Plant-Derived Pesticides as an Alternative to Pest Management and Sustainable Agricultural Production: Prospects, Applications and Challenges
Abstract
1. Introduction
2. Plant Derived Insecticides That Affect the Nervous System
2.1. Voltage-Gated Sodium Channels
2.2. Voltage-Gated Calcium Channels
2.3. Acetylcholinesterase Enzyme (AChE)
2.4. Nicotinic Acetylcholine Receptors
2.5. GABA-Gated Chloride Channels
2.6. Octopamine Receptors
3. Plant Derived Insecticides That Affect Respiratory or Energy System
4. Plant Derived Insecticides That Affect the Endocrine System
5. Plant Derived Insecticides That Affect the Water Balance
6. Other Classes of Pesticides
7. Repellents
8. Attractants
9. Antifeedants or Deterrents
10. Phytotoxines or Herbicides
11. Phototoxins
12. Discussion
| Product Name | Toxicity | Mammalian Toxicity (LD50 (mg/kg bw)) | Reference | Mechanism of Action | Reference |
|---|---|---|---|---|---|
| Azadirachtin | IGR, R | 13000 (Orally) | [116] | Prothoracicotropic hormone (PTTH) inhibitor; phagostimulant disruptor by cholinergic transmission reduction | [60] |
| Nicotine | C | 50 (Orally) | [116] | Acetylcholine mimic; agonist of nicotinic acetylcholine receptor | [35] |
| Rotenone | S | 350 (Orally) | [116] | Complex I inhibitor of the mitochondrial respiratory chain | [24,49] |
| Pyrethrins I and II | C, S | 1200 (Orally) | [116] | Voltage-gated Sodium channels modulator | [21] |
| Ryania | C, S | 750 (Orally) | [116] | Activation of sarcoplasmic reticulum calcium channels (ryanodine channels) | [11,29] |
| Sabadilla | C, S | 5000 (Orally) | [116] | Voltage-gated Sodium channels modulator | [27] |
| trans-Cinnamaldeyde | C | 1160 (Orally) | [116] | Inhibitor of β-(1,3)-glucan synthase and chitin synthase | [117] |
| 1,8 cineole | C, F | 2480 (Orally) | [116] | AChE inhibitor | [31] |
| Eugenol | C, F | 500 (Orally) | [116] | Agonist of octopamine receptor | [47] |
| Citronella oil | C, F | 7200 (Orally) | [89] | Inhibition of (AChE) and glutathione-S-transferase | [118] |
| Thujone | C, F | 230 (Orally) | [119] | Allosteric reversible modulator of GABAA receptors | [24,38,120] |
| Terthiophene | C | 110 (intraperitoneally) | [121] | Light activated phototoxin. Activated species Oxygen generator | [102] |
| Palm kernel crude oil | C | >5000 (orally) | [122] | Disturbance of water balance caused by disruption of the protective waxy covering of insects | [1] |
| Compound/Trade Name | Plant Species | Class | Mode of Action | Targets | References |
|---|---|---|---|---|---|
| Nervous system: Voltage-gated sodium channels | |||||
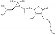
![]() Pyrethrin I | Tanacetum cinerariifolium (Trevir.) Sch. Bip. (Asteraceae) | Cyclopropylmonoterpene esters | Insecticidal | Spider mites; flies; fleas; beetles | [23,24] |
![]() Pyrethrin II | T. cinerariifolium | Cyclopropylmonoterpene esters | Insecticidal | Spider mites; flies; fleas; beetles | [23,24] |
![]() Himachalol | Cedrus deodara (Roxb. ex D. Don) G. Don (Pinaceae) | Sesquiterpene | Insecticidal | Pulse beetle (Callosobruchus analis Fabriciuss) and Housefly (Musca domestica L.) | [123] |
![]() β-Himachalene | C. deodara | Sesquiterpene | Insecticidal | Pulse beetle (Callosobruchus analis.) and Housefly (Musca domestica) | [123] |
![]() Decaleside II | Decalepis hamiltonii Wight and Arn. (Apocynaceae) | Trisaccharide | Insecticidal | Houseflies; cockroaches; stored grain pests | [25] |
![]() Decaleside I | D. hamiltonii | Trisaccharide | Insecticidal | Houseflies; cockroaches; stored grain pests | [25] |
![]() Cevadine R = (z)-CH3CH=C(CH3)CO Veratridine R = 3,4-(CH3O)2PhCO | Schoenocaulon officinale (Schltdl. and Cham.) A. Gray ex Benth. (Melanthiaceae) | Sabadilla alkaloid or Veratrum alkaloid | Insecticidal | Stinks, leafhoppers, caterpillars; leafhoppers; housefly (Musca domestica) and thrips (Scirtothrips spp.) | [11,26,27,124] |
| Nervous system: Voltage-gated calcium channels | |||||
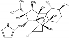
![]() Ryanodine | Ryania speciosa Vahl (Salicaceae) | Diterpene | Insecticidal | Caterpillars; worms; potato beetle; lace bugs; aphids and squash bugs | [11,29] |
| Acetylcholinesterase | |||||
![]() (Coumaran)2,3-dihydrobenzofuran | Lantana camara L. (Verbenaceae) | Benzofuran | Insecticidal | Stored grain pests (Sitophilus oryzae L.; Tribolium castaneum herbst); Housefly pests (Musca domestica) | [30] |
![]() 1,8-Cineole (Eucalyptol) | Eucalyptus globulus Labill. (Myrtaceae) | Monoterpene | Insecticidal | Head lice (Pediculus humanus capitis De geer) | [31] |
| Nicotinic acetylcholine receptors | |||||
![]() Nicotine | Nicotiana tabacum Velloso (Solanaceae) | Pyridine Alkaloid | Insecticidal Antifungal | Aphids; thrips; mites; leaf hoppers; spider mites; fungus | [24] |
| GABA-gated chloride channels | |||||
![]() Thujone | Artemisia absinthium L. (Asteraceae); Juniperus sp. (Cupressaceae); Cedrus sp. (Pinaceae) | Monoterpene | Larvicidal | Western corn rootworm larvae (Diabrotica virgifera) | [38] |
| Insecticidal | Fruit fly (Drosophila melanogaster Meigen) | ||||
![]() Carvacrol | ** | Monoterpene | Insecticidal | Periplaneta americana L. | [39] |
![]() Thymol | ** | Monoterpene | Insecticidal | Periplaneta americana | [39] |
![]() Pulegone | ** | Monoterpene | Insecticidal | Periplaneta americana | [39] |
| Octopamine receptors | |||||
![]() Eugenol | Syzygium aromaticum (L.) Merr. and L.M. Perry (Myrtaceae) | Monoterpene | Herbicidal | Cassia occidentalis and Biden spilosa | [90] |
| Insecticidal Repellent | Blood-sucking bug Triatoma infestans (Klug); fruit fly (Drosophila melanogaster (Meigen); American cockroach (Periplaneta americana) | [46,47,48] | |||
| Respiratory or energy system | |||||
![]() Rotenone | Lonchocarpus Kunth (Fabaceae); Derris Lour (Fabaceae); Rhododendron L. (Ericaceae) | Isoflavonoid/Rotenoid | Insecticidal; Piscicidal | Beetles; caterpillars; lice; mosquitoes; ticks; fleas; fire ants | [24,125] |
