Synthesis of Azacalixarenes and Development of Their Properties
Abstract
1. Introduction
1.1. General Concepts of the Azacalixarenes and Related Compounds
1.2. The Birth of Azacalixarene
1.3. Nomenclature
2. Synthesis and Structures
2.1. Procedures
2.2. Synthesis and Modification of N-Methyl-Diazacalix[3.1.3.1]arene
2.3. Reaction between Bis(hydroxymethyl)phenols and Diamines
2.4. Synthesis of New Azacalixarenes via Dihydro-1,3-benzoxazines Derivatives [35]
3. Structure of Azacalixarenes
3.1. Intramolecular Hydrogen Bonding and Structure in Solution
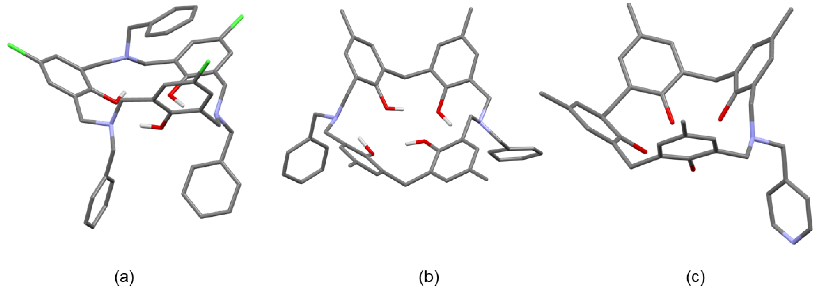
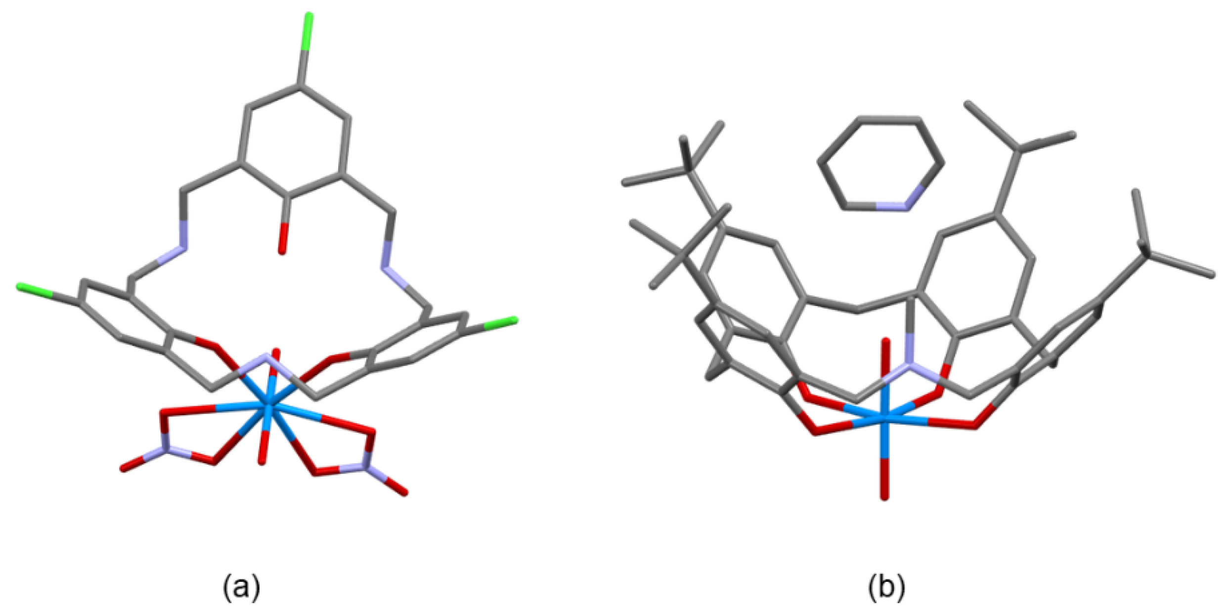
3.2. Crystal Structures of Azacalixarenes and Their Metal Complexes
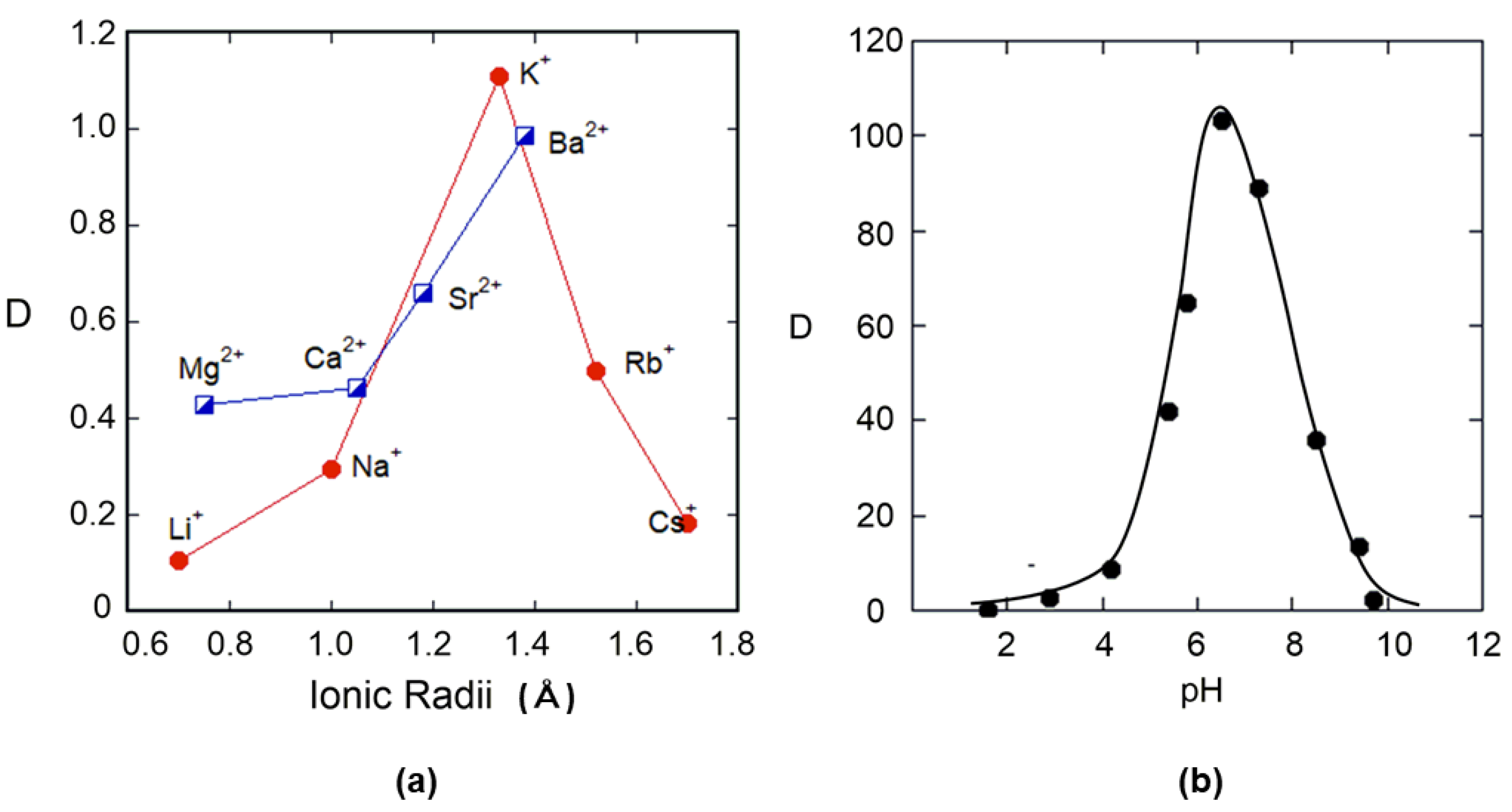
3.3. Complex Formation with Metal Ions
4. Synthesis of Linked Azacalixarenes Using Side Chains
4.1. Supramolecules via Covalent Bonds
4.2. Linkage of Azacalixarenes by Metal Coordination Bonds
5. Inclusion of Neutral Molecules in Azacalixarenes
5.1. C-H∙∙∙π Interaction and Structure in DMF Inclusion Complexes
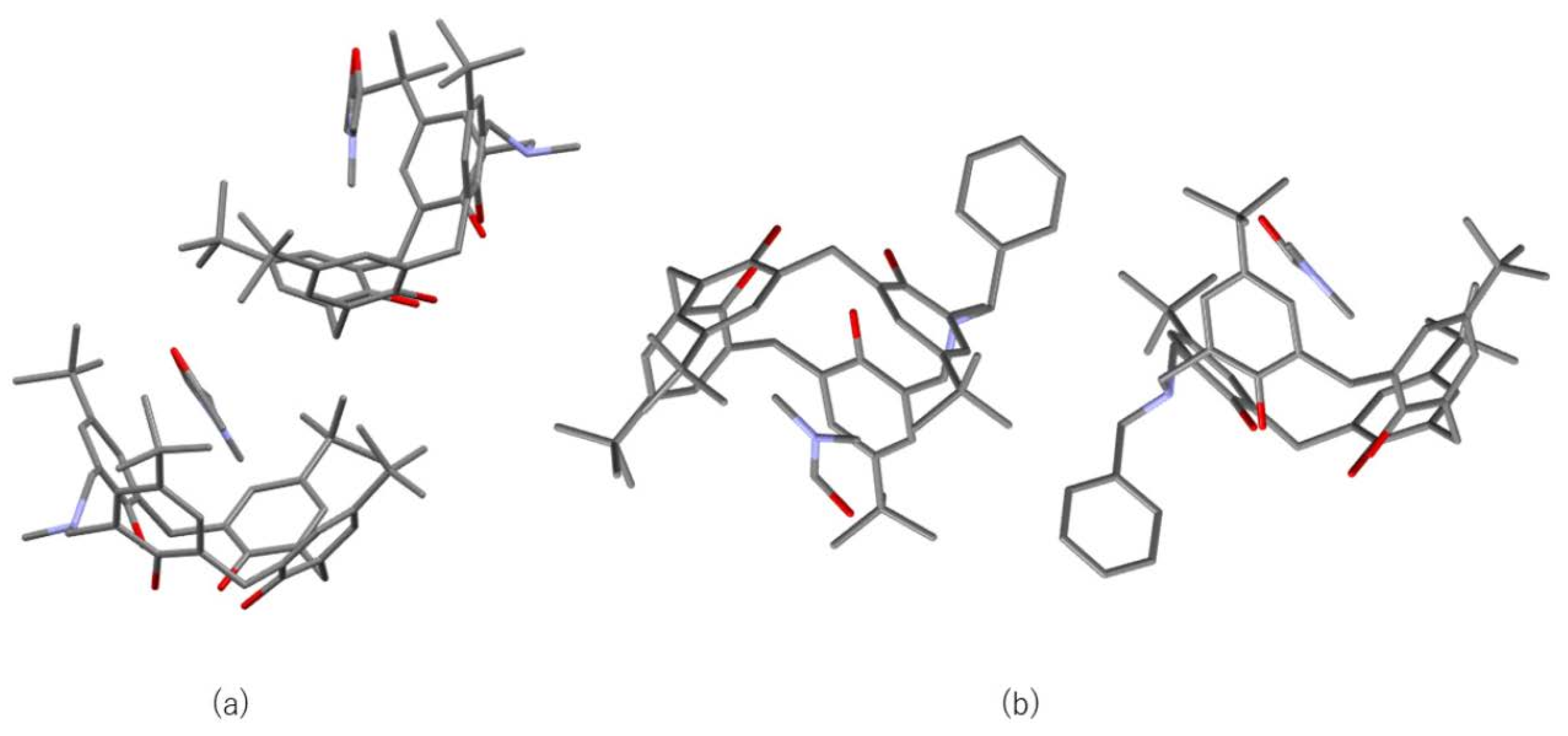
5.2. Self-Inclusion Type Azacalixarenes by CH···π Interaction
6. Conclusions
Funding
Institutional Review Broad Statement
Informed Consent Statement
Data Availability Statement
Conflicts of Interest
Sample Availability
References
- Gutsche, C.D. Calixarenes. In Monographs in Supramolecuar Chemistry; Stoddart, J.F., Ed.; Royal Society of Chemistry: London, UK, 1989. [Google Scholar]
- Gutsche, C.D. Calixarenes revisited. In Monographs in Supramolecuar Chemistry; Stoddart, J.F., Ed.; Royal Society of Chemistry: London, UK, 1998. [Google Scholar]
- Cram, D.J.; Cram, J.M. Container Molecules and Their Guests. In Container Molecules and Their Guests; Royal Society of Chemistry (RSC): London, UK, 1997. [Google Scholar]
- Yamada, M.; RajivGandhi, M.; Kunda, U.M.R.; Hamada, F. Thiacalixarenes: Emergent supramolecules in crystal engineering and molecular recognition. J. Incl. Phenom. Macrocycl. Chem. 2016, 85, 1–18. [Google Scholar] [CrossRef]
- Bi, Y.; Du, S.; Liao, W. Thiacalixarene-based nanoscale polyhedral coordination cages. Coord. Chem. Rev. 2014, 276, 61–72. [Google Scholar] [CrossRef]
- Kumar, R.; Lee, Y.O.; Bhalla, V.; Kumar, M.; Kim, J.S. Recent developments of thiacalixarene based molecular motifs. Chem. Soc. Rev. 2014, 43, 4824–4870. [Google Scholar] [CrossRef]
- Wang, M.-X. Nitrogen and Oxygen Bridged Calixaromatics: Synthesis, Structure, Functionalization, and Molecular Recognition. Acc. Chem. Res. 2011, 45, 182–195. [Google Scholar] [CrossRef] [PubMed]
- Morohashi, N.; Narumi, F.; Iki, N.; Hattori, T.; Miyano, S. Thiacalixarenes. Chem. Rev. 2006, 106, 5291–5316. [Google Scholar] [CrossRef] [PubMed]
- Canard, G.; Edzang, J.A.; Chen, Z.; Chesse, M.; Elhabiri, M.; Giorgi, M.; Siri, O. 1,3-Alternate Tetraamido-Azacalix[4]arenes as Selective Anion Receptors. Chem. Eur. J. 2016, 22, 5756–5766. [Google Scholar] [CrossRef]
- Tsue, H.; Ono, K.; Tokita, S.; Takahashi, H.; Tamura, R. Solid–gas sorption behavior of a new polymorph of azacalix[5]arene pentamethyl ether as controlled by crystal architecture. CrystEngComm 2013, 15, 1536–1544. [Google Scholar] [CrossRef]
