Next Article in Journal
Strategies and Approaches for Discovery of Small Molecule Disruptors of Biofilm Physiology
Previous Article in Journal
Effects of Water and Chemical Solutions Ageing on the Physical, Mechanical, Thermal and Flammability Properties of Natural Fibre-Reinforced Thermoplastic Composites
 
 
Font Type:
Arial Georgia Verdana
Font Size:
Aa Aa Aa
Line Spacing:
Column Width:
Background:
Communication

Electrodegradation of Acid Mixture Dye through the Employment of Cu/Fe Macro-Corrosion Galvanic Cell in Na2SO4 Synthetic Wastewater

by
Mateusz Kuczyński
1,
Mateusz Łuba
1,
Tomasz Mikołajczyk
1,*,
Bogusław Pierożyński
1,*,
Agnieszka Jasiecka-Mikołajczyk
2,
Lech Smoczyński
1,
Piotr Sołowiej
3 and
Paweł Wojtacha
4
1
Department of Chemistry, Faculty of Agriculture and Forestry, University of Warmia and Mazury in Olsztyn, Łódzki Square 4, 10-727 Olsztyn, Poland
2
Department of Pharmacology and Toxicology, Faculty of Veterinary Medicine, University of Warmia and Mazury in Olsztyn, Oczapowskiego 13, 10-719 Olsztyn, Poland
3
Department of the Electrotechnics, Energetics, Electronics and Automatics, University of Warmia and Mazury in Olsztyn, Oczapowskiego 11, 10-736 Olsztyn, Poland
4
Department of Industrial and Food Microbiology, Faculty of Food Science, University of Warmia and Mazury in Olsztyn, Cieszyński Square 1, 10-726, Olsztyn, Poland
*
Authors to whom correspondence should be addressed.
Molecules 2021, 26(15), 4580; https://doi.org/10.3390/molecules26154580
Submission received: 23 June 2021 / Revised: 16 July 2021 / Accepted: 25 July 2021 / Published: 29 July 2021

Abstract

:
Traditional wastewater purification processes are based on a combination of physical, chemical, and biological methods; however, typical electrochemical techniques for removing pollutants require large amounts of electrical energy. In this study, we report on a process of wastewater purification, through continuous anodic dissolution of iron anode for aerated Cu/Fe galvanic cell in synthetic Na2SO4 wastewater solution. Electrochemical experiments were conducted by means of a laboratory size electrolyzer, where electrocoagulation along with electrooxidation phenomena were examined for wastewater containing Acid Mixture dye. The above was visualized through the employment of electrochemical (cyclic voltammetry and ac impedance spectroscopy techniques) along with instrumental spectroscopy analyses.

1. Introduction

Large amounts of different dyes that are present in industrial wastewaters are responsible for serious environmental and health problems [1,2]. Globally, many industries discharge up to 15% of the total dyes used in effluents directly into water bodies. Among various groups of textile dyes, particular attention should be paid to the so-called azo dyes. This specific group of coloring agents is characterized with the presence of one or more azo groups (-N=N-) [3,4,5]. Large concentrations of azo-type dyes in water have a direct impact on the conditions of all organisms living in a biosystem, which, most importantly, are then transferred to human populations. Various studies conducted in recent years have confirmed serious toxicity, as well as mutagenic and carcinogenic effects of some azo dyes, including their metabolites [6,7,8,9,10]. The above, combined with severe environmental pollutions, have led scientists to consider the development of novel, more efficient treatment methods for the dye-based industrial wastewaters.
Dc-powered electrochemical methods have widely been examined and utilized for the remediation of dye-polluted wastewaters. These methods are of significant interest as they combine three parallel processes, namely electrocoagulation, electrooxidation and electroflotation [11,12,13]. Numerous scientific studies have reported total decolorization of wastewaters containing azo dyes by electrochemical means, in the order of 71–99% [14,15,16,17,18,19,20,21,22]. However, despite the high efficiency of such dc-powered systems, they still suffer from excessive power consumption. Nevertheless, this deficiency could be successfully overcome by an electrochemical method based on the galvanic series theory through the application of an appropriately designed galvanic cell (cathode/anode) reactor. This receptacle generates spontaneous current based on sacrificial anode oxidation, along with reduction reaction proceeding on the cathode surface. As compared with formerly described dc-powered methods, the latter design eliminates the presence of expensive dc. infrastructure and electronic control systems, and also radically reduces total consumption of electricity upon wastewater purification (see recently published work by Łuba et al. from this laboratory on Cu/Al alloy galvanic cell-based dye purification in [23]).
During the electrolysis process that occurs inside the Cu/Fe reactor, an iron-made anode undergoes oxidation reaction, which releases soluble ferrous (Fe2+) ions that rapidly form iron hydroxide species through the reaction with OH- ions (and highly reactive short-lived OH radicals that may lead to the cleavage of the dye molecule) generated on the surface of the cathode [24,25,26,27,28,29,30]. During the electrolysis process, the electrolyte’s pH increases. The mechanism of the anodic and cathodic reactions for the Cu/Fe galvanic cell is described by Equations (1)–(3) as follows:
Anodic reaction:
Fe (s) Fe2+ +2e
Cathodic reaction:
O 2 + 2 H 2 O + 4 e 4 OH
Formation of ferrous hydroxide and ferric oxide:
2 Fe 2 + + 4 OH 2 Fe ( OH ) 2 ( s )   ( + 1 2 O 2 ) Fe 2 O 3 ( s ) + 2 H 2 O
Hence, Fe dissolution leads initially to the formation of ferrous hydroxide species Equation (3) during the spontaneous reaction of Fe2+, cations emerge in the supporting solution during the anodic dissolution process Equation (1) with hydroxyl (OH) anions generated on the cathode surface Equation (2). Then, in the presence of dissolved oxygen, ferrous hydroxide is converted to ferric oxide (Fe2O3), according to Equation (3).
The aim of this study was to evaluate the effectiveness of a Cu/Fe mild steel galvanic cell in the electrochemical treatment of synthetic wastewater, comprising small, but significant amounts of Acid Mixture (Acid Violet 90 and Acid Red 357 constituents, Figure 1) dye. The examination of the dye’s removal was made by means of the combined effect of the electrocoagulation and surface-electrooxidation processes.