| Endocrine system | |||||
![]() Azadirachtin | Azadirachta indica A. Juss. (Meliaceae) | Tetranortriterpenoid limonoid | Repellent; Antifeedant; Nematicidal; Sterilant; Antifungal; Insect Growth Regulator | Dandruffs eczema; stored grain pests; aphids; caterpillars; thrips; mealy bugs | [2,26,60,77,78,126] |
![]() 2’-Benzoyloxycinnamaldehyde (2’-BCA) | Pleuropterus ciliinervis Nakai (Polygonaceae) | Aromatic aldehyde | Antifungal | Saccharomyces cerevisiae Meyen ex Hansen. | [62] |
![]() Precocene I (7-methoxy-2,2-dimethylchromene) | Ageratum conyzoides L. (Asteraceae) | Chromene | IGR | Sawtoothed grain beetle (Oryzaephilus surinamensis L.); Milkweed bug (Oncopeltus fasciatu Dallas); Noctuid moth (Spodoptera litura Fabricius); Parasitic wasp (Microplitis rufiventris Nees) | [127,128,129,130] |
![]() Precocene II (6,7-dimethoxy-2,2-dimethylchromene) | A. conyzoides | Chromene | IGR | Desert locust (Schistocerca gregaria Forskål); Milkweed bug (Oncopeltus fasciatus Dallas); Noctuid moth (Spodoptera litura Fabricius); Parasitic wasp (Microplitis rufiventris Nees) | [128,129,130,131] |
![]() α-amyrin acetate | Catharanthus roseus (L.) G. Don (Apocynaceae) | Steroid | IGR | Helicoverpa armigera Hübner | [54] |
![]() Oleanolic acid | Catharanthus roseus (L.) G.Don (Apocynaceae) | Steroid | IGR | Helicoverpa armigera | [54] |
| Antifeedants | |||||
![]() (−)Kau-16-en-19-oic acid | Xylopia aethiopica (Dunal) A. Rich. (Annonaceae) | Kaurane diterpene | Antifeedant | Termites (Reticulitermes speratus Kolbe) | [79] |
![]() 15-epi-4E-jatrogrossidentadione | Jatropha podagrica Hook. (Euphorbiaceae) | Diterpene | Antifeedant | Moth (Chilo partellu Swinhoes) | [2] |
![]() 11-Acetoxy-5-isobutyryloxysilphinen-3-one | Senecio palmensis C. Sm. (Asteraceae) | Silphinene sesquiterpene | Antifeedant | Colorado potatobeetle (Leptinotarsa decemlineata Say);Aphids (Myzus persicae Sulzer, Diuraphis noxia Kurdjumov, Rhopalosiphum padi L., Metopolophium dirhodum Walker, Sitobiona venae Fabricius) | [40] |
![]() Thymol | Thymus vulgaris L. (Lamiaceae) | Monoterpene | Antifeedant | Colorado potato beetle (Leptinotarsa decemlineata);Aphids (Myzus persicae, Diuraphis noxia, Rhopalosiphum padi, Metopolophium dirhodum, Sitobiona venae) | [40] |
![]() Linamarin | Lotus corniculatus L. (Fabaceae); Trifolium repens L. (Fabaceae) | Cyanogenic glycoside | Antifeedant | Snails (Arianta arbustorum L. and Helix aspersa O.F. Müller; slugs (Agriolimax reticulates O.F. Müller); lemmings (Lemmus lemmus L.); aphids (Aphis craecivora Koch, Nearctaphis bakeri Cowen ex Gillette and Baker) | [84] |
![]() (–)-homopterocarpin | Pterocarpus macrocarpus Kurz (Fabaceae) | Isoflavonoid/Pterocarpan | Antifeedant | Common cutworm (Spodoptera litura F.) and the subterranean termite (Reticulitermes speratus) | [81] |
![]() Asimicin | Asimina triloba (L.) Dunal (Annonaceae) | Polyketide/Acetogenin | Insecticidal; Antifeedant | Mexican bean beetle (Epilachna varivestis Mulsant); striped cucumber beetle (Acalymma bivittatum Fabricius); two-spotted spider mite (Tetranychus urticae Koch); melon aphid (Aphis gossyphii Glover) | [82,83] |
| Nematicidal | Caenorhabditis elegans (Maupas) | ||||
| Larvicidal | Blowfly larvae (Calliphora vicina Robineau-Desvoidy); mosquito larvae (Aedes aegypti) | ||||
| Repellents | |||||
![]() Nepetalactone | Nepeta cataria L. (Lamiaceae) | Monoterpene lactone | Repellent | Mosquitoes (Aedes aegypti); bees;lady beetle; cockroaches; flies; termites | [68,69,70] |
![]() Tectoquinone | Tectona grandis L. f. (Lamiaceae) | Anthraquinone | Repellent | Termites (Cryptotermes brevis Walker and Reticulitermes flavipes Kollar) | [71,72,132] |
![]() Alstonine | Alstonia boonei De Wild. (Apocynaceae) | Indoloquinolizidine alkaloid | Repellent; Larvicidal | Mosquito (Anopheles gambiae Giles) | [73] |
| Attractants | |||||
![]() Limonene | Pinus strobes D. Don (Pinaceae) | Monoterpene | Attractant | White pine cone beetle (Conophthorus coniperda Schwarz) | [75] |
![]() (–)-α–Pinene | P. strobus | Monoterpene | Attractant | Enoclerus nigripes Say | [75] |
![]() (E)-β-caryophyllene | Zea mays L. (Poaceae) | Sesquiterpene | Attractant | Nematodes (Heterorhabditis megidis Poinar, Jackson and Klein), natural enemy/parasite of corn root worm (Diabrotica virgifera Leconte) | [76] |
| Phytotoxins | |||||
![]() Juglone | Juglans nigra L. (Juglandaceae) | Naphtoquinone | Herbicidal | Echinochloa crus-galli L.; Amaranthus retroflexus L.; Abutilon theopharasti Medik | [91,92] |
![]() 5,6-dihydroxycadinan-3-ene-2,7-dione | Eupatorium adenophorum Spreng. (Asteraceae) | Cadinane sesquiterpene | Herbicidal | Arabidopsis thaliana (L.) Heynh | [95] |
![]() m-Tyrosine | Poaceae spp. | Amino acid | Herbicidal | Weeds | [93] |
![]() Tryptophan | Prosopis juliflora (Sw.) (Fabaceae) | Amino acid | Herbicidal | Barnyard grass (Echinochloa crus-galli L.) | [133] |
![]() (−)-Catechin | Centaurea stoebe L. (Asteraceae) | Flavanol | Herbicidal | Koeleria macrantha (Ledeb.) Schult., and Festuca idahoensis Elmer | [96] |
![]() Citronellol | Cymbopogon citratus (DC.) Stapf (Poaceae) | Monoterpene | Herbicidal | Cassia occidentalis L. | [90] |
![]() (E,E)-2,4-undecadien-8,10-diynoic acid isobutylamide | Acmella oleracea (L.) R. K. Jansen (Asteraceae) | Isobutylamide | Herbicidal | Cress (Lepidum sativum L.) and barnyard grass (Echinochloa crus-galli (L.) P. Beauv) | [98] |
![]() Nona-(2Z)-en-6,8-diynoic acid 2-phenylethylamide | A. oleracea | Phenylethylamide | Herbicidal | Cress (Lepidum sativum) and barnyard grass (Echinochloa crus-galli) | [98] |
| Antifungals | |||||
![]() Lawsone | Lawsonia inermis L. (Lythraceae) | Naphtoquinone | Antifungal | Alternaria solani (Fr.) Keissl.; Alternaria tenuis Nees; Aspergilus niger Tieghem; Aspergilus wentii Whemer; Absidia ramosa (Zopf) Vuil; Absidia corymbifera Cohn; Acrophialophora fusispora (S.B. Saksena) Samson; Circinella umbellate Tiegh. and G. Le Monn | [134] |
