Valorization of Moroccan Bentonite Deposits: “Purification and Treatment of Margin by the Adsorption Process”
Abstract
1. Introduction
2. Results and Discussion
2.1. Characterization of Adsorbent
2.1.1. Physicochemical Properties
2.1.2. XRD Characterization
2.1.3. Spectrum Analysis
2.1.4. XRF Characterization
2.2. Characteristics of Raw Margin
2.3. Adsorption Experiments
2.3.1. Evolution of Physico-Chemical Parameters
2.3.2. Total Suspended Solid Removal
2.3.3. Organic Matter Reduction
- -
- The first phase (5–50%): where the COD concentrations for the margin mixture with Iboughrdayn bentonite were reduced from 161.03 to 77.83 g·L−1. At the same time, we noticed an increase in the COD removal rate from 6.77% to 54.94%. In addition, Trebia margin/bentonite, characterized by reduced concentrations from 165.81 to 105.70 g·L−1, corresponds to elimination rates from 4.00% to 38.80%;
- -
- The second phase (50–70%): the COD concentrations for the almost constant margin/bentonite mixture vary successively for the Iboughrdain and Trebia bentonite in the interval between 73 and 96.5 g·L−1. In addition, COD removal rates vary between 57% and 44%;
- -
- The third phase beyond 70%: we distinguished a remarkable increase at the end of the treatment of the rate of elimination, with Iboughrdayn and Trebia bentonite reaching up to 93.73% and 82.80%, respectively.
2.3.4. Nitrogen Removal
2.3.5. Phosphorus Removal
- -
- The first Phase (5–20%): where the maximum phosphorus retention rate by Trebia bentonite, on the one hand, reached 34.48%, and on the other hand, Iboughrdayn bentonite at abatement reached 32.76%;
- -
- The second phase (20–99%): where the maximum total phosphorus removal reaches values between 75% and 98.14%. Phosphorus can be removed by adsorption on iron and aluminum hydroxides (Al3+), by the precipitation process [36,37,38,39], which is indeed part of the chemical composition of bentonite (Table 2).
2.3.6. Total Phenolic Compound Removal
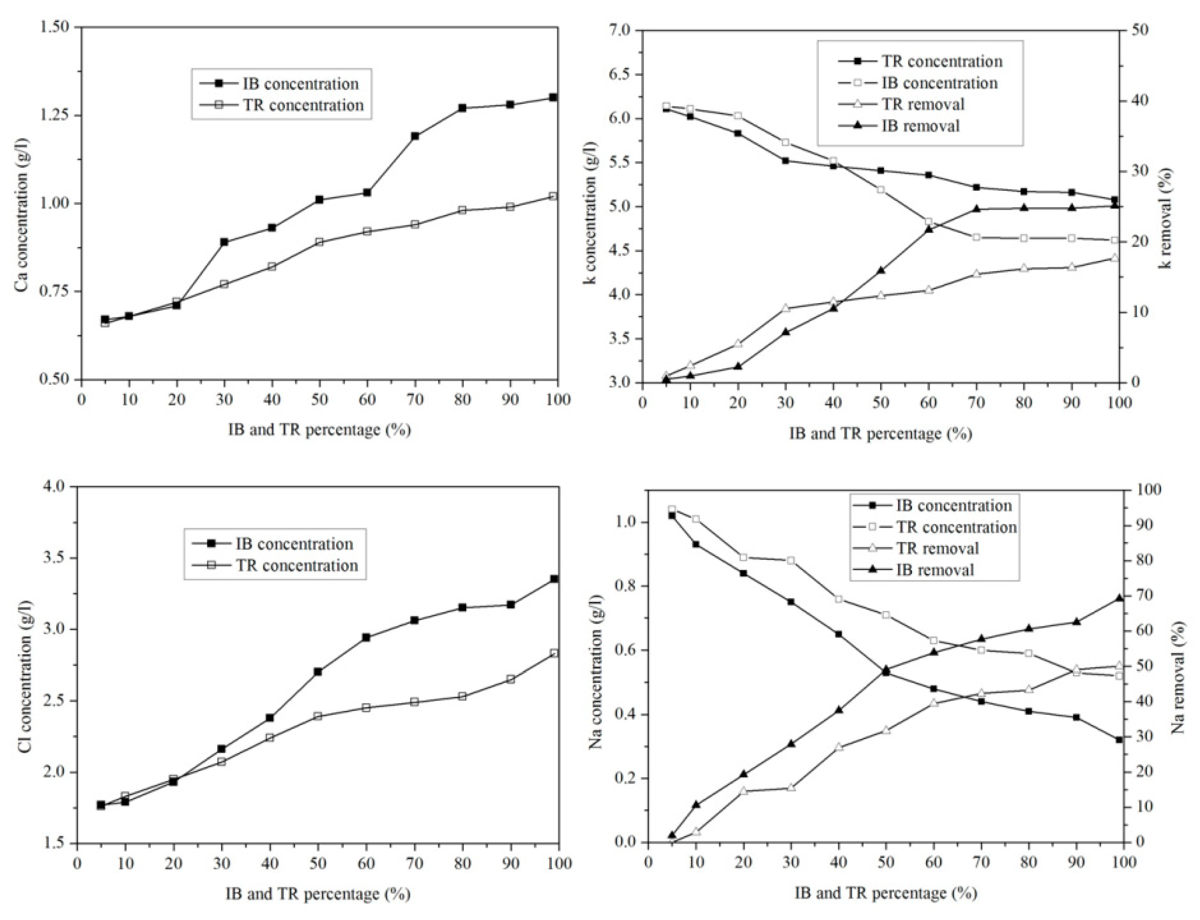
2.3.7. Variation of Microelements
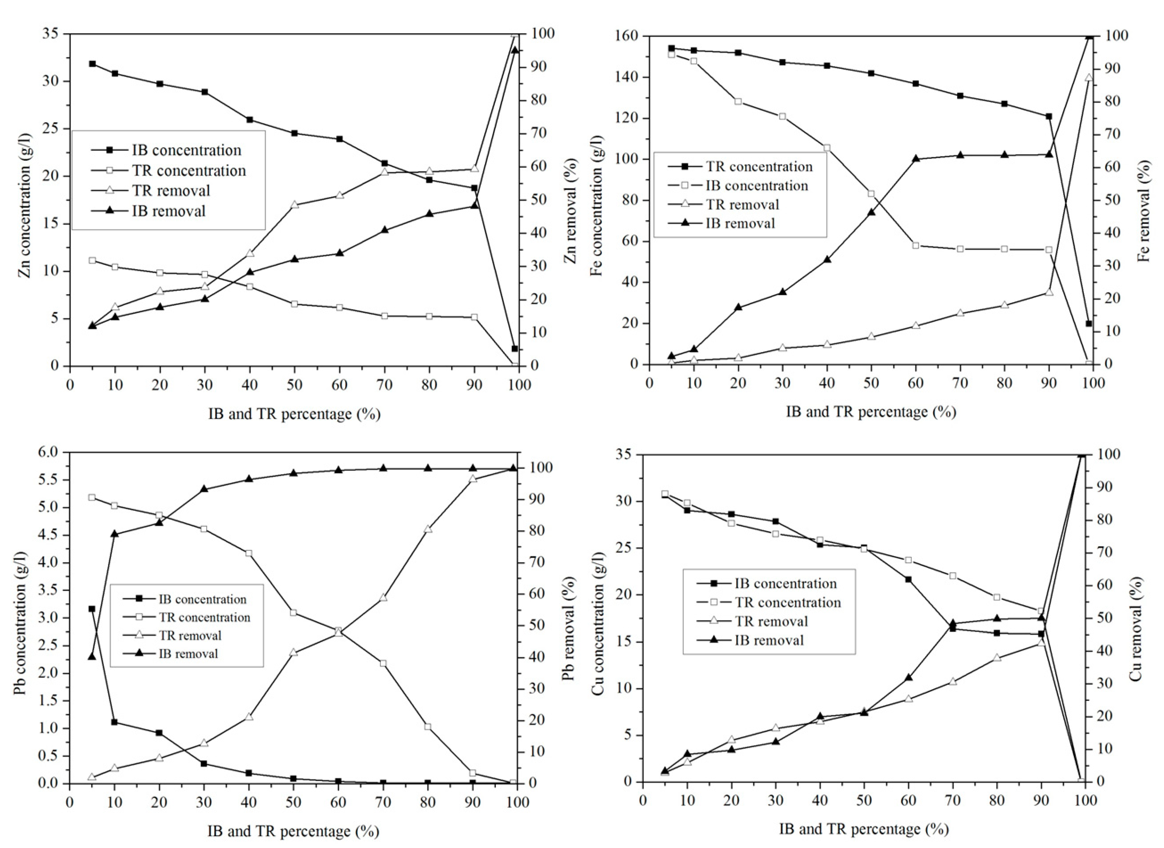
2.3.8. Heavy Metal Ion Removal
2.4. Phenol Adsorption Mechanism on Bentonite
3. Materials and Methods
3.1. Materials
3.2. Preparation of the Adsorbent/Adsorbate
3.3. Characterization Methods
3.4. Adsorption Methodology
4. Conclusions
Author Contributions
Funding
Institutional Review Board Statement
Informed Consent Statement