- Fang, Y.-X.; Zhao, L.; Wang, D.-X.; Wang, M.-X. Synthesis, Structure and Metal Binding Property of Internally 1,3-Arylene-Bridged Azacalix[6]aromatics. J. Org. Chem. 2012, 77, 10073–10082. [Google Scholar] [CrossRef] [PubMed]
- Katz, J.L.; Tschaen, B.A. Synthesis of Inherently Chiral Azacalix[4]arenes and Diazadioxacalix[4]arenes. Org. Lett. 2010, 12, 4300–4303. [Google Scholar] [CrossRef]
- Lawson, K.V.; Barton, A.C.; Spence, J.D. Synthesis of Diazacalix[8]arene and Triazacalix[12]arene Methyl Ethers via Intramolecular Aryl Amination. Org. Lett. 2009, 11, 895–898. [Google Scholar] [CrossRef]
- Touil, M.; Lachkar, M.; Siri, O. Metal-free synthesis of azacalix[4]arenes. Tetrahedron Lett. 2008, 49, 7250–7252. [Google Scholar] [CrossRef]
- Tsue, H.; Ishibashi, K.; Tokita, S.; Takahashi, H.; Matsui, K.; Tamura, R. Azacalix[6]arene Hexamethyl Ether: Synthesis, Structure, and Selective Uptake of Carbon Dioxide in the Solid State. Chem. Eur. J. 2008, 14, 6125–6134. [Google Scholar] [CrossRef]
- Zhang, E.-X.; Wang, D.-X.; Zheng, Q.-Y.; Wang, M.-X. Synthesis of Large Macrocyclic Azacalix[n]pyridines (n = 6 − 9) and Their Complexation with Fullerenes C60 and C70. Org. Lett. 2008, 10, 2565–2568. [Google Scholar] [CrossRef]
- Ishibashi, K.; Tsue, H.; Tokita, S.; Matsui, K.; Takahashi, A.H.; Tamura, R. RegioselectivelyN-Methylated Azacalix[8]arene Octamethyl Ether Prepared by Catalytic Aryl Amination Reaction Using a TemporalN-Silylation Protocol. Org. Lett. 2006, 8, 5991–5994. [Google Scholar] [CrossRef] [PubMed]
- Tsue, H.; Ishibashi, K.; Takahashi, H.; Tamura, R. Exhaustively Methylated Azacalix[4]arene: Preparation, Conformation, and Crystal Structure with Exclusively CH/π-Controlled Crystal Architecture. Org. Lett. 2005, 7, 2165–2168. [Google Scholar] [CrossRef]
- Konishi, H.; Hashimoto, S.; Sakakibara, T.; Matsubara, S.; Yasukawa, Y.; Morikawa, O.; Kobayashi, K. Synthesis and conformational properties of tetranitroazacalix[4]arenes. Tetrahedron Lett. 2009, 50, 620–623. [Google Scholar] [CrossRef]
- Cottet, K.; Marcos, P.M.; Cragg, P.J. Fifty years of oxacalix[3]arenes: A review. Beilstein J. Org. Chem. 2012, 8, 201–226. [Google Scholar] [CrossRef] [PubMed]
- Maes, W.; Dehaen, W. Oxacalix[n](het)arenes. Chem. Soc. Rev. 2008, 37, 2393–2402. [Google Scholar] [CrossRef]
- Burke, W.J. 3,4-Dihydro-1,3,2H-Benzoxazines. Reaction of p-Substituted Phenols with N,N-Dimethylolamines. J. Am. Chem. Soc. 1949, 71, 609–612. [Google Scholar] [CrossRef]
- Takemura, H.; Yoshimura, K.; Khan, I.U.; Shinmyozu, T.; Inazu, T. The first synthesis and properties of hexahomotriazacalix[3]arene. Tetrahedron Lett. 1992, 33, 5775–5778. [Google Scholar] [CrossRef]
- Ebata, T.; Watanabe, T.; Mikami, N. Evidence for the Cyclic Form of Phenol Trimer: Vibrational Spectroscopy of the OH Stretching Vibrations of Jet-Cooled Phenol Dimer and Trimer. J. Phys. Chem. 1995, 99, 5761–5764. [Google Scholar] [CrossRef]
- Khan, I.U.; Takemura, H.; Suenaga, M.; Shinmyozu, T.; Inazu, T. Azacalixarenes: New macrocycles with dimethyleneaza-bridged calix[4]arene systems. J. Org. Chem. 1993, 58, 3158–3161. [Google Scholar] [CrossRef]