![]() Lapachol | Tabebuia serratifolia (Vahl) G. Nicholson (Bignoniaceae) | Naphtoquinone | Antifungal; Larvicidal | Aedes aegypti; Gloeophyllum trabeum ATCC 11539; Trametes versicolor (L.) Lloyd | [135,136] |
![]() Phaseollin | Z. mays | Isoflavonoid/Pterocarpan | Antifungal | Botrytis cinerea Pers.; Colletotrichum lindemuthianum (Sacc. and Magnus) Briosi and Cavara,; Fusarium solani Mart.; Rhizoctonia solani J. G. Kühn and Thielaviopsis basicola (Berk. and Broome) Ferraris | [137,138] |
![]() Phaseollidin | Z. mays | Isoflavonoid/Pterocarpan | Antifungal | Botrytis cinerea; Colletotrichum lindemuthianum; Fusarium solani; Rhizoctonia solani and Thielaviopsis basicola | [137,138] |
![]() Medicarpin | Medicago sativa L. (Fabaceae) | Isoflavonoid/Pterocarpan | Antifungal | Colletotrichum phomoide (Sacc.) Chester.; Stemphylium loti J.H. Graham,; Stemphylium botryosum Walroth; Phoma herbarum Westendorp; Leptosphaeria briossiana (Higgings) and Cladosporium cladosporoides (Fresen.) G.A. de Vries | [137,138] |
![]() Resveratrol | Polygonum cuspidatum Siebold and Zucc. (Polygonaceae) | Polyphenol/Stilbene | Anti-viral | Tobacco Mosaic Virus (TMV) | [97] |
| Antifungal | Alternaria solani; Botrytis cinerea; Fusarium graminearum Schwabe; Phytophthora capsici Leonian; Phytophthora infestans (Mont.) de Bary; Rhizoctonia solani J.G. Kühn; Sclerotinia sclerotiorum (Lib.) (Y. Nisik. and C. Miyake) Shoemaker, Rhizoctonia cerealis D. I. Murray and Burpee; Watermelon anthracnose | ||||
| Herbicidal | Digitaria sanguinalis (L.) Scop.; Echinochloa crus-galli | ||||
| Insecticidal | Oriental armyworm (Mythimna separata Walker); Cotton bollworm (Helicoverpa armigera); Corn borer (Ostrinia nubilalis Hubner) | ||||
![]() 2H-chromen-2-one | Lavandula angustifolia Mill. (Lamiaceae) | Polyphenol/Coumarin | Antibacterial | Ralstonia solanacearum Smith | [139] |
![]() Trans-Cinnamaldehyde | Cinnamomi cortex J. Presl (Lauraceae) | Aromatic aldehyde | Antifungal | Saccharomyces cerevisiae | [117] |
| Phototoxins | |||||
![]() Terthiophene | Tagetes minuta L. (Asteraceae) | Thiophene | Nematicidal | Nematodes | [103] |
| Insecticidal | Tobacco hornworm (Manduca sexta); Lepidopteran (Pieris rapae L.); housefly (Musca domestica); Red flower beetle (Tribolium casteneum Herbst); mosquito larvae (Aedes atropalpus, Aedes aegypti and Aedes intrudens) | ||||
![]() 3-methyl-3-phenyl-1,4-pentadiyne | Artemisia monosperma Delile (Asteraceae) | Substituted Acetylene | Insecticidal | Housefly (Musca domestica) and Cotton Leaf worm (Spodoptera littoralis Boisduval) | [102] |
13. Conclusions
Funding
Institutional Review Board Statement
Informed Consent Statement
Acknowledgments
Conflicts of Interest
References
- Walia, S.; Saha, S.; Rana, V. Phytochemical Pesticides. In Advances in Plant Biopesticides; Singh, D., Ed.; Springer: New Delhi, India, 2014; pp. 295–322. [Google Scholar]
- Okwute, S.K. Plants as Potential Sources of Pesticidal Agents: A Review. In Pesticides—Advances in Chemical and Botanical Pesticides, 1st ed.; eBook; Soundararajan, R.P., Ed.; IntechOpen: London, UK, 2012; pp. 207–232. [Google Scholar]
- Sharma, S.; Kooner, R.; Arora, R. Insect Pests and Crop Losses. In Breeding Insect Resistant Crops for Sustainable Agriculture; Arora, R., Sandhu, S., Eds.; Springer: Singapore, 2017; pp. 45–66. [Google Scholar]
- Jarman, W.K.; Ballschmiter, K. From coal to DDT: The history of the development of the pesticide DDT from synthetic dyes till Silent Spring. Endeavour 2012, 36, 131–142. [Google Scholar] [CrossRef] [PubMed]
- Rattner, B.A. History of wildlife toxicology. Ecotoxicology 2009, 18, 773–783. [Google Scholar] [CrossRef]
- Multigner, L.; Ndong, J.R.; Giusti, A.; Romana, M.; Delacroix-Maillard, H.; Cordier, S.; Jégou, B.; Thome, J.P.; Blanchet, P. Chlordecone Exposure and Risk of Prostate Cancer. J. Clin. Oncol. 2010, 28, 3457–3462. [Google Scholar] [CrossRef] [PubMed]
- de Boer, J.; Leslie, H.; van Leeuwen, S.P.J.; Wegener, J.W.; van Bavel, B.; Lindström, G.; Lahoutifard, N.; Fiedler, H. United Nations Environment Programme Capacity Building Pilot Project—Training and interlaboratory study on persistent organic pollutant analysis under the Stockholm Convention. Anal. Chim. Acta 2008, 617, 208–215. [Google Scholar] [CrossRef] [PubMed]
- Multigner, L.; Kadhel, P.; Rouget, F.; Blanchet, P.; Cordier, S. Chlordecone exposure and adverse effects in French West Indies populations. Environ. Sci. Pollut. Res. 2016, 23, 3–8. [Google Scholar] [CrossRef] [PubMed]
- Boucher, O.; Simard, M.N.; Muckle, G.; Rouget, F.; Kadhel, P.; Bataille, H.; Cordier, S. Exposure to an organochlorine pesticide (chlordecone) and development of 18-month-old infants. Neurotoxicology 2013, 35, 162–168. [Google Scholar] [CrossRef] [PubMed]
- Cabidoche, Y.-M.; Achard, R.; Cattan, P.; Clermont-Dauphin, C.; Massat, F.; Sansoulet, J. Long-term pollution by chlordecone of tropical volcanic soils in the French West Indies: A simple leaching model accounts for current residue. Environ. Pollut. 2009, 157, 1697–1705. [Google Scholar] [CrossRef]
- Shivanandappa, T.; Rajashekar, Y. Mode of Action of Plant-Derived Natural Insecticides. In Advances in Plant Biopesticides, 1st ed.; Singh, D., Ed.; Springer: New Delhi, India, 2014; pp. 323–345. [Google Scholar]
- Panagiotis, J.S.; Brokaki, M.; Stathas, G.J.; Demopoulos, V.; Giannis, L.; Margaritopoulos, J.T. Lethal and sub-lethal effects of imidacloprid on the aphidophagous coccinellid hippodamia variegate. Chemosphere 2019, 229, 392–400. [Google Scholar]
- Gibbons, D.; Morrissey, C.; Mineau, P. A review of the direct and indirect effects of neonicotinoids and fipronil on vertebrate wildlife. Environ. Sci. Pollut. Res. 2015, 22, 103–118. [Google Scholar] [CrossRef]
- Hermawan, W.; Nakajima, S.; Tsukuda, R.; Fujisaki, K.; Nakasuji, F. Isolation of an Antifeedant Compound from Andrographis paniculata (Acanthaceae) against the Diamondback Moth, Plutella xylostella (Lepidoptera: Yponomeutidae). Appl. Entomol. Zool. 1997, 32, 551–559. [Google Scholar] [CrossRef]
