Synthesis, In Silico and In Vitro Evaluation of Antimicrobial and Toxicity Features of New 4-[(4-Chlorophenyl)sulfonyl]benzoic Acid Derivatives
Abstract
1. Introduction
2. Results
2.1. Chemistry
2.1.1. Chemical Synthesis
2.1.2. Spectral Characterization
UV-Vis Spectral Data
IR Spectral Data
NMR Spectral Data
Mass Spectral Data
2.2. Antimicrobial Activity Assessment
2.2.1. Qualitative Screening of the Antimicrobial Activity
2.2.2. Investigation of the Influence of the Tested Compounds on the Antibiotic Susceptibility Spectrum of the Studied Strains
2.2.3. Quantitative Assessment of Antimicrobial Activity
2.2.4. Assessment of the Antibiofilm Activity
2.3. Daphnia Magna Toxicity Assay
2.4. Prediction of the Molecular Mechanism of Action and Toxicity
2.4.1. PASS Prediction
2.4.2. Structural Similarity Analysis
3. Discussion
4. Materials and Methods
4.1. General Information
4.2. Chemistry
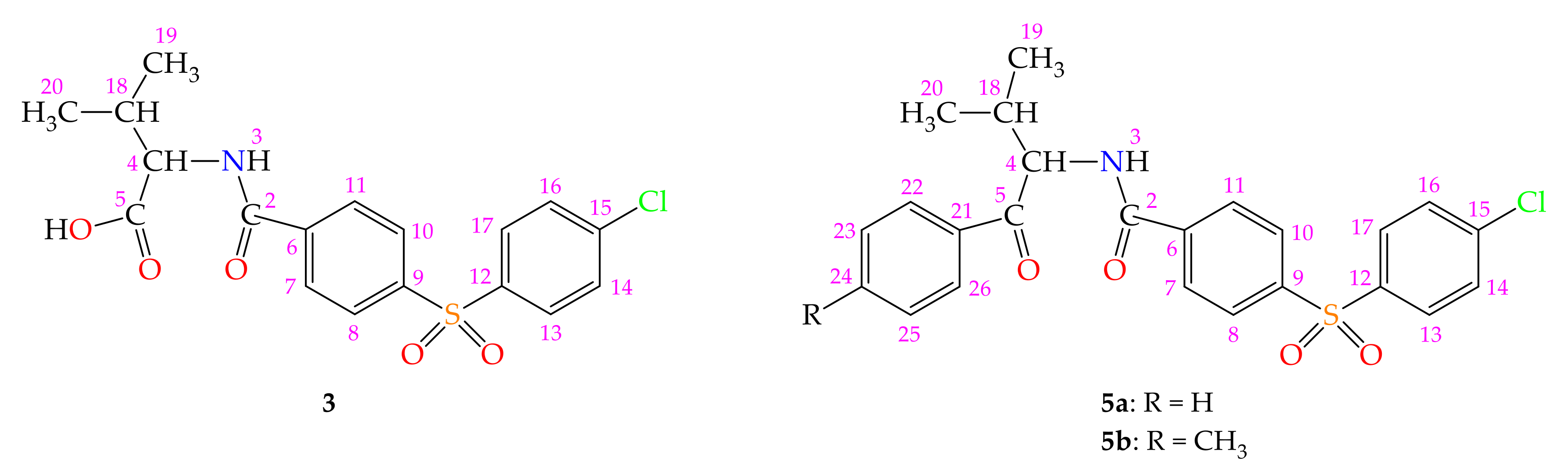
4.2.1. Synthesis of 2-{4-[(4-Chlorophenyl)sulfonyl]benzamido}-3-methylbutanoic Acid 3
4.2.2. Synthesis of 2-{4-[(4-Chlorophenyl)sulfonyl]phenyl}-4-isopropyl-1,3-oxazol-5(4H)-one 4
4.2.3. General Procedure for the Synthesis of the N-(1-Aryl-3-methyl-1-oxobutan-2-yl)-4-[(4-chlorophenyl)sulfonyl]benzamides 5a,b
4-[(4-Chlorophenyl)sulfonyl]-N-(3-methyl-1-oxo-1-phenylbutan-2-yl)benzamide 5a
4-[(4-Chlorophenyl)sulfonyl]-N-[3-methyl-1-oxo-1-(p-tolyl)butan-2-yl]benzamide 5b
4.2.4. General Procedure for the Synthesis of the 5-Aryl-2-{4-[(4-chlorophenyl)sulfonyl]phenyl}-4-isopropyl-1,3-oxazoles 6a,b
2-{4-[(4-Chlorophenyl)sulfonyl]phenyl}-4-isopropyl-5-phenyl-1,3-oxazole 6a
2-{4-[(4-Chlorophenyl)sulfonyl]phenyl}-4-isopropyl-5-(p-tolyl)-1,3-oxazole 6b
4.3. Antimicrobial Activity Assessment
4.3.1. Microbial Strains
4.3.2. Qualitative Evaluation of Antimicrobial Activity
4.3.3. Investigation of the Influence of the Tested Compounds on the Antibiotic Susceptibility Spectrum of the Studied Strains
4.3.4. Quantitative Testing of the Antimicrobial Activity
4.3.5. Evaluation of the Antibiofilm Activity
4.4. Daphnia Magna Toxicity Assay
4.5. Prediction of the Molecular Mechanism of Action and Toxicity
4.5.1. PASS Prediction
4.5.2. Structural Similarity Analysis
5. Conclusions
6. Patents
Author Contributions
Funding
Institutional Review Board Statement
Informed Consent Statement
Data Availability Statement
Conflicts of Interest
Sample Availability
References
- Bi, Y.; Xia, G.; Shi, C.; Wanb, J.; Liub, L.; Chenb, Y.; Wub, Y.; Zhang, W.; Zhoub, M.; He, H.; et al. Therapeutic strategies against bacterial biofilms. Fundam. Res. 2021, 1, 193–212. [Google Scholar] [CrossRef]
- Zhang, K.; Li, X.; Yu, C.; Wang, Y. Promising Therapeutic Strategies Against Microbial Biofilm Challenges. Front. Cell. Infect. Microbiol. 2020, 10, 359. [Google Scholar] [CrossRef] [PubMed]
- Dahiya, S.; Dahiya, R. A comprehensive review of chemistry and pharmacological aspects of natural cyanobacterial azoline-based circular and linear oligopeptides. Eur. J. Med. Chem. 2021, 218, 113406. [Google Scholar] [CrossRef] [PubMed]
- Mhlongo, J.T.; Brasil, E.; de la Torre, B.G.; Albericio, F. Naturally Occurring Oxazole-Containing Peptides. Mar. Drugs. 2020, 18, 203. [Google Scholar] [CrossRef]
- Li, Y.; Rebuffat, S. The manifold roles of microbial ribosomal peptide–based natural products in physiology and ecology. J. Biol. Chem. 2020, 295, 34–54. [Google Scholar] [CrossRef] [PubMed]
- Ke, S.; Fang, W.; Huang, W.; Zhang, Z.; Shi, L.; Wan, Z.; Wang, K.; Cao, C.; Huang, D. Sulfur-containing natural hinduchelins derivatives as potential antifungal agents against Rhizoctonia solani. Bioorg. Med. Chem. Lett. 2020, 30, 127245. [Google Scholar] [CrossRef]