- Takemura, H. Azacalixarenes: Synthesis, Complexation, and Structures. J. Incl. Phenom. Macrocycl. Chem. 2002, 42, 169–186. [Google Scholar] [CrossRef]
- Takemura, H.; Suenaga, M.; Sakai, K.; Kawachi, H.; Shinmyozu, T.; Miyahara, Y.; Inazu, T. Synthesis of (Aza)n[3n]cyclophanes as host molecules. J. Incl. Phenom. Macrocycl. Chem. 1984, 2, 207–214. [Google Scholar] [CrossRef]
- Takemura, H.; Kozima, Y.; Inazu, T. Synthesis of azacalix[4]arene betaine. Tetrahedron Lett. 1999, 40, 6431–6434. [Google Scholar] [CrossRef]
- Ito, K.; Ohba, Y.; Sone, T. Synthesis and Properties of Pentahomothiazacalix[3]arene Derivatives Constructed from Phenol-Formaldehyde Trimer and Aminoethanethiol Unit. Chem. Lett. 1996, 25, 183–184. [Google Scholar] [CrossRef]
- Ito, K.; Ohba, Y.; Sone, T. Synthesis and Properties of Chiral Calixarene Analogs Bridged by a (R,R)-Cystine Unit. Chem. Lett. 1996, 25, 783–784. [Google Scholar] [CrossRef]
- Ito, K.; Kida, A.; Ohba, Y.; Sone, T. Syntheses of Chiral Calixarene Analog Incorporating Amino Acid Residues: Molecular Recognition for a Racemic Ammonium Ion by the Macrocycles. Chem. Lett. 1998, 27, 1221–1222. [Google Scholar] [CrossRef]
- Ito, K.; Yamamori, Y.; Ohta, T.; Ohba, Y. Synthesis and Properties of Chiral Tetrahomodiazacalix[4]- and -[6]arenes Bridged by a Cystine Unit. J. Org. Chem. 2000, 65, 8361–8366. [Google Scholar] [CrossRef] [PubMed]
- Takemura, H.; Tani, K.; Miura, H.; Wen, G.; Shinmyozu, T.; Inazu, T. One-Step Syntheses of p- and m-Xylylene-Bridged Aza-calixarenes and Their Rigid Molecular Skeletons. Supramol. Chem. 1999, 11, 83–91. [Google Scholar] [CrossRef]
- Takemura, H.; Sako, K.; Iwanaga, T.; Tatsumi, A.; Mogami, Y.; Watanabe, H.; Aoki, M.; Yûki, S.; Hayano, Y.; Itaka, M. Synthesis of N,N′-bridged azacalixarenes. Tetrahedron 2018, 74, 1991–2001. [Google Scholar] [CrossRef]
- Takemura, H.; Takahashi, A.; Suga, H.; Fukuda, M.; Iwanaga, T. Synthesis of azacalixarenes via dihydrobenzoxazine derivatives of phenols. Eur. J. Org. Chem. 2011, 2011, 3171–3177. [Google Scholar] [CrossRef]
- Burke, W.J.; Bishop, J.L.; Glennie, E.L.M.; Bauer, W.N. A New Aminoalkylation Reaction. Condensation of Phenols with Dihydro-1,3-aroxazines. J. Org. Chem. 1965, 30, 3423–3427. [Google Scholar] [CrossRef]
- Goward, G.R.; Sebastiani, D.; Schnell, I.; Spiess, H.W.; Kim, A.H.-D.; Ishida, H. Benzoxazine Oligomers: Evidence for a Helical Structure from Solid-State NMR Spectroscopy and DFT-Based Dynamics and Chemical Shift Calculations. J. Am. Chem. Soc. 2003, 125, 5792–5800. [Google Scholar] [CrossRef] [PubMed]
- Yamato, T.; Yasumatsu, M.; Doamekpor, L.K.; Nagayama, S. Synthesis and conformational studies of pentahydroxy[2.1.2.1.1]- and hexahydroxy [2.1.1.1.1.1]metacyclophanes. Eur. J. Org. Chem. 1995, 1995, 285–289. [Google Scholar] [CrossRef]
- Kumagai, H.; Hasegawa, M.; Miyanari, S.; Sugawa, Y.; Sato, Y.; Hori, T.; Ueda, S.; Kamiyama, H.; Miyano, S. Facile synthesis of p-tert-butylthiacalix[4]arene by the reaction of p-tert-butylphenol with elemental sulfur in the presence of a base. Tetrahedron Lett. 1997, 38, 3971–3972. [Google Scholar] [CrossRef]
