Efficient Regioselective Synthesis of Novel Condensed Sulfur–Nitrogen Heterocyclic Compounds Based on Annulation Reactions of 2-Quinolinesulfenyl Halides with Alkenes and Cycloalkenes
Abstract
1. Introduction
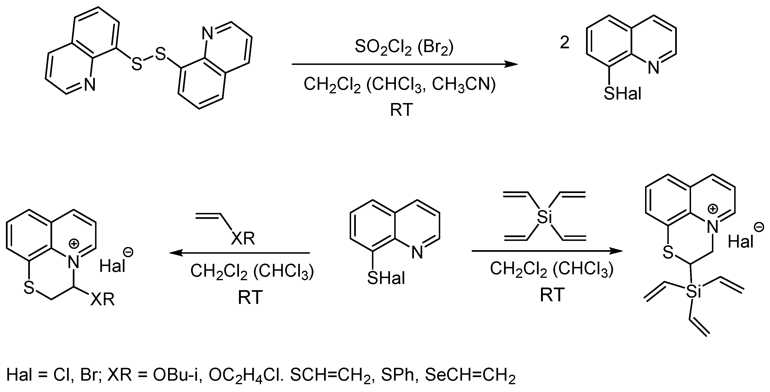
2. Results and Discussion
3. Experimental Section
3.1. General Information
3.2. Synthesis of Compounds 4–11 by the Reactions of 2-Quinolinesulfenyl Chloride 2 and Bromide 3 with Alkenes
3.3. Synthesis of Compounds 12–15 by the Reactions of Quinolinesulfenyl Chloride 2 and Bromide 3 with Cycloalkenes
3.4. Synthesis of Compounds 16 and 17 by the Reactions of Quinolinesulfenyl Chloride 2 with Styrene and Isoeugenol
4. Conclusions
Supplementary Materials
Author Contributions
Funding
Institutional Review Board Statement
Informed Consent Statement
Data Availability Statement
Acknowledgments
Conflicts of Interest
Sample Availability
References
- Gomtsyan, A. Heterocycles in drugs and drug discovery. Chem. Heterocyclic Compd. 2012, 48, 7–10. [Google Scholar] [CrossRef]
- Feng, M.; Tang, B.; Liang, S.H.; Jiang, X. Sulfur Containing Scaffolds in Drugs: Synthesis and Application in Medicinal Chemistry. Curr. Top. Med. Chem. 2016, 16, 1200–1216. [Google Scholar] [CrossRef] [PubMed]
- Weyesa, A.; Mulugeta, E. Recent advances in the synthesis of biologically and pharmaceutically active quinoline and its analogues: A review. RSC Adv. 2020, 10, 20784–20793. [Google Scholar] [CrossRef]
- Chung, P.-Y.; Bian, Z.-X.; Pun, H.-Y.; Chan, D.; Chan, A.S.-C.; Chui, C.-H.; Tang, J.C.-O.; Lam, K.-H. Recent advances in research of natural and synthetic bioactive quinolines. Future Med. Chem. 2015, 7, 947–967. [Google Scholar] [CrossRef] [PubMed]
- Kumar, S.; Bawa, S.; Gupta, H. Biological activities of quinoline derivatives. Mini Rev. Med. Chem. 2009, 9, 1648–1654. [Google Scholar] [CrossRef] [PubMed]
- Raut, K.; Thombare, R.; Zagade, P.; Kumbhar, N. Different biological activities of quinoline. World J. Pharm. Res. 2020, 9, 674–689. [Google Scholar]
- Abass, M.; Alzandi, A.R.A.; Hassan, M.M.; Mohamed, N. Recent Advances on Diversity Oriented Heterocycle Synthesis of Fused Quinolines and Its Biological Evaluation. Polycycl. Arom. Comp. 2020, 40, 1710856. [Google Scholar] [CrossRef]
- Shiro, T.; Fukaya, T.; Tobe, M. The chemistry and biological activity of heterocycle-fused quinolinone derivatives: A review. Eur. J. Med. Chem. 2015, 97, 397–408. [Google Scholar] [CrossRef]
- Vitaku, E.; Smith, D.T.; Njardarson, J.T. Analysis of the Structural Diversity, Substitution Patterns, and Frequency of Nitrogen Heterocycles among U.S. FDA Approved Pharmaceuticals. J. Med. Chem. 2014, 57, 10257–10274. [Google Scholar] [CrossRef]
- McKee, D.L.; Sternberg, A.; Stange, U.; Laufer, S.; Naujokat, C. Candidate drugs against SARS-CoV-2 and COVID-19. Pharmacol. Res. 2020, 157, 104859. [Google Scholar] [CrossRef]
