Optimization of Extraction or Purification Process of Multiple Components from Natural Products: Entropy Weight Method Combined with Plackett–Burman Design and Central Composite Design
Abstract
:1. Introduction
2. Results
2.1. Screening of Resin Types
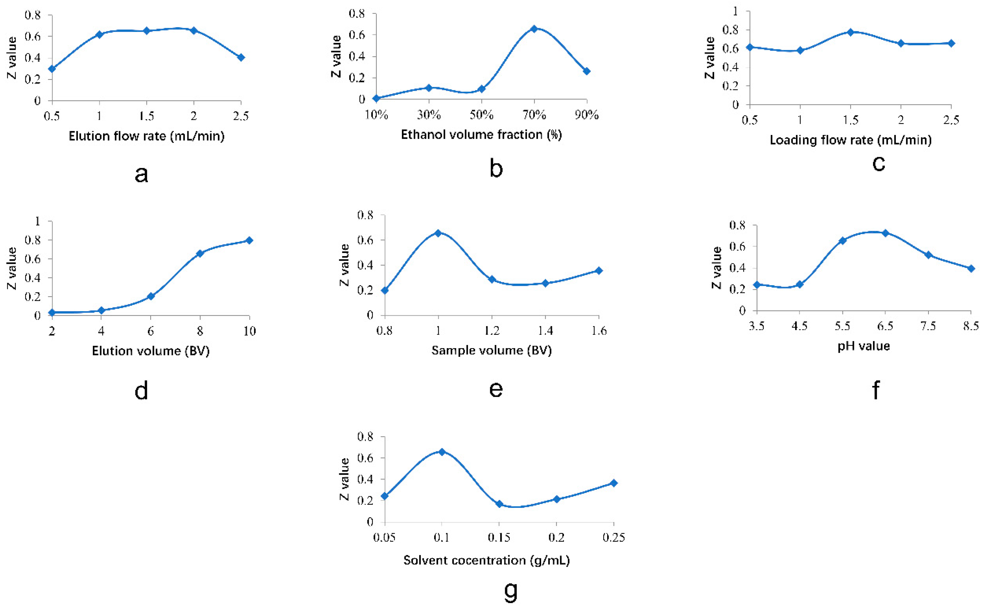
2.2. Single-Factor Experiments
2.3. Screening of Main Influencing Factors
2.4. Central Composite Design (CCD) Results
3. Materials and Methods
3.1. Chemical and Reagents
3.2. Establishment of High-Performance Liquid Chromatography (HPLC) Fingerprint
3.3. Entropy Weight Method
- (1)
- Normalization of indicators:where rij was the standardized value of the j-th component in the i-th sample (i = 1, 2, 3, …, m, j = 1, 2, 3, …, n).
- (2)
- Calculation of the proportion of the j-th index (pij):
- (3)
- Calculation of the entropy value of the j-th index (ej):
- (4)
- Calculation the information entropy redundancy of the j-th index (dj):
- (5)
- Calculation the entropy weight coefficient (wj) of the j-th index:
3.4. Pretreatment of Macroporous Adsorption Resins
3.5. Static Adsorption/Desorption Tests for Screening of Macroporous Resin Types
3.6. Single Factor Experiments
3.6.1. Effect of Elution Flow Rate on Saponins Purification
3.6.2. Effect of Ethanol Volume Fraction on Saponins Purification
3.6.3. Effect of Sample Volume on Saponins Purification
3.6.4. Effect of Elution Volume on Saponins Purification
3.6.5. Effect of Sample Flow Rate on Saponins Purification
3.6.6. Effect of pH Value on Saponins Purification
3.6.7. Effect of Sample Solution Concentration on Saponins Purification
3.7. Screening of Main Influencing Factors
4. Discussion
5. Conclusions
Author Contributions
Funding
Institutional Review Board Statement
Informed Consent Statement
Data Availability Statement
Conflicts of Interest
Sample Availability
References
- Ciulu, M.; Cadiz-Gurrea, M.L.; Segura-Carretero, A. Extraction and Analysis of Phenolic Compounds in Rice: A Review. Molecules 2018, 23, 2890. [Google Scholar] [CrossRef] [Green Version]
- Castro-Munoz, R.; Diaz-Montes, E.; Cassano, A.; Gontarek, E. Membrane separation processes for the extraction and purification of steviol glycosides: An overview. Crit. Rev. Food Sci. Nutr. 2021, 61, 2152–2174. [Google Scholar] [CrossRef] [PubMed]
- Liu, B.Q.; Liu, J.F.; Huang, D.D.; Pei, D.; Di, D.L. Separation and purification of hydroxytysol and oleuropein from Olea europaea L. (olive) leaves using macroporous resins and a novel solvent system. J. Sep. Sci. 2020, 43, 2619–2625. [Google Scholar] [CrossRef] [PubMed]
