Formulation Effects in the Antioxidant Activity of Extract from the Leaves of Cymbopogon citratus (DC) Stapf
Abstract
1. Introduction
2. Results
2.1. Characterization of Cymbopogon Citratus Extract
2.1.1. Determination of Water Content
2.1.2. Identification of Polyphenols by HPLC-PDA
2.1.3. Antioxidant Activity and Total Phenols Evaluation
2.1.4. Detection of n-Hexane Traces in the Extract
2.1.5. Differential Scanning Calorimetry
2.1.6. Infrared Spectroscopy
2.2. Oral Dosage Forms Development
2.2.1. Mass Uniformity
2.2.2. Content Uniformity
2.2.3. Dissolution Tests
2.2.4. Selection of Formulation
2.3. Evaluation of the Formulations after Gastric Juice Action
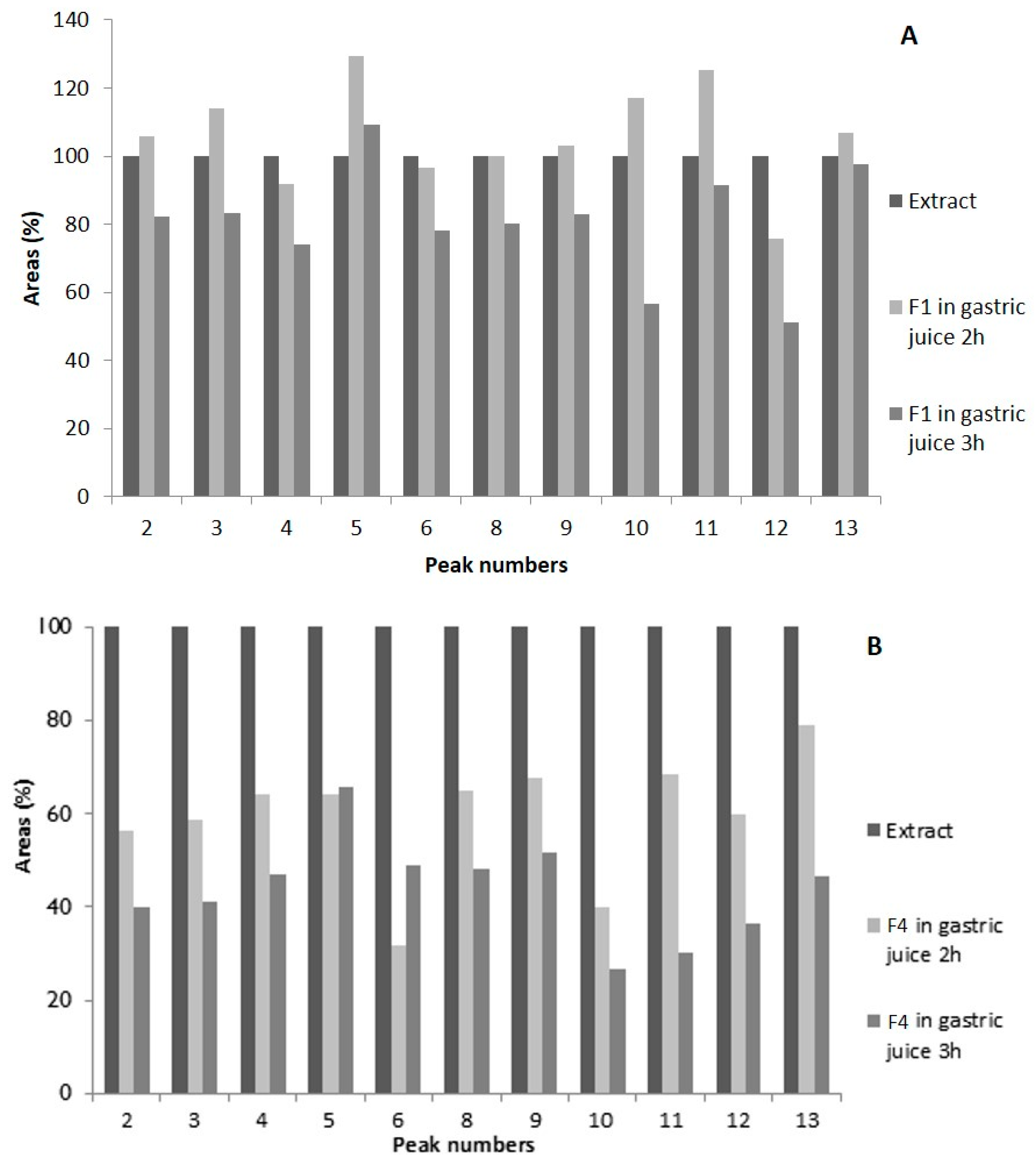
2.3.1. Assessing of Phenolic Compounds Stability in Gastric Juice by HPLC-PDA
2.3.2. Evaluation of Antioxidant Activity by DPPH Assay after Gastric Juice Action
3. Discussion
4. Materials and Methods
4.1. Chemical Materials
4.2. Botanical Material
4.3. Preparation of Cymbopogon Citratus Extract
4.4. Determination of Water Content
4.5. High Performance Liquid Chromatography
4.6. DPPH Assay
4.7. Folin–Ciocalteu Method
4.8. Gas Chromatography (GC)
4.9. Pre-Formulation Tests
4.9.1. Differential Scanning Calorimetry
4.9.2. Infrared Spectroscopy
4.10. Preparation of Capsules
4.11. Quality Control of Oral Dosage Forms
4.11.1. Mass Uniformity
4.11.2. Content Uniformity
4.11.3. Dissolution Test
- (a)
- Specificity—solutions of the formulation excipients (Table 3) were prepared in gastric juice and the correspondent absorbance was read at 333 nm against a blank of gastric juice;
- (b)
- Linearity—a stock solution of extract in gastric juice was prepared, and from it, solutions with different concentrations of extract (100%, 80% and 60% in gastric juice) and the respective excipients of each formulation were prepared. The absorbance was read at 333 nm and the values were reported as the rutin concentration using a calibration curve;
- (c)
- Accuracy—solutions with mixtures of excipients and extract (100, 80 and 60%) were prepared for the different formulations and the respective absorbance was read. The recovery percentage was calculated by the equation:
- (d)
- Repeatability was evaluated by the coefficient of variation (CV) from the results of dissolution test for six capsules of each formulation, according to test conditions described above.
4.12. Chemical Stability of the Extract and Formulation in Artificial Gastric Juice
4.13. Antioxidant Activity of the Extract and Formulation in Artificial Gastric Juice
5. Conclusions
Author Contributions
Funding
Institutional Review Board Statement
Informed Consent Statement
Data Availability Statement
Acknowledgments