2. Results and Discussion

2.1. Characterization of Galvanic Cell’s Operation

The electrochemical characterization of the Cu/Fe galvanic reactor was examined in Na2SO4 supporting electrolyte containing AM (50 mg dm−3, pH = 3.05, κ = 15 mS cm−1, 10.5 ppm of dissolved oxygen, and T = 20 °C). After an hour of continuous operation, an open-circuit cell’s voltage (ocv) settled at about 0.58 V (Figure 2a).
The electrochemical performance of the Cu/Fe mild steel galvanic cell was examined by measuring the galvanic coupling current (Igc) intensity. Hence, after 1 h of continuous Cu/Fe cell’s operation, the recorded Igc value reached 8.55 mA or 0.29 mA cm−2 (Figure 2b). As previously mentioned, this current resulted from the formation of ferrous hydroxide species during the spontaneous reaction of Fe2+, cations evolved into the electrolyte during the anodic dissolution process with hydroxyl OH- anions generated on the cathode, according to Equations (1) and (2) above. Moreover, the Fe2+ ions could react with electrolyte-dissolved molecular oxygen to form Fe(OH)3 species, according to Equation (4) below:
4 Fe 2 + + 10 H 2 O + O 2 4 Fe ( OH ) 3 ( s ) + 8 H +
Then, freshly formed metal hydroxide species attract oppositely charged dye molecules, leading to their neutralization, destabilization, and formation of larger agglomerates that eventually sediment on the bottom of the reaction tank [31,32,33].

2.2. Cyclic Voltammetry Electrochemical Behavior of AM Dye

Initially, the electrochemical behavior of Fe mild steel electrode in 0.054 M Na2SO4 supporting solution was examined by means of the cyclic voltammetry (CV) technique, over the potential range from −1.1 to 0.0 V vs. SCE. Figure 3a shows the third cycle of the CV response for Fe working electrode of the Cu/Fe galvanic cell, carried out in pure and AM-modified 0.054 M Na2SO4 electrolyte, obtained at 293 K with a sweep-rate of 50 mV s−1.
For the cyclic voltammogram recorded in the absence of the AM dye, two irreversible anodic peaks could clearly be observed, namely a low potential and very broad feature, centered at about −0.85 V, and another one positioned at ca. −0.35 V vs. SCE. Thus, the former peak is related to the process of Fe(II) formation, whereas the latter one could be allotted to its further oxidation to form Fe3O4 or Fe(OH)3 surface layers [34,35,36].
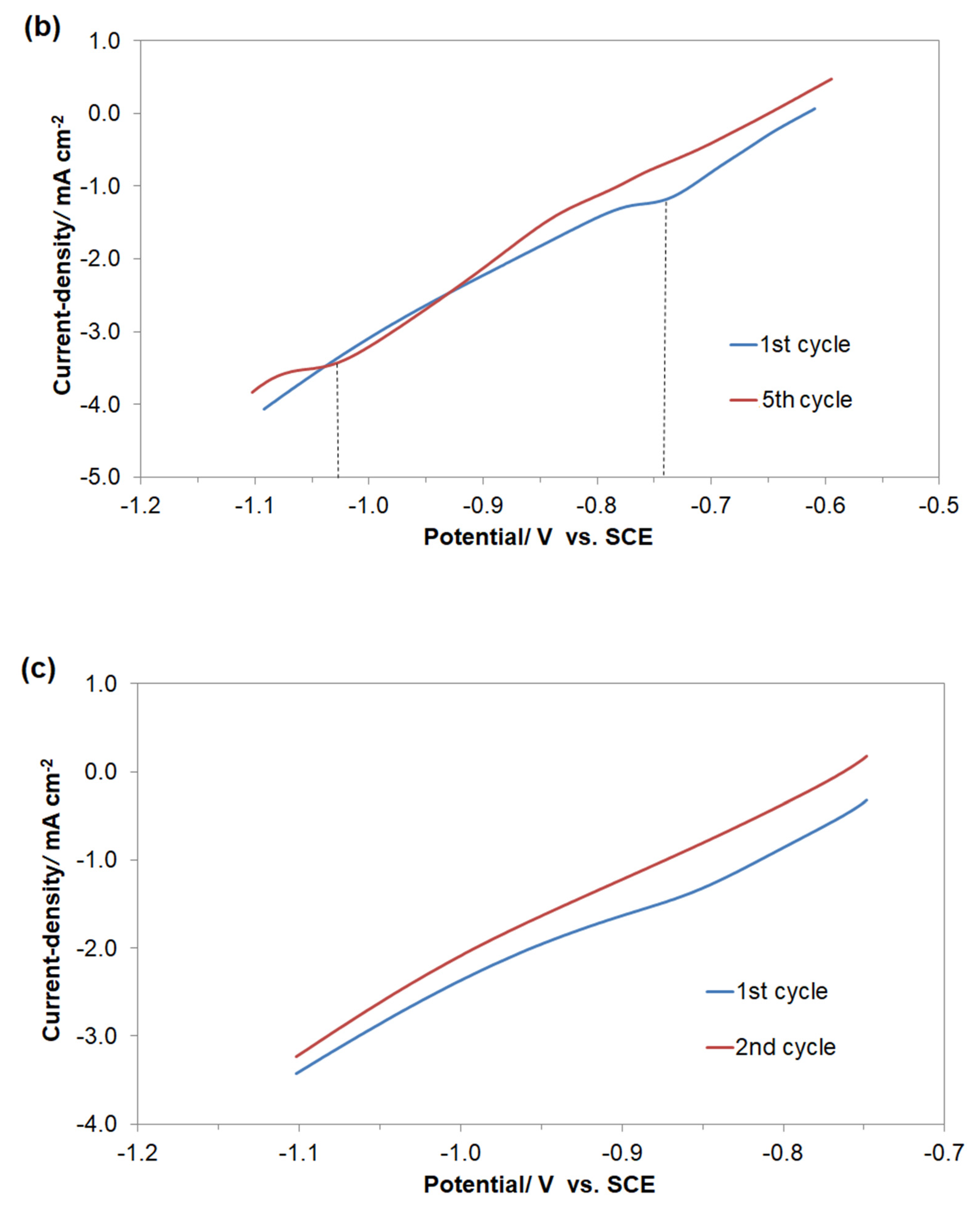
Then, having introduced 50 mg dm−3 of AM dye into the electrolyte, two well-pronounced oxidation features (centered at ca. −0.56 and −0.42 V) appeared upon cycling towards more positive potentials. It is strongly believed that these anodic patterns correspond to consecutive surface oxidation (commencing with nitrogen-to-nitrogen bond cleavage) of the examined dye’s constituents [37,38,39,40]. Afterwards, as the cycling becomes reversed towards less anodic potentials, a broad cathodic feature is observed over the potential range from −0.8 to −1.0 V (Figure 3a). This feature is most likely related to reduction of the surface-oxidized AM or its intermediates, upon preceding anodic cycle. Most importantly, as the cycling continues, the above-described pattern exhibits a significant shift towards more negative potentials (see Figure 3b). However, as the CV sweep is then limited to the potential range from −0.75 to −1.1 V vs. SCE, formation of the surface-oxidized intermediates is stopped, and the previously observed reduction peak completely disappears from the cyclic voltammogram after only several cycles (see Figure 3c).