- Tilvi, S.; Singh, K.S. Synthesis of oxazole, oxazoline and isoxazoline derived marine natural products: A Review. Curr. Org. Chem. 2016, 20, 898–929. [Google Scholar] [CrossRef]
- Guerrero-Pepinosa, N.Y.; Cardona-Trujillo, M.C.; Garzón-Castaño, S.C.; Veloza, L.A.; Sepúlveda-Arias, J.C. Antiproliferative activity of thiazole and oxazole derivatives: A systematic review of in vitro and in vivo studies. Biomed. Pharmacother. 2021, 138, 111495. [Google Scholar] [CrossRef]
- Zheng, X.; Liu, W.; Zhang, D. Recent Advances in the Synthesis of Oxazole-Based Molecules via van Leusen Oxazole Synthesis. Molecules 2020, 25, 1594. [Google Scholar] [CrossRef]
- Sharma, V.; Bhatia, P.; Alam, O.; Naim, M.J.; Nawaz, F.; Sheikh, A.A.; Jha, M. Recent advancement in the discovery and development of COX-2 inhibitors: Insight into biological activities and SAR studies (2008–2019). Bioorg. Chem. 2019, 89, 103007. [Google Scholar] [CrossRef]
- Kakkar, S.; Narasimhan, B. A comprehensive review on biological activities of oxazole derivatives. BMC Chem. 2019, 13, 16. [Google Scholar] [CrossRef] [PubMed]
- Kohlmann, F.W.; Kuhne, J.; Wagener, H.H.; Weifenbach, H. Studies on microbiology and pharmacology of sulfaguanol, a new sulfonamide with effect on the intestines. Arzneimittelforschung 1973, 23, 172–178. [Google Scholar] [PubMed]
- Yan, Z.; Liu, A.; Huang, M.; Liu, M.; Pei, H.; Huang, L.; Yi, H.; Liu, W.; Hu, A. Design, synthesis, DFT study and antifungal activity of the derivatives of pyrazolecarboxamide containing thiazole or oxazole ring. Eur. J. Med. Chem. 2018, 149, 170–181. [Google Scholar] [CrossRef] [PubMed]
- Baccelli, I.; Gareau, Y.; Lehnertz, B.; Gingras, S.; Spinella, J.F.; Corneau, S.; Mayotte, N.; Girard, S.; Frechette, M.; Blouin-Chagnon, V.; et al. Mubritinib Targets the Electron Transport Chain Complex I and Reveals the Landscape of OXPHOS Dependency in Acute Myeloid Leukemia. Cancer Cell. 2019, 36, 84–99.e8. [Google Scholar] [CrossRef] [PubMed]
- Holford, N.H.; Williams, P.E.; Muirhead, G.J.; Mitchell, A.; York, A. Population pharmacodynamics of romazarit. Br. J. Clin. Pharmacol. 1995, 39, 313–320. [Google Scholar] [CrossRef] [PubMed]
- Aleo, M.D.; Lundeen, G.R.; Blackwell, D.K.; Smith, W.M.; Coleman, G.L.; Stadnicki, S.W.; Kluwe, W.M. Mechanism and implications of brown adipose tissue proliferation in rats and monkeys treated with the thiazolidinedione darglitazone, a potent peroxisome proliferator-activated receptor-gamma agonist. J. Pharmacol. Exp. Ther. 2003, 305, 1173–1182. [Google Scholar] [CrossRef]
- Rymbai, E.M.; Chakraborty, A.; Choudhury, R.; Verma, N.; De, B. Review on Chemistry and Therapeutic Activity of the Derivatives of Furan and Oxazole: The Oxygen Containing Heterocycles. Der Pharma Chemica 2019, 11, 20–41. [Google Scholar]
- Stokes, N.R.; Baker, N.; Bennett, J.M.; Chauhan, P.K.; Collins, I.; Davies, D.T.; Gavade, M.; Kumar, D.; Lancett, P.; Macdonald, R.; et al. Design, synthesis and structure-activity relationships of substituted oxazole-benzamide antibacterial inhibitors of FtsZ. Bioorg. Med. Chem. Lett. 2014, 24, 353–359. [Google Scholar] [CrossRef]
- Albano, G.; Aronica, L.A. Acyl Sonogashira Cross-Coupling: State of the Art and Application to the Synthesis of Heterocyclic Compounds. Catalysts 2020, 10, 25. [Google Scholar] [CrossRef]
- Bailey, J.L.; Sudini, R.R. Synthesis of 2,4- and 2,4,5-substituted oxazoles via a silver triflate mediated cyclization. Tetrahedron Lett. 2014, 55, 3674–3677. [Google Scholar] [CrossRef]