- Takemura, H.; Shinmyozu, T.; Miura, H.; Khan, I.U.; Inazu, T. Synthesis and properties ofN-substituted azacalix[n]arenes. J. Incl. Phenom. Macrocycl. Chem. 1994, 19, 193–206. [Google Scholar] [CrossRef]
- Miura, H. A Study of Synthesis and Properties of Azacalix[n]arenes. Ph.D. Thesis, Kyushu University, Fukuoka, Japan, 1997. [Google Scholar]
- Miura, H.; Takemura, H.; Kon, N.; Shinmyozu, T.; Inazu, T. Synthesis and Conformational Analysis of N-Methylazacalix[n]arenes. J. Toyota Coll. Technol. 1999, 32, 219–224. [Google Scholar]
- Hampton, P.D.; Tong, W.; Wu, S.; Duesler, E.N. Synthesis, X-ray structure and alkali-metal binding properties of a new hexahomotriazacalix[3]arene. J. Chem. Soc. Perkin Trans. 1996, 2, 1127–1130. [Google Scholar] [CrossRef]
- Thuéry, P.; Takemura, H. A uranyl ion complex of N-methyl-p-tert-butyldihomoammoniocalix[4]arene with diaqua-dipyridine lithium as a counter-ion. Acta Cryst. 2003, C59, 384–386. [Google Scholar]
- Thuéry, P.; Nierlich, M.; Vicens, J.; Takemura, H. Base-induced variation of the coordination mode in a uranyl homoazaca-lixarene complex. Polyhedron 2001, 20, 3183–3187. [Google Scholar] [CrossRef]
- Thuéry, P.; Nierlich, M.; Vicens, J.; Masci, B.; Takemura, H. Oxa- and Azacalixarenes as Ligands for Uranyl Ions − Evidence for Two Different Complexation Modes. Eur. J. Inorg. Chem. 2001, 2001, 637–643. [Google Scholar] [CrossRef]
- Thuéry, P.; Nierlich, M.; Vicens, J.; Takemura, H. Complexes of ytterbium(III) nitrate and triflate with homoazacalix[n]arenes (n = 3, 4). Polyhedron 2000, 19, 2673–2678. [Google Scholar] [CrossRef]
- Thuéry, P.; Nierlich, M.; Vicens, J.; Takemura, H. Crystal structure of p-chloro-N-benzylhexahomotriazacalix[3]arene and of the complex of its zwitterionic form with neodymium(III) nitrate. J. Chem. Soc. Dalton Trans. 2000, 279–283. [Google Scholar] [CrossRef]
- Takemura, H.; Mogami, Y.; Okayama, K.; Nagashima, N.; Orioka, K.; Hayano, Y.; Kobayashi, A.; Iwanaga, T.; Sako, K. Synthesis and structures of N-(4-picolyl)azacalix[4]arene and its bridged derivatives. J. Incl. Phenom. Macrocycl. Chem. 2019, 95, 235–246. [Google Scholar] [CrossRef]
- Tabushi, I.; Kobuke, Y.; Nishiya, T.; Tabushi, Y.K.I. Extraction of uranium from seawater by polymer-bound macrocyclic hexaketone. Nat. Cell Biol. 1979, 280, 665–666. [Google Scholar] [CrossRef]
- Khan, S.; Singh, J.D.; Mahajan, R.K.; Sood, P. Synthesis of lariat organochalcogenoethers based on azacalix[3]arenes for the potentiometric detection of [UO2]2+ ions. Tetrahedron Lett. 2007, 48, 3605–3608. [Google Scholar] [CrossRef]
- Khan, S.; Maheshwari, M.; Singh, J.D. Organochalcogen-Supported Azacalix[3]arenes as Membrane Sensor for Potentiometric Determination of Uranyl Ions. Phosphorus Sulfur Silicon Relat. Elements 2008, 183, 961–965. [Google Scholar] [CrossRef]
- Nishio, M.; Hirota, M.; Umezawa, Y. The CH/π Interaction, Evidence, Nature, and Consequences; Wiley-VCH: New York, NY, USA, 1998. [Google Scholar]