Data Availability Statement
Acknowledgments
Conflicts of Interest
Sample Availability
References
- Khdair, A.I.G.; Abu-Rumman, G.; Khdair, S.I. Pollution estimation from olive mills wastewater in Jordan. Heliyon 2019, 5, e02386. [Google Scholar] [CrossRef]
- Jeddi, S.; Ouassini, A.; El Ouahhaby, M.; Mghafri, H. Valorisation of natural mineral substances (NMS) at adsorption techniques: Case of olive oil mill waste waters. J. Mater. Environ. Sci. 2016, 7, 488–496. [Google Scholar]
- El Gaidoumi, A.; Benabdallah, A.C.; Lahrichi, A.; Kherbeche, A. Adsorption du phénol en milieu aqueux par une pyrophyllite marocaine brute et traitée (Adsorption of phenol in aqueous medium by a raw and treated moroccan pyrophyllite). J. Mater. Environ. Sci. 2015, 6, 2247–2259. [Google Scholar]
- Esmail, A.; Abed, H.; Firdaous, M.; Chahboun, N.; Mennane, Z.; Berny, E.H.; Ouhssine, M. Physico-chemical and microbiological study of oil mill wastewater (OMW) from three different regions of Morocco (Ouazzane, Fes Boulman and Béni Mellal). J. Mater. Environ. Sci. 2014, 5, 121–126. [Google Scholar]
- Ganesh, R.; Torrijos, M.; Sousbie, P.; Steyer, J.P.; Lugardon, A.; Delgenes, J.P. Anaerobic co-digestion of solid waste: Effect of increasing organic loading rates and characterization of the solubilised organic matter. Bioresour. Technol. 2013, 130, 559–569. [Google Scholar] [CrossRef] [PubMed]
- Perez, J.M.; Maertens, L.; Villamide, M.J.; de Blas, J.C. Tables of composition and nutritive value of feedstuffs for rabbits: First proposal from European working group. World Rabbit. Sci. 1998, 6, 20. [Google Scholar]
- Li, Z.; Burt, T.; Bowman, R.S. Sorption of ionizable organic solutes by surfactant-modified zeolite. Environ. Sci. Technol. 2000, 34, 3756–3760. [Google Scholar] [CrossRef]
- Ait-hmane, A.; Ouazzani, N.; Latrach, L.; Hejjaj, A.; Assabbane, A.; Belkouadssi, M.; Mandi, L. Feasibility of olive mill wastewater treatment by multi-soil-layering ecotechnology. J. Mater. Environ. Sci. 2018, 9, 1223–1233. [Google Scholar]
- Al-Essa, K. Activation of Jordanian bentonite by hydrochloric acid and its potential for olive mill wastewater enhanced treatment. J. Chem. 2018, 2018, 10. [Google Scholar] [CrossRef]
- Matthews, T.; Majoni, S.; Nyoni, B.; Naidoo, B.; Chiririwa, H. Adsorption of lead and copper by a carbon black and sodium bentonite composite material: Study on adsorption isotherms and kinetics. Iran. J. Chem. Chem. Eng. 2019, 38, 101–109. [Google Scholar] [CrossRef]
