excellent yields. The chemical modulation of compounds 46 was achieved via a three-step synthetic pathway starting either from N, N-diethyl-p-phenylene diamine or from 4-amino benzoic acid. Only compound 53c needs a further step due to the presence of a Boc-protecting group which needs to be eliminated in the end. All the obtained compounds were evaluated against P. falciparum. The results indicated that the molecules possessing six methylene groups plus a secondary or tertiary amino basic group at the extremity of the chain are the most potent with IC50 values varying between 41 nM and 64 nM (Table 5), while all other compounds showed values between 230 nM and 500 nM. The authors identified that the lead compound 53c is highly potent against hHDAC6 with no cytotoxicity in human cancer cells, but most importantly, highly active against multiple P. falciparum isolates from Cambodia. The authors also presented in vivo results where the same compound delays the onset of parasitemia when injected intraperitoneally in a P. berghei severe malaria model. This result is better than the one observed with SAHA in a non-severe malaria murine model [41]. Finally, they concluded that a rapid, cheap, already obtained synthetic route along with a needed pharmacokinetic modulation of compound 53a could lead to a new antimalarial therapy.
Table 5.
Inhibition on the proliferation of asynchronous asexual cultures of Plasmodium falciparum NF54 and HDAC activity against human (hHDAC1, 2, 3 and 6) and parasite extracts by Proca-SAHA derivatives.
Finally, we will finish this first chapter on epigenetics and Plasmodium growth-inhibition with a detailed study reported in 2018 by Kumar et al. [51] on in silico identification of inhibitors against Pf histone deacetylase 1 (PfHDAC1). In this study, the authors conducted comparative modeling studies of the PfHDAC1, using Modeller v9.14 [52]. Afterward, they proceeded with molecular modeling to establish different binding modes of non-selective and selective compounds in the PfHDAC1 active site. They, thus, identified four non-identical active site residues located on the surface and slightly away from the catalytic machinery. These residues affect the selectivity of the compounds by imposing different directional interactions and binding modes inside the catalytic pocket. The authors have also applied virtual screening with precise selection criteria and molecular dynamics simulation. Their work permitted them to select twenty potential inhibitors of PfHDAC1: ten coming from the CHEMBL and ten from analogs compound libraries by screening the ZINC and PubChem databases. Finally, the identified compounds were categorized into seven groups based on their structural scaffolds.
Among these compounds, sixteen are known antimalarials and fourteen are reported to have activities in the nanomolar range against various drug-resistant and sensitive strains of P. falciparum. As a result, they could be used as potential HDAC1 inhibitors against P. falciparum as their evaluated cytotoxicities are at relatively high concentrations.
Groups I and III (10 compounds) possess a secondary amide group as zinc-binding moiety, thus, addressing HDAC selectivity in P. falciparum (Table 6). The docking score of reported CHEMBL bioactive antimalarial compounds against PfHDAC1 was found to vary between −10.715kcal/mol (CHEMBL152862) and −9.117 kcal/mol (CHEMBL211750). Their predicted binding affinities (X score) are in the range of −10.52 kcal/mol (CHEMBL3103569) to −8.11 kcal/mol (CHEMBL1197874). They all form at least one hydrogen bond and seven hydrophobic contacts with residues within the PfHDAC1 active site. In that respect, the H-bond interactions forming, involve E94, D97, G147, and H176 amino acids whereas the hydrophobic ones involve residues H24, A95, H138, H139, C149, F203, L269, G298, G299, and Y301 (Table 7).
Table 6.
Reported antimalarial activity of the identified potential HDAC1 inhibitors in P. falciparum a.
Table 7.
Results on molecular docking of selected inhibitors against PfHDAC1 active site and their predicted binding affinity (X score).
As far as the compounds from the analogs compound library are concerned, they also present the docking score in the range of −10.315 kcal/mol (CID:11730425) to −9.671 kcal/mol (ZINC101453222) and X score in the range of −8.76 kcal/mol (CID:11122900) to −8.01 kcal/mol (CID:10916465).
Finally, comparatively to benchmark compounds (Table 5), the 20 identified by the authors’ study have a lower docking score and predicted binding affinity, suggesting that they may perform as better inhibitors of PfHDAC1 than the benchmark ones.
The authors consider that these findings are important for developing new prospective antimalarials, also pointing out the potential advantage of the nonidentical residues which can be exploited to design selective inhibitors against PfHDAC1.
3. Malaria Focused Mitochondrial Targets
We will discuss here some recent findings concerning the inhibition of two main targets of Plasmodium mitochondrion that are also biochemically related: cytochrome bc1 and dihydroorotate dehydrogenase (DHODH) [53,54].
Cytochrome bc1 is a multi-subunit heterodimer localized in the inner mitochondrial membrane. The subunit composition can vary depending on living organisms: 3 units for bacteria, 11 units for vertebrates, 10 units for yeast [55,56,57,58]. They all possess a catalytic domain containing three essential subunits: cytochrome c, cytochrome c1 and the Rieske iron–sulfur protein [59]. Cytochrome bc1 (bc1 for short) is the key element for the function of the mitochondrial electron transfer process briefly described as follows: ubiquinol is oxidized to ubiquinone in the oxidative Q0 site, resulting in the release of two protons into the intermembrane space. Ubiquinone is then subsequently reduced at the reductive Qi site back to ubiquinol by up-taking two protons from the matrix [60,61]. Into the parasite, the oxidized ubiquinone from bc1 is used by dihydroorotate dehydrogenase to generate orotate which is an essential intermediate in pyrimidine biosynthesis.
The first bc1 structure was determined in 1997 by X-ray crystallography at 3.0 A resolution, after isolation from bovine mitochondria [57,58]. Since then, numerous well-resolved X-ray structures of bc1 from various species have been reported, such as bovine [62], chicken [63], yeast [64], and Rhodobacter [65], thus, providing better insight into the structure/activity and mechanism relationships inside the bc1 complex.
The dihydroorotate dehydrogenase (DHODH) enzyme catalyzes the fourth step in the de novo pyrimidine biosynthesis [66,67], i.e., the flavin mononucleotide-dependent oxidation of L-dihydroorotate to orotate. For Plasmodium parasites, the de novo pyrimidine synthesis is an essential pathway for their survival [68] as Plasmodium lacks any salvage pathways to generate pyrimidines. In this respect, two compounds are already reported as DHODH inhibitors. Compound DSM265 (54) is currently in phase II of clinical trials with activities against both asexual blood-stage and liver-stage parasites. Along with compound DSM421 (55), they are the most well studied and clinically relevant antimalarial DHODH inhibitors [69]. It is worth mentioning that they both bear a fluorinated triazolopyrimidine scaffold (Figure 8).
Figure 8.
DHODH inhibitors in clinical trials.
3.1. Atovaquone: A bc1 Inhibitor
Concerning the cytochrome complex, atovaquone (56) (Figure 9) is reported [70] to be the leading compound/drug against the bc1 target. Atovaquone is approved in the market of the United States under the trade name Mepron for the treatment of Pneumocystis carini infection. It is also available in combination with proguanil hydrochloride under the trade name Malarone for the treatment and prevention of P. falciparum uncomplicated malaria [71,72,73]. Atovaquone is a ubiquinone analog acting as a competitive inhibitor at the Q0 site of cytochrome bc1 [74]. Unfortunately, the development of point mutations in the Q0 site of cytochrome bc1 from the parasite results in the formation of atovaquone-resistant strains, which can considerably reduce the anti-malarial efficacy of atovaquone. Nevertheless, based on atovaquone, and the primary important scaffold (commercially available) lawsone (57), many efforts have been deployed in order to find new lead compounds which could circumvent the drug resistance of the parasite.
Figure 9.
Structures of atovaquone and lawsone.
In this second part of the review, we focus first on the synthetic routes leading to atovaquone, then, on the recent findings concerning bc1 and/or DHODH antimalarial inhibitors.
The first synthesis of atovaquone was reported by Hudson et al. [75,76]. 2-chloronaphthoquinone (58) reacts through a radical pathway with trans-4-chlorophenylcyclo-hexane carboxylic acid (59) in the presence of AgNO3 and ammonium persulfate (Scheme 6). Hydrolysis of the obtained chloro-atovaquone derivative 60 with methanolic KOH leads to atovaquone (56) in 4% overall yield. By following the same synthetic strategy, three more procedures have been reported [77,78,79] without better success in terms of yield and cost-efficacy.
Scheme 6.
The first reported synthesis of atovaquone (56) by Hudson et al. Reagents and conditions: (a) AgNO3, (NH4)2S2O8, rt, 7%; (b) MeOH, KOH, rt, 58%; total yield 4%.