Conflicts of Interest
Sample Availability
Abbreviations
References
- Negrelle, R.R.B.; Gomes, E.C. Cymbopogon citratus (DC.) Stapf: Chemical composition and biological activities. Rev. Bras. Plants Med. 2007, 9, 80–92. [Google Scholar]
- Melo, J.G.D.; Martins, J.D.G.D.R.; Amorim, E.L.C.D.; Albuquerque, U.P.D. Qualidade de produtos a base de plantas medicinais comercializados no Brasil: Castanha-da-Índia (Esculus hippocastanum L.), capim-limão (Cymbopogon citratus (DC.) Stapf) e centela (Centella asiatica (L.) Urban). Acta Bot. Bras. 2007, 21, 27–36. [Google Scholar] [CrossRef]
- Ekpenyong, C.E.; Akpan, E.E.; Daniel, N.E. Phytochemical constituents, therapeutic applications and toxicological profile of Cymbopogon citratus Stapf (DC) leaf extract. J. Pharmacogn. Phytochem. 2014, 3, 133–141. [Google Scholar]
- Ruvinov, I.; Nguyen, C.; Scaria, B.; Vegh, C.; Zaitoon, O.; Baskaran, K.; Mehaidli, A.; Nunes, M.; Pandey, S. Lemongrass extract possesses potent anticancer activity against human colon cancers, inhibits tumorigenesis, enhances efficacy of folfox, and reduces its adverse effects. Integr. Cancer Ther. 2019, 18, 1534735419889150. [Google Scholar] [CrossRef] [PubMed]
- Oladeji, O.S.; Adelowo, F.E.; Ayodele, D.T.; Odelade, K.A. Phytochemistry and pharmacological activities of Cymbopogon citratus: A review. Sci. Afr. 2019, 6, e00137. [Google Scholar] [CrossRef]
- Promila, P.; Madan, V.K. A Review on the phytochemistry and pharmacology of Cymbopogon citratus Stapf. (lemongrass). J. Pharm. Innov. 2018, 7, 300–304. [Google Scholar]
- Garcia, R.; Ferreira, J.P.; Costa, G.; Santos, T.; Branco, F.; Caramona, M.; Carvalho, R.; Dinis, A.M.; Batista, M.T.; Castel-Branco, M.; et al. Evaluation of anti-inflammatory and analgesic activities of Cymbopogon citratus infusion in vivo—Polyphenols contribution. Res. J. Med. Plant 2015, 9, 1–13. [Google Scholar]
- Sagradas, J.; Costa, G.; Figueirinha, A.; Castel-Branco, M.M.; Cabrita, A.M.S.; Figueiredo, I.V.; Batista, M.T. Gastroprotective effect of Cymbopogon citratus infusion on acute ethanol-induced gastric lesions in rats. J. Ethnopharmacol. 2015, 173, 134–138. [Google Scholar] [CrossRef]
- Costa, G.; González-Manzano, S.; González-Paramás, A.; Figueiredo, I.V.; Santos-Buelga, C.; Batista, M.T. Flavan hetero-dimers in the Cymbopogon citratus infusion tannin fraction and their contribution to the antioxidant activity. Food Funct. 2015, 6, 932–937. [Google Scholar] [CrossRef] [PubMed]
- Figueirinha, A.; Paranhos, A.; Pérez-Alonso, J.J.; Santos-Buelga, C.; Batista, M.T. Cymbopogon citratus leaves: Characterization of flavonoids by HPLC–PDA–ESI/MS/MS and an approach to their potential as a source of bioactive polyphenols. Food Chem. 2008, 110, 718–728. [Google Scholar] [CrossRef]