- Umezawa, Y.; Tsuboyama, S.; Takahashi, H.; Uzawa, J.; Nishio, M. CH/p interaction in the conformation of organic compounds. A database study. Tetrahedron 1999, 55, 10047–10056. [Google Scholar] [CrossRef]
- Desiraju, G.R.; Steiner, T. The Weak Hydrogen Bond in Structural Chemistry and Biology; Oxford University Press: Oxford, UK, 1999. [Google Scholar] [CrossRef]
- Suezawa, H.; Ishihara, S.; Umezawa, Y.; Tsuboyama, S.; Nishio, M. The Aromatic CH/π Hydrogen Bond as an Important Factor in Determining the Relative Stability of Diastereomeric Salts Relevant to Enantiomeric Resolution—A Crystallographic Database Study. Eur. J. Org. Chem. 2004, 2004, 4816–4822. [Google Scholar] [CrossRef]
- Umezawa, Y.; Nishio, M. CH/pi interactions as demonstrated in the crystal structure of guanine-nucleotide binding proteins, Src homology-2 domains and human growth hormone in complex with their specific ligands. Bioorg. Med. Chem. 1998, 6, 493–504. [Google Scholar] [CrossRef]
- Tóth, G.; Kövér, K.E.; Murphy, R.F.; Lovas, S. Aromatic−Backbone Interactions in α-Helices. J. Phys. Chem. B 2004, 108, 9287–9296. [Google Scholar] [CrossRef]
- Umezawa, Y.; Nishio, M. CH/π interactions in the crystal structure of TATA-box binding protein/DNA complexes. Bioorg. Med. Chem. 2000, 8, 2643–2650. [Google Scholar] [CrossRef]
- Brandl, M.; Weiss, M.S.; Jabs, A.; Sühnel, J.; Hilgenfeld, R. C-H···pi-interactions in proteins. J. Mol. Biol. 2001, 307, 357–377. [Google Scholar] [CrossRef]
- Suezawa, H.; Yoshida, T.; Umezawa, Y.; Tsuboyama, S.; Nishio, M. CH/π Interactions Implicated in the Crystal Structure of Transition Metal Compounds—A Database Study. Eur. J. Inorg. Chem. 2002, 2002, 3148–3155. [Google Scholar] [CrossRef]
- Zhao, R.; Matsumoto, S.; Akazome, M.; Ogura, K. Supramolecular architecture of metal-lustrous inclusion crystals based on aromatic CH–π interaction: Versatile inclusion of 1-(p-ethoxyphenyl)-2-(2-thienyl)-5-[5-(tricyanoethenyl)-2-thienyl]pyrrole host with various electron-rich aromatic guest molecules. Tetrahedron 2002, 58, 10233–10241. [Google Scholar] [CrossRef]
- Sénèque, O.; Giorgi, M.; Reinaud, O. Bio-inspired Calix[6]Arene–Zinc Funnel Complexes. Supramol. Chem. 2003, 15, 573–580. [Google Scholar] [CrossRef]
- Reger, D.L.; Semeniuc, R.; Smith, M. Structurally adaptive multitopic ligands containing tris(pyrazolyl)methane units as supramolecular synthons: Manganese carbonyl complexes. J. Organomet. Chem. 2003, 666, 87–101. [Google Scholar] [CrossRef]
- Reger, D.; Watson, R.; Smith, M.; Pellechia, P.J. Bitopic Phenylene-Linked Bis(pyrazolyl)methane Ligands: Preparation and Supramolecular Structures of Hetero- and Homobimetallic Complexes Incorporating Organoplatinum(II) and Tricarbonylrhenium(I) Centers. Organometallics 2005, 24, 1544–1555. [Google Scholar] [CrossRef]
- Hopkins, J.B.; Powers, D.E.; Smalley, R.E. Vibrational relaxation in jet-cooled alkyl benzenes. I. Absorption spectra. J. Chem. Phys. 1980, 72, 5039–5048. [Google Scholar] [CrossRef]
- Hopkins, J.B.; Powers, D.E.; Mukamel, S.; Smalley, R.E. Vibrational relaxation in jet-cooled alkyl benzenes. II. Fluorescence spectra. J. Chem. Phys. 1980, 72, 5049–5061. [Google Scholar] [CrossRef]