- Kandula, V.R.; Pothireddy, M.; Babu, K.S.; Kapavarapu, R.; Dandela, R.; Pal, M. Sonochemical synthesis of polyarylated oxazoles as potential cytotoxic agents. Tetrahedron Lett. 2021, 70, 153011. [Google Scholar] [CrossRef]
- Jakeman, D.L.; Bandi, S.; Graham, C.L.; Reid, T.R.; Wentzell, J.R.; Douglas, S.E. Antimicrobial Activities of Jadomycin B and Structurally Related Analogues. Antimicrob. Agents Chemother. 2009, 53, 1245–1247. [Google Scholar] [CrossRef] [PubMed]
- Pinto, I.L.; West, A.; Debouck, C.M.; Dilella, A.G.; Gorniak, J.G.; O’Donnell, K.C.; O’Shannessy, D.J.; Patel, A.; Jarvest, R.L. Novel, selective mechanism-based inhibitors of the herpes proteases. Bioorg. Med. Chem. Lett. 1996, 6, 2467–2472. [Google Scholar] [CrossRef]
- De Azeredo, C.M.; Ávila, E.P.; Pinheiro, D.L.; Amarante, G.W.; Soares, M.J. Biological activity of the azlactone derivative EPA-35 against Trypanosoma cruzi. FEMS Microbiol. Lett. 2017, 364. [Google Scholar] [CrossRef] [PubMed][Green Version]
- Hewlett, N.M.; Hupp, C.D.; Tepe, J.J. Reactivity of Oxazol-5-(4H)-ones and Their Application toward Natural Product Synthesis. Synthesis 2009, 17, 2825–2839. [Google Scholar] [CrossRef]
- De Castro, P.P.; Carpanez, A.G.; Amarante, G.W. Azlactone Reaction Developments. Chemistry 2016, 22, 10294–10318. [Google Scholar] [CrossRef] [PubMed]
- De Castro, P.P.; Batista, G.M.F.; dos Santos, H.F.; Amarante, G.W. Theoretical Study on the Epimerization of Azlactone Rings: Keto-Enol Tautomerism or Base-Mediated Racemization? ACS Omega 2018, 3, 3507–3512. [Google Scholar] [CrossRef]
- Fadavi, A.; Zarei, M. One-pot Vilsmeier reagent-mediated multicomponent reaction: A direct synthesis of oxazolones and Erlenmeyer azlactones from carboxylic acids. C. R. Chim. 2018, 21, 9–13. [Google Scholar] [CrossRef]
- Bala, S.; Saini, M.; Kamboj, S. Methods for synthesis of Oxazolones: A Review. Int. J. ChemTech Res. 2011, 3, 1102–1118. [Google Scholar]
- Liu, Z.; Rigger, L.; Rossi, J.C.; Sutherland, J.D.; Pascal, R. Mixed Anhydride Intermediates in the Reaction of 5(4H)-Oxazolones with Phosphate Esters and Nucleotides. Chemistry 2016, 22, 14940–14949. [Google Scholar] [CrossRef]
- Gunkara, O.T.; Guleli, M.; Cevikkalp, S.A.; Kaya, K.; Ocal, N. Synthesis of New 5-Oxazolones: Their Ring Opening Reactions to Obtain New Benzamide Derivatives. Curr. Org. Synth. 2017, 14. [Google Scholar] [CrossRef]
- Metrano, A.J.; Miller, S.J. Peptide-catalyzed conversion of racemic oxazol-5(4H)-ones into enantiomerically enriched α-amino acid derivatives. J. Org. Chem. 2014, 79, 1542–1554. [Google Scholar] [CrossRef]
- Schiketanz, I.; Draghici, C.; Saramet, I.; Balaban, A.T. Aminoketone, oxazole and thiazole synthesis. Part 16. Novel 5-aryl-2-(para-benzenesulfonylphenyl)oxazoles. Rev. Roum. Chim. 2002, 47, 235–238. [Google Scholar] [CrossRef]
- Hoyng, C.F.; McKenna, M.; Novak, K. Azlactone Synthesis. 2-Phenyl-2-Oxazolin-5-One. Synth. Commun. 1980, 10, 761–766. [Google Scholar] [CrossRef]
- Fujita, H.; Kunishima, M. One-pot preparation of Oxazol-5(4H)-ones from amino acids in aqueous solvents. Chem. Pharm. Bull. 2012, 60, 907–912. [Google Scholar] [CrossRef] [PubMed]
- Wen, G.; Zhang, W.X.; Wu, S. A Novel Synthesis of 4-Acetoxyl 5(4H)-Oxazolones by Direct α-Oxidation of N-Benzoyl Amino-Acid Using Hypervalent Iodine. Molecules 2017, 22, 1102. [Google Scholar] [CrossRef] [PubMed]
- Wang, J.; Zhong, L.; Tang, S.; Liu, Y.; Ding, S.; Li, L.; Zhao, H.; Chen, C.; Shang, Y. Palladium-Catalyzed Divergent Imidoylative Cyclization of Multifunctionalized Isocyanides: Tunable Access to Oxazol-5(4H)-ones and Cyclic Ketoimines. J. Org. Chem. 2020, 85, 7297–7308. [Google Scholar] [CrossRef]