2.3. Electrochemical ac Impedance Characterization

The ac impedance characterization of iron electrode in the presence of 50 mg dm−3 of AM dye in the supporting 0.054 M Na2SO4 solution is shown in Table 1 and Figure 4a,b. Hence, in the presence of the AM dye, the Nyquist impedance plots exhibited two “depressed” and partial semicircles over the examined potential range from −950 to −380 mV vs. SCE. Thus, for the most negative potentials (i.e., −950 and −900 mV), the high-frequency semicircle was associated with oxidative formation of Fe2+ cations, whereas the low-frequency arc observed in the Nyquist impedance plots corresponded to the surface formation of iron II hydroxide layer (see Figure 4a along with its Bode plot inset). Thus, for the first, −0.95 V oxidation peak (Figure 3a), the recorded charge transfer resistance (Rct) parameter for iron oxidation came to 67.4 Ω cm2, whereas the recorded adsorption, i.e., Fe(OH)2 charge transfer resistance (RAds) value, reached 1980 Ω cm2. Moreover, the corresponding interfacial capacitance (Cdl) and pseudocapacitance (CAds) parameters reached 536 and 5181 µF cm−2, respectively (see equivalent circuit used to fit the recorded data in Figure 5). It should be noted that these results are in line with those recently reported on a similar experimental azo dye purification system in [41].
The potential range from −630 to −380 mV (Table 1) is characteristic of further iron oxidation to form Fe3O4 or Fe(OH)3 species along with consecutive surface electrooxidation of the dye’s components (see Figure 3a). Hence, the high frequency arcs, observed in the Nyquist plots of Figure 4b, correspond to the former process, whereas intermediate/low frequency semicircles refer to the latter, i.e., dye electrodegradation steps. Thus, for the peak potential points (−570 and −410 mV), the recorded Rct reached 32.8 and 12.8 Ω cm2, whereas the Cdl parameter reached 672 and 510 µF cm−2, respectively. Interestingly, the recorded charge-transfer resistance (Rox) values, corresponding to the successive, oxidative electrodegradation of the dye components were radically diminished (6.64 and 2.06 Ω cm2, correspondingly). The above comes in line with major augmentation of the recorded pseudocapacitance, Cp parameter (see Table 1 for details).
Alternatively, for the pure Na2SO4 solution at positive potentials to −800 mV, only one somewhat depressed semicircle was noticed in relation to a single-step charge transfer reaction associated with further electrode surface oxidation process, resulting in the formation of Fe(III) species [36] (see examples of this behavior in Figure S1 in Supplementary Materials).

2.4. UV-Vis Spectrophotometry Analysis

The process of Fe surface electrooxidation and -degradation of the examined AM azo dye upon operation of the Cu/Fe galvanic macro-corrosion cell was primarily monitored by utilizing the UV-Vis spectrophotometry technique, where the process’s optimization was carried out by recording absorption spectra over a 230–800 nm wavelength range (see Figure 6a).
The effect of an initial dye decomposition stage recorded at a wavelength of 500 nm is illustrated in Figure 6b. Here, the recorded, gradually diminishing absorbance, is directly linked to the concentration reduction of the pigment. During the stage of decolorization, the azo (-N=N-) bond, which is a chromogenic entity, becomes an acceptor for electrons released during the anodic oxidation process. Thus, the molecule breaks down into aromatic/phenol and aromatic amine derivatives, which are structurally similar to 3-amino-2-hydroxy-5-nitorbenzenesulfonic acid or 2-chloro-4-nitrobenzamine [37,38,39]. With respect to the aromatic ring degradation stage (λ = 280 nm), over the initial 900 s of the electrolysis process, the recorded changes in the absorbance intensity at the wavelength of 280 nm (Figure 6c) indicate that total concentration of the aromatic type substances/molecules containing aromatic ring in their structures has increased. These results are in good agreement with the above-depicted AM degradation pathway. As it comes to the last step of the AM mineralization process (monitored at λ = 240 nm, Figure 6d), a vast number of relatively simple (e.g., maleic, formic, and acetic acids; aldehydes; ammonia; nitrogen oxides; and finally, carbon dioxide molecule) or more complex chemical compounds (e.g., pentanoic acid) could be produced. Finally, the total quantitative removal of the AM dye through the electrooxidation and electrocoagulation processes yielded 21 and 37%, after 900 and 3600 s of continuous electrolysis, respectively (see Figure 6e).
Furthermore, Table 2 presents the total quantitative removal of various azo dyes, obtained through other novel degradation methods described in the literature [17,18,20,22,40,41,42]. On the one hand, the estimated total quantitative removal of azo dyes for yeast- and algae-based were inferior as compared with the method presented in this study. On the other hand, the literature-based electrochemical methods powered with external power supply turned out to be significantly superior in dye degradation process as compared with both biological and galvanic-driven methods. Nevertheless, they have their own disadvantages, for example, high energy consumption (high operational current densities), as well as use of scarce and rare materials and generation of harmful by-products during the electrolysis process. However, employment of Cu/Fe macro-corrosion galvanic cell excludes the use of an external power supply, with potentially harmful chemicals, along with a relatively low-cost technical infrastructure.

2.5. Chromatography

The successive removal of the AM dye from synthetic wastewater solution was also evidenced by ultra-performance liquid chromatography, coupled with double quadrupole tandem mass spectrometry (UPLC-MS/MS) system analysis. The above showed that, just after 900 s of continuous electrolysis, the total removal of the dye’s constituents reached 60 and 71% for AV90 and AR357, respectively. Then, after one hour of the test, the removal of the AV90 and AR357 dye components came to 86 and 91%, respectively (see Table 3 and Figure 7 for details). As compared with the UV-Vis technique, there were significant differences in the recorded data, which resulted from selectivity variation between these two analytical methods.
Figure S2 in the Supplementary Materials presents the UPLC-MS/MS chromatogram with the scan showing a number of high molecular mass (MM), unidentifiable electrodegradation products. As the electrolysis process causes the formation of small amounts, but high MM compounds, it could be concluded that after initial breaking of the -N=N- azo bond, some of the reactive fragments of an initial dye could react with each other, thus, forming such species.

