The Effect of an Accelerator on Cement Paste Capillary Pores: NMR Relaxometry Investigations
Abstract
:1. Introduction
2. Theoretical Background
2.1. The Process of Cement Hydration
2.2. NMR Relaxation in Partially Saturated Pores
2.3. The Transverse Relaxation Time and the Fractal Dimension
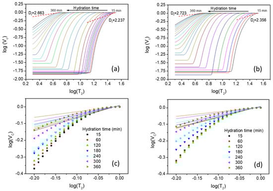
3. Results and Discussion
4. Materials and Methods
4.1. Sample Preparation
4.2. NMR Measurements
5. Conclusions
Funding
Institutional Review Board Statement
Informed Consent Statement
Data Availability Statement
Conflicts of Interest
Sample Availability
References
- Buswell, R.A.; De Silva, W.R.L.; Jones, S.Z.; Dirrenberger, J. 3D printing using concrete extrusion: A roadmap for research. Cem. Concr. Res. 2018, 112, 37–49. [Google Scholar] [CrossRef]
- Bos, F.; Wolfs, R.; Ahmed, Z.; Salet, T. Additive manufacturing of concrete in construction: Potentials and challenges of 3D concrete printing. Virtual Phys. Prototyp. 2016, 11, 209–225. [Google Scholar] [CrossRef] [Green Version]
- Aïtcin, P.C. Accelerators. In Science and Technology of Concrete Admixtures; Woodhead Publishing: Sawston, UK, 2016; pp. 405–413. [Google Scholar] [CrossRef]
- Myrdal, R. Accelerating Admixtures for Concrete, State of the Art; SINTEF: Trondheim, Norway, 2007; ISBN 978-82-536-0989-8. [Google Scholar]
- Marchon, D.; Kawashima, S.; Bessaies-bey, H.; Mantellato, S.; Ng, S. Hydration and rheology control of concrete for digital fabrication: Potential admixtures and cement chemistry. Cem. Concr. Res. 2018, 112, 96–110. [Google Scholar] [CrossRef]
- Pop, A.; Badea, C.; Ardelean, I. The effects of different superplasticizers and water-to-cement ratios on the hydration of gray cement using T2-NMR. Appl. Magn. Reson. 2013, 44, 1223–1234. [Google Scholar] [CrossRef]
- Pop, A.; Bede, A.; Dudescu, M.C.; Popa, F.; Ardelean, I. Monitoring the influence of aminosilane on cement hydration via low-field NMR relaxometry. Appl. Magn. Reson. 2016, 47, 191–199. [Google Scholar] [CrossRef]
- Creţu, A.; Mattea, C.; Stapf, S.; Ardelean, I. The effect of silica fume and organosilane addition on the porosity of cement paste. Molecules 2020, 25, 1762. [Google Scholar] [CrossRef]
- Irshidat, M.R.; Al-Nuaimi, N.; Rabie, M. Influence of carbon nanotubes on phase composition, thermal and post-heating behavior of cementitious composites. Molecules 2021, 26, 850. [Google Scholar] [CrossRef]
- Le, T.T.; Austin, S.A.; Lim, S.; Buswell, R.A.; Gibb, A.G.F.; Thorpe, T. Mix design and fresh properties for high-performance printing concrete. Mater. Struct. 2012, 45, 1221–1232. [Google Scholar] [CrossRef] [Green Version]
- Moeini, M.A.; Hosseinpoor, M.; Yahia, A. Effectiveness of the rheometric methods to evaluate the build-up of cementitious mortars used for 3D printing. Constr. Build. Mater. 2020, 257, 119551. [Google Scholar] [CrossRef]
- Badea, C.; Bede, A.; Ardelean, I. The effect of silica fume on early hydration of white Portland cement via fast field cycling-NMR relaxometry. In Proceedings of the AIP Conference, Yogyakarta, Indonesia, 9–10 November 2017; Volume 1917, p. 040001-5. [Google Scholar]
- Stepišnik, J.; Ardelean, I. Usage of internal magnetic fields to study the early hydration process of cement paste by MGSE method. J. Magn. Reson. 2016, 272, 100–107. [Google Scholar] [CrossRef]
- McDonald, P.J.; Rodin, V.; Valori, A. Characterisation of intra- and inter-C–S–H gel pore water in white cement based on an analysis of NMR signal amplitudes as a function of water content. Cem. Concr. Res. 2010, 40, 1656–1663. [Google Scholar] [CrossRef] [Green Version]
- Korb, J.-P.; Monteilhet, L.; McDonald, P.J.; Mitchell, J. Microstructure and texture of hydrated cement-based materials: A proton field cycling relaxometry approach. Cem. Concr. Res. 2007, 37, 295–302. [Google Scholar] [CrossRef]
- Bede, A.; Scurtu, A.; Ardelean, I. NMR relaxation of molecules confined inside the cement paste pores under partially saturated conditions. Cem. Concr. Res. 2016, 89, 56–62. [Google Scholar] [CrossRef]
- Badea, C.; Pop, A.; Mattea, C.; Stapf, S.; Ardelean, I. The effect of curing temperature on early hydration of gray cement via Fast Field Cycling-NMR relaxometry. Appl. Magn. Reson. 2014, 45, 1299–1309. [Google Scholar] [CrossRef]
- Ardelean, I. Applications of Field-Cycling NMR Relaxometry to Cement Materials. In Field-Cycling NMR Relaxometry: Instrumentation, Model Theories and Applications; Kimmich, R., Ed.; The Royal Society of Chemistry: Cambridge, UK, 2019; Chapter 19; pp. 462–489. ISBN 978-1-78801-154-9. [Google Scholar]
- Faure, P.F.; Rodts, S. Proton NMR relaxation as a probe for setting cement pastes. Magn. Reson. Imaging 2008, 26, 1183–1196. [Google Scholar] [CrossRef]
- Issa, M.A.; Issa, M.A.; Islam, M.S.; Chudnovsky, A. Fractal dimension-a measure of fracture roughness and toughness of concrete. Eng. Fract. Mech. 2003, 70, 125–137. [Google Scholar] [CrossRef]
- Zhou, J.; Kang, T.; Wang, F. Pore structure and strength of waste fiber recycled concrete. J. Eng. Fiber. Fabr. 2019, 14, 1558925019874701. [Google Scholar] [CrossRef]
- Zhang, Z.; Weller, A. Fractal dimension of pore-space geometry of an eocene sandstone formation. Geophysics 2014, 79, D377–D387. [Google Scholar] [CrossRef]
- Hansen, J.P.; Skjeltorp, A.T. Fractal pore space and rock permeability implications. Phys. Rev. B 1988, 38, 2635–2638. [Google Scholar] [CrossRef]
- Lü, Q.; Qiu, Q.; Zheng, J.; Wang, J.; Zeng, Q. Fractal dimension of concrete incorporating silica fume and its correlations to pore structure, strength and permeability. Constr. Build. Mater. 2019, 228, 116986. [Google Scholar] [CrossRef]
- Taylor, P.C.; Kosmatka, S.H.; Voigt, G.F.; Ayers, M.E.; Davis, A.; Fick, G.J.; Gajda, J.; Grove, J.; Harrington, D.; Kerkhoff, B.; et al. Integrated Materials and Construction Practices for Concrete Pavement: A State of the Practice Manual; Federal Highway Administration: Washington, DC, USA, 2006.