- Rezvankhah, A.; Emam-Djomeh, Z.; Safari, M.; Askari, G.; Salami, M. Microwave-assisted extraction of hempseed oil: Studying and comparing of fatty acid composition, antioxidant activity, physiochemical and thermal properties with Soxhlet extraction. J. Food Sci. Technol. Mys. 2019, 56, 4198–4210. [Google Scholar] [CrossRef] [PubMed]
- Narenderan, S.T.; Meyyanathan, S.N.; Karri, V.V.S.R. Experimental design in pesticide extraction methods: A review. Food Chem. 2019, 289, 384–395. [Google Scholar] [CrossRef] [PubMed]
- Belwal, T.; Bhatt, I.D.; Rawal, R.S.; Pande, V. Microwave-assisted extraction (MAE) conditions using polynomial design for improving antioxidant phytochemicals in Berberis asiatica Roxb. ex DC. leaves. Ind. Crop. Prod. 2017, 95, 393–403. [Google Scholar] [CrossRef]
- Witek-Krowiak, A.; Chojnacka, K.; Podstawczyk, D.; Dawiec, A.; Pokomeda, K. Application of response surface methodology and artificial neural network methods in modelling and optimization of biosorption process. Bioresour. Technol. 2014, 160, 150–160. [Google Scholar] [CrossRef]
- Khataee, A.R.; Kasiri, M.B.; Alidokht, L. Application of response surface methodology in the optimization of photocatalytic removal of environmental pollutants using nanocatalysts. Environ. Technol. 2011, 32, 1669–1684. [Google Scholar] [CrossRef]
- Xu, M.Y.; Yin, P.; Liu, X.G.; Dong, X.Q.; Yang, Y.X.; Wang, Z.D.; Qu, R.J. Optimization of biosorption parameters of Hg(II) from aqueous solutions by the buckwheat hulls using respond surface methodology. Desalin. Water Treat. 2013, 51, 4546–4555. [Google Scholar] [CrossRef]
- Mahajan, H.S.; Patil, P.H. Central composite design-based optimization of lopinavir vitamin E-TPGS micelle: In vitro characterization and in vivo pharmacokinetic study. Colloid Surf. B 2020, 194, 111149. [Google Scholar] [CrossRef]
- Pan, G.B.; Xu, Y.P.; Yu, Z.H.; Song, S.; Zhang, Y. Analysis of river health variation under the background of urbanization based on entropy weight and matter-element model: A case study in Huzhou City in the Yangtze River Delta, China. Environ. Res. 2015, 139, 31–35. [Google Scholar] [CrossRef]
- Xie, T.; Wang, M.E.; Su, C.; Chen, W.P. Evaluation of the natural attenuation capacity of urban residential soils with ecosystem-service performance index (EPX) and entropy-weight methods. Environ. Pollut. 2018, 238, 222–229. [Google Scholar] [CrossRef] [PubMed]
- Du, Y.P.; Zhang, Y.; Zhao, X.G.; Wang, X.H. Risk evaluation of bogie system based on extension theory and entropy weight method. Comput. Intell. Neurosci. 2014, 2014, 195752. [Google Scholar] [CrossRef] [Green Version]