- Wang, Y.; Pang, B.; Zhang, R.; Fu, Y.; Pang, Q. Ubenimex induces apoptotic and autophagic cell death in rat GH3 and MMQ cells through the ROS/ERK pathway. Drug Des. Devel. Ther. 2019, 13, 3217–3228. [Google Scholar] [CrossRef]
- Calzetta, L.; Matera, M.G.; Rogliani, P.; Cazzola, M. Multifaceted activity of N-acetyl-l-cysteine in chronic obstructive pulmonary disease. Expert Rev. Respir. Med. 2018, 12, 693–708. [Google Scholar] [CrossRef]
- Verbeeck, R.K.; Kanfer, I.; Löbenberg, R.; Abrahamsson, B.; Cristofoletti, R.; Groot, D.W.; Langguth, P.; Polli, J.E.; Parr, A.; Shah, V.P.; et al. Biowaiver Monographs for Immediate-Release Solid Oral Dosage Forms: Enalapril. J. Pharm. Sci. 2017, 106, 1933–1943. [Google Scholar] [CrossRef]
- Allen, J.M.; Gilbert, B.W. Angiotensin II: A New Vasopressor for the Treatment of Distributive Shock. Clin. Ther. 2019, 41, 2594–2610. [Google Scholar] [CrossRef]
- Sharma, P.; Singh, S.; Siddiqui, T.I.; Singh, V.S.; Kundu, B.; Prathipati, P.; Saxena, A.K.; Dikshit, D.K.; Rastogi, L.; Dixit, C.; et al. α-Amino acid derivatives as proton pump inhibitors and potent anti-ulcer agents. Eur. J. Med. Chem. 2007, 42, 386–393. [Google Scholar] [CrossRef] [PubMed]
- Arul Prakash, S.; Kamlekar, R.K. Function and therapeutic potential of N-acyl amino acids. Chem. Phys. Lipids. 2021, 239, 105114. [Google Scholar] [CrossRef]
- Battista, N.; Bari, M.; Bisogno, T. N-Acyl Amino Acids: Metabolism, Molecular Targets, and Role in Biological Processes. Biomolecules 2019, 9, 822. [Google Scholar] [CrossRef] [PubMed]
- Bourkaib, M.C.; Delaunay, S.; Framboisier, X.; Hôtel, L.; Aigle, B.; Humeau, C.; Guiavarc’h, Y.; Chevalot, I. N-acylation of L-amino acids in aqueous media: Evaluation of the catalytic performances of Streptomyces ambofaciens aminoacylases. Enzyme Microb. Technol. 2020, 137, 109536. [Google Scholar] [CrossRef] [PubMed]
- Shang, L.; Xu, M.; Yin, Z. Antiviral drug discovery for the treatment of enterovirus 71 infections. Antiviral Res. 2013, 97, 183–194. [Google Scholar] [CrossRef]
- Deng, H.; Bannister, T.D.; Jin, L.; Babine, R.E.; Quinn, J.; Nagafuji, P.; Celatka, C.A.; Lin, J.; Lazarova, T.I.; Rynkiewicz, M.J.; et al. Synthesis, SAR exploration, and X-ray crystal structures of factor XIa inhibitors containing an α-ketothiazole arginine. Bioorg. Med. Chem. Lett. 2006, 16, 3049–3054. [Google Scholar] [CrossRef] [PubMed]
- Semple, G.; Ashworth, D.M.; Batt, A.R.; Baxter, A.J.; Benzies, D.W.M.; Elliot, L.H.; Evans, D.M.; Franklin, R.J.; Hudson, P.; Jenkins, P.D.; et al. Peptidomimetic aminomethylene ketone inhibitors of interleukin-1β-converting enzyme (ICE). Bioorg. Med. Chem. Lett. 1998, 8, 959–964. [Google Scholar] [CrossRef]
- Allen, L.A.T.; Raclea, R.C.; Natho, P.; Parsons, P.J. Recent advances in the synthesis of α-amino ketones. Org. Biomol. Chem. 2021, 19, 498–513. [Google Scholar] [CrossRef]
- Tice, C.M.; Hormann, R.E.; Thompson, C.S.; Friz, J.L.; Cavanaugh, C.K.; Michelotti, E.L.; Garcia, J.; Nicolas, E.; Albericio, F. Synthesis and SAR of alpha-acylaminoketone ligands for control of gene expression. Bioorg. Med. Chem. Lett. 2003, 13, 475–478. [Google Scholar] [CrossRef]
- Bigot, A.; Blythe, J.; Pandya, C.; Wagner, T.; Loiseleur, O. DAST-mediated cyclization of α,α-disubstituted-α-acylaminoketones: Efficient and divergent synthesis of unprecedented heterocycles. Org. Lett. 2011, 13, 192–195. [Google Scholar] [CrossRef] [PubMed]
