Two Novel Lyso-Ornithine Lipids Isolated from an Arctic Marine Lacinutrix sp. Bacterium
Abstract
1. Introduction
2. Results
2.1. Isolation and Identification
2.2. Bioactivity of Fractionated Extract
2.3. Dereplication
2.4. Isolation of Compound 1 and 2
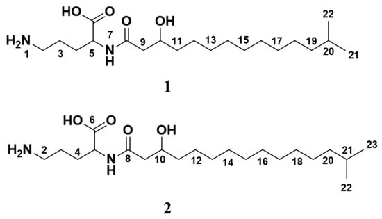
2.5. Structure Elucidation
2.6. Bioactivity Testing of Isolated Compounds
2.6.1. Antibacterial Assay
2.6.2. Cytotoxic Effect of Isolated Lyso-Ornithine Lipids
3. Discussion
4. Materials and Methods
4.1. Sampling and Identification of Lacinutrix sp.
4.2. Fermentation
4.3. Flash Fractionation, Bioactivity Testing of Flash Fractions, and Dereplication
4.4. Dereplication
4.5. Purification of 1 and 2
4.5.1. Purification Round One
4.5.2. Purification Round Two
4.6. Antibacterial Activity
4.7. Cytotoxic Activity Assay
4.8. NMR Spectroscopy
5. Conclusions
Supplementary Materials
Author Contributions
Funding
Institutional Review Board Statement
Informed Consent Statement
Data Availability Statement
Acknowledgments
Conflicts of Interest
Sample Availability
References
- Chopra, I.; Roberts, M. Tetracycline antibiotics: Mode of action, applications, molecular biology, and epidemiology of bacterial resistance. Microbiol. Mol. Biol. Rev. 2001, 65, 232–260. [Google Scholar] [CrossRef] [PubMed]
- Krause, K.M.; Serio, A.W.; Kane, T.R.; Connolly, L.E. Aminoglycosides: An Overview. Cold Spring Harb. Perspect. Med. 2016, 6, a027029. [Google Scholar] [CrossRef]
- Kelecom, A. Secondary metabolites from marine microorganisms. An. Acad. Bras. Ciênc. 2002, 74, 151–170. [Google Scholar] [CrossRef]
- Jekielek, K.; Le, H.; Wu, A.; Newman, D.; Glaser, K.; Mayer, A. The Marine Pharmacology and Pharmaceuticals Pipeline in 2020. FASEB J. 2021, 35. [Google Scholar] [CrossRef]
- Debbab, A.; Aly, A.H.; Lin, W.H.; Proksch, P. Bioactive compounds from marine macteria and fungi. Microb. Biotechnol. 2010, 3, 544–563. [Google Scholar] [CrossRef]
- Gerwick, W.H.; Moore, B.S. Lessons from the past and charting the future of marine natural products drug discovery and chemical biology. Chem. Biol. 2012, 19, 85–98. [Google Scholar] [CrossRef] [PubMed]
- McBride, M. The Family Flavobacteriaceae. In The Prokaryotes; Rosenberg, E., De Long, E.F., Lory, S., Stackebrandt, E., Thompson, F., Eds.; Springer: Berlin/Heidelberg, Germany, 2014; pp. 643–676. [Google Scholar] [CrossRef]
- Bowman, J.P.; Nichols, D.S. Novel members of the family Flavobacteriaceae from Antarctic maritime habitats including Subsaximicrobium wynnwilliamsii gen. nov., sp. nov., Subsaximicrobium saxinquilinus sp. nov., Subsaxibacter broadyi gen. nov., sp. nov., Lacinutrix copepodicola gen. nov., sp. nov., and novel species of the genera Bizionia, Gelidibacter and Gillisia. Int. J. Syst. Evol. Microbiol. 2005, 55, 1471–1486. [Google Scholar] [CrossRef]
- Nedashkovskaya, O.I.; Kwon, K.K.; Yang, S.-H.; Lee, H.-S.; Chung, K.H.; Kim, S.-J. Lacinutrix algicola sp. nov. and Lacinutrix mariniflava sp. nov., two novel marine alga-associated bacteria and emended description of the genus Lacinutrix. Int. J. Syst. Evol. Microbiol. 2008, 58, 2694–2698. [Google Scholar] [CrossRef] [PubMed]