- Kifuani, K.M.; Mayeko, A.K.K.; Vesituluta, P.N.; Lopaka, B.I.; Bakambo, G.E.; Mavinga, B.M.; Lunguya, J.M. Adsorption d’un colorant basique, Bleu de Méthylène, en solution aqueuse, sur un bioadsorbant issu de déchets agricoles de Cucumeropsis mannii Naudin. Int. J. Biol. Chem. Sci. 2018, 12, 558–575. [Google Scholar] [CrossRef]
- Calvet, R. Adsorption of organic chemicals in soils. Environ. Health Perspect. 1989, 83, 145–177. [Google Scholar] [CrossRef] [PubMed]
- Inglezakis, V.J.; Diamandis, N.A.; Loizidou, M.D.; Grigoropoulou, H.P. Effect of pore clogging on kinetics of lead uptake by clinoptilolite. J. Colloid Interface Sci. 1999, 215, 54–57. [Google Scholar] [CrossRef] [PubMed]
- Dabrowski, A. Adsorption—From theory to practice. Adv. Colloid Interface Sci. 2001, 93, 135. [Google Scholar] [CrossRef]
- Iboukhoulef, H. Traitement des Margines des Huileries d’olive par les Procédés d’oxydation Avancée Basé sur le Système Fenton-Like (H2 O2/Cu). Ph.D. Thesis, University Mouloud Mammer, Tizi Ouzou, Algeria, 2014. [Google Scholar]
- Jannah, M.; Mulyati, S.; Rosnelly, C.M.; Muchtar, S. The influences of operating conditions on the removal of Fe (II) in water by adsorption using bentonite as a low-cost adsorbent. In Proceedings of the IOP Conference Series: Materials Science and Engineering IOP Publishing, Songkhla, Thailand, 27 May 2021. [Google Scholar]
- Dehgani, Z.; Ghaedi, M.; Sabzehmeidani, M.M.; Adhami, E. Removal of paraquat from aqueous solutions by a bentonite modified zero-valent iron adsorbent. New J. Chem. 2020, 44, 13368–13376. [Google Scholar] [CrossRef]
- Ait Hmeid, H.; Akodad, M.; Aalaoul, M.; Baghour, M.; Moumen, A.; Skalli, A.; Daoudi, L. Particle size distribution and statistic analysis of the grain size messinian bentonite from the kert bassin (northern Morocco). Mater. Today Proc. 2019, 13, 505–514. [Google Scholar] [CrossRef]
- Ait Hmeid, H.; Akodad, M.; Aalaoul, M.; Baghour, M.; Moumen, A.; Skalli, A.; Anjjar, A.; Conti, P.; Sfalanga, A.; Khyabani, R.F. Clay mineralogy, chemical and geotechnical characterization of bentonite from Beni Bou Ifrour Massif (the Eastern Rif, Morocco). Geol. Soc. Lond. 2020, 502. [Google Scholar] [CrossRef]