3. Materials and Methods

Construction of Galvanic Cell Reactor, Chemicals, and Solutions Experimental Methodologies.
In this study, the wastewater electrocoagulation/electrooxidation unit was composed of ca. 300 mL glass-made electrochemical reactor (see Figure 9 in [23]) and electrodes, which were arranged in a single Fe sacrificial anode placed between two Cu cathodes. A cylindrically shaped Fe mild steel was used as a sacrificial anode with an effective surface area of 29.3 cm2 (diameter Φ = 3.5 cm, thickness: d = 1 cm) (DIN C15 (1.0401), ArcelorMittal, Dąbrowa Górnicza, Poland) and cathodes were made of cylindrically shaped copper with a total effective electrode area of 84 cm2 (two plates 4 × 5 × 0.1 cm). An anode-to-cathode interelectrode gap was about 15 mm.
All procedures for the preparation of Cu and Fe electrodes, as well as electrochemical cell and working solutions’ preparation, employed electrochemical instrumentation and methodologies (cyclic voltammetry and ac impedance spectroscopy), and the UV-Vis spectroscopy analyses were as those recently reported in [23,43] from this laboratory. The electrolyte pH, dissolved oxygen concentration, and conductivity evaluations were performed with pHenomenal® pH 1100 L, pHenomenal® OX 4100 L, and pHenomenal® CO 3100 L meters from VWR, correspondingly. The chromatographic quantitation of AR357 and AV90 levels was achieved in reversed-phase liquid chromatography ACQUITY UPLC (ultra-performance liquid chromatography) system with I-Class Plus coupled with a Xevo TQ-XS Triple Quadrupole Mass Spectrometry (Waters, Milford, CT, USA). Chromatographic separation of AR357 and AV90 dye components was performed by means of ACQUITY UPLC BEH C18 column (1.7 μm, 2.1 × 50 mm, Waters) maintained at 50 °C. The mobile phase consisted of phase A (0.005% ammonium acetate for AR357 and AV90) and phase B (acetonitrile for AR357 and AV90) in the gradient elution. Each sample analysis was carried out for 5 min, at a flow rate of 400 µL min−1. An injection volume was 1 µL and temperature of the autosampler was maintained at 15 °C. Detection was performed with a double quadrupole tandem mass spectrometer in the negative ion mode for both AR357 and AV90 pigments. The setting parameters of the detector are illustrated in Table 4 below. Equipment was set up in a multiple reaction monitoring (MRM) mode and transitions of 447.5 and 442.5 m/z were used for determination of the AR357 and AV90 parts, respectively. Samples collected from electrolysis (100 µL of AM) were dissolved in water to achieve final volume of 500 µL and transferred into total recovery vials (Waters). Finally, an aliquot was injected for UPLC-MS/MS analysis.
Acid Mixture (Acid Violet 90 and Acid Red 357, p.a.) dye was supplied by Boruta-Zachem S.A. (Bydgoszcz, Poland). In order to provide the required high effectiveness of surface electrooxidation processes, conductivity of the working solutions was settled at about 15 mS, the working solution was under additional aeration to obtain ca. 10.5 ppm of dissolved oxygen content, whereas their pH was adjusted to the set value of 3.05.

4. Conclusions

The electrochemical method, based on the operation of a macro-corrosion, Cu/Fe galvanic cell, for wastewater purification from AM dye pollutant, referred to in this work, gave very encouraging results. Surface electrooxidation (degradation) of the dye components seems to be a key and necessary step to initiate the process of the dye removal from synthetically made wastewater.
The surface electrooxidation reactions were strongly supported by the recorded ac impedance spectroscopy and cyclic voltammetry results. In addition, the UV-Vis and UPLC-MS/MS characterizations implied a very complex and unpredictable mechanism of AM electrodecomposition, most likely leading to the formation of numerous, though extremely hard to identify, products.
In summary, in this study, the proposed wastewater treatment method, based on the operation of commonly available macro-corrosion galvanic cell, may be considered to be a suitable replacement for the generally used, multi-step wastewater treatment methods. However, further work is necessary in order to adapt this technology to real industrial conditions.

5. Patents

Pierożyński, B. and Smoczyński, L., Electrocoagulator for wastewater treatment, Patent of the Republic of Poland, PAT.227874, granted on 5 September 2017.

Supplementary Materials

Figure S1: The recorded complex plane Nyquist impedance plots for low carbon steel electrode in Na2SO4 solution, derived for the potential value of −390 vs. SCE. The solid lines correspond to the representation of the data according to the equivalent circuit model presented in Figure 5 of the main manuscript., Figure S2: Representative UPLC-MS/MS scan chromatogram for AM after 60 min of continuous electrolysis.

Author Contributions

Conceptualization, B.P.; methodology, B.P.; investigation, M.K., M.Ł., T.M., A.J.-M., and P.W.; data curation, T.M., M.Ł., and M.K.; writing—original draft preparation, B.P.; editing, B.P. and T.M.; supervision, L.S. and P.S. All authors have read and agreed to the published version of the manuscript.

Funding

This paper stems from works related to the project no. WATERWORKS2017/1/WATER HARMONY/2/2019 (Closing the Water Cycle Gap with Harmonised Actions for Sustainable Management of Water Resources) financed by NCBR-Poland. The results in this paper were obtained as part of comprehensive study financed by the University of Warmia and Mazury in Olsztyn, Faculty of Agriculture and Forestry, Department of Chemistry (grant no. 30.610.001-110). The project was also supported by grant no. 15.610.008-110, provided by the University of Warmia and Mazury in Olsztyn.

Institutional Review Board Statement

Not applicable.

Informed Consent Statement

Not applicable.

Data Availability Statement

The data presented in this study are available on request from the corresponding author.

Acknowledgments

This work has been partly financed by the internal research grant no. 20.610.001-300, provided by The University of Warmia and Mazury in Olsztyn. Mateusz Luba would also like to acknowledge a scholarship from the program Interdisciplinary Doctoral Studies in Bioeconomy (POWR.03.02.00-00-1034/16-00), funded by the European Social Fund.