A different approach was reported by GlaxoSmithKline [80], where isochromadione 62 reacts with the in situ formed aldehyde 61 issued from controlled activation/hydrogenation of the trans-4-chlorophenylcyclohexane carboxylic acid 59 in the presence of isobutylamine and acetic acid. The unsaturated ketone 64 then undergoes a basic methanolic treatment leading to atovaquone with 67% yield for the two steps (Scheme 7) [81,82].
Scheme 7.
GlaxoSmithKline synthesis of atovaquone (56). Reagents and conditions: (a) (COCl)2, DMF (cat.); AcOEt (b) H2, Pd/C, AcOEt, quinaldine; (c) CH3COOH, Isobutylamine, 40 °C, 76%; (d) 25% NaOMe/MeOH, rt, 91%.
3.2. bc1 and/or DHODH Antimalarial Inhibitors
In 2017, Borgati et al. [83] reported a series of four families of compounds issued from structural modifications of the lawsone compound and their in vitro antiplasmodial activities against the chloroquine-resistant P. falciparum W2 strain. The general retrosynthetic scheme of their work is presented below (Scheme 8).
Scheme 8.
Commercially available lawsone (57) as starting material leading to 4 different families of molecules.
Knoevenagel aldol condensation of lawsone (57) with various aldehydes afforded the first family of dienol compounds 67 with yields varying between 32% and 91%. The second and third family of compounds are furano-naphthoquinones 65 and 66 that can be selectively obtained either by application of kinetic control (ortho-compounds 65) or thermodynamic (para-compounds 66) in yields varying between 20% and 92% (Scheme 9). The authors also synthesized a fourth series of compounds issued from a two-step reaction: etherification of the hydroxy group of lawsone (57) by reaction with epichlorohydrin and the subsequent opening of the resulting epoxide ring with selected amines. The overall yields are quite low and oscillate between 20% and 30%.
Scheme 9.
Synthesis of furano-naphthoquinone analogs. Reagents and conditions: (a) CH3COOH, R-CH2CHO, HCl (conc.), reflux, 40 min., yields 30–90%; (b) Hg(OAc)2, CH3COOH, rt, 30 min.; (c) EtOH, HCl 2N, 15 min., reflux, yields 20–90% (2 steps); (d) EtOH, HCl (conc.), 15 min., reflux, yields 20–90% (2 steps).
Among all compounds tested via the lactate dehydrogenase method [84,85], the furano-naphthoquinone derivatives 65 and 66 were found to be the most active with more than 70% parasitemia reduction at 25 μg/mL. Cytotoxicities were also determined and showed that the para-furano-naphthoquinone derivatives have a better selectivity index than their ortho-regioisomeric analogs. Through molecular docking simulation (Auto Dock Vina software) [86], studies concerning the Plasmodium targets Pfcyst bc1 complex and the PfDHODH enzyme, the authors were able to demonstrate that the most favorable interactions leading to favorable binding energies (<−10 Kcal/mol) exist, especially regarding the para-furano-naphthoquinone derivatives 66c and 66d along with the most promising IC50 values (Table 8). Nevertheless, they point out that further experimental assays and enzymatic kinetic studies are necessary to validate that para-furano-naphthoquinones could work as promising hits targeting Pfcyt bc1 and PfDHODH.
Table 8.
Percentages of parasitemia reduction and in vitro antiplasmodial activity (IC50) against P. falciparum (W2) for molecules 66 and 67.
Guided by the concept of molecular hybridization, Oramas-Royo et al. reported in 2019 [87], the synthesis and antiplasmodial activities of a series of 1,2,3-triazole-naphthoquinone conjugates (Scheme 10). These compounds were synthesized through a copper(I) catalyzed Huisgen 1,3-dipolar cycloaddition [88] between O-propargylated naphthoquinone 70 and various alkyl or aryl azides with yields varying between 30% and 90%.
Scheme 10.
Synthesis and structure of 1,2,3-triazole-naphthoquinone analogs 71. Reagents and conditions: (a) CuSO4.5H2O, sodium ascorbate, DCM/H2O (1:1), rt; (b) CuI, CH3CN, rt; 30–98%.
The starting compound O-propargyl-naphthoquinone (70) was obtained by reacting 2-hydroxy-1,4-naphthoquinone and propargyl bromide in the presence of K2CO3 in DMF, while the aryl and alkyl azides were obtained from alkyl bromide or boronic acids and sodium azide.
The obtained 1,2,3-triazole-naphthoquinone derivatives (71a–f) were evaluated in vitro against chloroquine-sensitive F-32 Tanzania strains of P. falciparum and human breast cancer SkBr-3 (Table 9).
Table 9.
IC50 values for the in vitro activity of compounds 71a–f against P. falciparum (F32 Tanzania) and SkBr3 cell line.
The authors also synthesized two more compounds (73 and 74) where the triazole ring is directly attached to the naphthoquinone ring using Lawsone’s azide 72 as a starting material, in moderate yields as described in Scheme 11.
Scheme 11.
Synthesis and structures of compounds 73 and 74. Reagents and conditions: (a) CuI, CH3CN, R-C≡CH, rt; 74: 49%; 73: 71%.
They also synthesized some new isosteric compounds where the -OCH2- linkage was replaced by -NCH2-, with yields varying between 14 and 86% (Scheme 12).
Scheme 12.
Synthesis of compounds 76. Reagents and conditions: (a) Cu2O, sodium ascorbate, acetone/H2O, rt; (b) CuSO4.5H2O, sodium ascorbate, DCM/H2O (1:1), rt; (c) CuI, THF, rt; yields 14–86%.
The most active compounds obtained were all from the first series 71a–f. Among them, 71c and 71f proved to be the most active against P. falciparum, with IC50 values of 1.2 μM and 0.8 μM, respectively. Molecular docking on the potential target PfDHODH was also carried out by the authors, by using the reported X-ray crystal structure of P. falciparum (Protein Data Bank (PDB 1TV5) [89,90], demonstrating that compound 71c has substantial binding affinities and very favorable interactions in the active site of DHODH enzyme.
In 2018, Xu et al. [91] reported the design, synthesis, and biological evaluation of a series of pyrimidone derivatives as novel and selective inhibitors of PfDHODH. They were based on their previous findings [92] concerning compound 77 that selectively inhibits PfDHODH (IC50 = 6 nM) with >14,000-fold selectivity over hDHODH but proved to be less effective in vivo due to its poor metabolic properties. Thus, based on a rational drug design through a detailed molecular docking study of 77 in the ubiquinone binding pocket of PfDHODH, the authors conceived, synthesized, and studied a novel series of pyrimidone derivatives (Figure 10).
Figure 10.
Structural optimization approach of compound 77.
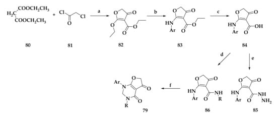
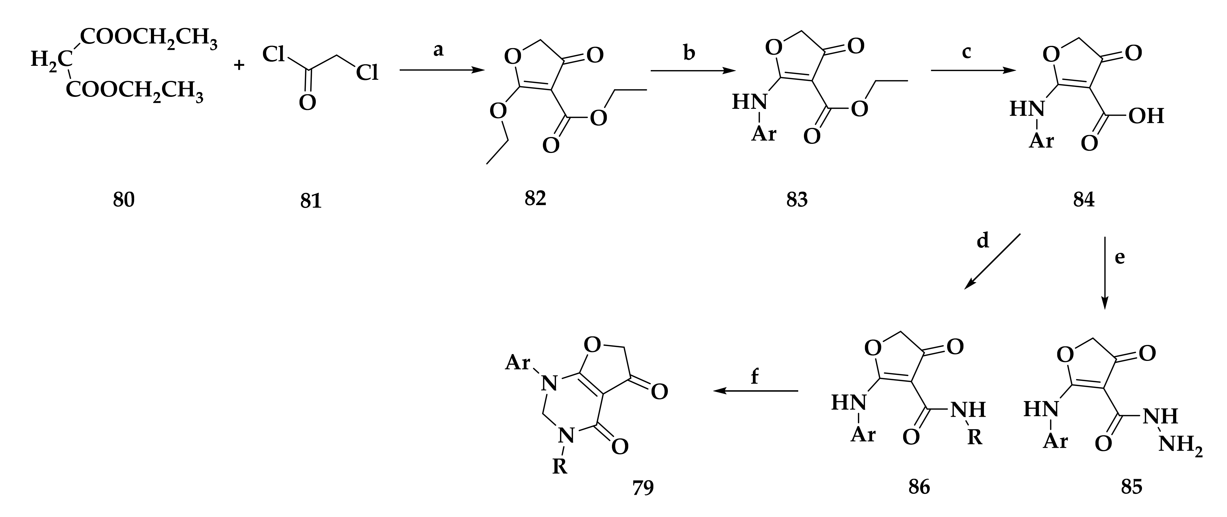
Lactames 79 were synthesized according to Scheme 13. The acid 84 served as a key-synthon for further modifications. It was easily prepared in a 38% overall yield using a known three-step procedure: condensation of diethylmalonate (80) with 2-chloroacetyl chloride (81) followed by substitution of the providing enol ether group with substituted aniline. Saponification of the ester group followed by a coupling with alkylamines afforded the desired amides 86 in low yields, while reaction of the activated acid with carbonyl-diimidazole and reaction with hydrazine hydrate led to hydrazine-amides 85, also in low yields.