- Nordlander, J.E.; Payne, M.J.; Njoroge, F.G.; Balk, M.A.; Laikos, G.D.; Vishwanath, V.M. Friedel-Crafts acylation with N-(trifluoroacetyl)-α-amino acid chlorides. Application to the preparation of β-arylalkylamines and 3-substituted 1,2,3,4-tetrahydroisoquinolines. J. Org. Chem. 1984, 49, 4107–4111. [Google Scholar] [CrossRef]
- Di Gioia, M.L.; Leggio, A.; Liguori, A.; Napoli, A.; Siciliano, C.; Sindona, G. Facile approach to enantiomerically pure alpha-amino ketones by Friedel-Crafts aminoacylation and their conversion into peptidyl ketones. J. Org. Chem. 2001, 66, 7002–7007. [Google Scholar] [CrossRef] [PubMed]
- Tachrim, Z.P.; Oida, K.; Ikemoto, H.; Ohashi, F.; Kurokawa, N.; Hayashi, K.; Shikanai, M.; Sakihama, Y.; Hashidoko, Y.; Hashimoto, M. Synthesis of Chiral TFA-Protected α-Amino Aryl-Ketone Derivatives with Friedel-Crafts Acylation of α-Amino Acid N-Hydroxysuccinimide Ester. Molecules 2017, 22, 1748. [Google Scholar] [CrossRef] [PubMed]
- Tachrim, Z.P.; Wang, L.; Murai, Y.; Yoshida, T.; Kurokawa, N.; Ohashi, F.; Hashidoko, Y.; Hashimoto, M. Trifluoromethanesulfonic Acid as Acylation Catalyst: Special Feature for C- and/or O-Acylation Reactions. Catalysts 2017, 7, 40. [Google Scholar] [CrossRef]
- Wang, L.; Murai, Y.; Yoshida, T.; Okamoto, M.; Tachrim, Z.P.; Hashidoko, Y.; Hashimoto, M. Utilization of acidic α-amino acids as acyl donors: An effective stereo-controllable synthesis of aryl-keto α-amino acids and their derivatives. Molecules 2014, 19, 6349–6367. [Google Scholar] [CrossRef] [PubMed]
- Scala, A.; Piperno, A.; Micale, N.; Christ, F.; Debyser, Z. Synthesis and Anti-HIV Profile of a Novel Tetrahydroindazolylbenzamide Derivative Obtained by Oxazolone Chemistry. ACS Med. Chem. Lett. 2018, 10, 398–401. [Google Scholar] [CrossRef]
- Di Rocco, D.A.; Rovis, T. Catalytic asymmetric cross-aza-benzoin reactions of aliphatic aldehydes with N-Boc-protected imines. Angew. Chem. Int. Ed. Engl. 2012, 51, 5904–5906. [Google Scholar] [CrossRef]
- Xu, B.; Zhu, S.F.; Zuo, X.D.; Zhang, Z.C.; Zhou, Q.L. Enantioselective N-H insertion reaction of α-aryl α-diazoketones: An efficient route to chiral α-aminoketones. Angew. Chem. Int. Ed. Engl. 2014, 53, 3913–3916. [Google Scholar] [CrossRef]
- Kawasaki, T.; Ishida., N.; Murakami, M. Dehydrogenative Coupling of Benzylic and Aldehydic C-H Bonds. J. Am. Chem. Soc. 2020, 142, 3366–3370. [Google Scholar] [CrossRef]
- Raclea, R.C.; Natho, P.; Allen, L.A.T.; White, A.J.P.; Parsons, P.J. Oxidative Deconstruction of Azetidinols to α-Amino Ketones. J. Org. Chem. 2020, 85, 9375–9385. [Google Scholar] [CrossRef] [PubMed]
- Mady, M.F.; Awad, G.E.A.; Jørgensen, K.B. Ultrasound-assisted synthesis of novel 1,2,3-triazoles coupled diaryl sulfone moieties by the CuAAC reaction, and biological evaluation of them as antioxidant and antimicrobial agents. Eur. J. Med. Chem. 2014, 84, 433–443. [Google Scholar] [CrossRef]
- Ghorab, M.M.; Al-Said, M.S.; Nissan, Y.M. Dapson in Heterocyclic Chemistry, Part V: Synthesis, Molecular Docking and Anticancer Activity of Some Novel Sulfonylbiscompounds Carrying Biologically Active Dihydropyridine, Dihydroisoquinoline, 1,3-Dithiolan, 1,3-Dithian, Acrylamide, Pyrazole, Pyrazolopyrimidine and Benzochromenemoieties. Chem. Pharm. Bull. 2012, 60, 1019–1028. [Google Scholar] [CrossRef]
- Barbuceanu, S.F.; Saramet, G.; Bancescu, G.; Draghici, C.; Apostol, T.V.; Taran, L.; Dinu-Pirvu, C.E. Synthesis, Characterization and Antimicrobial Activity of Some Hydroxypyrazolines. Rev. Chim. 2013, 64, 355–360. [Google Scholar]
- Ahmad, I.; Shagufta. Sulfones: An important class of organic compounds with diverse biological activities. Int. J. Pharm. Pharm. Sci. 2015, 7, 19–27. [Google Scholar]