- Bai, C.Z.; Hao, J.Q.; Hao, X.L.; Feng, M.L. Preparation of Astragalus membranaceus lectin and evaluation of its biological function. Biomed. Rep. 2018, 9, 345–349. [Google Scholar] [CrossRef] [PubMed]
- Zhang, C.H.; Yang, X.; Wei, J.R.; Chen, N.M.H.; Xu, J.P.; Bi, Y.Q.; Yang, M.; Gong, X.; Li, Z.Y.; Ren, K.; et al. Ethnopharmacology, phytochemistry, pharmacology, toxicology and clinical applications of Radix Astragali. Chin. J. Integr. Med. 2021, 27, 229–240. [Google Scholar] [CrossRef] [PubMed]
- Auyeung, K.K.; Han, Q.B.; Ko, J.K. Astragalus membranaceus: A review of its protection against inflammation and gastrointestinal cancers. Am. J. Chin. Med. 2016, 44, 1–22. [Google Scholar] [CrossRef] [PubMed]
- Huang, P.C.; Jin, W.F.; Wan, H.T.; Li, C.; Chen, J.Z.; Lou, X.H. Optimization of microwave extraction conditions of astragalus saponins by genetic neural network and genetic algorithm. Chin. Tradit. Herb. Drugs 2019, 50, 3815–3823. [Google Scholar]
- Zou, Z.H.; Yun, Y.; Sun, J.N. Entropy method for determination of weight of evaluating indicators in fuzzy synthetic evaluation for water quality assessment. J. Environ. Sci. (China) 2006, 18, 1020–1023. [Google Scholar] [CrossRef]
- Sun, P.C.; Liu, Y.; Yi, Y.T.; Li, H.J.; Fan, P.; Xia, C.H. Preliminary enrichment and separation of chlorogenic acid from Helianthus tuberosus L. leaves extract by macroporous resins. Food Chem. 2015, 168, 55–62. [Google Scholar] [CrossRef]
- Yu, J.Q.; Zhang, J.Q.; Sun, X.W.; Xiao, C.H.; Wang, X.; Zhou, T. Comprehensive separation of iridoid glycosides and triterpenoid saponins from Dipsacus asper with salt-containing solvent by high-speed countercurrent chromatography coupled with recycling mode. J. Sep. Sci. 2020, 43, 1265–1274. [Google Scholar] [CrossRef]
- Zheng, N.; Shi, Y.L.; Ji, Y.X.; Lu, W. Stability and transformation of astragaloside IV, III and I. Cent. South Pharm. 2014, 12, 1062–1065. (In Chinese) [Google Scholar]
- Li, M.; Eskridge, K.; Liu, E.; Wilkins, M. Enhancement of polyhydroxybutyrate (PHB) production by 10-fold from alkaline pretreatment liquor with an oxidative enzyme-mediator-surfactant system under Plackett-Burman and central composite designs. Bioresour. Technol. 2019, 281, 99–106. [Google Scholar] [CrossRef] [PubMed]



| Recovery % | |||||||
|---|---|---|---|---|---|---|---|
| S1 | S2 | S3 | S4 | S5 | S6 | S7 | |
| NKA-9 | 50% | 27% | 8% | 4% | 62% | 9% | 1% |
| ADS-8 | 53% | 17% | 8% | 4% | 80% | 3% | 3% |
| H-20 | 58% | 70% | 61% | 25% | 81% | 83% | 86% |
| DM-130 | 53% | 42% | 13% | 8% | 55% | 1% | 2% |
| S-8 | 47% | 34% | 9% | 6% | 68% | 0% | 1% |