Scheme 13.
Synthesis of series of compounds 85 and 79. Reagents and conditions: (a) NaH, THF, rt to 45 °C to reflux, overnight, 35%; (b) Ar-NH2; (c) LiOH/H2O, MeOH/H2O, 60 °C, 12 h, 80% (two steps); (d) R-NH2, HOBt/EDC, DIPEA, DCM, rt, overnight, yields 20–25%; (e) 80% hydrazine hydrate, CDI, overnight, rt, 20%; (f) paraformaldehyde, NaOH/EtOH, rt to 70 °C, 9 h, yields 13–20%.
Finally, the authors obtained the rigid six-membered annulated rings by reacting compounds 86 with paraformaldehyde, and subsequent cyclization under basic ethanolic conditions [93] affording compounds 79 in low yields, where two carbonyl groups are pointing in the same direction.
The authors evaluated the inhibitory activities of all synthesized compounds. In the non-annulated series, 86a emerged as the most active molecule of the series with IC50 = 70 nM. It possesses a 2-naphthyl group and an hydrazinamide function and is slightly more potent than the key intermediate acid which shows the same selectivity against both hDHODH and PfDHODH.
The most active compound among all tested was compound 79a issued from the annulated series (Table 10). It possesses a 2-naphthyl group, that confers a three-times better activity than compound 86a, while it is equally selective to PfDHODH/hDHODH. The authors obtained an optimal docking pose of compound 79a based on the X-ray crystal structure of PfDHODH in complex with DSM1 (PDB code 3I65), by applying a flexible induced-fit docking [94] in the ubiquinone binding pocket of PfDHODH. They, thus, were able to show the favorable binding pose of compound 79a, where the two carbonyl groups of the compound form hydrogen bonds with two important residues into the binding site: Arg265 and His185. The authors also point out the structural stability of compounds 79 in comparison to the non-annulated 86.
Table 10.
In vitro results for compounds 86a and 79a.
In 2017, Azeredo et al. reported [95] the synthesis of a series of pyrimidine derivatives and their inhibitory activities against P. falciparum and PfDHODH. The same group had already designed, synthesized and evaluated [96] a series of triazolo-trifluoro pyrimidine derivatives and observed the positive influence of the trifluoro group at the C-2 position of the triazolopyrimidine ring on the antiplasmodial activity.
Based on a rational approach and applying a ring bioisosterism replacement (Figure 11), the authors synthesized 15 new compounds in the series of the 7-arylaminopyrazolo-[1,5-a]-pyrimidines, through a straightforward three-step synthetic route depicted in Scheme 14.
Figure 11.
Rational approach to design molecules 88.
Scheme 14.
Synthesis of series of compounds 88. Reagents and conditions: (a) CH3COOH, reflux, 5–16 h, yields: 71–93%; (b) POCl3, 50–82 °C, 1–4 h, yields 50–82%; (c) amine, EtOH or PhMe, 14–26 h, yields 58–81%.
Condensation between 3-aminopyrazoles 89 and the appropriate β-ketoesters 90 pro-vided pyrazolo-[1,5-a]pyrimidinones 91 in 71% and 93% yields. Pyrimidinones 91 were then submitted to a chloro-dehydroxylation [97] in the presence of phosphorous oxychloride leading to chloro-substituted derivatives 92 in 50–82% yields.
Finally, the reaction of 92 with anilines under aromatic nucleophilic substitution conditions led to the desired derivatives 88 with yields varying between 58% and 81%. The authors performed further molecular docking studies concerning the PfDHODH target (PDB code 3i65) along with redocking studies of the co-crystalized inhibitor JZ8 [98] to validate the selected parameters for their study and evaluate the binding modes of their compounds.
Thirteen, among all compounds tested, were found to be active against Pf with IC50 values varying between 1.2 ± 0.3 and 92 ± 26 μM, while six of them presented very promising IC50 values against PfDHODH. Compounds 88a–c, were found to be the most relevant with strong activities (6 ± 1, 4 ± 1 and 0.16 ± 0.01 μM, respectively) and very favorable selectivity indexes (Table 11). The SARs studies showed that the -CF3 group remains extremely important for the antimalarial activity whether it is introduced at the C-2 or C-5 position. The authors noted that the most active compounds against PfDHODH were found to be the most active ones against Pf chloroquine-resistant W2 strain.
Table 11.
Determination of cytotoxicity in BGM cell line (MLD50) and IC50 values against PfDHODH of selected compounds 88 a.
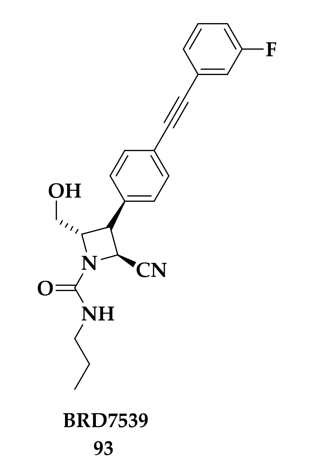
In 2017, Schreiber et al. reported their efforts to optimize compound 93 (Figure 12) in terms of efficacy against DHODH and in vivo [99]. In fact, they were based on their previous findings, where, through conducting a large-scale phenotypic screening of 100,000 already prepared compounds obtained through diverted oriented synthesis [100,101], they identified BRD7539 (93), possessing an azetidine 2-carbonitrile core frame, as an inhibitor targeting PfDHODH (IC50 = 0.033 μM and SI vs. hDHDOH > 150). BRD7539 was also found to be active against both multidrug-resistant asexual blood-stage and liver-stage P. falciparum.
Figure 12.
PfDHODH inhibitor BRD7539.
The synthetic route they applied (Scheme 15), makes use of the synthetic strategy of the BRD7539 (93), which was also resynthesized.
Scheme 15.
Azetidine-2-carbonitrile scaffold construction. Reagents and conditions: (a) Pd (PPh3)4, 1,3-dimethylbarbituric acid, EtOH/DCM (2:1), 40 °C, 16 h, 92%; (b) propylisocyanate, DIPEA, DCM, 23 °C, 1 h, 96%; (c) CF3COOH, Et3SiH, DCM, 23 °C, 1 h, 87%; (d)1-ethynyl-3-fluorobenzene, XPhos, Pd-G3, Et3N, MeCN, 70 °C, 6 h, 91%.
The core structure 94 was obtained as previously reported. De-allylation of the protected azetidine and sequential two-step reaction leads to the urea derivative 95. Trityl deprotection and Heck alkynylation or Suzuki reaction on the brominated phenyl ring of 96 allowed the introduction of many substituents obtained in an overall yield varying between 45% and 55% starting from 94 (Scheme 15).
By using the phenotypic blood-stage growth inhibition assay, the authors showed that the unsubstituted diaryl derivative 97 lacking the acetylenic function that might cause toxicity problems, still possesses an equipotent activity compared to BRD7539 (93). However, alkene or alkanes directly linked to the aromatic core group showed a slight loss in activity (Table 12).
Table 12.
EC50 values of BRD7539 against Dd2 strains of P. falciparum.
The difluorinated derivative 100 was found among the most promising compounds with an EC50 value of 16 nM against multidrug-resistant blood-stage parasites. In addition, the in vivo studies showed a curative effect of compound 100 after three doses in a P. berghei mouse model, a long life (15 h) and low clearance. Finally, the authors confirmed the target as PfDHODH (IC50 = 12 nM), while for hDHODH the IC50 value was 400-fold bigger (IC50 > 50 μM). They, thus, consider compound 100 a major advance for combating mitochondria targets of malaria (Table 12).