- Apostol, T.V.; Draghici, C.; Dinu, M.; Barbuceanu, S.F.; Socea, L.I.; Saramet, I. Synthesis, Characterization and Biological Evaluation of New 5-Aryl-4-methyl-2-[para-(phenylsulfonyl)phenyl]oxazoles. Rev. Chim. 2011, 62, 142–148. [Google Scholar]
- Apostol, T.V.; Saramet, I.; Draghici, C.; Barbuceanu, S.F.; Socea, L.I.; Almajan, G.L. Synthesis and Characterization of New 5-Aryl-2-[para-(4-chlorophenylsulfonyl)phenyl]-4-methyloxazoles. Rev. Chim. 2011, 62, 486–492. [Google Scholar]
- Apostol, T.V.; Barbuceanu, S.F.; Olaru, O.T.; Draghici, C.; Saramet, G.; Socea, B.; Enache, C.; Socea, L.I. Synthesis, Characterization and Cytotoxicity Evaluation of New Compounds from Oxazol-5(4H)-ones and Oxazoles Class Containing 4-(4-Bromophenylsulfonyl)phenyl Moiety. Rev. Chim. 2019, 70, 1099–1107. [Google Scholar] [CrossRef]
- Apostol, T.V.; Barbuceanu, S.F.; Socea, L.I.; Draghici, C.; Saramet, G.; Iscrulescu, L.; Olaru, O.T. Synthesis, Characterization and Cytotoxicity Evaluation of New Heterocyclic Compounds with Oxazole Ring Containing 4-(Phenylsulfonyl)phenyl Moiety. Rev. Chim. 2019, 70, 3793–3801. [Google Scholar] [CrossRef]
- Apostol, T.V.; Socea, L.I.; Drăghici, C.; Olaru, O.T.; Șaramet, G.; Enache-Preoteasa, C.; Bărbuceanu, Ș.F. Design, Synthesis, Characterization, and Cytotoxicity Evaluation of New 4-Benzyl-1,3-oxazole Derivatives Bearing 4-(4-Chlorophenylsulfonyl)phenyl Moiety. Farmacia 2021, 69, 314–324. [Google Scholar] [CrossRef]
- Apostol, T.V.; Drăghici, C.; Socea, L.I.; Olaru, O.T.; Șaramet, G.; Hrubaru, M.; Bărbuceanu, Ș.F. Synthesis, Characterization and Cytotoxicity Assessment of New 4-Benzyl-1,3-oxazole Derivatives Incorporating 4-[(4-Bromophenyl)sulfonyl]phenyl Fragment. Farmacia 2021, 69, 521–529. [Google Scholar] [CrossRef]
- Mavrodin, A.; Oteleanu, D.; Stoenescu, M.V.; Zotta, V. Studies on the sulfone group. IV. New sulfone-hydrazide derivatives. Pharm. Zentralhalle Dtschl. 1956, 95, 353–361. [Google Scholar] [PubMed]
- Schiketanz, I.; Draghici, C.; Saramet, I.; Balaban, A.T. Aminoketone, oxazole and thiazole synthesis. Part 15.1 2-[4-(4-Halobenzenesulphonyl)-phenyl]-5-aryloxazoles. Arkivoc 2002, 2002, 64–72. [Google Scholar] [CrossRef]
- Filimonov, D.A.; Lagunin, A.A.; Gloriozova, T.A.; Rudik, A.V.; Druzhilovskii, D.S.; Pogodin, P.V.; Poroikov, V.V. Prediction of the Biological Activity Spectra of Organic Compounds Using the Pass Online Web Resource. Chem. Heterocycl. Compd. 2014, 50, 444–457. [Google Scholar] [CrossRef]
- Katariya, K.D.; Vennapu, D.R.; Shah, S.R. Synthesis and molecular docking study of new 1,3-oxazole clubbed pyridyl-pyrazolines as anticancer and antimicrobial agents. J. Mol. Struct. 2021, 1232, 130036. [Google Scholar] [CrossRef]
- Ansari, A.; Ali, A.; Asif, M.; Rauf, M.A.; Owais, M.; Shamsuzzaman. Facile one-pot multicomponent synthesis and molecular docking studies of steroidal oxazole/thiazole derivatives with effective antimicrobial, antibiofilm and hemolytic properties. Steroids 2018, 134, 22–36. [Google Scholar] [CrossRef] [PubMed]
- Zhang, W.; Liu, W.; Jiang, X.; Jiang, F.; Zhuang, H.; Fu, L. Design, synthesis and antimicrobial activity of chiral 2-(substituted-hydroxyl)-3-(benzo[d]oxazol-5-yl)propanoic acid derivatives. Eur. J. Med. Chem. 2011, 46, 3639–3650. [Google Scholar] [CrossRef] [PubMed]
- Desai, N.C.; Vaja, D.V.; Joshi, S.B.; Khedkar, V.M. Synthesis and molecular docking study of pyrazole clubbed oxazole as antibacterial agents. Res. Chem. Intermed. 2021, 47, 573–587. [Google Scholar] [CrossRef]