- Avoseh, O.; Oyedeji, O.; Rungqu, P.; Nkeh-Chungag, B.; Oyedeji, A. Cymbopogon Species: Ethnopharmacology, phytochemistry and the pharmacological importance. Molecules 2015, 20, 7438–7453. [Google Scholar] [CrossRef] [PubMed]
- Ekpenyong, C.E.; Akpan, E.; Nyoh, A. Ethnopharmacology, phytochemistry, and biological activities of Cymbopogon citratus (DC.) Stapf extracts. Chin. J. Nat. Med. 2015, 13, 321–337. [Google Scholar] [CrossRef]
- Shah, G.; Shri, R.; Panchal, V.; Sharma, N.; Singh, B.; Mann, A.S. Scientific basis for the therapeutic use of Cymbopogon citratus, Stapf (lemon grass). J. Adv. Pharm. Technol. Res. 2011, 2, 3–8. [Google Scholar] [CrossRef] [PubMed]
- Francisco, V.; Figueirinha, A.; Neves, B.M.; García-Rodríguez, C.; Lopes, M.C.; Cruz, M.T.; Batista, M.T. Cymbopogon citratus as source of new and safe anti-inflammatory drugs: Bio-guided assay using lipopolysaccharide-stimulated macrophages. J. Ethnopharmacol. 2011, 133, 818–827. [Google Scholar] [CrossRef] [PubMed]
- Balakrishnan, B.; Paramasivam, S.; Arulkumar, A. Evaluation of the lemongrass plant (Cymbopogon citratus) extracted in different solvents for antioxidant and antibacterial activity against human pathogens. Asian Pac. J. Trop. Dis. 2014, 4, S134–S139. [Google Scholar] [CrossRef]
- Cheel, J.; Theoduloz, C.; Rodríguez, J.; Schmeda-Hirschmann, G. Free radical scavengers and antioxidants from lemongrass (Cymbopogon citratus (DC.) Stapf). J. Agric. Food Chem. 2005, 53, 2511–2517. [Google Scholar] [CrossRef]
- Campos, J.; Schmeda-Hirschmann, G.; Leiva, E.; Guzmán, L.; Orrego, R.; Fernández, P.; González, M.; Radojkovic, C.; Zuñiga, F.A.; Lamperti, L.; et al. Lemon grass (Cymbopogon citratus (D.C) Stapf) polyphenols protect human umbilical vein endothelial cell (HUVECs) from oxidative damage induced by high glucose, hydrogen peroxide and oxidised low-density lipoprotein. Food Chem. 2014, 151, 175–181. [Google Scholar] [CrossRef]
- Orrego, R.; Leiva, E.; Cheel, J. Inhibitory effect of three C-glycosylflavonoids from Cymbopogon citratus (Lemongrass) on human low density lipoprotein oxidation. Molecules 2009, 14, 3906–3913. [Google Scholar] [CrossRef] [PubMed]
- Tiwari, M.; Dwivedi, U.N.; Kakkar, P. Suppression of oxidative stress and pro-inflammatory mediators by Cymbopogon citratus D. Stapf extract in lipopolysaccharide stimulated murine alveolar macrophages. Food Chem. Toxicol. 2010, 48, 2913–2919. [Google Scholar] [CrossRef] [PubMed]
- Ogbonna, J.I.; Umeh, O.N.C.; Mbah, C.C.; Amadi, B.C.; Ofoefule, S.I.; Ozumba, B.C. Formulation and evaluation of antidiabetic capsules of kaempferol-3-O-β-D-6′-(p-coumaroyl) glucopyranoside extracted from Allium cepa L. Int. J. Pharm. Sci. Res. 2019, 10, 5455–5462. [Google Scholar]