3.3. Developing bc1 Antimalarial Inhibitors
In 2018, Okada-Junior et al. reported [102] their study on phthalimide derivatives with activities on P. falciparum and targeting the bc1 cytochrome complex. In search of surrogates of atovaquone (Figure 13), the authors described the synthesis and activities of a series of N-phenyl substituted phthalimides.
Figure 13.
Structural design of the N-phenyl phthalimide fragments starting from atovaquone.
The synthetic route developed by the authors is depicted below (Scheme 16). Starting from 3-nitro-phthalic acid (103), the anhydride was first obtained followed by catalytic hydrogenation affording 3-aminophthalic anhydride 104. The latter was then allowed to react with a variety of appropriate p-substituted anilines in glacial acetic acid leading to 3-aminophhalimides 105 that were then functionalized on the amino group affording the desired N-benzyl phthalimides 102 in low yields.
Scheme 16.
Synthetic pathway towards N-phthalimide derivatives. Reagents and conditions: (a) CH3COOH, 16 h, reflux, quant.; (b) Pd/C (3%), H2, 48 h, 80 °C, 57%; (c) CH3COOH, appropriate para-aniline, 7.5 h, reflux, yields 25–80%; (d) R-Br, DMF, 72 h, rt, yields 75–25%.
Among all compounds synthesized and tested, the authors identified derivatives 102a–b inhibit P.falciparum at low micromolar concentrations, indicating the importance of a p-OMe substituent. The most active compound of the series 102a was further investigated showing activity against the multidrug-resistant parasite K1 strain with an IC50 = 4.3 μM.
The authors also carried out enzymatic studies to measure the bc1 complex decylubiquinol-cytochrome c oxidoreductase activity, showing that compound 102a inhibited cytochrome bc1 (74% at 70 μM) (Table 13). Molecular docking studies carried out by using the crystal structure of S. cerevisiae cytochrome bc1 complex co-crystallized with stigmatellin [64], were in favor of a most favorable binding of compound 102a in the Q0 site of the cytochrome bc1 complex. The authors consider compound 102a as a new hit for the development of lead compounds targeting the P. falciparum mitochondrial bc1 complex.
Table 13.
Inhibitory and cytotoxic activities of the derivatives 102a–b against P. falciparum (3D7 strain).
In 2018, Hong et al. [103] reported a series of 2-pyrazolyl quinolone with activities on the bc1 (Qi) complex. They were based on their previous findings [104], where they had already identified compound 106 as one of the lead compounds of a new family (Figure 14). While its physicochemical properties were poor, the authors designed, synthesized and tested a new series of this family of molecules bearing different nitrogen heterocyclic systems in replacement of either C or D rings of 106.
Figure 14.
Structure of initial lead compound 106.
They, thus, prepared two main series of 2-pyrazolyl quinolone analogs by two different synthetic routes. In the first route, 2-bromo 4-chloroquinoline 107 was coupled with pyrazole boronic acid pinacol ester that, upon acid hydrolysis, afforded quinolones 109 in excellent yields (Scheme 17).
Scheme 17.
Synthetic pathway towards pyrazole quinolone analogs. Reagents and conditions: (a) pyrazole boronic acid pinacol ester, 10% PdCl2 (dppf), K2CO3.1.5 H2O, dioxane, 24 h, reflux, yields 36–93%; (b) CH3COOH, H2O, 24–48 h, 120 °C or HCl (aq), dioxane, 48 h, reflux or HCOOH/H2O, DMF, 4 h, 140 °C, yields 47–92%; (c) sodium dichloroisocyanourate, MeOH, NaOH (aq), overnight, rt, yields 56–72%.
A second family of quinolones, 116, was elaborated (Scheme 18) by first transforming starting isatoic anhydride 111 to oxazoline 112. In a parallel step, pyrazoles 114 were synthesized and converted to ketones. Cyclization of oxazolines 112 with ketones 115 under acid-catalyzed conditions afforded the desired quinolones with yields varying between 42% and 84%.
Scheme 18.
Synthetic pathway towards pyrazole quinolones 116. Reagents and conditions: (a) 2-amino-2-methyl-propanol, ZnCl2, PhCl, 24 h, 135 °C, 60%; (b) appropriate benzyl bromide, K2CO3, acetone, 3 h, reflux, yields 65–71%; (c) Pd2 (dba)3, dppp, pyrrolidine, mol. sieves, DMF, 6 h, 110 °C, 26–55%; (d) CF3SO3H, n-BuOH, N2, 24 h, 130 °C, yields 42–84%.
Several analogs of the series presented improved in vitro antimalarial activities against the 3D7 P. falciparum strain in comparison to 106 and IC50 values in the range from 15–33 nM. The authors showed that the most active compounds display improved DMPK properties in terms of solubility and cytotoxicity. By monitoring cytochrome c reduction [105], they also demonstrated that the most active compound, 116d, targets Pfbc1. The authors co-crystallized bovine heart-derived cytochrome bc1 with compound 116b [106] showing, thus, the binding of the quinolones to the Qi site. They then generated the homology model for the P. falciparum cytochrome bc1 complex [107] and performed molecular docking experiments. They, thus, were able to demonstrate (Table 14) the favorable binding of 116b in the ubiquinone-reducing Qi site of the parasite bc1 complex. Nevertheless, the authors do not exclude the possibility that these compounds target other components of the electron transport chain of the parasite’s mitochondrion.
Table 14.
In vitro antimalarial activities of quinolones against W2 strain of P. falciparum.
4. Conclusions
The emergence of the resistance to current treatments for malaria has led research groups around the world to increase their efforts to identify new essential biochemical pathways and enzymatic targets where new compounds can be conceived and lead to drug candidates or drugs. It is essential to note that concerning the epigenetics pathways in the Plasmodium parasite, as a lot of research has been carried out in relation to other diseases, the actual research is focused on heterocyclic compounds with much better selectivity, pharmacokinetic properties and straightforward synthetic accessibility. In silico studies are extremely important to conceive and design compounds with these properties. This domain currently under extensive research seems very promising for developing new antimalarial drugs. The second domain concerning the two specific mitochondria targets presented in this review is also under intense evolution due to the naphthoquinone (and Lawsone’s) derivatives and many different heterocyclic scaffolds that could target the bc1 complex and/or the dihydroorotate dehydrogenase. In this domain, where in silico studies are still a valuable tool, a lot must still be done, in order to obtain drug candidates in advanced clinical phases.
Author Contributions
Conceptualization, supervision, and organization of the review, M.B.; Bibliography search, C.L.K. and M.B; Writing—original draft preparation, C.L.K. and M.B.; Corrections, amendments, C.L.K., M.B., A.R. and C.M.A. All authors have read and agreed to the published version of the manuscript.
Funding
The authors gratefully acknowledge the French Ministry of Higher Education and Research for the thesis grant (C.L.K.) and the CNRS, University Paul Sabatier, for financial support.
Institutional Review Board Statement
Not applicable.
Informed Consent Statement
Not applicable.
Data Availability Statement
Not applicable.
Conflicts of Interest
The authors declare no conflict of interest.
References
- World Health Organization. World Malaria Report 2020; World Health Organization: Geneva, Switzerland, 2020. [Google Scholar]
- Centers for Disease Control and Prevention. Available online: https://www.cdc.gov/ (accessed on 3 June 2021).