- Wagman, A.S.; Moser, H.E.; Mcenroe, G.A.; Aggen, J.B.; Linsell, M.S.; Goldblum, A.A.; Griffin, J.H. Fluoroquinolone Analogs as Antibacterial Agents and Their Preparation and Use in the Treatment of Bacterial Infection. Patent WO 2011031745, 9 September 2009. [Google Scholar]
- Dinakaran, M.; Senthilkumar, P.; Yogeeswari, P.; China, A.; Nagaraja, V.; Sriram, D. Synthesis, antimycobacterial activities and phototoxic evaluation of 5H-thiazolo[3,2-a]quinoline-4-carboxylic acid derivatives. Med. Chem. 2008, 4, 482–491. [Google Scholar] [CrossRef]
- Potemkin, V.A.; Grishina, M.A.; Belik, A.V.; Chupakhin, O.N. Quantitative relationship between structure and antibacterial activity of quinolone derivatives. Pharmaceut. Chem. J. 2002, 36, 22–25. [Google Scholar] [CrossRef]
- Ozaki, M.; Segawa, J.; Kitano, M.; Tomii, Y.; Honmura, T.; Matsuda, M.; Kise, M.; Nishino, T. Structure-antibacterial activity and cytotoxicity relationships of thiazolo and thiazetoquinolone derivatives. Biolog. Pharm. Bull. 1996, 19, 1457–1462. [Google Scholar] [CrossRef] [PubMed][Green Version]
- Klopman, G.; Wang, S.; Jacobs, M.R.; Bajaksouzian, S.; Edmonds, K.; Ellner, J.J. Anti-mycobacterium avium activity of quinolones: In vitro activities. Antimicrob. Agents Chemother. 1993, 37, 1799–1806. [Google Scholar] [CrossRef][Green Version]
- Segawa, J.; Kitano, M.; Kazuno, K.; Tsuda, M.; Shirahase, I.; Ozaki, M.; Matsuda, M.; Kise, M. Studies on pyridonecarboxylic acids. 2. Synthesis and antibacterial activity of 8-substituted 7-fluoro-5-oxo-5H-thiazolo[3,2-a]quinoline-4-carboxylic acids. J. Heterocycl. Chem. 1992, 29, 1117–1123. [Google Scholar] [CrossRef]
- Ohta, M.; Koga, H. Three-dimensional structure-activity relationships and receptor mapping of N1-substituents of quinolone antibacterials. J. Med. Chem. 1991, 34, 131–139. [Google Scholar] [CrossRef]
- Sauter, F.; Jordis, U.; Rudolf, M.; Wieser, J.; Baumann, K. Preparation of Bicyclic Substituted Quinolonecarboxylic Acid Derivatives, Useful as Antibacterial Pharmaceuticals. Patent DE 3721745, 1 July 1987. [Google Scholar]
- Sauter, F.; Jordis, U.; Rudolf, M.; Wieser, J.; Baumann, K. 4-Quinolone-3-carboxylic Acid Derivatives, Process for Their Synthesis and Pharmaceutical Preparations Containing Them. Patent EP 251308, 1 July 1987. [Google Scholar]
- Enomoto, H.; Kise, M.; Ozaki, M.; Kitano, M.; Morita, I. Preparation and Formulation of Quinolonecarboxylic Acid Derivatives as Antibacterials. U.S. Patent 4659734, 15 August 1983. [Google Scholar]
- Mich, T.F.; Sanchez, J.P. Antibacterial Thiazoloquinoline- and Thiazolonaphthyridinecarboxylates. U.S. Patent 4550104, 20 July 1984. [Google Scholar]
- Hosomi, J.; Asahina, Y.; Suzue, S. Preparation of Thiazoloquinolonecarboxylic Acid Derivatives and Their Pharmaceutical Compositions as Antitumor Agents. Patent WO 8912055, 7 June 1989. [Google Scholar]
- Hromas, R.; Leitao, A.; Oprea, T.I.; Sklar, L.A.; Williamson, E.A.; Wray, J. Metnase and Intnase Inhibitors and Their Use in Treating Cancer. Patent WO 2010114919, 31 March 2010. [Google Scholar]