Conflicts of Interest

The authors declare no conflict of interest.

References

  1. Hassaan, M.A.; El Nemr, A. Health and Environmental Impacts of Dyes: Mini Review. Am. J. Environ. Sci. Eng. 2017, 3, 64–67. [Google Scholar]
  2. Yusuf, M. Synthetic Dyes: A Threat to the Environment and Water Ecosystem. In Textiles and Clothing: Environmental Concerns and Solutions, 1st ed.; Shabbir, M., Ed.; Scrivener Publishing LLC: New York, NY, USA, 2019; pp. 11–26. [Google Scholar]
  3. de Campos Ventura-Camargo, B.; Marin-Morales, M.A. Azo Dyes: Characterization and Toxicity—A Review. Text. Light Ind. Sci. Technol. 2013, 2, 85–103. [Google Scholar]
  4. Benkhaya, S.; M’rabet, S.; El Harf, A. Classifications, properties, recent synthesis and applications of azo dyes. Heliyon 2020, 6, 1–26. [Google Scholar] [CrossRef] [Green Version]
  5. Rawat, D.; Sharma, R.S.; Karmakar, S.; Arora, L.S.; Mishra, V. Ecotoxic potential of a presumably non-toxic azo dye. Ecotoxicol. Environ. Saf. 2018, 148, 528–537. [Google Scholar] [CrossRef]
  6. Chung, K.T. Azo dyes and human health: A review. J. Environ. Sci. Health. Part C Environ. Carcinog. Ecotoxicol. Rev. 2016, 34, 233–261. [Google Scholar] [CrossRef]
  7. Bafana, A.; Saravana, D.S.; Chakrabarti, T. Azo dyes: Past, present and the future. Environ. Rev. 2011, 19, 350–370. [Google Scholar] [CrossRef]
  8. Lellis, B.; Fávaro-Polonio, C.Z.; Pamphile, J.A.; Polonio, J.C. Effects of textile dyes on health and the environment and bioremediation potential of living organisms. Biotechnol. Res. Innov. 2019, 3, 275–290. [Google Scholar] [CrossRef]
  9. Platzek, T.; Lang, C.; Grohmann, G.; Gi, U.-S.; Baltes, W. Formation of a carcinogenic aromatic amine from an azo dye by human skin bacteria in vitro. Hum. Exp. Toxicol. 1999, 18, 552–559. [Google Scholar] [CrossRef]
  10. Feng, J.; Cerniglia, C.E.; Chen, H. Toxicological significance of azo dye metabolism by human intestinal microbiota. Front. Biosci. 2012, 4, 568–586. [Google Scholar] [CrossRef]
  11. Feng, Y.; Yang, L.; Liu, J.; Logan, B.E. Electrochemical technologies for wastewater treatment and resource reclamation. Environ. Sci. Water Res. Technol. 2016, 2, 800–831. [Google Scholar] [CrossRef]
  12. Chen, G.; Hung, Y.T. Electrochemical Wastewater Treatment Processes. In Handbook of Environmental Engineering, Advanced Physicochemical Treatment Technologies, 1st ed.; Wang, L.K., Hung, Y.T., Shammas, N.K., Eds.; Humana Press: Totowa, NJ, USA, 2007; Volume 5, pp. 57–106. [Google Scholar]
  13. Martinez-Huitle, C.A.; Andrade, L.S. Electrocatalysis in wastewater treatment: Recent mechanism advances. Quim. Nova 2011, 34, 850–858. [Google Scholar] [CrossRef] [Green Version]
  14. Valica, M.; Hostin, S. Electrochemical Treatment of Water Contaminated with Methylorange. Nova Biotechnol. Chim. 2016, 15, 55–64. [Google Scholar] [CrossRef]
  15. López-Grimau, V.; Riera-Torres, M.; López- Mesas, M.; Gutiérrez-Bouzán, C. Removal of aromatic amines and decolourisation of azo dye baths by electrochemical treatment. Color. Technol. 2013, 129, 267–273. [Google Scholar] [CrossRef]
  16. Jain, R.; Sharma, N.; Radhapyari, K. Electrochemical treatment of pharmaceutical azo dye amaranth from wastewater. J. Appl. Electrochem. 2009, 39, 577–582. [Google Scholar] [CrossRef]
  17. Palanisamy, S.; Nachimuthu, P.; Awasthi, M.K.; Ravindran, B.; Chang, S.W.; Palanichamy, M.; Nguyen, D.D. Application of electrochemical treatment for the removal of triazine dye using aluminium electrodes. J. Water Supply Res. Technol. AQUA 2020, 69, 345–354. [Google Scholar] [CrossRef]
  18. Droguett, T.; Mora-Gómez, J.; García-Gabaldón, M.; Ortega, E.; Mestre, S.; Cifuentes, G.; Pérez-Herranz, V. Electrochemical Degradation of Reactive Black 5 using two diferent reactor configuration. Sci. Rep. 2020, 10, 4482. [Google Scholar] [CrossRef] [PubMed]
  19. Sala, M.; Gutiérrez-Bouzán, M.C. Electrochemical Techniques in Textile Processes and Wastewater Treatment. Int. J. Photoenergy 2012, 2012, 1–12. [Google Scholar] [CrossRef] [Green Version]
  20. Sathishkumar, K.; AlSalhi, M.S.; Sanganyado, E.; Devanesan, S.; Arulprakash, A.; Rajasekar, A. Sequential electrochemical oxidation and bio-treatment of the azo dye congo red and textile effluent. J. Photochem. Photobiol. B 2019, 200, 111655. [Google Scholar] [CrossRef] [PubMed]
  21. Vaghela, S.S.; Jethva, A.D.; Mehta, B.B.; Dave, S.P.; Adimurthy, S.; Ramachandraiah, G. Laboratory Studies of Electrochemical Treatment of Industrial Azo Dye Effluent. Environ. Sci. Technol. 2005, 39, 2848–2855. [Google Scholar] [CrossRef]
  22. Brito, C.N.; Barbosa Ferreira, M.; de Moura Santos, E.C.M.; Línares Léon, J.J.; Ganiyu, S.O.; Martinez-Huitle, C.A. Electrochemical degradation of Azo-dye Acid Violet 7 using BDD anode: Effect of flow reactor configuration on cell hydrodynamics and dye removal efficiency. J. Appl. Electrochem. 2018, 48, 1321–1330. [Google Scholar] [CrossRef]
  23. Łuba, M.; Mikołajczyk, T.; Pierożyński, B.; Smoczyński, L.; Wojtaha, P.; Kuczyński, M. Electrochemical Degradation of Industrial Dyes in Wastewater through the Dissolution of Aluminum Sacrificial Anode of Cu/Al Macro-Corrosion Galvanic Cell. Molecules 2020, 25, 4108. [Google Scholar] [CrossRef]
  24. Lakshmanan, D.; Clifford, D.A.; Samanta, G. Ferrous and Ferric Ion Generation During Iron Electrocoagulation. Environ. Sci. Technol. 2009, 43, 3853–3859. [Google Scholar] [CrossRef] [PubMed]
  25. Xiao, K.; Li, Z.; Song, J.; Bai, Z.; Xue, W.; Wu, J.; Dong, C. Effect of Concentrations of Fe2+ and Fe3+ on the Corrosion Behavior of Carbon Steel in Cl and SO42− Aqueous Environments. Met. Mater. Int. 2020, 26, 1–11. [Google Scholar] [CrossRef]
  26. Li, X.; Liu, L.; Wu, Y.; Liu, T. Determination of the Redox Potentials of Solution and Solid Surface of Fe(II) Associated with Iron Oxyhydroxides. ACS Earth Space Chem. 2019, 3, 711–717. [Google Scholar] [CrossRef]
  27. Xiao, K.; Dong, C.F.; Li, X.G.; Wang, F.M. Corrosion Products and Formation Mechanism During Initial Stage of Atmospheric Corrosion of Carbon Steel. J. Iron. Steel Res. Int. 2008, 15, 42–48. [Google Scholar] [CrossRef]
  28. Nurhayati, E. A Brief Review on Electro-generated Hydroxyl Radical Organic Wastewater Mineralization. JSTL 2012, 4, 24–31. [Google Scholar] [CrossRef] [Green Version]
  29. Asghar, A.; Abdul Raman, A.A.; Wan Daud, W.M.A. Advanced oxidation processes for in-situ production of hydrogen peroxide/hydroxyl radical for textile wastewater treatment: A review. J. Clean. Prod. 2015, 87, 826–838. [Google Scholar] [CrossRef] [Green Version]