- Patrinoiu, G.; Calderón-Moreno, J.M.; Chifiriuc, C.M.; Saviuc, C.; Birjega, R.; Carp, O. Tunable ZnO spheres with high anti-biofilm and antibacterial activity via a simple green hydrothermal route. J. Colloid Interface Sci. 2016, 462, 64–74. [Google Scholar] [CrossRef] [PubMed]
- Prodan, A.M.; Iconaru, S.L.; Chifiriuc, C.M.; Bleotu, C.; Ciobanu, C.S.; Motelica-Heino, M.; Sizaret, S.; Predoi, D. Magnetic Properties and Biological Activity Evaluation of Iron Oxide Nanoparticles. J. Nanomater. 2013, 2013, 893970. [Google Scholar] [CrossRef]
- Stecoza, C.E.; Nitulescu, G.M.; Draghici, C.; Caproiu, M.T.; Olaru, O.T.; Bostan, M.; Mihaila, M. Synthesis and Anticancer Evaluation of New 1,3,4-Oxadiazole Derivatives. Pharmaceuticals 2021, 14, 438. [Google Scholar] [CrossRef]
- Nitulescu, G.; Mihai, D.P.; Nicorescu, I.M.; Olaru, O.T.; Ungurianu, A.; Zanfirescu, A.; Nitulescu, G.M.; Margina, D. Discovery of natural naphthoquinones as sortase A inhibitors and potential anti-infective solutions against Staphylococcus aureus. Drug Dev. Res. 2019, 80, 1136–1145. [Google Scholar] [CrossRef] [PubMed]
- Olaru, O.T.; Venables, L.; van de Venter, M.; Nitulescu, G.M.; Margina, D.; Spandidos, D.A.; Tsatsakis, A.M. Anticancer potential of selected Fallopia Adans species. Oncol. Lett. 2015, 10, 1323–1332. [Google Scholar] [CrossRef] [PubMed]
- Zakharov, A.V.; Peach, M.L.; Sitzmann, M.; Nicklaus, M.C. A new approach to radial basis function approximation and its application to QSAR. J. Chem. Inf. Model. 2014, 54, 713–719. [Google Scholar] [CrossRef]
- Mendez, D.; Gaulton, A.; Bento, A.P.; Chambers, J.; de Veij, M.; Félix, E.; Magariños, M.P.; Mosquera, J.F.; Mutowo, P.; Nowotka, M.; et al. ChEMBL: Towards direct deposition of bioassay data. Nucleic Acids Res. 2019, 47, D930–D940. [Google Scholar] [CrossRef] [PubMed]
- Sander, T.; Freyss, J.; von Korff, M.; Rufener, C. DataWarrior: An Open-Source Program for Chemistry Aware Data Visualization and Analysis. J. Chem. Inf. Model. 2015, 55, 460–473. [Google Scholar] [CrossRef] [PubMed]







| Compound | Growth Inhibition Diameters (mm) | |||||
|---|---|---|---|---|---|---|
| Enterococcus faecium E5 | Staphylococcus aureus ATCC 6538 | Bacillus subtilis ATCC 6683 | Pseudomonas aeruginosa ATCC 27857 | Escherichia coli ATCC 8739 | Candida albicans 393 | |
| 3 | 15 | 0 | 0 | 0 | 0 | 0 |
| 4 | 10 | 8 | 9 | 0 | 0 | 0 |
| 5a | 0 | 0 | 0 | 0 | 0 | 0 |
| 5b | 0 | 9 | 0 | 0 | 0 | 0 |
| 6a | 0 | 0 | 0 | 0 | 0 | 8 |
| 6b | 0 | 0 | 0 | 0 | 0 | 0 |
| Ciprofloxacin | 30 | 26 | 28 | 30 | 34 | - 1 |
| Flucozanole | - | - | - | - | - | 30 |
| Microbial Culture | Diameter of Growth Inhibition Zone (mm) | |||
|---|---|---|---|---|
| Ampicillin | Penicillin | Linezolid | Vancomycin | |
| Control | 24 | 14 | 27 | 19 |
| 3 | 21 | 12 | 25 | 18 |
| 4 | 23 | 13 | 27 | 19 |
| DMSO | 22 | 0 | 23 | 18 |
| Microbial Culture | Diameter of Growth Inhibition Zone (mm) | |||||||
|---|---|---|---|---|---|---|---|---|
| Azithromycin | Penicillin | Vancomycin | Linezolid | Trimethoprim-Sulfamethoxazole | Clindamycin | Rifampicin | Cefoxitin | |
| Control | 15 | 0 | 23 | 32 | 0 | 26 | 21 | 20 |
| 4 | 19 | 30 | 15 | 26 | 0 | 23 | 12 | 25 |
| DMSO | 13 | 0 | 18 | 28 | 0 | 20 | 19 | 15 |
| Compound | MIC and MBEC (µg/mL) | |||||||||||
|---|---|---|---|---|---|---|---|---|---|---|---|---|
| Enterococcus faecium E5 | Staphylococcus aureus ATCC 6538 | Bacillus subtilis ATCC 6683 | Pseudomonas aeruginosa ATCC 27857 | Escherichia coli ATCC 8739 | Candida albicans 393 | |||||||
| MIC | MBEC | MIC | MBEC | MIC | MBEC | MIC | MBEC | MIC | MBEC | MIC | MBEC | |
| 3 | 500 | 125 | >500 | >500 | >500 | >500 | >500 | >500 | >500 | >500 | >500 | >500 |