- Miresmailli, S.; Isman, M.B. Botanical insecticides inspired by plant–herbivore chemical interactions. Trends Plant Sci. 2014, 19, 29–35. [Google Scholar] [CrossRef]
- Arora, N.K.; Verma, M.; Jai rakash, J.; Mishra, J. Regulation of Biopesticides: Global Concerns and Policies; Springer: New Delhi, India, 2016. [Google Scholar]
- Friedich, K.; Rodriguez da Silveira, G.; Costa Amazonas, J.; Monte Gurgel, A.; Soares de Almeida, V.; Sarpa, M. International regulatory situation of pesticides authorized for use in Brazil: Potential for damage to health and environmental impacts. Cad. Saúde Pública 2021, 37, e00061820. [Google Scholar]
- Rajashekar, Y.; Gunasekaran, N.; Shivanandappa, T. Insecticidal activity of the root extract of Decalepishamiltonii against stored-product insect pests and its application in grain protection. J. Food Sci. Technol. 2010, 47, 310–314. [Google Scholar] [CrossRef]
- Yao, Y.; Cai, W.; Yang, C.; Xue, D.; Huang, Y. Isolation and characterization of insecticidal activity of (Z)-asarone from Acorus calamus L. Insect Sci. 2008, 15, 229–236. [Google Scholar] [CrossRef]
- Isman, M. Botanical Insecticides, Deterrents, and Repellents in Modern Agriculture and an Increasingly Regulated World. Annu. Rev. Entomol. 2006, 51, 45–66. [Google Scholar] [CrossRef]
- Du, Y.; Nomura, Y.; Satar, G.; Hu, Z.; Nauen, R.; He, S.; Zhorov, B.; Dong, K. Molecular evidence for dual pyrethroid-receptor sites on a mosquito sodium channel. Proc. Natl. Acad. Sci. USA 2013, 110, 11785–11790. [Google Scholar] [CrossRef] [PubMed]
- Casida, J.E.; Quistad, G.B. Pyrethrum Flowers: Production, Chemistry, Toxicology, and Uses, 1st ed.; Oxford University Press: Oxford, UK, 1995. [Google Scholar]
- Casida, J.; Quistad, G. Golden age of insecticide research: Past, present, or future? Annu. Rev. Entomol. 1998, 43, 1–16. [Google Scholar] [CrossRef] [PubMed]
- Rattan, R.S. Mechanism of action of insecticidal secondary metabolites of plant origin. Crop. Prot. 2010, 29, 913–920. [Google Scholar] [CrossRef]
- Rajashekar, Y.; Rao, L.; Shivanandappa, T. Decaleside: A new class of natural insecticide targeting tarsal gustatory sites. Die Nat. 2012, 99, 843–852. [Google Scholar] [CrossRef] [PubMed]
- Copping, L.G.; Duke, S.O. Natural products that have been used commercially as crop protection agents. Pest Manag. Sci. 2007, 63, 524–554. [Google Scholar] [CrossRef] [PubMed]
- Hare, J.; Morse, J. Toxicity, Persistence, and Potency of Sabadilla Alkaloid Formulations to Citrus Thrips (Thysanoptera: Thripidae). J. Econ. Entomol. 1997, 90, 326–332. [Google Scholar] [CrossRef]
- Nauen, R. Insecticide mode of action: Return of the ryanodine receptor. Pest Manag. Sci. 2006, 62, 690–692. [Google Scholar] [CrossRef]
- Bloomquist, J.R. Insecticides: Chemistries and Characteristics. In Radcliffe’s IPM World Textbook, 2nd ed.; University of Minesota: St. Paul, MI, USA, 1999. [Google Scholar]
- Rajashekar, Y.; Raghavendra, A.; Bakthavatsalam, N. Acetylcholinesterase Inhibition by Biofumigant (Coumaran) from Leaves of Lantana camara in Stored Grain and Household Insect Pests. BioMed Res. 2014, 2014, 187019. [Google Scholar]
- Picollo, M.I.; Toloza, A.C.; Mougabure Cueto, G.; Zygadlo, J.; Zerba, E. Anticholinesterase and pediculicidal activities of monoterpenoids. Fitoterapia 2008, 79, 271–278. [Google Scholar] [CrossRef] [PubMed]
- Hansen, M.R.H.; Jørs, E.; Sandbæk, A.; Sekabojja, D.; Ssempebwa, J.C.; Mubeezi, R.; Staudacher, P.; Fuhrimann, S.; Sigsgaard, T.; Burdorf, A.; et al. Organophosphate and carbamate insecticide exposure is related to lung function change among smallholder farmers: A prospective study. Thorax 2021, 76, 780–789. [Google Scholar] [CrossRef]
- Khorshid, M.A.; Hassan, A.F.; Abd El- Gawad, M.; Enab, A.K. Effect of some Plants and Pesticides on Acetylcholinesterase. Am. J. Food Technol. 2015, 10, 93–99. [Google Scholar] [CrossRef]
- Isman, M.; Tak, J.H. Inhibition of acetylcholinesterase by essential oils and monoterpenoids: A Relevant mode of action for insecticidal essential oils? Biopestic. Int. 2017, 13, 71–78. [Google Scholar]
- Green, B.; Welch, K.; Panter, K.; Lee, S. Plant Toxins That Affect Nicotinic Acetylcholine Receptors: A Review. Chem. Res. Toxicol. 2013, 26, 1129–1138. [Google Scholar] [CrossRef] [PubMed]
- Elbert, A.; Nauen, R.; Cahill, M.; Devonshire, A.L.; Scarr, A.; Sone, S.; Steffens, R. Resistance management for chloronicotinyl insecticides using imidacloprid as an example. Pflanzenschutz Nachr. Bayer 1996, 49, 5–54. [Google Scholar]
- Tomizawa, M.; Casida, J.E. Neonicotinoid insecticide toxicology: Mechanisms of selective action. Annu. Rev. Pharmacol. Toxicol. 2005, 45, 247–268. [Google Scholar] [CrossRef] [PubMed]
- Höld, K.; Sirisoma, N.; Ikeda, T.; Narahashi, T.; Casida, J. α-Thujone (the active component of absinthe): γ—Aminobutyric acid type A receptor modulation and metabolic detoxification. Proc. Natl. Acad. Sci. USA 2000, 97, 3826–3831. [Google Scholar] [CrossRef] [PubMed]
- Tong, F.; Coats, J.R. Effects of monoterpenoid insecticides on [3H]-TBOB binding in house fly GABA receptor and 36Cl− uptake in American cockroach ventral nerve cord. Pestic. Biochem. Physiol. 2010, 98, 317–324. [Google Scholar] [CrossRef]
- González-Coloma, A.; Valencia, F.; Martín, N.; Hoffmann, J.J.; Hutter, L.; Marco, J.A.; Reina, M. Silphinene Sesquiterpenes as Model Insect Antifeedants. J. Chem. Ecol. 2002, 28, 117–129. [Google Scholar] [CrossRef] [PubMed]
- Mullin, C.A.; González-Coloma, A.; Gutiérrez, C.; Reina, M.; Eichenseer, H.; Hollister, B.; Chyb, S. Antifeedant Effects of Some Novel Terpenoids on Chrysomelidae Beetles: Comparisons with Alkaloids on an Alkaloid-Adapted and Nonadapted Species. J. Chem. Ecol. 1997, 23, 1851–1866. [Google Scholar] [CrossRef]
- Roeder, T. Tyramine and octopamine: Ruling Behavior and Metabolism. Annu. Rev. Entomol. 2005, 50, 447–477. [Google Scholar] [CrossRef] [PubMed]