- Ledford, H. Malaria vaccine shows promise—Now come tougher trials. Nature 2021, 593, 17. [Google Scholar] [CrossRef]
- World Health Organization. Guidelines for the treatment of Malaria, 3rd ed.; World Health Organization: Geneva, Switzerland, 2015. [Google Scholar]
- Blasco, B.; Leroy, D.; Fidock, D.A. Antimalarial drug resistance: Linking Plasmodium falciparum parasite biology to the clinic. Nat. Med. 2017, 23, 917–928. [Google Scholar] [CrossRef] [PubMed]
- World Health Organization. Status Report on Artemisinin Resistance and ACT Efficacy; World Health Organization: Geneva, Switzerland, 2019. [Google Scholar]
- Cortés, A.; Crowley, V.M.; Vaquero, A.; Voss, T.S.; Rall, G.F. A View on the Role of Epigenetics in the Biology of Malaria Parasites. PLoS Pathog. 2012, 8, e1002943. [Google Scholar] [CrossRef] [PubMed][Green Version]
- Krungkrai, J. The multiple roles of the mitochondrion of the malarial parasite. Parasitology 2004, 129, 511–524. [Google Scholar] [CrossRef]
- Vaidya, A.B.; Mather, M.W. Mitochondrial Evolution and Functions in Malaria Parasites. Annu. Rev. Microbiol. 2009, 63, 249–267. [Google Scholar] [CrossRef]
- Gupta, A.P.; Chin, W.H.; Zhu, L.; Mok, S.; Luah, Y.H.; Lim, E.H.; Bozdech, Z. Dynamic Epigenetic Regulation of Gene Expression during the Life Cycle of Malaria Parasite Plasmodium falciparum. PLoS Pathog. 2013, 9, e1003170. [Google Scholar] [CrossRef] [PubMed]
- Malmquist, N.A.; Sundriyal, S.; Caron, J.; Chen, P.; Witkowski, B.; Menard, D.; Suwanarusk, R.; Renia, L.; Nosten, F.; Jiménez-Díaz, M.B.; et al. Histone Methyltransferase Inhibitors Are Orally Bioavailable, Fast-Acting Molecules with Activity against Different Species Causing Malaria in Humans. Antimicrob. Agents Chemother. 2015, 59, 950–959. [Google Scholar] [CrossRef] [PubMed]
- Ponts, N.; Fu, L.; Harris, E.Y.; Zhang, J.; Chung, D.W.D.; Cervantes, M.C.; Prudhomme, J.; Atanasova-Penichon, V.; Zehraoui, E.; Bunnik, E.M.; et al. Genome-wide mapping of DNA methylation in the human malaria parasite Plasmodium falciparum. Cell Host Microbe. 2013, 14, 696–706. [Google Scholar] [CrossRef]
- Hammam, E.; Ananda, G.; Sinha, A.; Scheidig-Benatar, C.; Bohec, M.; Preiser, P.R.; Dedon, P.C.; Scherf, A.; Vembar, S.S. Discovery of a new predominant cytosine DNA modification that is linked to gene expression in malaria parasites. Nucleic Acids Res. 2020, 48, 184–199. [Google Scholar] [CrossRef] [PubMed]
- Coetzee, N.; von Grüning, H.; Opperman, D.; van der Watt, M.; Reader, J.; Birkholtz, L.R. Epigenetic inhibitors target multiple stages of Plasmodium falciparum parasites. Sci. Rep. 2020, 10, 2355. [Google Scholar] [CrossRef]
- Ngwa, C.J.; Gross, M.R.; Musabyimana, J.P.; Pradel, G.; Deitsch, K.W. The Role of The Histone Methyltransferase PfSET10 in Antigenic Variation by Malaria Parasites: A Cautionary Tale. mSphere 2021, 6, e01217-20. [Google Scholar] [CrossRef]
- Chan, A.; Dziedziech, A.; Kirkman, L.A.; Deitsch, K.W.; Ankarklev, J. A histone methyltransferase inhibitor can reverse epigenetically acquired drug resistance in the malaria parasite Plasmodium falciparum. Antimicrob. Agents Chemother. 2020, 64, e02021-19. [Google Scholar] [CrossRef]
- Fioravanti, R.; Mautone, N.; Rovere, A.; Rotili, D.; Mai, A. Targeting histone acetylation/deacetylation in parasites: An update (2017–2020). Curr. Opin. Chem. Biol. 2020, 57, 65–74. [Google Scholar] [CrossRef]
- Bouchut, A.; Rotili, D.; Pierrot, C.; Valente, S.; Lafitte, S.; Schultz, J.; Hoglund, U.; Mazzone, R.; Lucidi, A.; Fabrizi, G.; et al. Identification of novel quinazoline derivatives as potent antiplasmodial agents. Eur. J. Med. Chem. 2019, 161, 277–291. [Google Scholar] [CrossRef] [PubMed]
- Halby, L.; Menon, Y.; Rilova, E.; Pechalrieu, D.; Masson, V.; Faux, C.; Bouhlel, M.A.; David-Cordonnier, M.H.; Novosad, N.; Aussagues, Y.; et al. Rational Design of Bisubstrate-Type Analogs as Inhibitors of DNA Methyltransferases in Cancer Cells. J. Med. Chem. 2017, 60, 4665–4679. [Google Scholar] [CrossRef] [PubMed]
- Nardella, F.; Halby, L.; Hammam, E.; Erdmann, D.; Cadet-Daniel, V.; Peronet, R.; Meńard, D.; Witkowski, B.; Mecheri, S.; Scherf, A.; et al. DNA Methylation Bisubstrate Inhibitors Are Fast-Acting Drugs Active against Artemisinin-Resistant Plasmodium falciparum Parasites. ACS Cent. Sci. 2020, 6, 16–21. [Google Scholar] [CrossRef]
- Buchini, S.; Leumann, C. 2-O’-Aminoethyl Oligoribonucleotides Containing Novel Base Analogs: Synthesis and Triple-Helix Formation at Pyrimidine/Purine Inversion Sites. Eur. J. Org. Chem. 2006, 3152–3168. [Google Scholar] [CrossRef]
- Philips, D.M. The presence of acetyl groups of histones. Biochem. J. 1963, 87, 258–263. [Google Scholar] [CrossRef] [PubMed]
- Allfrey, V.G.; Faulkner, R.; Mirsky, A.E. Acetylation and Methylation of Histones and Their Possible Role in the Regulation of RNA Synthesis. Proc. Natl. Acad. Sci. USA 1964, 51, 786–794. [Google Scholar] [CrossRef]
- Benedetti, R.; Conte, M.; Altucci, L. Targeting histone deacetylases in diseases: Where are we? Antioxid. Redox. Signal. 2015, 23, 99–126. [Google Scholar] [CrossRef]
- Mann, B.S.; Johnson, J.R.; Cohen, M.H.; Justice, R.; Pazdur, R. FDA approval summary: Vorinostat for treatment of advanced primary cutaneous T-cell lymphoma. Oncologist 2007, 12, 1247–1252. [Google Scholar] [CrossRef] [PubMed]
- Moore, D. Panobinostat (Farydak): A novel option for the treatment of relapsed or relapsed and refractory multiple myeloma. Pharm. Ther. 2016, 41, 296–300. [Google Scholar]
- Lee, H.Z.; Kwitkowski, V.E.; Del Valle, P.L.; Ricci, M.S.; Saber, H.; Habtemariam, B.A.; Bullock, J.; Bloomquist, E.; Li Shen, Y.; Chen, X.H.; et al. FDA approval: Belinostat for the treatment of patients with relapsed or refractory peripheral T-cell lymphoma. Clin. Cancer. Res. 2015, 21, 2666–2670. [Google Scholar] [CrossRef] [PubMed]
- Barbarotta, L.; Hurley, K. Romidepsin for the treatment of peripheral T-cell lymphoma. J. Adv. Pract. Oncol. 2015, 6, 22–36. [Google Scholar] [CrossRef] [PubMed]
- Ganesan, A.; Arimondo, P.B.; Rots, M.G.; Jeronimo, C.; Berdasco, M. The Timeline of Epigenetic Drug Discovery: From Reality to Dreams. Clin. Epigenet. 2019, 11, 174–190. [Google Scholar] [CrossRef]
- Morales Torres, C.; Wu, M.Y.; Hobor, S.; Wainwright, E.N.; Martin, M.J.; Patel, H.; Grey, W.; Grönroos, E.; Howell, S.; Carvalho, J.; et al. Selective inhibition of cancer cell self-renewal through a Quisinostat-histone H1.0 axis. Nat. Commun. 2020, 11, 1792–1807. [Google Scholar] [CrossRef]