| X-5 | 70% | 86% | 42% | 56% | 66% | 97% | 96% |
| HPD-300 | 57% | 78% | 71% | 30% | 71% | 83% | 76% |
| HPD-400 | 48% | 30% | 8% | 4% | 56% | 1% | 2% |
| D101 | 84% | 93% | 18% | 85% | 64% | 77% | 89% |
| AB-8 | 82% | 92% | 99% | 90% | 50% | 83% | 95% |
| No. | A Elution Flow Rate mL/min | B Eluent Volume BV | C | D Ethanol Volume Fraction % | E Extraction Solvent Concentration g/mL | F | G Sample Volume | H Sample Flow Rate mL/min | I | J PH Value | K | Z |
|---|---|---|---|---|---|---|---|---|---|---|---|---|
| 1 | 1.5 | 8 | - | 50% | 1 | - | 0.8 | 1.5 | - | 6.5 | - | 0.1033 |
| 2 | 2 | 10 | - | 70% | 1 | - | 0.8 | 1 | - | 6.5 | - | 0.7906 |
| 3 | 1.5 | 8 | - | 70% | 0.5 | - | 1 | 1 | - | 6.5 | - | 0.0703 |
| 4 | 2 | 8 | - | 70% | 1 | - | 0.8 | 1 | - | 5.5 | - | 0.7632 |
| 5 | 2 | 10 | - | 50% | 0.5 | - | 1 | 1 | - | 6.5 | - | 0.3425 |
| 6 | 2 | 10 | - | 50% | 0.5 | - | 0.8 | 1.5 | - | 5.5 | - | 0.0851 |
| 7 | 1.5 | 10 | - | 50% | 1 | - | 1 | 1 | - | 5.5 | - | 0.1267 |
| 8 | 1.5 | 10 | - | 70% | 1 | - | 1 | 1.5 | - | 5.5 | - | 0.2229 |
| 9 | 1.5 | 8 | - | 50% | 0.5 | - | 0.8 | 1 | - | 5.5 | - | 0.7976 |
| 10 | 2 | 8 | - | 50% | 1 | - | 1 | 1.5 | - | 6.5 | - | 0.2116 |
| 11 | 1.5 | 10 | - | 70% | 0.5 | - | 0.8 | 1.5 | - | 6.5 | - | 0.3805 |
| 12 | 2 | 8 | - | 70% | 0.5 | - | 1 | 1.5 | - | 5.5 | - | 0.4791 |
| Factor | SS | DF | MS | F Value | p Value |
|---|---|---|---|---|---|
| Model | 0.814189 | 7 | 0.116313 | 7.68 | 0.034 |
| A | 0.004005 | 1 | 0.004005 | 0.26 | 0.634 |
| B | 0.050962 | 1 | 0.050962 | 3.36 | 0.141 |
| D | 0.221486 | 1 | 0.221486 | 14.62 | 0.019 |
| E | 0.24471 | 1 | 0.24471 | 16.15 | 0.016 |
| G | 0.06952 | 1 | 0.06952 | 4.59 | 0.099 |
| H | 0.010557 | 1 | 0.010557 | 0.7 | 0.451 |
| J | 0.21295 | 1 | 0.21295 | 14.05 | 0.02 |
| Residual | 0.060609 | 4 | 0.015152 | ||
| Cor total | 0.874798 | 11 |
| X1 | X2 | X3 | Z | |
|---|---|---|---|---|
| 1 | 0 | −1 | 0 | 0.5452 |
| 2 | 1 | −1 | −1 | 0.2407 |
| 3 | 0 | 0 | 0 | 0.6756 |
| 4 | −1 | 0 | 0 | 0.4996 |
| 5 | 1 | 0 | 0 | 0.3569 |
| 6 | 1 | −1 | 1 | 0.4966 |
| 7 | 0 | 0 | 1 | 0.1344 |
| 8 | −1 | 1 | −1 | 0.9266 |
| 9 | 1 | 1 | −1 | 0.3113 |
| 10 | 0 | 0 | 0 | 0.6674 |
| 11 | 0 | 1 | 0 | 0.9335 |
| 12 | −1 | 1 | 1 | 0.9251 |
| 13 | 0 | 0 | 0 | 0.6466 |
| 14 | 1 | 1 | 1 | 0.4142 |
| 15 | −1 | −1 | 1 | 0.5993 |
| 16 | −1 | −1 | −1 | 0.3321 |
| 17 | 0 | 0 | −1 | 0.0831 |
| Factor | SS | DF | MF | F Value | p Value |
|---|---|---|---|---|---|
| Model | 0.96 | 9 | 0.11 | 5.15 | 0.021 |
| A | 0.21 | 1 | 0.21 | 10.33 | 0.0148 |
| B | 0.17 | 1 | 0.17 | 8.12 | 0.0247 |