- Farooqui, T. Review of octopamine in insect nervous system. Open Access Insect Physiol. 2012, 4, 1. [Google Scholar] [CrossRef]
- Evans, P.D. Multiple receptor types for octopamine in the locust. J. Physiol. 1981, 318, 99–122. [Google Scholar] [CrossRef] [PubMed]
- Evans, P.D. Molecular studies on insect octopamine receptors. EXS 1993, 63, 286–296. [Google Scholar] [PubMed]
- Kostyukovsky, M.; Rafaeli, A.; Gileadi, C.; Demchenko, N.; Shaaya, E. Activation of octopaminergic receptors by essential oil constituents isolated from aromatic plants: Possible mode of action against insect pests. Pest Manag. Sci. 2002, 58, 1101–1106. [Google Scholar] [CrossRef] [PubMed]
- Reynoso, M.M.N.; Lucia, A.; Zerba, E.N.; Alzogaray, R.A. The Octopamine Receptor Is a Possible Target for Eugenol-Induced Hyperactivity in the Blood-Sucking Bug Triatoma infestans (Hemiptera: Reduviidae). J. Med. Entomol. 2019, 57, 627–630. [Google Scholar] [CrossRef] [PubMed]
- Enan, E. Molecular and pharmacological analysis of an octopamine receptor from American cockroach and fruit fly in response to plant essential oils. Arch. Insect Biochem. Physiol. 2005, 59, 161–171. [Google Scholar] [CrossRef]
- Casida, J.; Durkin, K. Neuroactive Insecticides: Targets, Selectivity, Resistance, and Secondary Effects. Annu. Rev. Entomol. 2013, 58, 99–117. [Google Scholar] [CrossRef] [PubMed]
- Sherer, T.; Richardson, J.; Testa, C.; Seo, B.; Panov, A.; Yagi, T.; Matsuno-Yagi, A.; Miller, G.; Greenamyre, J. Mechanism of toxicity of pesticides acting at complex I: Relevance to environmental etiologies of Parkinson’s disease. J. Neurochem. 2007, 100, 1469–1479. [Google Scholar] [CrossRef]
- Hollingworth, R.; Ahammadsahib, K.; Gadelhak, G.; McLaughlin, J.L. New inhibitors of Complex I of the mitochondrial electron transport chain with activity as pesticides. Biochem. Soc. Trans. 1994, 22, 230–233. [Google Scholar] [CrossRef] [PubMed]
- Walia, S.; Saha, S.; Tripathy, V.; Sharma, K. Phytochemical biopesticides: Some recent developments. Phytochem. Rev. 2017, 16, 989–1007. [Google Scholar] [CrossRef]
- Birnbaum, L. When environmental chemicals act like uncontrolled medicine. Trends Endocrinol. Metab. 2013, 24, 321–323. [Google Scholar] [CrossRef]
- Singh, D.; Mehta, S.S.; Neoliya, N.K.; Shukla, Y.N.; Mishra, M. New possible insect growth regulators from Catharanthus roseus. Curr. Sci. 2003, 84, 1184–1186. [Google Scholar]
- Abreu, P.M.; Heggie, W. Terpenoides e Esteroides. In Biossíntese de Produtos Naturais, 1st ed.; Lobo, A.M., Lourenço, A.M., Eds.; IST Press: Lisboa, Portugal, 2008; pp. 119–149. [Google Scholar]
- Kamboj, A.; Saluja, A. Ageratum conyzoides L.: A review on its phytochemical and pharmacological profile. Int. J. Green Pharm. 2008, 2, 59–68. [Google Scholar] [CrossRef]
- Feng, R.; Isman, M.B. Selection for resistance to azadirachtin in the green peach aphid, Myzuspersicae. Experientia 1995, 51, 831–833. [Google Scholar] [CrossRef]
- Di Ilio, V.; Cristofaro, M. Polyphenolic extracts from the olive mill wastewater as a source of biopesticides and their effects on the life cycle of the Mediterranean fruit fly Ceratitiscapitata (Diptera, Tephriditae). Int. J. Trop. Insect Sci. 2021, 41, 359–366. [Google Scholar] [CrossRef]
- Larif, M.; Zarrouk, A.; Soulaymani, A.; Elmidaoui, A. New innovation in order to recover the polyphenols of olive mill wastewater extracts for use as a biopesticide against the Euphylluraolivina and Aphis citricola. Res. Chem. Intermed. 2013, 39, 4303–4313. [Google Scholar] [CrossRef]
- Mordue, A.J.; Nisbet, A.J. Azadirachtin from the neem tree Azadirachtaindica: Its action against insects. An. Soc. Do Bras. 2000, 29, 615–632. [Google Scholar]
- Bernardi, D.; Botton, M.; Cunha, U.; Bernardi, O.; Malausa, T.; Garcia, M.; Nava, D. Effects of azadirachtin on Tetranych usurticae (Acari: Tetranychidae) and its compatibility with predatory mites (Acari: Phytoseiidae) on strawberry. Pest Manag. Sci. 2013, 69, 75–80. [Google Scholar] [CrossRef]
- Kang, T.H.; Hwang, E.I.; Yun, B.S.; Park, K.D.; Kwon, B.; Shin, C.; Kim, S. Inhibition of chitin synthases and antifungal activities by 2’-benzoyloxycinnamaldehyde from Pleuropterusciliinervis and its derivatives. Biol. Pharm. Bull. 2007, 30, 598–602. [Google Scholar] [CrossRef] [PubMed]
- Cui, C.; Yang, Y.; Zhao, T.; Zou, K.; Peng, C.; Cai, H.; Wan, X.; Hou, R. Insecticidal Activity and Insecticidal Mechanism of Total Saponins from Camellia oleifera. Molecules 2019, 24, 4518. [Google Scholar] [CrossRef] [PubMed]
- Wigglesworth, V.B. Transpiration Through the Cuticle of Insects. J. Exp. Biol. 1945, 21, 97–114. [Google Scholar] [CrossRef]
- Mwine, J.; Van Damme, P.; Kamoga, G.; Kudamba, K.; Nasuuna, M.; Jumba, F. Ethnobotanical survey of pesticidal plants used in South Uganda: Case study of Masaka district. J. Med. Plants Res. 2011, 5, 1155–1163. [Google Scholar]
- Rajapakse, R.; Ratnasekera, D. Pesticidal potential of some selected tropical plant extracts againsCallosobruchus maculates (F) and Callosobruchus chinensis (L) (Coleoptera: Bruchidae). Trop. Agric. Res. Ext. 2010, 11, 69–71. [Google Scholar] [CrossRef][Green Version]
- Tripathi, A.K.; Prajapati, V.; Aggarwal, K.K.; Kumar, S.; Prajapti, V.; Kumar, S.; Kukreja, A.K.; Dwivedi, S.; Singh, A.K. Effect of volatile oil constituents of Mentha species against stored grain pests, Callosobruchus maculatus and Tribolium castaneum. J. Med. Arom. Plant Sci. 2000, 22, 549–556. [Google Scholar]
- Agarwal, M.; Walia, S.; Dhingra, S. Pest control properties of turmeric leaf oil against Spilosomaobliqua, Dysdercuskoenigii and Triboliumcastaneum. In Proceedings of the 2nd All India People’s Technology Congress, Calcultta, India; 1999; pp. 1–7. [Google Scholar]
- Suszkiw, J. Catnip Compounds Curb Asian Lady Beetles; Agricultural Research Services (ARS) Report; US Department of Agriculture: Washington, DC, USA, 2009.