- Lee, Y.M.; Shin, S.C.; Baek, K.; Hwang, C.Y.; Hong, S.G.; Chun, J.; Lee, H.K. Draft genome sequence of the psychrophilic bacterium Lacinutrix jangbogonensis PAMC 27137T. Mar. Genomics 2015, 23, 31–32. [Google Scholar] [CrossRef]
- Srinivas, T.N.R.; Prasad, S.; Manasa, P.; Sailaja, B.; Begum, Z.; Shivaji, S. Lacinutrix himadriensis sp. nov., a psychrophilic bacterium isolated from a marine sediment, and emended description of the genus Lacinutrix. Int. J. Syst. Evol. Microbiol. 2013, 63, 729–734. [Google Scholar] [CrossRef]
- Huang, Z.; Li, G.; Lai, Q.; Gu, L.; Shao, Z. Lacinutrix gracilariae sp. nov., isolated from the surface of a marine red alga Gracilaria sp. Int. J. Syst. Evol. Microbiol. 2016, 66, 587–591. [Google Scholar] [CrossRef] [PubMed]
- Nedashkovskaya, O.I.; Kim, S.-G.; Zhukova, N.V.; Lee, J.-S.; Mikhailov, V.V. Lacinutrix cladophorae sp. nov., a flavobacterium isolated from the green alga Cladophora stimpsonii, transfer of Flavirhabdus iliipiscaria Shakeela et al. 2015 to the genus Lacinutrix as Lacinutrix iliipiscaria comb. nov. and emended description of the genus Lacinutrix. Int. J. Syst. Evol. Microbiol. 2016, 66, 4339–4346. [Google Scholar] [CrossRef]
- Shakeela, Q.; Shehzad, A.; Zhang, Y.; Tang, K.; Zhang, X.-H. Flavirhabdus iliipiscaria gen. nov., sp. nov., isolated from intestine of flounder (Paralichthys olivaceus) and emended descriptions of the genera Flavivirga, Algibacter, Bizionia and Formosa. Int. J. Syst. Evol. Microbiol. 2015, 65, 1347–1353. [Google Scholar] [CrossRef]
- Kim, H.; Yoon, S.-C.; Choi, K.-H.; Kim, S.-T.; Lee, J.-B.; Kim, D.-S.; Le Han, H.; Bae, K.S.; Park, D.-S. Lacinutrix chionocetis sp. nov., isolated from gut of a red snow crab. Arch. Microbiol. 2017, 199, 597–603. [Google Scholar] [CrossRef]
- Lasa, A.; Diéguez, A.L.; Romalde, J.L. Description of Lacinutrix venerupis sp. nov.: A novel bacterium associated with reared clams. Syst. Appl. Microbiol. 2015, 38, 115–119. [Google Scholar] [CrossRef]
- Park, S.; Park, J.-M.; Jung, Y.-T.; Kang, C.-H.; Yoon, J.-H. Lacinutrix undariae sp. nov., isolated from a brown algae reservoir. Int. J. Syst. Evol. Microbiol. 2015, 65, 2696–2701. [Google Scholar] [CrossRef][Green Version]
- Yoon, J.; Lee, J.-S.; Lee, K.-C. Description of Lacinutrix salivirga sp. nov., a marine member of the family Flavobacteriaceae isolated from seawater. Arch. Microbiol. 2018, 200, 1159–1165. [Google Scholar] [CrossRef] [PubMed]
- Lee, Y.M.; Kim, M.-K.; Ahn, D.H.; Kim, H.-W.; Park, H.; Shin, S.C. Comparative analysis of Lacinutrix genomes and their association with bacterial habitat. PLoS ONE 2016, 11, e0148889. [Google Scholar] [CrossRef] [PubMed][Green Version]
- Weissenmayer, B.; Gao, J.-L.; López-Lara, I.M.; Geiger, O. Identification of a gene required for the biosynthesis of ornithine-derived lipids. Mol. Microbiol. 2002, 45, 721–733. [Google Scholar] [CrossRef]
- Gao, J.-L.; Weissenmayer, B.; Taylor, A.M.; Thomas-Oates, J.; López-Lara, I.M.; Geiger, O. Identification of a gene required for the formation of lyso-ornithine lipid, an intermediate in the biosynthesis of ornithine-containing lipids. Mol. Microbiol. 2004, 53, 1757–1770. [Google Scholar] [CrossRef] [PubMed]
- Vences-Guzmán, M.Á.; Geiger, O.; Sohlenkamp, C. Ornithine lipids and their structural modifications: From A to E and beyond. FEMS Microbiol. Lett. 2012, 335, 1–10. [Google Scholar] [CrossRef] [PubMed]