| C | 0.046 | 1 | 0.046 | 2.2 | 0.1812 |
| AB | 0.11 | 1 | 0.11 | 5.24 | 0.0558 |
| AC | 1.085 × 10−3 | 1 | 1.085 × 10−3 | 0.052 | 0.8255 |
| BC | 0.022 | 1 | 0.022 | 1.07 | 0.3346 |
| A2 | 9.302 × 10−5 | 1 | 9.302 × 10−5 | 4.491 × 10−3 | 0.9484 |
| B2 | 0.25 | 1 | 0.25 | 12.05 | 0.0104 |
| C2 | 0.28 | 1 | 0.28 | 13.7 | 0.0076 |
| Residual | 0.14 | 7 | 0.021 | ||
| Lack of fit | 0.14 | 5 | 0.029 | 129.28 | 0.0077 |
| Pure Error | 4.472 × 10−4 | 2 | 2.236 × 10−4 | ||
| Cor total | 1.1 | 16 |
| S1 | S2 | S3 | S4 | S5 | S6 | S7 | Z | RSD % | |
|---|---|---|---|---|---|---|---|---|---|
| CCD | 98.17% | 95.47% | 116.91% | 95.22% | 89.79% | 96.37% | 99.71% | 1.0017 | 0.15% |
| 98.38% | 95.63% | 117.76% | 95.59% | 89.13% | 97.42% | 98.40% | 1.0041 | ||
| 98.21% | 96.70% | 118.30% | 95.92% | 88.39% | 96.79% | 99.21% | 1.0047 | ||
| Weight | 0.123 | 0.146 | 0.219 | 0.124 | 0.162 | 0.104 | 0.122 |
Publisher’s Note: MDPI stays neutral with regard to jurisdictional claims in published maps and institutional affiliations. |
© 2021 by the authors. Licensee MDPI, Basel, Switzerland. This article is an open access article distributed under the terms and conditions of the Creative Commons Attribution (CC BY) license (https://creativecommons.org/licenses/by/4.0/).
Share and Cite
Du, Y.; Huang, P.; Jin, W.; Li, C.; Yang, J.; Wan, H.; He, Y. Optimization of Extraction or Purification Process of Multiple Components from Natural Products: Entropy Weight Method Combined with Plackett–Burman Design and Central Composite Design. Molecules 2021, 26, 5572. https://doi.org/10.3390/molecules26185572
Du Y, Huang P, Jin W, Li C, Yang J, Wan H, He Y. Optimization of Extraction or Purification Process of Multiple Components from Natural Products: Entropy Weight Method Combined with Plackett–Burman Design and Central Composite Design. Molecules. 2021; 26(18):5572. https://doi.org/10.3390/molecules26185572
Chicago/Turabian StyleDu, Yu, Pengcheng Huang, Weifeng Jin, Chang Li, Jiehong Yang, Haitong Wan, and Yu He. 2021. "Optimization of Extraction or Purification Process of Multiple Components from Natural Products: Entropy Weight Method Combined with Plackett–Burman Design and Central Composite Design" Molecules 26, no. 18: 5572. https://doi.org/10.3390/molecules26185572
APA StyleDu, Y., Huang, P., Jin, W., Li, C., Yang, J., Wan, H., & He, Y. (2021). Optimization of Extraction or Purification Process of Multiple Components from Natural Products: Entropy Weight Method Combined with Plackett–Burman Design and Central Composite Design. Molecules, 26(18), 5572. https://doi.org/10.3390/molecules26185572