- Nakayama, K.; Takeda, Y.; Haginoya, N.; Naito, H.; Mochizuki, A.; Saitou, M.; Odagiri, T.; Shibata, Y.; Tsunemi, T.; Shimazaki, N. Preparation of Tricyclic 5-Aminoquinolone Derivatives as Glycogen Synthase Kinase 3 Inhibitors. Patent WO 2014003098, 27 June 2013. [Google Scholar]
- Tsumiki, M.; Miki, I.; Sato, S.; Shimada, J.; Suzuki, F. Preparation of Quinolones as Allergy and Cancer Metastasis Inhibitors and Anti-Inflammatory Drugs. Patent JP 09278780, 9 April 1996. [Google Scholar]
- Nenortas, E.; Kulikowicz, T.; Burri, C.; Shapiro, T.A. Antitrypanosomal activities of fluoroquinolones with pyrrolidinyl substitutions. Antimicrob. Agents Chemother. 2003, 47, 3015–3017. [Google Scholar] [CrossRef] [PubMed]
- Wakita, K.; Shimazaki, N.; Iwasaki, S. Combination of gsk3 Inhibitor and Anti-DR5 Antibody for Cancer Therapy. Patent WO 2014050779, 24 September 2013. [Google Scholar]
- Musalov, M.V.; Yakimov, V.A.; Potapov, V.A.; Amosova, S.V.; Borodina, T.N.; Zinchenko, S.V. A novel methodology for the synthesis of condensed selenium heterocycles based on the annulation and annulation–methoxylation reactions of selenium dihalides. New J. Chem. 2019, 43, 18476–18483. [Google Scholar] [CrossRef]
- Musalov, M.V.; Potapov, V.A. Selenium dihalides: New possibilities for the synthesis of selenium-containing heterocycles. Chem. Heterocycl. Compd. 2017, 53, 150–152. [Google Scholar] [CrossRef]
- Accurso, A.A.; Cho, S.-H.; Amin, A.; Potapov, V.A.; Amosova, S.V.; Finn, M.G. Thia-, Aza-, and Selena[3.3.1]bicyclononane Dichlorides: Rates vs Internal Nucleophile in Anchimeric Assistance. J. Org. Chem. 2011, 76, 4392–4395. [Google Scholar] [CrossRef]
- Potapov, V.A.; Amosova, S.V.; Abramova, E.V.; Lyssenko, K.A.; Musalov, M.V.; Finn, M.G. Transannular Addition of Selenium Dichloride and Dibromide to 1,5-Cyclooctadiene: Synthesis of 2,6-Dihalo-9-selenabicyclo[3.3.1]nonanes and Their Complexes with Selenium Dihalides. New J. Chem. 2015, 39, 8055–8059. [Google Scholar] [CrossRef]
- Potapov, V.A.; Amosova, S.V.; Kashik, A.S. Reactions of selenium and tellurium metals with phenylacetylene in 3-phase catalytical systems. Tetrahedron Lett. 1989, 30, 613–616. [Google Scholar] [CrossRef]
- Potapov, V.A.; Volkova, K.A.; Penzik, M.V.; Albanov, A.I.; Amosova, S.V. Reaction of selenium dichloride with divinyl selenide. Russ. J. Org. Chem. 2008, 44, 1556–1557. [Google Scholar] [CrossRef]
- Potapov, V.A.; Malinovich, D.A.; Amosova, S.V.; Rusakov, Y.Y.; Bhasin, K.K. Reaction of 2-pyridylselenenyl bromide with divinyl selenide. Chem. Heterocycl. Comp. 2012, 48, 1129–1131. [Google Scholar] [CrossRef]
- Potapov, V.A.; Musalova, M.V.; Ishigeev, R.S.; Musalov, M.V.; Panov, V.A.; Khabibulina, A.G.; Amosova, S.V.; Bhasin, K.K. Efficient and selective syntheses of novel unsaturated chalcogen-containing pyridine derivatives. Tetrahedron Lett. 2016, 57, 5341–5343. [Google Scholar] [CrossRef]