- Schneider, Y.K.-H.; Hansen, K.Ø.; Isaksson, J.; Ullsten, S.; Hansen, E.H.; Hammer Andersen, J. Anti-bacterial effect and cytotoxicity assessment of Lipid 430 isolated from Algibacter sp. Molecules 2019, 24, 3991. [Google Scholar] [CrossRef]
- Clark, R.B.; Cervantes, J.L.; Maciejewski, M.W.; Farrokhi, V.; Nemati, R.; Yao, X.; Anstadt, E.; Fujiwara, M.; Wright, K.T.; Riddle, C.; et al. Serine lipids of Porphyromonas gingivalis are human and mouse Toll-like receptor 2 ligands. Infect. Immun. 2013, 81, 3479–3489. [Google Scholar] [CrossRef] [PubMed]
- Kristoffersen, V.; Rämä, T.; Isaksson, J.; Andersen, J.H.; Gerwick, W.H.; Hansen, E. Characterization of rhamnolipids produced by an Arctic marine bacterium from the Pseudomonas fluorescence group. Mar. Drugs 2018, 16, 163. [Google Scholar] [CrossRef]
- Touré, S.; Desrat, S.; Pellissier, L.; Allard, P.-M.; Wolfender, J.-L.; Dusfour, I.; Stien, D.; Eparvier, V. Characterization, diversity, and structure-activity relationship study of lipoamino acids from Pantoea sp. and synthetic analogues. Int. J. Mol. Sci. 2019, 20, 1083. [Google Scholar] [CrossRef] [PubMed]
- Kimura, A.; Otsuka, H. Biological activities of siolipin (ester of lipoamino acid). Agric. Biol. Chem. 1969, 33, 1291–1294. [Google Scholar] [CrossRef]
- Kawai, Y.; Akagawa, K. Macrophage activation by an ornithine-containing lipid or a serine-containing lipid. Infect. Immun. 1989, 57, 2086–2091. [Google Scholar] [CrossRef]
- Nashida, J.; Nishi, N.; Takahashi, Y.; Hayashi, C.; Igarashi, M.; Takahashi, D.; Toshima, K. Systematic and stereoselective total synthesis of mannosylerythritol lipids and evaluation of their antibacterial activity. J. Org. Chem. 2018, 83, 7281–7289. [Google Scholar] [CrossRef]
- Tareq, F.S.; Lee, M.A.; Lee, H.-S.; Lee, J.-S.; Lee, Y.-J.; Shin, H.J. Gageostatins A-C, antimicrobial linear lipopeptides from a marine Bacillus subtilis. Mar. Drugs 2014, 12, 871–885. [Google Scholar] [CrossRef]
- Tahara, Y.; Yamada, Y.; Kondo, K. Antimicrobial activity of the ornithine-containing lipid isolated from Gluconobacter cerinus. Agric. Biol. Chem. 1977, 41, 417–418. [Google Scholar] [CrossRef]
- Andrews, J.M. Determination of minimum inhibitory concentrations. J. Antimicrob. Chemother. 2001, 48, 5–16. [Google Scholar] [CrossRef]
- Kaneda, T. Iso- and anteiso-fatty acids in bacteria: Biosynthesis, function, and taxonomic significance. Microbiol. Rev. 1991, 55, 288–302. [Google Scholar] [CrossRef]
- Denich, T.J.; Beaudette, L.A.; Lee, H.; Trevors, J.T. Effect of selected environmental and physico-chemical factors on bacterial cytoplasmic membranes. J. Microbiol. Methods 2003, 52, 149–182. [Google Scholar] [CrossRef]
- Bajerski, F.; Wagner, D.; Mangelsdorf, K. Cell membrane fatty acid composition of Chryseobacterium frigidisoli PB4T, isolated from Antarctic glacier forefield soils, in response to changing temperature and pH conditions. Front. Microbiol. 2017, 8. [Google Scholar] [CrossRef]
- Rustan, A.C.; Drevon, C.A. Fatty acids: Structures and properties. eLS 2005. [Google Scholar] [CrossRef]
- Sohlenkamp, C.; Geiger, O. Bacterial membrane lipids: Diversity in structures and pathways. FEMS Microbiol. Rev. 2015, 40, 133–159. [Google Scholar] [CrossRef]