- Engel, J.A.; Jones, A.J.; Avery, V.M.; Sumanadasa, S.D.M.; Ng, S.S.; Fairlie, D.P.; Adams, T.S.; Skinner-Adams, K.T. Profiling the anti-protozoal activity of anti-cancer HDAC inhibitors against Plasmodium and Trypanosoma parasites. Int. J. Parasitol. Drug. Resist. 2015, 5, 117–126. [Google Scholar] [CrossRef]
- Andrews, K.T.; Gupta, A.P.; Tran, T.N.; Fairlie, D.P.; Gobert, G.N.; Bozdhek, Z. Comparative gene expression profiling of P. falciparum malaria parasites exposed to three different histone deacetylase inhibitors. PLoS ONE 2012, 7, e31847. [Google Scholar] [CrossRef]
- Andrews, K.T.; Tran, T.N.; Wheatley, N.C.; Fairlie, D.P. Targeting Histone Deacetylase Inhibitors for Anti-Malarial Therapy. Curr. Top. Med. Chem. 2009, 9, 292–308. [Google Scholar] [CrossRef]
- Darkin-Rattray, S.J.; Gurnett, A.M.; Myers, R.W.; Dulski, P.M.; Crumley, T.M.; Allocco, J.J.; Cannova, C.; Meinke, P.T.; Colletti, S.L.; Bednarek, M.A.; et al. Apicidin: A Novel Antiprotozoal Agent that Inhibits Parasite Histone Deacetylase. Proc. Natl. Acad. Sci. USA 1996, 93, 13143–13147. [Google Scholar] [CrossRef] [PubMed]
- Andrews, K.; Tran, T.N.; Fairlie, D.P. Towards Histone Deacetylase Inhibitors as New Antimalarial Drugs. Curr. Pharm. Des. 2012, 18, 3467–3479. [Google Scholar] [CrossRef] [PubMed]
- Ontoria, J.M.; Paonessa, G.; Ponzi, S.; Ferrigno, F.; Nizi, E.; Biancofiore, I.; Malancona, S.; Graziani, R.; Roberts, D.; Willis, P.; et al. Discovery of a Selective Series of Inhibitors of Plasmodium falciparum HDACs. ACS Med. Chem. Lett. 2016, 7, 454–459. [Google Scholar] [CrossRef] [PubMed]
- Atenni, B.; Ferrigno, F.; Jones, P.; Ingenito, R.; Kinzel, O.; Llauger-Bufi, L.; Ontoria, J.M.; Pescatore, G.; Rowley, M.; Scarpelli, R.; et al. Heterocycles Derivatives as Histone Deacetylase (HDAC) Inhibitors. WO/2006/061638, 15 June 2006. [Google Scholar]
- Deziel, R.; Rahil, J.; Wahhab, A.; Allan, M.; Nguyen, N. Sirtuin Inhibitors. WO/2009/026701, 3 March 2009. [Google Scholar]
- Mackwitz, M.K.W.; Hesping, E.; Antonova-Koch, Y.; Diedrich, D.; Woldearegai, T.G.; Skinner-Adams, T.; Clarke, M.; Schöler, A.; Limbach, L.; Kurz, T.; et al. Structure-Activity and Structure-Toxicity Relationships of Peptoid-Based Histone Deacetylase Inhibitors with Dual-Stage Antiplasmodial Activity. Chem. Med. Chem. 2019, 14, 912–926. [Google Scholar] [CrossRef]
- Andrews, K.T.; Tran, T.N.; Lucke, A.J.; Kahnberg, P.; Le, G.T.; Boyle, G.M.; Gardiner, D.L.; Skinner-Adams, T.S.; Fairlie, D.P. Potent antimalarial activity of histone deacetylase inhibitor analogs. Antimicrob. Agents Chemother. 2008, 52, 1454–1461. [Google Scholar] [CrossRef] [PubMed]
- Chua, M.J.; Arnold, M.S.J.; Xu, W.; Lancelot, J.; Lamotte, S.; Späth, G.F.; Prina, E.; Pierce, R.J.; Fairlie, D.P.; Skinner-Adams, T.S.; et al. Effect of clinically approved HDAC inhibitors on Plasmodium, Leishmania and Schistosoma parasite growth. Int. J. Parasitol. Drugs Drug Resist. 2017, 7, 42–50. [Google Scholar] [CrossRef]
- Melesina, J.; Robaa, D.; Pierce, R.J.; Romier, C.; Sippl, W. Homology modeling of parasite histone deacetylases to guide the structure-based design of selective inhibitors. J. Mol. Graphics Modell. 2015, 62, 342–361. [Google Scholar] [CrossRef]
- Hailu, G.S.; Robaa, D.; Forgione, M.; Sippl, W.; Rotili, D.; Mai, A. Lysine Deacetylase Inhibitors in Parasites: Past, Present, and Future Perspectives. J. Med. Chem. 2017, 60, 4780–4804. [Google Scholar] [CrossRef]
- Diedrich, D.; Stenzel, K.; Hesping, E.; Antonova-Koch, Y.; Gebru, T.; Duffy, S.; Fisher, G.; Schçler, A.; Meister, S.; Kurz, T.; et al. One-pot, multi-component synthesis and structure-activity relationships of peptoid-based histone deacetylase (HDAC) inhibitors targeting malaria parasites. Eur. J. Med. Chem. 2018, 158, 801–813. [Google Scholar] [CrossRef]
- Li, R.; Ling, D.; Tang, T.; Huang, Z.; Wang, M.; Ding, Y.; Liu, T.; Wei, H.; Xu, W.; Mao, F.; et al. Discovery of Novel Plasmodium falciparum HDAC1 Inhibitors with Dual-Stage Antimalarial Potency and Improved Safety Based on the Clinical Anticancer Drug Candidate Quisinostat. J. Med. Chem. 2021, 64, 2254–2271. [Google Scholar] [CrossRef]
- Jiang, L.; Haung, Z. Novel High-Efficiency Antimalarial Drug, Quisinostat. WO/2017/143964, 31 August 2017. [Google Scholar]
- Zheng, Y.; Tice, C.M.; Singh, S.B. The Use of Spirocyclic Scaffolds in Drug Discovery. Bioorg. Med. Chem. Lett. 2014, 24, 3673–3682. [Google Scholar] [CrossRef]
- Dickens, J.W.J.; Houpis, I.N.; Lang, Y.L.; Leys, C.; Stokbroekx, S.C.M.; Weerts, J.E.E. Mono-Hydrochloric Salts of an Inhibitor of Histone Deacetylase. WO2008138918A1, 20 November 2008. [Google Scholar]
- Nardella, F.; Halby, L.; Dobrescu, I.; Viluma, J.; Bon, J.; Claes, A.; Cadet-Daniel, V.; Tafit, A.; Roesch, C.; Hammam, E.; et al. Procainamide–SAHA Fused Inhibitors of hHDAC6 Tackle Multidrug-Resistant Malaria Parasites. J. Med. Chem. 2021, 64, 10403–10417. [Google Scholar] [CrossRef] [PubMed]
- Lee, B.H.; Yegnasubramanian, S.; Lin, X.; Nelson, W.G. Procainamide Is a Specific Inhibitor of DNA Methyltransferase 1. J. Biol. Chem. 2005, 280, 40749–40756. [Google Scholar] [CrossRef] [PubMed]
- Kumar, A.; Dhar, S.K.; Subbarao, N. In silico identification of inhibitors against Plasmodium falciparum histone deacetylase 1 (PfHDAC-1). J. Mol. Model. 2018, 24, 232. [Google Scholar] [CrossRef] [PubMed]
- Webb, B.; Sali, A. Protein structure modeling with MODELLER. Methods Mol. Biol. 2014, 1137, 1–15. [Google Scholar] [CrossRef]
- Singh, A.; Maqbool, M.; Mobashir, M.; Hoda, N. Dihydroorotate dehydrogenase: An inevitable drug target for the development of antimalarials. Eur. J. Med. Chem. 2017, 125, 640–651. [Google Scholar] [CrossRef]
- Murphy, M.P.; Hartley, R.C. Mitochondria as a therapeutic target for common pathologies. Nat. Rev. Drug Discov. 2018, 12, 865–886. [Google Scholar] [CrossRef]
- Berry, E.A.; Huang, L.S.; Saechao, L.K.; Pon, N.G.; Valkova-Valchanova, M.; Daldal, F. X-ray structure of Rhodobacter capsulatus cytochrome bc1: Comparison with its mitochondrial and chloroplast counterparts. Photosynth. Res. 2004, 81, 251–275. [Google Scholar] [CrossRef] [PubMed]
- Hunte, C.; Koepke, J.; Lange, C.; Rossmanith, T.; Michel, H. Structure at 2.3 A resolution of the cytochrome bc1 complex from the yeast Saccharomyces cerevisiae co-crystallized with an antibody Fv fragment. Structure 2000, 8, 669–684. [Google Scholar] [CrossRef]