- Potapov, V.A.; Ishigeev, R.S.; Amosova, S.V.; Borodina, T.N. Synthesis of a novel family of water-soluble 2H,3H-[1,3]thia- and -selenazolo[3,2-a]pyridin-4-ium heterocycles by annulation reactions. Tetrahedron Lett. 2019, 60, 475–479. [Google Scholar] [CrossRef]
- Potapov, V.A.; Ishigeev, R.S.; Amosova, S.V. Synthesis of 3-(2-oxopyrrolidin-1-yl)-2H,3H-[1,3]selenazolo[3,2-a]pyridin-4-ium chloride. Russ. J. Org. Chem. 2017, 53, 1604–1605. [Google Scholar] [CrossRef]
- Potapov, V.A.; Ishigeev, R.S.; Amosova, S.V. Regioselective Reaction of Pyridine-2-Sulfenyl Chloride with Isoeugenole. Russ. J. Org. Chem. 2018, 54, 1262–1263. [Google Scholar]
- Potapov, V.A.; Ishigeev, R.S.; Shkurchenko, I.V.; Zinchenko, S.V.; Amosova, S.V. Natural compounds and their structural analogs in regio- and stereoselective synthesis of new families of water-soluble 2H,3H-[1,3]thia- and -selenazolo[3,2-a]pyridin-4-ium heterocycles by annulation reactions. Molecules 2020, 25, 376. [Google Scholar] [CrossRef]
- Potapov, V.A.; Ishigeev, R.S.; Amosova, S.V. Efficient Regioselective Synthesis of Novel Water-Soluble 2H,3H-[1,4]thiazino[2,3,4-ij]quinolin-4-ium Derivatives by Annulation Reactions of 8-quinolinesulfenyl Halides. Molecules 2021, 26, 1116. [Google Scholar] [CrossRef]
- Ishigeev, R.S.; Potapov, V.A.; Skurchenko, I.V.; Khabibulina, A.G.; Amosova, S.V. Chemistry of Synthesis of new polycyclic compounds via the reaction of quinoline-8-sulfenyl halides with cyclic alkenes. Chem. Heterocycl. Comp. 2021, 57, 314–319. [Google Scholar] [CrossRef]
- Samuilov, Y.D.; Gainullin, V.I.; Solov’eva, S.E.; Konovalov, A.I. Reactivity of styrenes toward electrophilic addition of phenylsulfenyl chloride. Zhurnal Organicheskoi Khimii 1988, 24, 795–803. (In Russian) (Chem. Abstr. 1988, 109, 189586) [Google Scholar]
- Koval’, I.V. Sylfenyl chlorides in organic synthesis. Russ. Chem. Rev. 1995, 64, 731–751. [Google Scholar] [CrossRef]
- Rasteikiene, L.; Greiciute, D.; Lin’kova, M.G.; Knunyants, I.L. The Addition of Sulphenyl Chlorides to Unsaturated Compounds. Russ. Chem. Rev. 1977, 46, 548–564. [Google Scholar] [CrossRef]
- Smit, V.A.; Zefirov, N.S.; Bodrikov, I.V.; Krimer, M.Z. Episulfonium ions: Myth and reality. Acc. Chem. Res. 1979, 12, 282–288. [Google Scholar] [CrossRef]
- Abu-yousef, I.A.; Harpp, D.N. New Sulfenyl Chloride Chemistry: Synthesis, Reactions and Mechanisms toward Carbon-Carbon Double Bonds. Sulfur Rep. 2003, 24, 255–282. [Google Scholar] [CrossRef]
- Denmark, S.E.; Vogler, T. Synthesis and Reactivity of Enantiomerically Enriched Thiiranium Ions. Chem. Eur. J. 2009, 15, 11737–11745. [Google Scholar] [CrossRef]
- Denmark, S.E.; Collins, W.R.; Cullen, M.D. Observation of Direct Sulfenium and Selenenium Group Transfer from Thiiranium and Seleniranium Ions to Alkenes. J. Am. Chem. Soc. 2009, 131, 3490–3492. [Google Scholar] [CrossRef] [PubMed]