- Breen, P.J.; Warren, J.A.; Bernstein, E.R.; Seeman, J.I. Torsional motion in aromatic molecules. Conformational analysis of methyl-, ethyl-, and n-propylbenzenes. J. Am. Chem. Soc. 1987, 109, 3453–3455. [Google Scholar] [CrossRef]
- Breen, P.J.; Warren, J.A.; Bernstein, E.R.; Seeman, J.I. A study of nonrigid aromatic molecules by supersonic molecular jet spectroscopy. II. Propyltoluenes. J. Chem. Phys. 1987, 87, 1927–1935. [Google Scholar] [CrossRef]
- Dickinson, J.A.; Joireman, P.W.; Kroemer, R.T.; Robertson, E.G.; Simons, J.P. Conformationally induced transition moment rotations in the S1←S0 electronic spectra of n-propylbenzene and n-butylbenzene. J. Chem. Soc. Faraday Trans. 1997, 93, 1467–1472. [Google Scholar] [CrossRef]
- Weiss, H.-C.; Boese, R.; Smith, H.L.; Haley, M.M. CH···π versus CH···Halogen interactions—The crystal structures of the 4-halogenoethynylbenzenes. Chem. Commun. 1997, 24, 2403–2404. [Google Scholar] [CrossRef]
- Galoppini, E.; Gilardi, R. Weak hydrogen bonding between acetylenic groups: The formation of diamondoid nets in the crystal structure of tetrakis(4-ethynylphenyl)methane. Chem. Commun. 1999, 2, 173–174. [Google Scholar] [CrossRef]
- Ramos, C.; Winter, P.R.; Steams, J.A.; Zwier, T.S. The Spectroscopic Consequences of C−H···π H-Bonding: C6H6−(C4H2)n Clusters with n = 1 and 2. J. Phys. Chem. A 2003, 107, 10280–10287. [Google Scholar] [CrossRef]
- Ugozzoli, F.; Arduini, A.; Massera, C.; Pochini, A.; Secchi, A. CH/π interaction between benzene and model neutral organic molecules bearing acid CH groups. New J. Chem. 2002, 26, 1718–1723. [Google Scholar] [CrossRef]
- Chervenkov, S.; Wang, P.; Braun, J.E.; Chakraborty, T.; Neusser, H.J. Evidence for a C–H⋯π type weak interaction: 1:1 complex of styrene with acetylene studied by mass selective high-resolution UV spectroscopy and ab initio calculations. Phys. Chem. Chem. Phys. 2007, 9, 837–845. [Google Scholar] [CrossRef]
- Umezawa, Y.; Tsuboyama, S.; Honda, K.; Uzawa, J.; Nishio, M. CH/πInteraction in the Crystal Structure of Organic Compounds. A Database Study. Bull. Chem. Soc. Jpn. 1998, 71, 1207–1213. [Google Scholar] [CrossRef]
- Takemura, H.; Iwanaga, T.; Shinmyozu, T. Structures and C–H⋯π interactions in DMF inclusion complexes of homoazacalix[4]arenes. Tetrahedron Lett. 2005, 46, 6687–6690. [Google Scholar] [CrossRef]
- Mead, T.E. Heats of neutralization and relative strengths of amines in benzene. J. Phys. Chem. 1962, 66, 2149–2154. [Google Scholar] [CrossRef]
- Darbost, U.; Giorgi, M.; Reinaud, O.; Jabin, I. A NovelC3v-Symmetrical Calix[6](aza)cryptand with a Remarkably High and Selective Affinity for Small Ammoniums. J. Org. Chem. 2004, 69, 4879–4884. [Google Scholar] [CrossRef] [PubMed]
- Thuéry, P.; Gil, J.T.; Yamato, T. Crystal Structures of Uranyl Ion Complexes of Tetrahydroxy[3.1.3.1]metacyclophane (Homocalix[4]arene). Supramol. Chem. 2003, 15, 359–365. [Google Scholar] [CrossRef]
- Thondorf, I.; Broda, F.; Rissanen, K.; Vysotsky, M.; Böhmer, V. Dimeric capsules of tetraurea calix[4]arenes. MD simulations and X-ray structure, a comparison. J. Chem. Soc. Perkin Trans. 2002, 2, 1796–1800. [Google Scholar] [CrossRef]