- McElvain, S.M.; Bright, R.D.; Johnson, P.R. The Constituents of the Volatile Oil of Catnip. I. Nepetalic Acid, Nepetalactone and Related Compounds. J. Am. Chem. Soc. 1941, 63, 1558–1563. [Google Scholar] [CrossRef]
- Rudman, P.; Da Costa, E.W.B.; Gay, F.J.; Wetherly, A.H. Relationship of Tectoquinone to Durability in Tectonagrandis. Nature 1958, 181, 721–722. [Google Scholar] [CrossRef]
- Wolcott, G.N. Organic Termite Repellents Tested against Cryptotermes Brevis Walker. J. Agric. Univ. Puerto Rico 1955, 39, 115–149. [Google Scholar] [CrossRef]
- Ileke, K.; Ogungbite, O. Alstoniaboonei De Wild oil extract in the management of mosquito (Anopheles gambiae), a vector of malaria disease. J. Coast. Life Med. 2015, 3, 557–563. [Google Scholar]
- Weinzierl, R.; Henn, T.; Koehler, P.G.; Tucker, C.L. Insect Attractants and Traps. In IFAS Extension, Institute of Food and Agricultural Sciences; University of Florida: Gainesville, FL, USA, 1995; pp. 1–9. [Google Scholar]
- Miller, D.R. Limonene: Attractant kairomone for white pine cone beetles (Coleoptera: Scolytidae) in an eastern white pine seed orchard in western North Carolina. J. Econ. Entomol. 2007, 100, 815–822. [Google Scholar] [CrossRef]
- Degenhardt, J.; Hiltpold, I.; Köllner, T.G.; Frey, M.; Gierl, A.; Gershenzon, J.; Hibbard, B.E.; Ellersieck, M.R.; Turlings, T.C.J. Restoring a maize root signal that attracts insect-killing nematodes to control a major pest. Proc. Natl. Acad. Sci. USA 2009, 106, 13213–13218. [Google Scholar] [CrossRef] [PubMed]
- Qiao, J.; Zou, X.; Lai, D.; Yan, Y.; Wang, Q.; Li, W.; Deng, S.; Xu, H.-H.; Gu, H. Azadirachtin blocks the calcium channel and modulates the cholinergic miniature synaptic current in the Central Nervous System of Drosophila. Pest Manag. Sci. 2014, 70, 1041–1047. [Google Scholar] [CrossRef] [PubMed]
- Mordue, A.J.; Blackwell, A. Azadirachtin: An update. J. Insect Physiol. 1993, 39, 903–924. [Google Scholar] [CrossRef]
- Lajide, L.; Escoubas, P.; Mizutani, J. Termite antifeedant activity in Xylopia aethiopica. Phytochemistry 1995, 40, 1105–1112. [Google Scholar] [CrossRef]
- Okwute, S.K.; Nduji, A.A. Isolation of Schimperiin: A new gallotannin from the leaves of Anogeissuss chimperii (Combretaceae). Proc. Natl. Acad. Sci. USA 1992, 4, 36–41. [Google Scholar]
- Morimoto, M.; Fukumoto, H.; Hiratani, M.; Chavasiri, W.; Komai, K. Insect Antifeedants, Pterocarpans and Pterocarpol, in Heartwood of Pterocarpus macrocarpus Kruz. Biosci. Biotechnol. Biochem. 2006, 70, 1864–1868. [Google Scholar] [CrossRef]
- Ratnayake, S.; Rupprecht, K.; Potter, W.; McLaughlin, J. Evaluation of the Pawpaw Tree, Asimina triloba (Annonaceae), as a Commercial Source of the Pesticidal Annonaceous Acetogenins*. In New Crops; Janick, J., Simon, J.E., Eds.; Wiley: New York, NY, USA, 1993; pp. 644–648. [Google Scholar]
- Alkofahi, A.; Rupprecht, J.K.; Anderson, J.E.; McLaughlin, J.L.; Mikolajczak, K.L.; Scott, B.A. Search for New Pesticides from Higher Plants. In Insecticides of Plant Origin; Arnason, J.T., Philogene, B.J., Morand, P., Eds.; Books on Demand: Norderstedt, Germany, 1989; Volume 387, pp. 25–43. [Google Scholar]
- Nahrstedt, A. Cyanogenic compounds as protecting agent for organisms. Plant Syst. Evol. 1985, 150, 35–47. [Google Scholar] [CrossRef]
- Huang, X.P.; Renwick, J.A.A. Cross habituation to feeding deterrents and acceptance of a marginal host plant by Pieris rapae larvae. Entomol. Exp. Appl. 1995, 76, 295–302. [Google Scholar] [CrossRef]
- Bais, H.; Walker, T.; Kennan, A.; Stermitz, F.; Vivanco, J. Structure-Dependent Phytotoxicity of Catechins and Other Flavonoids: Flavonoid Conversions by Cell-free Protein Extracts of Centaurea maculosa (Spotted Knapweed) Roots. J. Agric. Food Chem. 2003, 51, 897–901. [Google Scholar] [CrossRef]
- Kalinova, J.; Vrchotova, N. Level of Catechin, Myricetin, Quercetin and Isoquercitrin in Buckwheat (Fagopyrum esculentum Moench), Changes of Their Levels during Vegetation and Their Effect on The Growth of Selected Weeds. J. Agric. Food Chem. 2009, 57, 2719–2725. [Google Scholar] [CrossRef]
- Bachheti, A.; Sharma, A.; Bachheti, R.K.; Husen, A.; Pandey, D.P. Plant Allelochemicals and Their Various Applications. In Co-Evolution of Secondary Metabolites; Mérillon, J.-M., Ramawat, K.G., Eds.; Springer: Cham, Switzerland, 2019; pp. 1–25. [Google Scholar]
- Clay, D.V.; Dixon, F.L.; Willoughby, I. Natural products as herbicides for tree establishment. For. Int. J. For. Res. 2005, 78, 1–9. [Google Scholar] [CrossRef]
- Ismail, A.; Hamrouni, L.; Hanana, M.; Jamoussi, B. Review on the phytotoxic effects of essential oils and their individual components: News approach for weed management. Int. J. Appl. Biol. Pharm. Technol. 2013, 4, 96–114. [Google Scholar]
- Curto, M.J.M. Ecologiaquímica: A comunicaçãoquímicananatureza. In Biossíntese de Produtos Naturais, 1st ed.; Lobo, A.M., Lourenço, A.M., Eds.; IST Press: Lisboa, Portugal, 2008; pp. 227–240. [Google Scholar]
- Narwal, S. Allelopathy in ecological agriculture. In Allelopathy in Ecological Agriculture and Forestry; Narwal, S.S., Hoagland, R.E., Dilday, R.H., Eds.; Kluwer Academic: Dharwad, India, 2000; pp. 11–32. [Google Scholar]
- Bertin, C.; Weston, L.A.; Huang, T.; Jander, G.; Owens, T.; Meinwald, J.; Schroeder, F.C. Grass roots chemistry: Meta-Tyrosine, an herbicidal nonprotein amino acid. Proc. Natl. Acad. Sci. USA 2007, 104, 16964. [Google Scholar] [CrossRef]
- Kato-Noguchi, H.; Kosemura, S.; Yamamura, S.; Mizutani, J.; Hasegawa, K. Allelopathy of oats. I. Assessment of allelopathic potential of extract of oat shoots and identification of an allelochemical. J. Chem. Ecol. 1994, 20, 309–314. [Google Scholar] [CrossRef] [PubMed]