  30. Wang, J.L.; Xu, L.J. Advanced Oxidation Processes for Wastewater Treatment: Formation of Hydroxyl Radical and Application. Crit. Rev. Environ. Sci. Technol. 2011, 42, 251–325. [Google Scholar] [CrossRef]
  31. Ingelsson, M.; Yasri, N.; Roberts, E.P.L. Electrode passivation, faradaic efficiency, and performance enhancement strategies in electrocoagulation—A review. Water Res. 2020, 187, 116433. [Google Scholar] [CrossRef]
  32. Vidal, J.; Espinoza, C.; Contreras, N.; Salazar, R. Elimination of industrial textile dye by electrocoagulation using iron electrodes. J. Chil. Chem. Soc. 2017, 62, 3519–3524. [Google Scholar] [CrossRef] [Green Version]
  33. Gadd, A.; Ryan, D.; Kavanagh, J.; Beaurain, A.L.; Luxem, S.; Barton, G. Electrocoagulation of fermentation wastewater by low carbon steel (Fe) and 5005 aluminium (Al) electrodes. J. Appl. Electrochem. 2010, 40, 1511–1517. [Google Scholar] [CrossRef]
  34. Luo, H.; Su, H.; Dong, C.; Li, X. Passivation and electrochemical behaviour of 316L stainless steel in chlorinated simulated concrete pore solution. Appl. Surf. Sci. 2017, 400, 38–48. [Google Scholar] [CrossRef]
  35. Cabrera-Sierra, R.; Sosa, E.; Oropeza, M.T.; Gonzalez, I. Electrochemical study on carbon steel corrosion process in alkaline sour media. Electrochim. Acta 2002, 47, 2149–2158. [Google Scholar] [CrossRef]
  36. El-Naggar, M.M. Cyclic voltametric studies of carbon steel in dearated NaHCO3 solution. J. Appl. Electrochem. 2004, 34, 911–918. [Google Scholar] [CrossRef]
  37. Nie, C.; Dong, J.; Sun, P.; Yan, C.; Wu, H.; Wang, B. An efficient strategy for full mineralization of an azo dye in wastewater: A synergistic combination of solar thermo- and electrochemistry plus photocatalysis. RSC Adv. 2017, 7, 36246–36255. [Google Scholar] [CrossRef] [Green Version]
  38. Wang, Z.; Ai, L.; Huang, Y.; Zhang, J.; Li, S.; Chen, J.; Yang, F. Degradation of azo dye with activated peroxygens: When zero-valent iron meets chloride. RSC Adv. 2017, 7, 30941–30948. [Google Scholar] [CrossRef] [Green Version]
  39. Liu, Y.-N.; Zhou, X.; Wang, X.; Liang, K.; Yang, Z.-K.; Shen, C.-C.; Imran, M.; Sahar, S.; Xu, A.-W. Hydrogenation/oxidation induced efficient reversible color switching between methylene blue and leuco-methylene blue. RSC Adv. 2017, 7, 30080–30085. [Google Scholar] [CrossRef] [Green Version]
  40. Ali, S.S.; Al-Tohamy, R.; Koutra, E.; Kornaros, M.; Khalil, M.; Elsamahy, T.; El-Shetehy, M.; Sun, J. Coupling azo dye degradation and biodiesel production by manganese-dependent peroxidase producing oleaginous yeasts isolated from wood-feeding termite gut symbionts. Biotechnol. Biofuels 2021, 14, 1–25. [Google Scholar] [CrossRef]
  41. Ishchi, T.; Sibi, G. Azo Dye Degradation by Chlorella vulgaris: Optimization and Kinetics. Int. J. Biol. Chem. 2020, 14, 1–7. [Google Scholar] [CrossRef]
  42. Krishnakumar, B.; Swaminathan, M. Influence of operational parameters on photocatalytic degradation of genotoxic azo dye Acid Violet 7 in aqueous ZnO suspensions. Spectrochim. Acta Part A 2011, 81, 739–744. [Google Scholar] [CrossRef]
  43. Łuba, M.; Mikołajczyk, T.; Kuczyński, M.; Pierożyński, B.; Kalinowski, S.; Jasiecka-Mikołajczyk, A.; Rasiński, B.; Wojtacha, P. Electrochemical Purification of Disperse Red 167 Azo Dye-based Synthetic Wastewater Through the Electrooxidation and Elec-trocoagulation with Fe ions derived from Cu/Fe Macro-corrosion Galvanic Cell. Int. J. Mol. Sci. 2021, in press. [Google Scholar]
Figure 1. Chemical structure of the acid mixture (AM): (a) Acid Violet 90 (AV90); (b) Acid Red 357 (AR357), azo dyes molecules.
Figure 1. Chemical structure of the acid mixture (AM): (a) Acid Violet 90 (AV90); (b) Acid Red 357 (AR357), azo dyes molecules.
Molecules 26 04580 g001
Figure 2. Recorded values of (a) open-circuit voltage and (b) galvanic couple current-density for macro-corrosion Cu/Fe galvanic cell in function of exposure time, derived for freshly prepared and aerated Na2SO4-based solution, in the presence of AM dye, at a concentration of 50 mg dm−3.
Figure 2. Recorded values of (a) open-circuit voltage and (b) galvanic couple current-density for macro-corrosion Cu/Fe galvanic cell in function of exposure time, derived for freshly prepared and aerated Na2SO4-based solution, in the presence of AM dye, at a concentration of 50 mg dm−3.
Molecules 26 04580 g002
Figure 3. (a) Cyclic voltammetry behaviour of the Cu/Fe galvanic cell in the absence and presence of AM dye (at 50 mg dm−3), recorded in 0.054 M Na2SO4 supporting electrolyte, at a sweep-rate of 50 mV s−1 and 293 K (third cycle); (b) shift of the peak potential value for the recorded cathodic reduction process upon continuous cycling; (c) disappearance of cathodic reduction peak upon cycling over the potential range narrowed to −1.1–(−0.75) V.
Figure 3. (a) Cyclic voltammetry behaviour of the Cu/Fe galvanic cell in the absence and presence of AM dye (at 50 mg dm−3), recorded in 0.054 M Na2SO4 supporting electrolyte, at a sweep-rate of 50 mV s−1 and 293 K (third cycle); (b) shift of the peak potential value for the recorded cathodic reduction process upon continuous cycling; (c) disappearance of cathodic reduction peak upon cycling over the potential range narrowed to −1.1–(−0.75) V.
Molecules 26 04580 g003aMolecules 26 04580 g003b
Figure 4. The recorded complex plane Nyquist impedance plots for low carbon steel electrode in contact with AM-modified (50 mg dm−3) Na2SO4 solution, derived for the stated potential values vs. SCE, where (a) corresponds to the surface formation of iron II hydroxide layer and (b) corresponds to iron oxidation to form Fe3O4 or Fe(OH)3 species along with consecutive surface electrooxidation of the dye. The solid lines correspond to the representation of the data according to the equivalent circuit model presented in Figure 5.
Figure 4. The recorded complex plane Nyquist impedance plots for low carbon steel electrode in contact with AM-modified (50 mg dm−3) Na2SO4 solution, derived for the stated potential values vs. SCE, where (a) corresponds to the surface formation of iron II hydroxide layer and (b) corresponds to iron oxidation to form Fe3O4 or Fe(OH)3 species along with consecutive surface electrooxidation of the dye. The solid lines correspond to the representation of the data according to the equivalent circuit model presented in Figure 5.
Molecules 26 04580 g004