| 4 | 500 | 125 | 125 | 125 | 125 | 500 | >500 | >500 | >500 | >500 | >500 | >500 |
| 5a | >500 | >500 | >500 | >500 | >500 | >500 | >500 | >500 | >500 | >500 | >500 | >500 |
| 5b | >500 | >500 | >500 | 500 | >500 | >500 | >500 | >500 | >500 | >500 | >500 | >500 |
| 6a | >500 | >500 | >500 | >500 | >500 | >500 | >500 | >500 | >500 | >500 | >500 | 125 |
| 6b | >500 | >500 | >500 | >500 | >500 | >500 | >500 | >500 | >500 | >500 | >500 | >500 |
| Ciprofloxacin | 0.62 | 0.62 | 0.15 | 0.15 | <0.03 | <0.03 | 0.15 | 0.15 | 0.012 | 0.012 | - 1 | - |
| Fluconazole | - | - | - | - | - | - | - | - | - | - | <0.12 | <0.12 |
| Tested Compound | Predicted LC50 (48 h) 1 (µg/mL) | Determined LC50 (24 h) (µg/mL) | 95% CI 2 of LC50 (24 h) (µg/mL) | Determined LC50 (48 h) (µg/mL) | 95% CI of LC50 (48 h) (µg/mL) |
|---|---|---|---|---|---|
| 3 | 3.12 | ND * 3 | ND * | ND * | ND * |
| 4 | 1.86 | ND * | ND * | 44.00 | 42.84–45.19 |
| 5a | 0.17 | ND * | ND * | 27.98 | 21.05–37.18 |
| 5b | 0.22 | 58.62 | 42.98–79.94 | 5.57 | 3.752–8.269 |
| 6a | 0.15 | ND * | ND * | 43.29 | 37.83–49.54 |
| 6b | 0.19 | ND * | ND * | 45.17 | 39.48–51.69 |
| Valine (control 1) | 1078.3 | ND * | ND * | ND * | ND * |
| 1 (control 2) | 40.68 | 21.92 | ND ** | 1.79 | 1.14–2.83 |
| Compound | Target | ||
|---|---|---|---|
| Antimycobacterial | Antituberculosis | Antiinfective | |
| 3 | 0.39 | 0.40 | 0.54 |
| 4 | 0.49 | 0.34 | 0.35 |
| 5a | 0.41 | 0.41 | 0.34 |
| 5b | 0.42 | 0.41 | 0.38 |
| 6a | 0.28 | 0.23 | 0.27 |
| 6b | 0.28 | 0.24 | 0.31 |
| 7a | 0.27 | 0.31 | 0.22 |
| 7b | 0.27 | 0.31 | 0.26 |
| 8a | - 1 | - | - |
| 8b | - | - | - |
Publisher’s Note: MDPI stays neutral with regard to jurisdictional claims in published maps and institutional affiliations. |
© 2021 by the authors. Licensee MDPI, Basel, Switzerland. This article is an open access article distributed under the terms and conditions of the Creative Commons Attribution (CC BY) license (https://creativecommons.org/licenses/by/4.0/).
Share and Cite
Apostol, T.-V.; Chifiriuc, M.C.; Draghici, C.; Socea, L.-I.; Marutescu, L.G.; Olaru, O.T.; Nitulescu, G.M.; Pahontu, E.M.; Saramet, G.; Barbuceanu, S.-F. Synthesis, In Silico and In Vitro Evaluation of Antimicrobial and Toxicity Features of New 4-[(4-Chlorophenyl)sulfonyl]benzoic Acid Derivatives. Molecules 2021, 26, 5107. https://doi.org/10.3390/molecules26165107
Apostol T-V, Chifiriuc MC, Draghici C, Socea L-I, Marutescu LG, Olaru OT, Nitulescu GM, Pahontu EM, Saramet G, Barbuceanu S-F. Synthesis, In Silico and In Vitro Evaluation of Antimicrobial and Toxicity Features of New 4-[(4-Chlorophenyl)sulfonyl]benzoic Acid Derivatives. Molecules. 2021; 26(16):5107. https://doi.org/10.3390/molecules26165107
Chicago/Turabian StyleApostol, Theodora-Venera, Mariana Carmen Chifiriuc, Constantin Draghici, Laura-Ileana Socea, Luminita Gabriela Marutescu, Octavian Tudorel Olaru, George Mihai Nitulescu, Elena Mihaela Pahontu, Gabriel Saramet, and Stefania-Felicia Barbuceanu. 2021. "Synthesis, In Silico and In Vitro Evaluation of Antimicrobial and Toxicity Features of New 4-[(4-Chlorophenyl)sulfonyl]benzoic Acid Derivatives" Molecules 26, no. 16: 5107. https://doi.org/10.3390/molecules26165107
APA StyleApostol, T.-V., Chifiriuc, M. C., Draghici, C., Socea, L.-I., Marutescu, L. G., Olaru, O. T., Nitulescu, G. M., Pahontu, E. M., Saramet, G., & Barbuceanu, S.-F. (2021). Synthesis, In Silico and In Vitro Evaluation of Antimicrobial and Toxicity Features of New 4-[(4-Chlorophenyl)sulfonyl]benzoic Acid Derivatives. Molecules, 26(16), 5107. https://doi.org/10.3390/molecules26165107