- Bottino, A.; Cunsolo, F.; Piattelli, M.; Gavuzzo, E.; Neri, P. Three-component supramolecular self-assembly based on a 5,5′-bicalix[4]arene exoditopic receptor. Tetrahedron Lett. 2000, 41, 10065–10069. [Google Scholar] [CrossRef]
- Van duynhoven, J.P.M.; Janssen, R.G.; Verboom, W.; Franken, S.M.; Casnati, A.; Pochini, A.; Ungaro, R.; De mendoza, J.; Nieto, P.M.; Prados, P.; et al. Control of Calix[6]arene Conformations by Self-Inclusion of 1,3,5-Tri-O-alkyl Sub-stituents: Synthesis and NMR Studies. J. Am. Chem. Soc. 1994, 116, 5814–5822. [Google Scholar] [CrossRef][Green Version]
- Novoa, J.J.; Mota, F. The C–H⋯π bonds: Strength, identification, and hydrogen-bonded nature: A theoretical study. Chem. Phys. Lett. 2000, 318, 345–354. [Google Scholar] [CrossRef]
- Tsuzuki, S.; Honda, K.; Uchimaru, T.; Mikami, M.; Tanabe, K. Origin of the Attraction and Directionality of the NH/π Interaction: Comparison with OH/π and CH/π Interactions. J. Am. Chem. Soc. 2000, 122, 11450–11458. [Google Scholar] [CrossRef]
- Shibasaki, K.; Fujii, A.; Mikami, N.; Tsuzuki, S. Magnitude of the CH/π Interaction in the Gas Phase: Experimental and Theoretical Determination of the Accurate Interaction Energy in Benzene-methane. J. Phys. Chem. A 2006, 110, 4397–4404. [Google Scholar] [CrossRef]
- Shibasaki, K.; Fujii, A.; Mikami, N.; Tsuzuki, S. Magnitude and Nature of Interactions in Benzene−X (X = Ethylene and Acetylene) in the Gas Phase: Significantly Different CH/π Interaction of Acetylene as Compared with Those of Ethylene and Methane. J. Phys. Chem. A 2007, 111, 753–758. [Google Scholar] [CrossRef] [PubMed]
- Ehama, R.; Tsushima, M.; Yuzuri, T.; Suezawa, H.; Sakakibara, K.; Hirota, M. Substituent Effect on the Enthalpies of Formation of CH/π Complexes of Aromatic π-Bases. Bull. Chem. Soc. Jpn. 1993, 66, 814–818. [Google Scholar] [CrossRef]
- Arena, G.; Contino, A.; Magrì, A.; Sciotto, D.; Arduini, A.; Pochini, A.; Secchi, A. Energetics of the Inclusion of Organic Molecules by Rigidified Cone Calix[4]arenes in Carbon Tetrachloride. Supramol. Chem. 2001, 13, 379–386. [Google Scholar] [CrossRef]
- Caciuffo, R.G.M.; Galeazzi, R.; Horsewill, A.; Ikram, A.; Ugozzoli, F. Measurements of host-guest interaction energies in a calixarene supramolecular complex. Phys. Rev. B 1999, 60, 11867–11870. [Google Scholar] [CrossRef]
- Aoyama, T.; Matsuoka, O.; Nakagawa, N. Ab initio Hartree—Fock calculations on acetylene dimer. Chem. Phys. Lett. 1979, 67, 508–510. [Google Scholar] [CrossRef]
- Takagi, T.; Tanaka, A.; Matsuo, S.; Maezaki, H.; Tani, M.; Fujiwara, H.; Sasaki, Y. Computational studies on CH/π interactions. J. Chem. Soc. Perkin Trans. 1987, 2, 1015–1018. [Google Scholar] [CrossRef]
- Sakaki, S.; Kato, K.; Miyazaki, T.; Musashi, Y.; Ohkubo, K.; Ihara, H.; Hirayama, C. Structures and binding energies of benzene–methane and benzene–benzene complexes. An ab initio SCF/MP2 study. J. Chem. Soc. Faraday Trans. 1993, 89, 659–664. [Google Scholar] [CrossRef]