- Zhao, X.; Zheng, G.W.; Niu, X.M.; Li, W.Q.; Wang, F.S.; Li, S.H. Terpenes from Eupatorium adenophorum and their allelopathic effects on Arabidopsis seeds germination (dagger). J. Agric. Food Chem. 2009, 57, 478–482. [Google Scholar] [CrossRef] [PubMed]
- Duke, S.; Blair, A.; Dayan, F.; Johnson, R.; Cook, D.; Bajsa-Hirschel, J. Is (−)-Catechin a Novel Weapon of Spotted Knapweed (Centaurea stoebe)? J. Chem. Ecol. 2009, 35, 141–153. [Google Scholar] [CrossRef] [PubMed]
- Yang, W.; Li, F.; Xing, X.; Wang, Z.; Yu, X. Study in Pesticide Activities of Polygonum cuspidatum Extracts and its Active Ingredient Resveratrol. Nat. Prod. Commun. 2019, 14, 1934578X19861022. [Google Scholar] [CrossRef]
- Kato-Noguchi, H.; Suwitchayanon, P.; Boonmee, S.; Iwasaki, A.; Suenaga, K. Plant Growth Inhibitory Activity of the Extracts of Acmella oleracea and its Growth Inhibitory Substances. Nat. Prod. Commun. 2019, 14, 1934578X19858805. [Google Scholar] [CrossRef]
- Arnason, T.; Towers, G.H.N.; PhilogÈNe, B.J.R.; Lambert, J.D.H. The Role of Natural Photosensitizers in Plant Resistance to Insects. In Plant Resistance to Insects; American Chemical Society: Washington, DC, USA, 1983; Volume 208, pp. 139–151. [Google Scholar]
- Berenbaum, M. Charge of the light brigade: Phototoxicity as a defense against insects. In Light-Activated Pesticides; American Chemical Society: Washington, DC, USA, 1987. [Google Scholar]
- Towers, G. Interactions of light with phytochemicals in some natural and novel systems. Can. J. Bot. 2011, 62, 2900–2911. [Google Scholar] [CrossRef]
- Marchant, Y.Y.; Cooper, G.K. Structure and Function Relationships in Polyacetylene Photoactivity. In Light-Activated Pesticides; American Chemical Society: Washington, DC, USA, 1987; Volume 339, pp. 241–254. [Google Scholar]
- Nivsarkar, M.; Cherian, B.; Padh, H. Alpha-terthienyl: A plant-derived new generation insecticide. Curr. Sci. 2001, 81, 667–672. [Google Scholar]
- Varma, J.; Dubey, N.K. Perspective of botanical and microbial products as pesticides of tomorrow. Curr. Sci. 1999, 76, 172–179. [Google Scholar]
- Ahmed, S.; Grainge, M. Potential of the neem tree (Azadirachta indica) for pest control and rural development. Econ. Bot. 1986, 40, 201–209. [Google Scholar] [CrossRef]
- Pavela, R. History, presence and perspective of using plant extracts as commercial botanical insecticides and farm products for protection against insects@ a review. Plant Prot. Sci. 2016, 52, 229–241. [Google Scholar]
- Diaz, M.; Rossini, C. Bioactive Natural Products from Sapindaceae Deterrent and Toxic Metabolites against Insects. In Insecticides—Pest Engineering, 1st ed.; Perveen, F.K., Ed.; IntechOpen: London, UK, 2012; pp. 277–308. [Google Scholar]
- Isman, M.; Machial, C.M. Pesticides based on plant essential oils: From traditional practice to commercialization. Nat. Occur. Bioact. Compd. 2006, 3, 29–44. [Google Scholar]
- Marquina, S.; Maldonado, N.; Garduno-Ramirez, M.L.; Aranda, E.; Villarreal, M.; Navarro, V.C.; Bye, R.; Delgado, G.; Alvarez, L. Bioactive oleanolic acid saponins and other constituents from the roots of Viguieradecurrens. Phytochemistry 2001, 56, 93–97. [Google Scholar] [CrossRef]
- Matsuzaki, T.; Koseki, K.; Koiwai, A. Germination and Growth Inhibition of Surface Lipids from Nicotiana Species and Identification of Sucrose Esters. Agric. Biol. Chem. 1988, 52, 1889–1897. [Google Scholar] [CrossRef][Green Version]
- Isman, M.B. Botanical Insecticides in the Twenty-First Century-Fulfilling Their Promise? Annu. Rev. Entomol. 2020, 65, 233–249. [Google Scholar] [CrossRef] [PubMed]
- Marrone, P. Pesticidal natural products—Status and future potential. Pest Manag. Sci. 2019, 75, 2325–2340. [Google Scholar] [CrossRef]
- Isman, M. Problems and opportunities for the commercialization of botanical insecticides. In Biopesticides of Plant Origin; Régnault-Roger, C., Philogéne, B.J., Vincent, C., Eds.; Lavoisier: Paris, France, 2005; pp. 283–291. [Google Scholar]
- Mitscher, L.A.; Drake, S.; Gollapudi, S.R.; Okwute, S.K. A modern look at folkloric use of anti-infective agents. J. Nat. Prod. 1987, 50, 1025–1040. [Google Scholar] [CrossRef] [PubMed]
- MacKinnon, S.; Durst, T.; Arnason, J.T.; Angerhofer, C.; Pezzuto, J.; Sanchez-Vindas, P.E.; Poveda, L.J.; Gbeassor, M. Antimalarial Activity of Tropical Meliaceae Extracts and Gedunin Derivatives. J. Nat. Prod. 1997, 60, 336–341. [Google Scholar] [CrossRef] [PubMed]
- Golob, P. The Use of Spices and Medicinals as Bioactive Protectants for Grains; Food and Agriculture Organization: Rome, Italy, 1999. [Google Scholar]
- Bang, K.H.; Lee, D.W.; Park, H.M.; Rhee, Y.H. Inhibition of fungal cell wall synthesizing enzymes by trans-cinnamaldehyde. Biosci. Biotechnol. Biochem. 2000, 64, 1061–1063. [Google Scholar] [CrossRef]
- Upatoom, P.; Visetson, S. Mechanisms of Essential Oils from Citronella (Cymbopogon winterianus Jowitt) against Siamensis Subterranean Termite Workers (Coptotermes gestroi Wasmann) and Mice (Mus musculus L.). Thai Agric. Res. J. 2018, 35, 270–287. [Google Scholar]
- Pelkonen, O.; Abass, K.; Wiesner, J. Thujone and thujone-containing herbal medicinal and botanical products: Toxicological assessment. Regul. Toxicol. Pharmacol. 2013, 65, 100–107. [Google Scholar] [CrossRef]
- Bloomquist, J.R. Chloride channels as tools for developing selective insecticides. Arch. Insect Biochem. Physiol. 2003, 54, 145–156. [Google Scholar] [CrossRef]