- Ait Hmeid, H.; Akodad, M.; Aalaoul, M.; Baghour, M.; Moumen, A.; Skalli, A.; Daoudi, L. Petrographic, mineralogical and geochemical characterization of volcanic products from north-eastmorocco. Int. J. Dev. Res. 2020, 10, 38714–38722. [Google Scholar] [CrossRef]
- Inglethorpe, S.D.J.; Morgan, D.J.; Highley, D.E.; Bloodworth, A. British geological survey: Industrial minerals laboratory manual. J. Mat. 1993, 124, 1–76. [Google Scholar]
- Kumpulainen, S.; Kiviranta, L. Mineralogical and chemical characterization of various bentonite and smectite-rich clay materials—Part A: Comparison and development of mineralogical characterization methods—Part B: Mineralogical and chemical characterization of clay materials. Posiva. Oy. 2010, 52, 74. [Google Scholar]
- Khenifi, A. Elaboration de Materiaux a Base d’Argiles, Caracterisation, et Application a l’elimination des Polluants Organiques. Ph.D. Thesis, University of Science and Technology of Oran Mohamed Boudiaf, Oran, Algeria, 2010. [Google Scholar]
- Akcay, G.; Yurdakoc, K. Nonyl-and dodecylamines intercalated bentonite and illite from Turkey. Turk. J. Chem. 1999, 23, 105–114. [Google Scholar]
- Bouras, O. Proprietes Adsorbantes d’Argiles Pontees Organophiles: Synthese et Caracterisation. Ph.D. Thesis, University of Limoges, Limoges, France, 2003. [Google Scholar]
- Nayak, P.S.; Singh, B.K. Instrumental characterization of clay by XRF, XRD and FTIR. Bull. Mater. Sci. 2007, 30, 235–238. [Google Scholar] [CrossRef]
- Zahaf, F. Etude Structurale des Argiles Modifiées Appliquées à l’Adsorption des Polluants. Ph.D. Thesis, University Mustapha Stambouli of Mascara, Mascara, Algeria, 2017. [Google Scholar]
- Ravindra Reddy, T.S.; Endo, K.T.; Lakshmi Reddy, S. Spectroscopic characterization of bentonite. J. Lasers Opt. Photonics 2017, 4, 1–4. [Google Scholar] [CrossRef]
- Boufatit, M.; Ait-amar, H.; Mcwhinnie, W.R. Development of an Algerian material montmorillonite clay. Adsorption of phenol, 2-dichlorophenol and 2,4,6-trichlorophenol from aqueous solutions onto montmorillonite exchanged with transition metal complexes. Desalination 2007, 206, 394–406. [Google Scholar] [CrossRef]
- Zaitan, H.; Bianchia, D.; Achakb, O.; Chafi, T. A comparative study of the adsorption and desorption of o-xylene onto bentonite clay and alumina. J. Hazard. Mater. 2008, 153, 852–859. [Google Scholar] [CrossRef]
- Brahimi, S.; Boudjema, S.; Rekkab, I.; Choukchou-Braham, A.; Bachir, R. Synthesis and catalytic activity of vanadia-doped iron-pillared clays for cyclohexene epoxidation. Res. J. Pharm. Biol. Chem. Sci. 2015, 6, 63–76. [Google Scholar]