- Philp, D.; Robinsonm, J.M.A. A computational investigation of cooperativity in weakly hydrogen-bonded assemblies. J. Chem. Soc. Perkin Trans. 1998, 2, 1643–1650. [Google Scholar] [CrossRef]
- Ran, J.; Wong, M.W. Saturated Hydrocarbon−Benzene Complexes: Theoretical Study of Cooperative CH/π Interactions. J. Phys. Chem. A 2006, 110, 9702–9709. [Google Scholar] [CrossRef]
- Bautista-Ibáñez, L.; Ramírez-Gualito, K.; Quiroz-García, B.; Rojas, A.; Cuevas, G. Calorimetric Measurement of the CH/π Interaction Involved in the Molecular Recognition of Saccharides by Aromatic Compounds. J. Org. Chem. 2008, 73, 849–857. [Google Scholar] [CrossRef]
- Ramírez-Gualito, K.; Alonso-Ríos, R.; Quiroz-García, B.; Rojas, A.; Diaz, D.; Jimenez-Barbero, J.; Cuevas, G. Enthalpic Nature of the CH/π Interaction Involved in the Recognition of Carbohydrates by Aromatic Compounds, Confirmed by a Novel Interplay of NMR, Calorimetry, and Theoretical Calculations. J. Am. Chem. Soc. 2009, 131, 18129–18138. [Google Scholar] [CrossRef] [PubMed]































| Yields (%) | |||||
|---|---|---|---|---|---|
| R | X | 6 | 7 | ||
![]() | a | ![]() | Me | 38 | 58.3 |
| b | Br | 36 | ─ | ||
| c | Cl | 37 | ─ | ||
| d | ![]() | Me | 29 | 30.9 | |
| e | ![]() | Cl | 96 | 81.1 | |
| f | ![]() | Cl | 43 | 87.8 | |
| g | ![]() | Br | ─ | 28.1 | |
| h | ![]() | Br | 36 | 36.8 | |
| i | ![]() | Me | 53 | ─ | |
| j | ![]() | Me | ─ | 38.4 | |
| k | ![]() | Me | ─ | 48.1 | |
| Compounds | νOH (KBr, cm−1) | δOH (CDCl3, ppm) | ∆G (CDCl3, kcalmol−1) |
|---|---|---|---|
| p-tert-butylcalix[4]arene | 3164 | 10.2 | 15.7 |
| p-tert-butylcalix[6]arene | 3127 | 10.5 | 13.3 |
| p-tert-butylcalix[8]arene | 3258 | 9.6 | 15.7 |
| p-tert-butyldihomooxacalix[4]arene | 3300 | 9.0, 9.7 | 12.9 |
| p-tert-butyl-thiacalix[4]arene [39] | 3138 | 10.34 | − |
| p-tert-butyltetrahomodioxacalix[4]arene | 3700 | 9.0 | 11.9 |
| p-tert-butylhexahomotrioxacalix[3]arene | 3410 | 8.5 | <9 |
| p-tert-butyldihomoazacalix[4]arene | 2700 | 11.6 | 17.8 * |
| p-methyltetrahomodiazacalix[4]arene | 3000 | 10.7 | 14.4 |
| p-methylhexahomotriazacalix[3]arene | 2800 | 11.2 | <9 |
Publisher’s Note: MDPI stays neutral with regard to jurisdictional claims in published maps and institutional affiliations. |
© 2021 by the author. Licensee MDPI, Basel, Switzerland. This article is an open access article distributed under the terms and conditions of the Creative Commons Attribution (CC BY) license (https://creativecommons.org/licenses/by/4.0/).
Share and Cite
Takemura, H. Synthesis of Azacalixarenes and Development of Their Properties. Molecules 2021, 26, 4885. https://doi.org/10.3390/molecules26164885
Takemura H. Synthesis of Azacalixarenes and Development of Their Properties. Molecules. 2021; 26(16):4885. https://doi.org/10.3390/molecules26164885
Chicago/Turabian StyleTakemura, Hiroyuki. 2021. "Synthesis of Azacalixarenes and Development of Their Properties" Molecules 26, no. 16: 4885. https://doi.org/10.3390/molecules26164885
APA StyleTakemura, H. (2021). Synthesis of Azacalixarenes and Development of Their Properties. Molecules, 26(16), 4885. https://doi.org/10.3390/molecules26164885