- Strasbourg Council of Europe. European Pharmacopoeia, 8th ed.; Strasbourg Council of Europe: Strasbourg, France, 2015. [Google Scholar]
- Francisco, V.; Figueirinha, A.; Costa, G.; Liberal, J.; Lopes, M.C.; García-Rodríguez, C.; Geraldes, C.F.G.C.; Cruz, M.T.; Batista, M.T. Chemical characterization and anti-inflammatory activity of luteolin glycosides isolated from lemongrass. J. Funct. Foods 2014, 10, 436–443. [Google Scholar] [CrossRef]
- Costa, G.; Grangeia, H.; Figueirinha, A.; Figueiredo, I.V.; Batista, M.T. Influence of harvest date and material quality on polyphenolic content and antioxidant activity of Cymbopogon citratus infusion. Ind. Crop. Prod. 2016, 83, 738–745. [Google Scholar] [CrossRef]
- Manadas, R.; Pina, M.E.; Veiga, F. A dissolução in vitro na previsão da absorção oral de fármacos em formas farmacêuticas de liberação modificada. Braz. J. Pharm. Sci. 2002, 38, 375–399. [Google Scholar] [CrossRef]
- Radic, K.; Dukovski, B.J.; Cepo, D.V. Influence of pomace matrix and cyclodextrin encapsulation on olive pomace polyphenols’ bioaccessibility and intestinal permeability. Nutrients 2020, 12, 669. [Google Scholar] [CrossRef]
- Figueirinha, A.; Cruz, M.T.; Francisco, V.; Lopes, M.C.; Batista, M.T. Anti-inflammatory activity of Cymbopogon citratus leaf infusion in lipolysaccaride-stimulating dendritic cells: Contribution to polyphenols. J. Med. Food. 2010, 13, 681–690. [Google Scholar] [CrossRef] [PubMed]
- Pagliuso, D.; Jara, C.E.P.; Grandis, A.; Lam, E.; Ferreira, M.J.P.; Buckeridge, M.S. Flavonoids from duckweeds: Potential applications in the human diet. RSC Adv. 2020, 10, 44981–44988. [Google Scholar] [CrossRef]
- Xiao, J.; Capanoglu, E.; Jassbi, A.R.; Miron, A. Advance on the flavonoid C-glycosides and health benefits. Crit. Rev. Food Sci. Nutr. 2016, 56, S29–S45. [Google Scholar] [CrossRef]
- Xiao, J. Dietary flavonoid aglycones and their glycosides: Which show better biological significance? Crit. Rev. Food Sci. Nutr. 2017, 57, 1874–1905. [Google Scholar] [CrossRef] [PubMed]
- Pereira, M.A.V.; Fonseca, G.D.; Silva-Júnior, A.A.; Fernandes-Pedrosa, M.F.; de Moura, M.F.V.; Barbosa, E.G.; Gomes, A.P.B.; Santos, K.S.C.R. Compatibility study between chitosan and pharmaceutical excipients used in solid dosage forms. J. Therm. Anal. Calorim. 2014, 116, 1091–1100. [Google Scholar] [CrossRef]
- Veras, K.S.; Fachel, F.N.S.; Pittol, V.; Garcia, K.R.; Bassani, V.L.; Santos, V.; Henriques, A.T.; Teixeira, H.F.; Koester, L.S. Compatibility study of rosmarinic acid with excipients used in pharmaceutical solid dosage forms using thermal and non-thermal techniques. Saudi Pharm. J. 2019, 27, 1138–1145. [Google Scholar] [CrossRef]