- Xia, D.; Yu, C.A.; Kim, H.; Xia, J.Z.; Kachurin, A.M.; Zhang, L.; Yu, L.; Deisenhofer, J. Crystal Structure of the Cytochrome bc1 Complex from Bovine Heart Mitochondria. Science 1997, 277, 60–66. [Google Scholar] [CrossRef] [PubMed]
- Zhang, Z.; Huang, L.; Shulmeister, V.M.; Chi, Y.I.; Kim, K.K.; Hung, L.W.; Crofts, A.R.; Berry, E.A.; Kim, S.H. Electron transfer by domain movement in cytochrome bc1. Nature 1998, 392, 677–684. [Google Scholar] [CrossRef] [PubMed]
- Yang, X.; Trumpower, B.L. Purification of a three-subunit ubiquinol-cytochrome c oxidoreductase complex from Paracoccus denitrificans. J. Biol. Chem. 1986, 261, 12282–12289. [Google Scholar] [CrossRef]
- Mitchell, P. Possible molecular mechanisms of the protonmotive function of cytochrome systems. J. Theor. Biol. 1976, 62, 327–367. [Google Scholar] [CrossRef]
- Erecińska, M.; Chance, B.; Wilson, D.F.; Dutton, P.L. Aerobic Reduction of Cytochrome b566 in Pigeon-Heart Mitochondria. Proc. Natl. Acad. Sci. USA 1972, 69, 50–54. [Google Scholar] [CrossRef] [PubMed]
- Huang, L.S.; Cobessi, D.; Tung, E.Y.; Berry, E.A. Binding of the Respiratory Chain Inhibitor Antimycin to the Mitochondrial bc1 Complex: A New Crystal Structure Reveals an Altered Intramolecular Hydrogen-bonding Pattern. J. Mol. Biol. 2005, 351, 573–597. [Google Scholar] [CrossRef] [PubMed]
- Hao, G.F.; Wang, F.; Li, H.; Zhu, X.L.; Yang, W.C.; Huang, L.S.; Wu, J.W.; Berry, E.A.; Yang, G.F. Computational Discovery of Picomolar Qo Site Inhibitors of Cytochrome bc1 Complex. J. Am. Chem. Soc. 2012, 134, 11168–11176. [Google Scholar] [CrossRef]
- Solmaz, S.R.N.; Hunte, C. Structure of complex III with bound cytochrome c in reduced state and definition of a minimal core interface for electron transfer. J. Biol. Chem. 2008, 283, 17542–17549. [Google Scholar] [CrossRef]
- Esser, L.; Elberry, M.; Zhou, F.; Yu, C.A.; Yu, L.; Xia, D. Inhibitor-complexed Structures of the Cytochrome bc1 from the Photosynthetic Bacterium Rhodobacter sphaeroides. J. Biol. Chem. 2008, 283, 2846–2857. [Google Scholar] [CrossRef]
- Painter, H.J.; Morrisey, J.M.; Mather, M.W.; Vaidya, A.B. Specific role of mitochondrial electron transport in blood-stage Plasmodium falciparum. Nature 2007, 446, 88–91. [Google Scholar] [CrossRef] [PubMed]
- Fagan, R.L.; Nelson, M.N.; Pagano, P.M.; Palfey, B.A. Mechanism of Flavin Reduction in Class 2 Dihydroorotate Dehydrogenases. Biochemistry 2006, 45, 14926–14932. [Google Scholar] [CrossRef]
- Phillips, M.A.; Rathod, P.K. Plasmodium dihydroorotate dehydrogenase: A promising target for novel anti-malarial chemotherapy. Infect. Disord. Drug Targets 2010, 10, 226–239. [Google Scholar] [CrossRef]
- Coteron, J.M.; Marco, M.A.; Esquivias, J.; Deng, X.; White, K.L.; White, J.; Koltun, M.; El Mazouni, F.; Kokkonda, S.; Katneni, K.; et al. Structure-Guided Lead Optimization of Triazolopyrimidine-Ring Substituents Identifies Potent Plasmodium falciparum Dihydroorotate Dehydrogenase Inhibitors with Clinical Candidate Potential. J. Med. Chem. 2011, 54, 5540–5561. [Google Scholar] [CrossRef] [PubMed]
- Fry, M.; Pudney, M. Site of action of the antimalarial hydroxynaphthoquinone, 2-[trans-4-(4′-chlorophenyl)cyclohexyl]-3-hydroxy-1,4-naphthoquinone (566C80). Biochem. Pharmacol. 1992, 43, 1545–1553. [Google Scholar] [CrossRef]
- Shanks, G.D.; Gordon, D.M.; Klotz, F.W.; Aleman, G.M.; Oloo, A.J.; Sadie, D.; Scott, T.R. Efficacy and Safety of Atovaquone/Proguanil as Suppressive Prophylaxis for Plasmodium falciparum Malaria. Clin. Infect. Dis. 1998, 27, 494–499. [Google Scholar] [CrossRef]
- Srivastava, I.K.; Morrisey, J.M.; Darrouzet, E.; Daldal, F.; Vaidya, A.B. Resistance mutations reveal the atovaquone-binding domain of cytochrome b in malaria parasites. Mol. Microbiol. 1999, 33, 704–711. [Google Scholar] [CrossRef]
- Srivastava, I.K.; Vaidya, A.B. A mechanism for the Synergistic Antimalarial Action of Atovaquone and Proguanil. Antimicrob. Agents Chemother. 1999, 43, 1334–1339. [Google Scholar] [CrossRef] [PubMed]
- Birth, D.; Kao, W.C.; Hunte, C. Structural analysis of atovaquone-inhibited cytochrome bc1 complex reveals the molecular basis of antimalarial drug action. Nat. Commun. 2014, 5, 4029. [Google Scholar] [CrossRef] [PubMed]
- Hudson, A.T.; Randall, A.W. Naphthoquinone derivatives. U.S. Patent 5053432A, 1 October 1991. [Google Scholar]
- Hudson, A.T.; Latter, V. Medicaments. EP0580185A1, 26 January 1994. [Google Scholar]
- Antonio, N.; Mara, S.; Annibale, S.; Stefan, M. Process for the preparation of trans-2,3-disubstituted naphthoquinones. U.S. Patent 7,842,840 B2. 2010. Chem. Abstr. 2008, 149, 576277. [Google Scholar]
- Saralya, S.S.; Shasikumar, S.H.; Shashipraba, S.; Kanakamajalu, S.; Koottungalamadhom, R.R.; Ananathalakshmi, V.; Govindarajalu, J.; Rao, K.S.; Nagarajan, K. Preparation of naphthoquinone compounds using 2,3-dihalonaphthoquinone. WO 2009122432A2, 8 October 2009. [Google Scholar]
- Williams, D.R.; Clark, M.P. Synthesis of atovaquone. Tetrahedron Lett. 1998, 39, 7629–7632. [Google Scholar] [CrossRef]
- Dwyer, A.N.; Gordon, A.; Urquhart, M. Novel process. WO/2012/080243 A2, 21 June 2012. [Google Scholar]
- Britton, H.; Catterick, D.; Dwyer, A.N.; Gordon, A.H.; Leach, S.G.; McCormick, C.; Mountain, C.E.; Simpson, A.; Stevens, D.R.; Urquhart, M.W.J.; et al. Discovery and Development of an Efficient Process to Atovaquone. Org. Process Res. Dev. 2012, 16, 1607–1617. [Google Scholar] [CrossRef]
- Dike, S.Y.; Singh, D.; Thankachen, B.N.; Sharma, B.; Mathur, P.K.; Kore, S.; Kumar, A. A Single-Pot Synthesis of Atovaquone: An Antiparasitic Drug of Choice. Org. Process Res. Dev. 2014, 18, 618–625. [Google Scholar] [CrossRef]
- Borgati, T.F.; Alves do Nascimento, M.F.; Bernardino, J.F.; Oliveira Martins, L.C.; Gutterres Taranto, A.; Braga de Oliveira, A. Synthesis, SAR, and Docking Studies Disclose 2-Arylfuran-1,4-naphthoquinones as In Vitro Antiplasmodial Hits. J. Trop. Med. 2017, 2017, 7496934. [Google Scholar] [CrossRef]
- Nogueira, F.; Rosário, V.E. Methods for assessment of antimalarial activity in the different phases of the Plasmodium life cycle. Rev. Pan-Amaz. Saude 2010, 3, 109–124. [Google Scholar] [CrossRef]
- Makler, M.T.; Piper, R.C.; Milhous, W.K. Lactate dehydrogenase and the diagnosis of malaria. Parasitol. Today 1998, 9, 376–377. [Google Scholar] [CrossRef]
- Kapadia, G.J.; Azuine, M.A.; Balasubramanian, V.; Sridhar, R. Amino-naphthoquinones—a novel class of compounds with potent antimalarial activity against Plasmodium falciparum. Pharmacol. Res. 2001, 4, 363–367. [Google Scholar] [CrossRef] [PubMed]