- Bhardwaj, A.; Jones, S.Z.; Kalantar, N.; Pei, Z.; Vickers, J.; Wangler, T.; Zavattieri, P.; Zou, N. Additive Manufacturing Processes for Infrastructure Construction: A Review. J. Manuf. Sci. Eng. 2019, 141, 091010. [Google Scholar] [CrossRef]
- Korb, J.P. Microstructure and texture of cementitious porous materials. Magn. Reson. Imaging 2007, 25, 466–469. [Google Scholar] [CrossRef]
- Gallego-Gómez, F.; Cadar, C.; López, C.; Ardelean, I. Imbibition and dewetting of silica colloidal crystals: An NMR relaxometry study. J. Colloid Interface Sci. 2020, 561, 741–748. [Google Scholar] [CrossRef]
- Simina, M.; Nechifor, R.; Ardelean, I. Saturation-dependent nuclear magnetic resonance relaxation of fluids confined inside porous media with micrometer-sized pores. Magn. Reson. Chem. 2011, 49, 314–319. [Google Scholar] [CrossRef]
- Cadar, C.; Cotet, C.; Baia, L.; Barbu-Tudoran, L.; Ardelean, I. Probing into the mesoporous structure of carbon xerogels via the low-field NMR relaxometry of water and cyclohexane molecules. Microporous Mesoporous Mater. 2017, 251, 19–25. [Google Scholar] [CrossRef]
- Mandelbrot, B.B. Fractals: Form, Chance, and Dimension; W. H. Freeman & Company: San Francisco, CA, USA, 1977; ISBN 9780716704737. [Google Scholar]
- Carr, H.Y.; Purcell, E.M. Effects of diffusion on free precession in nuclear magnetic resonance experiments. Phys. Rev. 1954, 94, 630–638. [Google Scholar] [CrossRef]
- Meiboom, S.; Gill, D. Modified spin-echo method for measuring nuclear relaxation times. Rev. Sci. Instrum. 1958, 29, 688–691. [Google Scholar] [CrossRef] [Green Version]
- Provencher, S.W. CONTIN: A general purpose constrained regularization program for inverting noisy linear algebraic and integral equations. Comput. Phys. Commun. 1982, 27, 229–242. [Google Scholar] [CrossRef]
- Venkataramanan, L.; Song, Y.; Hürlimann, M.D. Solving Fredholm integrals of the first kind with tensor product structure in 2 and 2.5 dimensions. IEEE Trans. Signal Process. 2002, 50, 1017–1026. [Google Scholar] [CrossRef]
- Pop, A.; Ardelean, I. Monitoring the size evolution of capillary pores in cement paste during the early hydration via diffusion in internal gradients. Cem. Concr. Res. 2015, 77, 76–81. [Google Scholar] [CrossRef]





Publisher’s Note: MDPI stays neutral with regard to jurisdictional claims in published maps and institutional affiliations. |
© 2021 by the author. Licensee MDPI, Basel, Switzerland. This article is an open access article distributed under the terms and conditions of the Creative Commons Attribution (CC BY) license (https://creativecommons.org/licenses/by/4.0/).
Share and Cite
Ardelean, I. The Effect of an Accelerator on Cement Paste Capillary Pores: NMR Relaxometry Investigations. Molecules 2021, 26, 5328. https://doi.org/10.3390/molecules26175328
Ardelean I. The Effect of an Accelerator on Cement Paste Capillary Pores: NMR Relaxometry Investigations. Molecules. 2021; 26(17):5328. https://doi.org/10.3390/molecules26175328
Chicago/Turabian StyleArdelean, Ioan. 2021. "The Effect of an Accelerator on Cement Paste Capillary Pores: NMR Relaxometry Investigations" Molecules 26, no. 17: 5328. https://doi.org/10.3390/molecules26175328
APA StyleArdelean, I. (2021). The Effect of an Accelerator on Cement Paste Capillary Pores: NMR Relaxometry Investigations. Molecules, 26(17), 5328. https://doi.org/10.3390/molecules26175328