- Esmaeili, S.; Dayani, L.; Taheri, A.; Zolfaghari, B. Phytochemical standardization, formulation and evaluation of oral hard gelatin capsules from Pinus eldarica bark extract. Avicenna J. Phytomed. 2021, 11, 168–179. [Google Scholar]
- Putseys, J.A.; Lamberts, L.; Delcour, J.A. Amylose-inclusion complexes: Formation, identity and physico-chemical properties. J. Cereal Sci. 2010, 51, 238–247. [Google Scholar] [CrossRef]
- Yang, L.; Zhang, B.; Yi, J.; Liang, J.; Liu, Y.; Zhang, L.M. Preparation, characterization, and properties of amylose-ibuprofen inclusion complexes. Starch 2013, 65, 593–602. [Google Scholar] [CrossRef]
- Ferruzzi, M.G.; Hamaker, B.R.; Bordenave, N. Phenolic compounds are less degraded in presence of starch than in presence of proteins through processing in model porridges. Food Chem. 2020, 309, 125769. [Google Scholar] [CrossRef]
- Ahmad-Qasem, M.H.; Cánovas, J.; Barrajón-Catalán, E.; Carreres, J.E.; Micol, V.; García-Pérez, J.V. Influence of olive leaf processing on the bioaccessibility of bioactive polyphenols. J. Agric. Food Chem. 2014, 62, 6190–6198. [Google Scholar] [CrossRef]
- Li, M.; Griffin, L.G.; Corbin, S.; Neilson, A.P.; Ferruzzi, M.G. Modulating phenolic bioaccessibility and glycemic response of starch-based foods in wistar rats by physical complexation between starch and phenolic acid. J. Agric. Food Chem. 2020, 68, 13257–13266. [Google Scholar] [CrossRef]
- Blois, M.S. Antioxidant determinations by the use of a stable free radical. Nature 1958, 181, 1199–1200. [Google Scholar] [CrossRef]
- Wang, C.; Lee, W.; Peng, C. Contents of phenolics and alkaloids in Areca catechu Linn. during maturation. J. Agric. Food Chem. 1997, 45, 1185–1188. [Google Scholar] [CrossRef]
- Costa, G.; Fortuna, A.; Gonçalves, D.; Figueiredo, I.V.; Falcão, A.; Batista, M.T. Pharmacokinetics of Cymbopogon citratus infusion in rats after single oral dose administration. SOJ Pharm. Pharm. Sci. 2017, 4, 1–9. [Google Scholar] [CrossRef][Green Version]
- Sambiagio, N.; Sauvain, J.-J.; Berthet, A.; Auer, R.; Schoeni, A.; Hopf, N.B. Rapid liquid chromatography—tandem mass spectrometry analysis of two urinary oxidative stress biomarkers: 8-oxodG and 8-isoprostane. Antioxidants 2021, 10, 38. [Google Scholar] [CrossRef] [PubMed]






| Peak | Compound * | Retention Time (min) | λ Max HPLC-PDA (nm) |
|---|---|---|---|
| 1 | Condensed tannin | 16.78 | 274 |
| 2 | Neochlorogenic acid | 18.26 | 299sh;327 |
| 3 | Caffeic acid derivative | 19.48 | 298;326 |
| 4 | p-Coumaric acid derivative | 22.42 | 310 |
| 5 | 6-C-β-Glucopyranosyl-8-C-α-arabinopyranosyl luteolin | 23.17 | 260sh;271;348 |