- Marles, R.; Durst, T.; Kobaisy, M.; Soucy-Breau, C.; Abou-Zaid, M.; Arnason, J.; Kacew, S.; Kanjanapothi, D.; Rujjanawate, C.; Meckes, M.; et al. Pharmacokinetics, Metabolism and Toxicity of the Plant-Derived Photoxin α-Terthienyl. Pharmacol. Toxicol. 2009, 77, 164–168. [Google Scholar] [CrossRef]
- Johnson, W. Final report on the safety assessment of Elaeis guineensis (Palm) Oil, Elaeis guineensis (Palm) Kernel Oil, Hydrogenated Palm Oil and Hydrogenated Palm Kernel Oil. Int. J. Toxicol. 2000, 19, 7–28. [Google Scholar]
- Singh, D.; Agarwal, S.K. Himachalol and β-himachalene: Insecticidal principles of himalayan cedarwood oil. J. Chem. Ecol. 1988, 14, 1145–1151. [Google Scholar] [CrossRef]
- Ujváry, I. Pest Control Agents from Natural Products. In Hayes’ Handbook of Pesticide Toxicology, 3rd ed.; Krieger, R., Ed.; Academic Press: New York, NY, USA, 2010; pp. 119–229. [Google Scholar]
- Tooley, P. Crop Protection. In Food and Drugs; John Murray Albermark Street: London, UK, 1971. [Google Scholar]
- Inwood, M. Azadirachtin, a scientific gold mine. Bioorg. Med. Chem. 2009, 17, 4096–4105. [Google Scholar]
- Saleem, M.A.; Wilkins, R.M. Precocene-1: An anti-juvenile hormone, a potential 4th generation insecticide against a malathion-resistant strain of Oryzaephilus surinamensis (L.). Pak. J. Zool. 1984, 16, 195–201. [Google Scholar]
- Singh, S.; Kumar, K. Anti-JH compounds and Insect Pest Management. In Emerging Trends in Zoology; eBook; Srivastava, U.C., Ed.; Narendra Publishing House: Delhi, India, 2011; pp. 335–350. [Google Scholar]
- Srivastva, S.; Kumar, K. Precocene I and II induced metamorphosis in a noctuid moth, Spodoptera litura Fabr. Proc. Natl. Acad. Sci. India 1997, 67, 213–226. [Google Scholar]
- Khafagi, W. Effects of juvenile hormone I, precocene I and precocene II on the progeny of Microplitis rufiventris Kok. female when administered via its host, Spodoptera littoralis (Boisd.). J. Appl. Entomol. 2004, 128, 6–10. [Google Scholar] [CrossRef]
- Eid, M.A.A.; Salem, M.S.; Taha, G.Z. Effects of precocene II on morphogenesis of the desert locust Schistocerca gregaria. Biochem. Syst. Ecol. 1988, 16, 515–520. [Google Scholar] [CrossRef]
- Sandermann, V.W.; Dietrichs, H.H. Investigations on Termiteproof Wood Species. Holzals Roh-Und Werkst. 1957, 15, 281–297. [Google Scholar] [CrossRef]
- Nakano, H.; Nakajima, E.; Fujii, Y.; Yamada, K.; Shigemori, H.; Hasegawa, K. Leaching of the allelopathic substance, -tryptophan from the foliage of mesquite (Prosopis juliflora (Sw.) DC.) plants by water spraying. Plant Growth Regul. 2003, 40, 49–52. [Google Scholar] [CrossRef]
- Tripathi, R.D.; Srivastava, H.S.; Dixit, S.N. A fungitoxic principle from the leaves of lawsoniainermis lam. Experientia 1978, 34, 51–52. [Google Scholar] [CrossRef]
- Velásquez, J.; Rojas, L.; Alfredo, U. Antifungal activity of naphtoquinone from Tabebuia serratifolia (Vahl. Nicholson). Ciencia 2004, 12, 64–69. [Google Scholar]
- Oliveira, M.F.; Lemos, T.L.G.; Mattos, M.C.D.; Segundo, T.A.; Santiago, G.M.P.; Braz-Filho, R. New enamine derivatives of lapachol and biological activity. An. Acad. Bras. Ciências 2002, 74, 211–221. [Google Scholar] [CrossRef] [PubMed]
- Jiménez-González, L.; Álvarez-Corral, M.; Muñoz-Dorado, M.; Rodríguez-García, I. Pterocarpans: Interesting natural products with antifungal activity and other biological properties. Phytochem. Rev. 2008, 7, 125–154. [Google Scholar] [CrossRef]
- Soby, S.; Caldera, S.; Bates, R.; VanEtten, H. Detoxification of the phytoalexins maackiain and medicarpin by fungal pathogens of alfalfa. Phytochemistry 1996, 41, 759–765. [Google Scholar] [CrossRef]
- Chen, J.; Yu, Y.; Li, S.; Ding, W. Resveratrol and Coumarin: Novel Agricultural Antibacterial Agent against Ralstonia solanacearum In Vitro and In Vivo. Molecules 2016, 21, 1501. [Google Scholar] [CrossRef] [PubMed]
Publisher’s Note: MDPI stays neutral with regard to jurisdictional claims in published maps and institutional affiliations. |
© 2021 by the authors. Licensee MDPI, Basel, Switzerland. This article is an open access article distributed under the terms and conditions of the Creative Commons Attribution (CC BY) license (https://creativecommons.org/licenses/by/4.0/).
Share and Cite
Souto, A.L.; Sylvestre, M.; Tölke, E.D.; Tavares, J.F.; Barbosa-Filho, J.M.; Cebrián-Torrejón, G. Plant-Derived Pesticides as an Alternative to Pest Management and Sustainable Agricultural Production: Prospects, Applications and Challenges. Molecules 2021, 26, 4835. https://doi.org/10.3390/molecules26164835
Souto AL, Sylvestre M, Tölke ED, Tavares JF, Barbosa-Filho JM, Cebrián-Torrejón G. Plant-Derived Pesticides as an Alternative to Pest Management and Sustainable Agricultural Production: Prospects, Applications and Challenges. Molecules. 2021; 26(16):4835. https://doi.org/10.3390/molecules26164835
Chicago/Turabian StyleSouto, Augusto Lopes, Muriel Sylvestre, Elisabeth Dantas Tölke, Josean Fechine Tavares, José Maria Barbosa-Filho, and Gerardo Cebrián-Torrejón. 2021. "Plant-Derived Pesticides as an Alternative to Pest Management and Sustainable Agricultural Production: Prospects, Applications and Challenges" Molecules 26, no. 16: 4835. https://doi.org/10.3390/molecules26164835
APA StyleSouto, A. L., Sylvestre, M., Tölke, E. D., Tavares, J. F., Barbosa-Filho, J. M., & Cebrián-Torrejón, G. (2021). Plant-Derived Pesticides as an Alternative to Pest Management and Sustainable Agricultural Production: Prospects, Applications and Challenges. Molecules, 26(16), 4835. https://doi.org/10.3390/molecules26164835























