- Hayati-Ashtiani, M. Characterization of nano-porous bentonite (montmorillonite) particles using FTIR and BET-BJH analyses. Part. Syst. Charact. 2011, 28, 71–76. [Google Scholar] [CrossRef]
- Momina, M.; Shahadat, M.; Ismail, S. Study of the adsorption/desorption of MB dye solution using bentonite adsorbent coating. J. Water Process. Eng. 2020, 34, 101155. [Google Scholar] [CrossRef]
- Hajjaji, M.; Kacim, S.; Boulmane, M. Mineralogy and firing characteristics of a clay from the valley of Ourika (Morocco). Appl. Clay Sci. 2002, 21, 203–212. [Google Scholar] [CrossRef]
- Ait Hmeid, H.; Akodad, M.; Baghour, M.; Moumen, A.; Skalli, A.; Azizi, G. Experimental design and modeling of removal of organic matter and nutrients in the OMW by calcium bentonite. E3S Web Conf. 2021, 234, 1–7. [Google Scholar] [CrossRef]
- Tomul, F.; Balci, S. Characterization of Al, Cr-pillared clays and CO oxidation. Appl. Clay Sci. 2009, 43, 13–20. [Google Scholar] [CrossRef]
- Masunaga, T.; Sato, K.; Mori, J.; Shirahama, M.; Kudo, H.; Wakatsuki, T. Characteristics of wastewater treatment using a multi-soil-layering system in relation to wastewater contamination levels and hydraulic loading rates. Soil Sci. Plant Nut. 2007, 53, 215–223. [Google Scholar] [CrossRef]
- Masunaga, T.; Sato, K.; Senga, Y.; Seike, Y.; Inaishi, T.; Kudo, H.; Wakatsuki, T. Characteristics of CO2, CH4 and N2O emissions from a multi-soil-layering system during wastewater treatment. Soil Sci. Plant Nut. 2007, 53, 173–180. [Google Scholar] [CrossRef][Green Version]
- Achak, M.; Ouazzani, N.; Yaacoubi, A.; Mandi, L. Caractérisation des margines issues d’une huilerie moderne et essais de leur traitement par coagulation-floculation par la chaux et le sulfate d’aluminium. J. Water Sci. 2008, 21, 53–67. [Google Scholar] [CrossRef]
- Sato, K.; Iwashima, N.; Wakatsuki, T.; Masunaga, T. Quantitative evaluation of treatment processes and mechanisms of organic matter, phosphorus, and nitrogen removal in a multi-soil-layering system. Soil Sci. Plant Nutr. 2011, 57, 475–486. [Google Scholar] [CrossRef]
- Latrach, L.; Ouazzani, N.; Hejjaj, A.; Zouhir, F.; Mahi, M.; Masunaga, T.; Mandi, L. Optimization of hydraulic efficiency and wastewater treatment performances using a new design of vertical flow Multi-Soil-Layering (MSL) technology. Ecol. Eng. 2018, 117, 140–152. [Google Scholar] [CrossRef]