- Kawai, Y.; Yano, I.; Kaneda, K. Various kinds of lipoamino acids including a novel serine-containing lipid in an opportunistic pathogen Flavobacterium. Eur. J. Biochem. 1988, 171, 73–80. [Google Scholar] [CrossRef] [PubMed]
- López-Lara, I.M.; Sohlenkamp, C.; Geiger, O. Membrane lipids in plant-associated bacteria: Their biosyntheses and possible functions. Mol. Plant. Microbe. Interact. 2003, 16, 567–579. [Google Scholar] [CrossRef] [PubMed]
- Asselineau, J. Bacterial lipids containing amino acids or peptides linked by amide bonds. Fortschr. Chem. Org. Naturst. 1991, 56, 1–85. [Google Scholar] [CrossRef]
- Williams, W.; Kunorozva, L.; Klaiber, I.; Henkel, M.; Pfannstiel, J.; Van Zyl, L.J.; Hausmann, R.; Burger, A.; Trindade, M. Novel metagenome-derived ornithine lipids identified by functional screening for biosurfactants. Appl. Microbiol. Biotechnol. 2019, 103, 4429–4441. [Google Scholar] [CrossRef] [PubMed]
- Varvaresou, A.; Iakovou, K. Biosurfactants in cosmetics and biopharmaceuticals. Lett. Appl. Microbiol. 2015, 61, 214–223. [Google Scholar] [CrossRef]
- Pacwa-Płociniczak, M.; Płaza, G.A.; Piotrowska-Seget, Z.; Cameotra, S.S. Environmental applications of biosurfactants: Recent advances. Int. J. Mol. Sci. 2011, 12, 633–654. [Google Scholar] [CrossRef] [PubMed]
- Schreier, S.; Malheiros, S.V.P.; de Paula, E. Surface active drugs: Self-association and interaction with membranes and surfactants. Physicochemical and biological aspects. Biochim. Biophys. Acta Biomemb. 2000, 1508, 210–234. [Google Scholar] [CrossRef]
- Otzen, D.E. Biosurfactants and surfactants interacting with membranes and proteins: Same but different? Biochim. Biophys. Acta Biomemb. 2017, 1859, 639–649. [Google Scholar] [CrossRef]
- Nikolova, C.; Gutierrez, T. Biosurfactants and Their applications in the oil and gas industry: Current state of knowledge and future perspectives. Front. Bioeng. Biotechnol. 2021, 9, 626639. [Google Scholar] [CrossRef] [PubMed]
- Alemán-Vega, M.; Sánchez-Lozano, I.; Hernández-Guerrero, C.J.; Hellio, C.; Quintana, E.T. Exploring antifouling activity of biosurfactants producing marine bacteria isolated from Gulf of California. Int. J. Mol. Sci. 2020, 21, 6068. [Google Scholar] [CrossRef]
- Schneider, Y.; Jenssen, M.; Isaksson, J.; Hansen, K.Ø.; Andersen, J.H.; Hansen, E.H. Bioactivity of serratiochelin A, a siderophore isolated from a co-culture of Serratia sp. and Shewanella sp. Microorganisms 2020, 8, 1042. [Google Scholar] [CrossRef]
- Sievers, F.; Wilm, A.; Dineen, D.; Gibson, T.J.; Karplus, K.; Li, W.; Lopez, R.; McWilliam, H.; Remmert, M.; Söding, J.; et al. Fast, scalable generation of high-quality protein multiple sequence alignments using Clustal Omega. Mol. Syst. Biol. 2011, 7, 539. [Google Scholar] [CrossRef]
- Guindon, S.; Dufayard, J.-F.; Lefort, V.; Anisimova, M.; Hordijk, W.; Gascuel, O. New algorithms and methods to estimate maximum-likelihood phylogenies: Assessing the performance of PhyML 3.0. Syst. Biol. 2010, 59, 307–321. [Google Scholar] [CrossRef]
- Lefort, V.; Longueville, J.-E.; Gascuel, O. SMS: Smart Model Selection in PhyML. Mol. Biol. Evol. 2017, 34, 2422–2424. [Google Scholar] [CrossRef] [PubMed]