Figure 5. Equivalent circuit model used for fitting the obtained ac impedance spectroscopy data, where Rs is solution resistance; Cdl is double-layer capacitance; Rct is charge-transfer resistance parameter for electrooxidation of Fe anode surface; RAds and CAds are adsorption resistance and capacitance parameters for Fe(OH)2 film, respectively; and Rox and Cp are azo dyes electrooxidation resistance and pseudocapacitance parameters, respectively, connected with oxidative degradation of AM dye molecule. The circuits include constant phase elements (CPEs) to account for distributed capacitance.
Figure 5. Equivalent circuit model used for fitting the obtained ac impedance spectroscopy data, where Rs is solution resistance; Cdl is double-layer capacitance; Rct is charge-transfer resistance parameter for electrooxidation of Fe anode surface; RAds and CAds are adsorption resistance and capacitance parameters for Fe(OH)2 film, respectively; and Rox and Cp are azo dyes electrooxidation resistance and pseudocapacitance parameters, respectively, connected with oxidative degradation of AM dye molecule. The circuits include constant phase elements (CPEs) to account for distributed capacitance.
Molecules 26 04580 g005
Figure 6. UV-Vis absorption spectra changes in time for AM dye’s electrodegradation, carried-out by means of Cu/Fe galvanic cell, where: (a) Representation of the three segments of AM dye’s electrooxidation process on the surface of Fe anode in Na2SO4 solution (for an initial dye concentration of 50 mg dm−3); (b) evolution of decolorization process, recorded for a wavelength of 500 nm; (c) progress of aromatic ring degradation, recorded for a wavelength of 280 nm; (d) evolution of mineralization process, recorded for a wavelength of 240 nm; (e) quantitative dye assay after sedimentation process, recorded for a wavelength of 500 nm.
Figure 6. UV-Vis absorption spectra changes in time for AM dye’s electrodegradation, carried-out by means of Cu/Fe galvanic cell, where: (a) Representation of the three segments of AM dye’s electrooxidation process on the surface of Fe anode in Na2SO4 solution (for an initial dye concentration of 50 mg dm−3); (b) evolution of decolorization process, recorded for a wavelength of 500 nm; (c) progress of aromatic ring degradation, recorded for a wavelength of 280 nm; (d) evolution of mineralization process, recorded for a wavelength of 240 nm; (e) quantitative dye assay after sedimentation process, recorded for a wavelength of 500 nm.
Molecules 26 04580 g006aMolecules 26 04580 g006b
Figure 7. Representative UPLC-MS/MS chromatograms for AM: (a) before; (b) after 60 min of continuous electrolysis.
Figure 7. Representative UPLC-MS/MS chromatograms for AM: (a) before; (b) after 60 min of continuous electrolysis.
Molecules 26 04580 g007
Table 1. Parameters for the processes of Fe electrode oxidation and azo dye electrodegradation (at a total concentration of AM at 50 mg dm−3) on the surface of the Fe mild steel anode in contact with 0.054 M Na2SO4, achieved by fitting equivalent circuit models presented in Figure 5 to the experimentally obtained impedance data (dimensionless φ parameter, which determines the constant phase angle in the complex-plane plot (0 ≤ φ ≤ 1) of the CPEs circuit, varied between 0.79 and 0.86, and 0.50 and 0.96 for φ1 and φ2, respectively).
Table 1. Parameters for the processes of Fe electrode oxidation and azo dye electrodegradation (at a total concentration of AM at 50 mg dm−3) on the surface of the Fe mild steel anode in contact with 0.054 M Na2SO4, achieved by fitting equivalent circuit models presented in Figure 5 to the experimentally obtained impedance data (dimensionless φ parameter, which determines the constant phase angle in the complex-plane plot (0 ≤ φ ≤ 1) of the CPEs circuit, varied between 0.79 and 0.86, and 0.50 and 0.96 for φ1 and φ2, respectively).
E/mVRct/Ω cm2Cdl/µF cm−2 s φ1-1RAds/Ω cm2CAds/µF cm−2 s φ2-1
Acid Mixture
−95067.4 ± 10.5536 ± 1741980 ± 4985181 ± 818
−90040.2 ± 3.31828 ± 1165857 ± 15742991 ± 410
Rox/Ω cm2Cp/µF cm−2s φ2-1
−63052.6 ± 1.1604 ± 3228.4 ± 2.535,372 ± 2581
−57032.8 ± 0.3672 ± 216.6 ± 0.4152,788 ± 12,425
−45015.1 ± 0.2464 ± 142.8 ± 0.1157,761 ± 11,691
−41012.8 ± 0.1510 ± 252.1 ± 0.2243,297 ± 24,982
−38012.1 ± 0.1603 ± 381.4 ± 0.2400,853 ± 72,947
Table 2. Efficiency comparison and features of various novel azo dyes removal methods.
Table 2. Efficiency comparison and features of various novel azo dyes removal methods.
Method of Azo Dyes RemovalType of ProcessTotal Removal %Exposure TimeUse of External Power SupplyCurrent Density/mA cm−2Use of Toxic ChemicalsRef.
Cu/Fe macro-corrosion galvanic cellPhysico-chemical37%1 hNo0.29NoThis work
Novel yeast consortiumBiological6–16%1 hNo-Heavy metals[40]
Electrochemical degradation with BDD-anodePhysico-chemicalca. 40%1 hYes30.00No[22]
Tank with Chlorella vulgaris microalgaeBiologicalca. 18%2 daysNo-No[41]
Electrochemical treatment with Aluminum anodesPhysico-chemical87%1 hYes-Yes (Cl2 formation)[17]
Electrochemical treatment with Sb-doped SnO2 ceramic electrodesPhysico-chemicalca. 50%1 hYes15.00No[18]
Electrochemical oxidation using RuO2-IrO2 coated titanium electrode as an anode followed by biodecolorization using Pseudomonas stutzeri MN1 and Acinetobacter baumannii MN3Combination of physico-chemical and biological methods98%10 min + 24 h (Electrochemical + biological techniques)Yes20.00Yes (Cl2 formation)[20]
Table 3. Variation of the detected chromatographic peak areas for AV90 and AR357 substrate components by time of electrolysis.
Table 3. Variation of the detected chromatographic peak areas for AV90 and AR357 substrate components by time of electrolysis.
Electrolysis Time/minPeak Area
AV90AR357
01,741,914 ± 37,287329,430 ± 6872
15696,022 ± 44,05696,908 ± 3107
30460,865 ± 25,49166,638 ± 4787
45349,217 ± 13,97340,856 ± 3795
60250,192 ± 15,03828,790 ± 340
Table 4. Tandem mass spectrometry (MS/MS) parameters.
Table 4. Tandem mass spectrometry (MS/MS) parameters.
MS/MS Parameters
Precursor ion (m/z)447.5 (AR357)
442.5 (AV90)
Product ions (m/z)-
Desolvation gasnitrogen
Desolvation gas temperature (°C)350
Desolvation gas flow (L/h)300
Cone gas flow (L/h)150
Collision gasargon
Source’s temperature (°C)120
Electrospray modenegative
Cone voltage (V)20
Capillary voltage (kV)3.0
Retention time (min)0.89 (AV90)
1.10 (AR357)
Publisher’s Note: MDPI stays neutral with regard to jurisdictional claims in published maps and institutional affiliations.