- Santi, C.A.; Cortes, S.; D’Acqui, L.P.; Sparvoli, E.; Pushparaj, B. Reduction of organic pollutants in olive mill wastewater by using different mineral substrates as adsorbents. Bioresour. Technol. 2008, 99, 1945–1951. [Google Scholar] [CrossRef]
- Moore, D.M.; Reynolds, R.C., Jr. X-ray Diffraction and the Identification and Analysis of Clay Minerals; Oxford University Press (OUP): Oxford, UK, 1989. [Google Scholar]
- Lan, T.N. Un nouvel essai d’identification des sols-l’essai au bleu de methylene. Bull Liaison Lab Ponts Chauss 1977, 88, 136–137. [Google Scholar]
- Arab, P.B.; Araújo, T.P.; Pejon, O.J. Identification of clay minerals in mixtures subjected to differential thermal and thermogravimetry analyses and methylene blue adsorption tests. Appl. Clay Sci. 2015, 114, 133–140. [Google Scholar] [CrossRef]
- Alkama, N.; Bolou, E.B.B.; Vailhe, H.; Roger, L.; Ounane, S.M.; Drevon, J.J. Genotypic variability in P use efficiency for symbiotic nitrogen fixation is associated with variation of proton efflux in cowpea rhizosphere. Soil Biol. Biochem. 2009, 41, 1814–1823. [Google Scholar] [CrossRef]
- Latrach, L.; Masunaga, T.; Ouazzani, N. Soil science and plant nutrition removal of bacterial indicators and pathogens from domestic wastewater by the multi-soil-layering(MSL) system. Soil Sci. Plant Nut. 2015, 61, 337–346. [Google Scholar] [CrossRef]
- Bargaz, A.; Faghire, M.; Abdi, N.; Farissi, M.; Sifi, B.; Drevon, J.J.; Cherkaoui Ikbal, M.; Ghoulam, C. Low soil phosphorus availability increases acid phosphatases activities and affects partitioning in nodules, seeds and rhizosphere of Phaseolus vulgaris. Agriculture 2012, 2, 139–153. [Google Scholar] [CrossRef]
- American Public Health Association; American Water Works Association; Water Pollution Control Federation; Water Environment Federation. Standard Methods for the Examination of Water and Wastewater; American Public Health Association: Washington, DC, USA, 1912. [Google Scholar]
- Rodier, J.; Geoffray, C.; Rodi, L. L’Analyse de l’Eau: Eaux Naturelles, Eaux Résiduaires, Eau de Mer: Chimie, Physico-Chimie, Bactériologie, Biologie; DUNOD: Paris, France, 1984. [Google Scholar]
- Macheix, J.J.; Fleuriet, A.; Billo, J.A. Fruit Phenolics; CRC Press Inc.: Boca Raton, FL, USA, 1990. [Google Scholar]