- Oramas-Royo, S.; López-Rojas, P.; Amesty, A.; Gutiérrez, D.; Flores, N.; Martín-Rodríguez, P.; Fernández-Pérez, L.; Estévez-Braun, A. Synthesis and Antiplasmodial Activity of 1,2,3-Triazole-Naphthoquinone Conjugates. Molecules 2019, 24, 3917. [Google Scholar] [CrossRef]
- Rostovtsev, V.V.; Green, L.G.; Fokin, V.V.; Sharpless, K.B. A Stepwise Huisgen Cycloaddition Process: Copper(I)-Catalyzed Regioselective “Ligation” of Azides and Terminal Alkynes. Angew. Chem. Int. Ed. 2002, 41, 2596–2599. [Google Scholar] [CrossRef]
- Hurt, D.E.; Widom, J.; Clardy, J. Structure of Plasmodium falciparum dihydroorotate dehydrogenase with a bound inhibitor. Acta Cryst. 2006, 62, 312–323. [Google Scholar] [CrossRef]
- Deng, X.; Matthews, D.; Rathod, P.K.; Phillips, M.A. The X-ray structure of Plasmodium falciparum dihydroorotate dehydrogenase bound to a potent and selective N-phenylbenzamide inhibitor reveals novel binding-site interactions. Acta Cryst. Sect. F Struct. Biol. Commun. 2015, 71, 553–559. [Google Scholar] [CrossRef] [PubMed]
- Xu, L.; Li, W.; Diao, Y.; Sun, H.; Li, H.; Zhu, L.; Zhou, H.; Zhao, Z. Synthesis, Design, and Structure–Activity Relationship of the Pyrimidone Derivatives as Novel Selective Inhibitors of Plasmodium falciparum Dihydroorotate Dehydrogenase. Molecules 2018, 23, 1254. [Google Scholar] [CrossRef] [PubMed]
- Xu, M.; Zhu, J.; Diao, Y.; Zhou, H.; Ren, X.; Sun, D.; Huang, J.; Han, D.; Zhao, Z.; Zhu, L.; et al. Novel selective and potent inhibitors of malaria parasite dihydroorotate dehydrogenase: Discovery and optimization of dihydrothiophenone derivatives. J. Med. Chem. 2013, 56, 7911–7924. [Google Scholar] [CrossRef]
- Knecht, W.; Henseling, J.; Löffler, M. Kinetics of Inhibition of Human and Rat Dihydroorotate Dehydrogenase by Atovaquone, Lawsone Derivatives, Brequinar Sodium and Polyporic Acid. Chem. Biol. Interact. 2000, 124, 61–76. [Google Scholar] [CrossRef]
- Woody, S.; Tyler, D.; Matthew, P.J.; Richard, A.F.; Ramy, F. Novel Procedure for Modeling Ligand/Receptor Induced Fit Effects. J. Med. Chem. 2006, 49, 534–553. [Google Scholar] [CrossRef]
- Azeredo, L.F.S.P.; Coutinho, J.P.; Jabor, V.A.P.; Feliciano, P.R.; Nonato, M.R.; Kaiser, C.R.; Menezes, C.M.S.; Hammes, A.S.O.; Caffarena, E.R.; Hoelz, L.V.B.; et al. Evaluation of 7-arylaminopyrazolo[1,5-a]pyrimidines as anti-Plasmodium falciparum, antimalarial, and Pf-dihydroorotate dehydrogenase inhibitors. Eur. J. Med. Chem. 2017, 126, 72–83. [Google Scholar] [CrossRef] [PubMed]
- Boechat, N.; Pinheiro, L.C.S.; Silva, T.S.; Aguiar, A.C.C.; Carvalho, A.S.; Bastos, M.M.; Costa, C.C.P.; Pinheiro, S.; Pinto, A.C.; Mendonça, J.S.; et al. New trifluoromethyl triazolopyrimidines as anti-Plasmodium falciparum agents. Molecules 2012, 17, 8285–8302. [Google Scholar] [CrossRef] [PubMed]
- Senga, K.; Novinson, T.; Wilson, H.R. Synthesis and Antischistosomal activity of certain Pyrazolo[1,5-a]pyrimidines. J. Med. Chem. 1981, 24, 610–613. [Google Scholar] [CrossRef] [PubMed]
- Morris, G.M.; Goodsell, D.S.; Halliday, R.S.; Huey, R.; Hart, W.E.; Belew, R.K.; Olson, A.J. Automated docking using a Lamarckian genetic algorithm and empirical binding free energy function. J. Comput. Chem. 1998, 19, 1639–1662. [Google Scholar] [CrossRef]
- Maetani, M.; Kato, N.; Jabor, V.A.P.; Calil, F.A.; Nonato, M.C.; Scherer, C.A.; Schreiber, S.L. Discovery of Antimalarial Azetidine-2-carbonitriles That Inhibit P. falciparum Dihydroorotate Dehydrogenase. ACS Med. Chem. Lett. 2017, 8, 438–442. [Google Scholar] [CrossRef]
- Kato, N.; Comer, E.; Sakata-Kato, T.; Sharma, A.; Sharma, M.; Maetani, M.; Bastien, J.; Brancucci, N.M.; Bittker, J.A.; Corey, V.; et al. Diversity-oriented synthesis yields novel multistage antimalarial inhibitors. Nature 2016, 538, 344–349. [Google Scholar] [CrossRef]
- Dancík, V.; Seiler, K.P.; Young, D.W.; Schreiber, S.L.; Clemons, P.A. Distinct biological network properties between the targets of natural products and disease genes. J. Am. Chem. Soc. 2010, 132, 9259–9261. [Google Scholar] [CrossRef]
- Okada-Junior, C.Y.; Monteiro, G.C.; Campos Aguiar, A.N.; Batista, V.S.; Oliveira de Souza, J.; Souza, G.E.; Bueno, R.V.; Oliva, G.; Nascimento-Juńior, N.M.; Victorio, R.; et al. Phthalimide Derivatives with Bioactivity against Plasmodium falciparum: Synthesis, Evaluation, and Computational Studies Involving bc1 Cytochrome Inhibition. ACS Omega 2018, 3, 9424–9430. [Google Scholar] [CrossRef]
- Hong, W.D.; Leung, S.C.; Amporndanai, K.; Davies, J.; Priestley, R.S.; Nixon, G.L.; Berry, N.G.; Hasnain, S.S.; Antonyuk, S.; Ward, S.A.; et al. Potent Antimalarial 2-Pyrazolyl Quinolone bc1 (Qi) Inhibitors with Improved Drug-like Properties. ACS Med. Chem. Lett. 2018, 9, 1205–1210. [Google Scholar] [CrossRef] [PubMed]
- Pidathala, C.; Amewu, R.; Pacorel, B.; Nixon, G.L.; Gibbons, P.; Hong, W.D.; Leung, S.C.; Berry, N.G.; Sharma, R.; Stocks, P.A.; et al. Identification, Design and Biological Evaluation of Bisaryl Quinolones Targeting Plasmodium falciparum Type II NADH: Quinone Oxidoreductase (PfNDH2). J. Med. Chem. 2012, 55, 1831–1843. [Google Scholar] [CrossRef] [PubMed]
- Biagini, G.A.; Fisher, N.; Berry, N.; Stocks, P.A.; Meunier, B.; Williams, D.P.; Bonar-Law, R.; Bray, P.G.; Owen, A.; O’Neill, P.M.; et al. Acridinediones: Selective and potent inhibitors of the malaria parasite mitochondrial bc(1) complex. Mol. Pharmacol. 2008, 73, 1347–1355. [Google Scholar] [CrossRef]
- Capper, M.J.; O’Neill, P.M.; Fisher, N.; Strange, R.W.; Moss, D.; Ward, S.A.; Berry, N.G.; Lawrenson, A.S.; Hasnain, S.S.; Biagini, G.A.; et al. Antimalarial 4(1H)-pyridones bind to the Qi site of cytochrome bc1. Proc. Natl. Acad. Sci. USA 2015, 112, 755–760. [Google Scholar] [CrossRef]
- Biasini, M.; Bienert, S.; Waterhouse, A.; Arnold, K.; Studer, G.; Schmidt, T.; Kiefer, F.; Gallo Cassarino, T.; Bertoni, M.; Bordoli, L.; et al. SWISS-MODEL: Modelling protein tertiary and quaternary structure using evolutionary information. Nucleic Acids Res. 2014, 42, 252–258. [Google Scholar] [CrossRef] [PubMed]
Publisher’s Note: MDPI stays neutral with regard to jurisdictional claims in published maps and institutional affiliations. |
© 2021 by the authors. Licensee MDPI, Basel, Switzerland. This article is an open access article distributed under the terms and conditions of the Creative Commons Attribution (CC BY) license (https://creativecommons.org/licenses/by/4.0/).














