Share and Cite

MDPI and ACS Style

Kuczyński, M.; Łuba, M.; Mikołajczyk, T.; Pierożyński, B.; Jasiecka-Mikołajczyk, A.; Smoczyński, L.; Sołowiej, P.; Wojtacha, P. Electrodegradation of Acid Mixture Dye through the Employment of Cu/Fe Macro-Corrosion Galvanic Cell in Na2SO4 Synthetic Wastewater. Molecules 2021, 26, 4580. https://doi.org/10.3390/molecules26154580

AMA Style

Kuczyński M, Łuba M, Mikołajczyk T, Pierożyński B, Jasiecka-Mikołajczyk A, Smoczyński L, Sołowiej P, Wojtacha P. Electrodegradation of Acid Mixture Dye through the Employment of Cu/Fe Macro-Corrosion Galvanic Cell in Na2SO4 Synthetic Wastewater. Molecules. 2021; 26(15):4580. https://doi.org/10.3390/molecules26154580

Chicago/Turabian Style

Kuczyński, Mateusz, Mateusz Łuba, Tomasz Mikołajczyk, Bogusław Pierożyński, Agnieszka Jasiecka-Mikołajczyk, Lech Smoczyński, Piotr Sołowiej, and Paweł Wojtacha. 2021. "Electrodegradation of Acid Mixture Dye through the Employment of Cu/Fe Macro-Corrosion Galvanic Cell in Na2SO4 Synthetic Wastewater" Molecules 26, no. 15: 4580. https://doi.org/10.3390/molecules26154580

APA Style

Kuczyński, M., Łuba, M., Mikołajczyk, T., Pierożyński, B., Jasiecka-Mikołajczyk, A., Smoczyński, L., Sołowiej, P., & Wojtacha, P. (2021). Electrodegradation of Acid Mixture Dye through the Employment of Cu/Fe Macro-Corrosion Galvanic Cell in Na2SO4 Synthetic Wastewater. Molecules, 26(15), 4580. https://doi.org/10.3390/molecules26154580

Article Metrics

Back to TopTop