- Macheix, J.J.; Sapis, J.C.; Fleuriet, A.; Lee, C.Y. Phenolic compounds and polyphenoloxidase in relation to browning in grapes and wines. Crit. Rev. Food Sci. Nutr. 1991, 30, 441–486. [Google Scholar] [CrossRef] [PubMed]
- Azizi, G.; Layachi, M.; Akodad, M.; Martín-García, A.I.; Yáñez-Ruiz, D.R.; Baghour, M.; Ait Hmeid, H.; Gueddari, H.; Moumen, A. Bioaccumulation and health risk assessment of trace elements in Mytilus galloprovincialis as sea food in the Al Hoceima coasts (Morocco). E3S Web Conf. 2021, 240, 01002. [Google Scholar] [CrossRef]
- Azizi, G.; Layachi, M.; Akodad, M.; Ngadi, H.; Baghour, M.; Skalli, A.; Ghalit, M.; Gharibi, E.; Moumen, A. Assessment of heavy metals (Fe, Cu and Ni) contamination of seawater and mussel, Mytilus Galloprovincialis, from Al Hoceima Moroccan coasts: Heavy metal concentrations in Mytilus Galloprovincialis. Geo-IT Water Resour. 2020, 1–6. [Google Scholar] [CrossRef]
- Bachra, Y.; Grouli, A.; Damiri, F.; Bennamara, A.; Berrada, M. A new approach for assessing the absorption of disposable baby diapers and superabsorbent polymers: A comparative study. Results Mater. 2020, 8, 100–156. [Google Scholar] [CrossRef]













| Sample | % Sand (>60 μm) | % Silts (2–60 μm) | % Clay (<2 μm) | IG (%) | C (%) | SST (m2/g) | CEC (meq/100 g) | pH |
|---|---|---|---|---|---|---|---|---|
| TrB | 32.20 | 58.69 | 9.09 | 59.18 | 36 | 518.92 | 42.42 | 9.12 |
| IB | 43.9 | 38.7 | 17.3 | 36.53 | 45 | 630 | 127.12 | 8.7 |
| Weight (%) | IB | TrB |
|---|---|---|
| Ca | 14.01 | 11.1 |
| Fe | 30.93 | 28.6 |
| Al | 4.81 | 7.3 |
| Si | 7.94 | 0.1 |
| Mn | 0.18 | 0.8 |
| K | 4.06 | 4.4 |
| Sr | 0.68 | 0.4 |
| P | 2.12 | 3.1 |
| S | 1.04 | 1.6 |
| Th | 0.033 | 0.1 |
| Rb | ND | 0.05 |
| Y | 0.033 | 0.02 |
| Mg | 32.1 | 29.3 |
| Zn | 0.55 | 0.08 |
| Sn | ND | 0.07 |
| Ti | 1.25 | 1.2 |
| Pb | 0.05 | ND |
| Zr | 0.18 | 0.3 |
| As | ND | 0.02 |
| Parameter | Unit | Mean ± Standard Deviation (n = 3) |
|---|---|---|
| pH | (Unit) | 4.03 |
| Electrical conductivity | (mS/cm) | 16.93 |
| Chemical oxygen demand | (g·L−1) | 172.72 |
| Total suspended solids | (g·L−1) | 5.93 |
| Total Kjeldahl nitrogen | (g·L−1) | 2.39 |
| Total polyphenols | (g·L−1) | 9.17 |
| Total phosphorus | (mg·L−1) | 1.16 |
| Micro-element concentrations (g·L−1) | ||
| Ca | (g·L−1) | 0.62 |
| K | (g·L−1) | 6.17 |
| Na | (g·L−1) | 1.04 |
| Cl | (g·L−1) | 1.72 |
| Heavy metal concentrations (mg·L−1) | ||
| Fe | (mg·L−1) | 154.82 |
| Cu | (mg·L−1) | 31.72 |
| Zn | (mg·L−1) | 36.14 |