| 6 | 6-C-α-Arabinopyranosyl-8-C-β-glucopiranosyl apigenin | 24.74 | 270;332 |
| 7 | 6-C-Pentosyl-8-C-hexosyl apigenin | 26.10 | 272;338 |
| 8 | 6-C-β-Glucopyranosyl luteolin (isoorientin) 2″-O-β-Rhamnosyl isoorientin | 27.76 | 258sh;270;351 |
| 9 | 6-C-Pentosyl-8-C-pentosyl luteolin | 29.19 | 259sh;271;351 |
| 10 | 7-O-β-Glucopyranosyl luteolin | 32.16 | 258sh;268;346 |
| 11 | 7-O-Neohesperosyl luteolin 6-C-Pentosyl-8-C-deoxyhexosyl luteolin | 33.13 | 258sh;266;348 |
| 12 | 6-C-Pentosyl luteolin 2″-O-α-L-Rhamnosyl-6-C-α-arabinofuranosyl luteolin | 35.82 | 258sh;270;347 |
| 13 | 2″-O-Rhamnosyl-(6-deoxy-ribo-hexos-3-ulosyl) luteolin | 36.89 | 259sh;270;351 |
| Figure | Theoretical Content (mg Gallic Acid) * | Experimental Content (mg Gallic Acid) ** | Maximum (mg Gallic Acid) | Minimum (mg Gallic Acid) |
|---|---|---|---|---|
| F1 | 23.17 ± 0.02 | 24.78 ± 0.24 | 24.93 | 24.44 |
| F2 | 23.17 ± 0.02 | 25.65 ± 0.24 | 25.88 | 25.31 |
| F3 | 23.17 ± 0.02 | 24.33 ± 0.20 | 24.55 | 24.09 |
| Excipient | Formulation (mg) | |||
|---|---|---|---|---|
| F1 | F2 | F3 | F4 | |
| Extract | 330 | 330 | 330 | 330 |
| Corn starch | 158 | - | 49.30 | - |
| D (+)-Lactose monohydrate | - | 199 | 66.50 | - |
| Magnesium stearate | - | - | 2.43 | - |
| Microcrystalline cellulose | - | - | 42.50 | - |
Publisher’s Note: MDPI stays neutral with regard to jurisdictional claims in published maps and institutional affiliations. |
© 2021 by the authors. Licensee MDPI, Basel, Switzerland. This article is an open access article distributed under the terms and conditions of the Creative Commons Attribution (CC BY) license (https://creativecommons.org/licenses/by/4.0/).
Share and Cite
Sousa, R.; Figueirinha, A.; Batista, M.T.; Pina, M.E. Formulation Effects in the Antioxidant Activity of Extract from the Leaves of Cymbopogon citratus (DC) Stapf. Molecules 2021, 26, 4518. https://doi.org/10.3390/molecules26154518
Sousa R, Figueirinha A, Batista MT, Pina ME. Formulation Effects in the Antioxidant Activity of Extract from the Leaves of Cymbopogon citratus (DC) Stapf. Molecules. 2021; 26(15):4518. https://doi.org/10.3390/molecules26154518
Chicago/Turabian StyleSousa, Raquel, Artur Figueirinha, Maria Teresa Batista, and Maria Eugénia Pina. 2021. "Formulation Effects in the Antioxidant Activity of Extract from the Leaves of Cymbopogon citratus (DC) Stapf" Molecules 26, no. 15: 4518. https://doi.org/10.3390/molecules26154518
APA StyleSousa, R., Figueirinha, A., Batista, M. T., & Pina, M. E. (2021). Formulation Effects in the Antioxidant Activity of Extract from the Leaves of Cymbopogon citratus (DC) Stapf. Molecules, 26(15), 4518. https://doi.org/10.3390/molecules26154518