- Huelsenbeck, J.P.; Ronquist, F. MRBAYES: Bayesian inference of phylogenetic trees. Bioinformatics 2001, 754–755. [Google Scholar] [CrossRef] [PubMed]






| (1) | (2) | |||
|---|---|---|---|---|
| position | δC, type | δH (J in Hz) | δC, type | δH (J in Hz) |
| 2 | 40.2, CH2 | 2.95, t (7.3) | 40.2, CH2 | 2.95, t (7.3) |
| 3 | 24.6, CH2 | 1.71, dtd (17.1, 9.5, 8.5, 4.2) | 24.6, CH2 | 1.77–1.64, m e |
| 4 | 30.9, CH2 | 1.91, ddd (10.0, 8.4, 4.8) | 30.9, CH2 | 1.90, m |
| 5 | 54.8, C | 4.28, dq (9.9, 3.9, 2.6) | 54.8, CH | 4.28, d (5.4) |
| 6 | 178.0, C | - | 178.0, C | - |
| 7 | - | 7.63, d (8.0) | - | 7.62, d (8.0) |
| 8 | 173.7, C | - | 173,7, C | - |
| 9a | 45.0, CH2 | 2.39, dd (14.3, 3.9) | 45.0, CH2 | 2.39, dd (14.4, 4.0) |
| 9b | 2.30, dd (14.4, 9.2) | 2.30, dd (14.4, 9.2) | ||
| 10 | 69.9, CH | 3.95, ddt (8.9, 5.8, 3.1) | 69.9, CH | 3.95, m |
| 11 | 38.4, CH2 | 1.49, m b | 38.4, CH2 | 1.52, m |
| 12 | 26.6, CH2 | 1.35, m c | 26.6, CH2 | 1.48, dq (7.1, 4.4, 3.9) |
| 13 | 30.7–30.6, CH2 a | 1.40–1.22, m c | 30.7–30.6, CH2 d | 1.40–1.22, m f |
| 14 | 30.7–30.6, CH2 a | 1.40–1.22, m c | 30.7–30.6, CH2 d | 1.40–1.22, m f |
| 15 | 30.7–30.6, CH2 a | 1.40–1.22, m c | 30.7–30.6, CH2 d | 1.40–1.22, m f |
| 16 | 30.7–30.6, CH2 a | 1.40–1.22, m c | 30.7–30.6, CH2 d | 1.40–1.22, m f |
| 17 | 30.7–30.6, CH2 a | 1.40–1.22, m c | 30.7–30.6, CH2 d | 1.40–1.22, m f |
| 18 | 28.4, CH2 | 1.40–1.22, m c | 30.7–30.6, CH2 d | 1.40–1.22, m f |
| 19 | 40.1, CH2 | 1.16, qd (7.5, 4.2) | 28.4, CH2 | 1.40–1.22, m f |
| 20 | 29.0, CH | 1.52, m b | 40.1, CH2 | 1.17, q (7.1) |
| 21 | 22.9, CH3 | 0.86, dd (10.9, 6.7) | 29.0, CH | 1.77–1.64, m e |
| 22 | 23.6, CH3 | 0.87, d (6.8) | ||
| 23 | - | - | ||
Publisher’s Note: MDPI stays neutral with regard to jurisdictional claims in published maps and institutional affiliations. |
© 2021 by the authors. Licensee MDPI, Basel, Switzerland. This article is an open access article distributed under the terms and conditions of the Creative Commons Attribution (CC BY) license (https://creativecommons.org/licenses/by/4.0/).
Share and Cite
Kristoffersen, V.; Jenssen, M.; Jawad, H.R.; Isaksson, J.; Hansen, E.H.; Rämä, T.; Hansen, K.Ø.; Andersen, J.H. Two Novel Lyso-Ornithine Lipids Isolated from an Arctic Marine Lacinutrix sp. Bacterium. Molecules 2021, 26, 5295. https://doi.org/10.3390/molecules26175295
Kristoffersen V, Jenssen M, Jawad HR, Isaksson J, Hansen EH, Rämä T, Hansen KØ, Andersen JH. Two Novel Lyso-Ornithine Lipids Isolated from an Arctic Marine Lacinutrix sp. Bacterium. Molecules. 2021; 26(17):5295. https://doi.org/10.3390/molecules26175295
Chicago/Turabian StyleKristoffersen, Venke, Marte Jenssen, Heba Raid Jawad, Johan Isaksson, Espen H. Hansen, Teppo Rämä, Kine Ø. Hansen, and Jeanette Hammer Andersen. 2021. "Two Novel Lyso-Ornithine Lipids Isolated from an Arctic Marine Lacinutrix sp. Bacterium" Molecules 26, no. 17: 5295. https://doi.org/10.3390/molecules26175295
APA StyleKristoffersen, V., Jenssen, M., Jawad, H. R., Isaksson, J., Hansen, E. H., Rämä, T., Hansen, K. Ø., & Andersen, J. H. (2021). Two Novel Lyso-Ornithine Lipids Isolated from an Arctic Marine Lacinutrix sp. Bacterium. Molecules, 26(17), 5295. https://doi.org/10.3390/molecules26175295