| Pb | (mg·L−1) | 5.28 |
| Sample | Mr | Tr5% | Tr10% | Tr20% | Tr30% | Tr40% | Tr50% | Tr60% | Tr70% | Tr80% | Tr90% | Tr99% |
|---|---|---|---|---|---|---|---|---|---|---|---|---|
| pH (Unit) | 4.03 | 4.17 | 4.19 | 4.28 | 4.84 | 5.06 | 5.63 | 5.88 | 6.19 | 6.72 | 7.81 | 8.04 |
| EC (mS/cm) | 16.93 | 16.88 | 15.37 | 14.82 | 12.76 | 10.04 | 8.82 | 7.45 | 5.92 | 3.28 | 0.93 | 0.17 |
| Sample | Mr | Ib5% | Ib10% | Ib20% | Ib30% | Ib40% | Ib50% | Ib60% | Ib70% | Ib80% | Ib90% | Ib99% |
| pH (Unit) | 4.03 | 4.04 | 4.11 | 4.13 | 4.16 | 4.29 | 4.64 | 4.83 | 5.28 | 6.83 | 7.74 | 7.83 |
| EC (mS/cm) | 16.93 | 16.72 | 16.02 | 15.83 | 14.94 | 11.73 | 9.24 | 6.38 | 5.29 | 3.82 | 0.93 | 0.12 |
Publisher’s Note: MDPI stays neutral with regard to jurisdictional claims in published maps and institutional affiliations. |
© 2021 by the authors. Licensee MDPI, Basel, Switzerland. This article is an open access article distributed under the terms and conditions of the Creative Commons Attribution (CC BY) license (https://creativecommons.org/licenses/by/4.0/).
Share and Cite
Ait Hmeid, H.; Akodad, M.; Baghour, M.; Moumen, A.; Skalli, A.; Azizi, G.; Gueddari, H.; Maach, M.; Aalaoul, M.; Anjjar, A.; et al. Valorization of Moroccan Bentonite Deposits: “Purification and Treatment of Margin by the Adsorption Process”. Molecules 2021, 26, 5528. https://doi.org/10.3390/molecules26185528
Ait Hmeid H, Akodad M, Baghour M, Moumen A, Skalli A, Azizi G, Gueddari H, Maach M, Aalaoul M, Anjjar A, et al. Valorization of Moroccan Bentonite Deposits: “Purification and Treatment of Margin by the Adsorption Process”. Molecules. 2021; 26(18):5528. https://doi.org/10.3390/molecules26185528
Chicago/Turabian StyleAit Hmeid, Hanane, Mustapha Akodad, Mourad Baghour, Abdelmajid Moumen, Ali Skalli, Ghizlane Azizi, Hicham Gueddari, Mostapha Maach, Mimoun Aalaoul, Ahmed Anjjar, and et al. 2021. "Valorization of Moroccan Bentonite Deposits: “Purification and Treatment of Margin by the Adsorption Process”" Molecules 26, no. 18: 5528. https://doi.org/10.3390/molecules26185528
APA StyleAit Hmeid, H., Akodad, M., Baghour, M., Moumen, A., Skalli, A., Azizi, G., Gueddari, H., Maach, M., Aalaoul, M., Anjjar, A., & Daoudi, L. (2021). Valorization of Moroccan Bentonite Deposits: “Purification and Treatment of Margin by the Adsorption Process”. Molecules, 26(18), 5528. https://doi.org/10.3390/molecules26185528