- Soloshonok, V.A.; Nelson, D.J. Alkene selenenylation: A comprehensive analysis of relative reactivities, stereochemistry and asymmetric induction, and their comparisons with sulfenylation. Beilstein J. Org. Chem. 2011, 7, 744–758. [Google Scholar] [CrossRef]
- Mueller, W.H.; Butler, P.E. Orientational effects in the addition of acetylthiosulfenyl chloride to olefins. J. Org. Chem. 1967, 32, 2925–2929. [Google Scholar] [CrossRef]
- Kharasch, N.; Potempa, S.J.; Wehrmeister, H.L. The sulfenic acids and their derivatives. Chem. Rev. 1946, 39, 269–332. [Google Scholar] [CrossRef] [PubMed]
- Koval’, I.V. S-Cationoid reagents in organic synthesis. Russ. Chem. Rev. 1995, 64, 141–166. [Google Scholar] [CrossRef]
- Mueller, W.H.; Butler, P.E. Reaction of sulfenyl chlorides with allene. J. Org. Chem. 1968, 33, 1533–1537. [Google Scholar] [CrossRef]
- Huang, J.; Hu, G.; An, S.; Chen, D.; Li, M.; Li, P. Synthesis of N-Alkylpyridin-4-ones and Thiazolo[3,2-a]pyridin-5-ones through Pummerer-Type Reactions. J. Org. Chem. 2019, 84, 9758–9769. [Google Scholar] [CrossRef]
- Chorell, E.; Das, P.; Almqvist, F. Diverse Functionalization of Thiazolo Ring-Fused 2-Pyridones. J. Org. Chem. 2007, 72, 4917–4924. [Google Scholar] [CrossRef] [PubMed]











Publisher’s Note: MDPI stays neutral with regard to jurisdictional claims in published maps and institutional affiliations. |
© 2021 by the authors. Licensee MDPI, Basel, Switzerland. This article is an open access article distributed under the terms and conditions of the Creative Commons Attribution (CC BY) license (https://creativecommons.org/licenses/by/4.0/).
Share and Cite
Potapov, V.A.; Ishigeev, R.S.; Amosova, S.V. Efficient Regioselective Synthesis of Novel Condensed Sulfur–Nitrogen Heterocyclic Compounds Based on Annulation Reactions of 2-Quinolinesulfenyl Halides with Alkenes and Cycloalkenes. Molecules 2021, 26, 4844. https://doi.org/10.3390/molecules26164844
Potapov VA, Ishigeev RS, Amosova SV. Efficient Regioselective Synthesis of Novel Condensed Sulfur–Nitrogen Heterocyclic Compounds Based on Annulation Reactions of 2-Quinolinesulfenyl Halides with Alkenes and Cycloalkenes. Molecules. 2021; 26(16):4844. https://doi.org/10.3390/molecules26164844
Chicago/Turabian StylePotapov, Vladimir A., Roman S. Ishigeev, and Svetlana V. Amosova. 2021. "Efficient Regioselective Synthesis of Novel Condensed Sulfur–Nitrogen Heterocyclic Compounds Based on Annulation Reactions of 2-Quinolinesulfenyl Halides with Alkenes and Cycloalkenes" Molecules 26, no. 16: 4844. https://doi.org/10.3390/molecules26164844
APA StylePotapov, V. A., Ishigeev, R. S., & Amosova, S. V. (2021). Efficient Regioselective Synthesis of Novel Condensed Sulfur–Nitrogen Heterocyclic Compounds Based on Annulation Reactions of 2-Quinolinesulfenyl Halides with Alkenes and Cycloalkenes. Molecules, 26(16), 4844. https://doi.org/10.3390/molecules26164844

