Multicomponent Crystal of Metformin and Barbital: Design, Crystal Structure Analysis and Characterization
Abstract
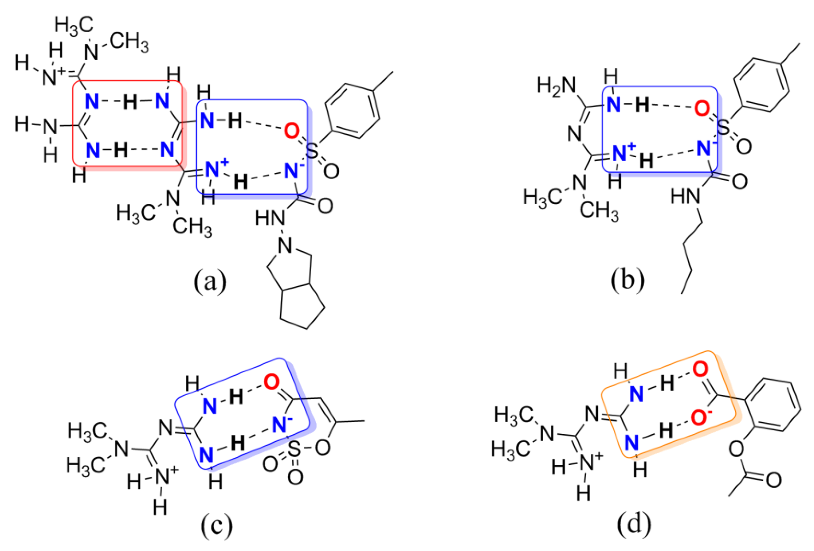
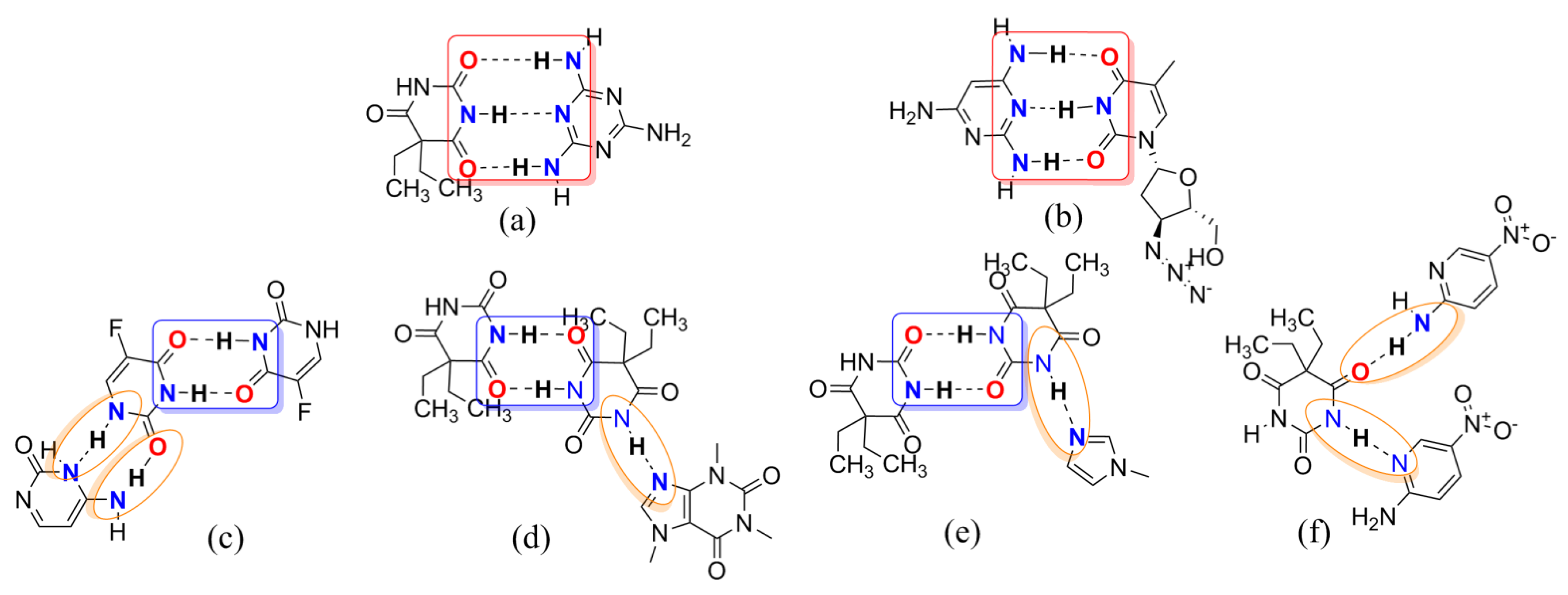
:1. Introduction
2. Results and Discussion
2.1. Single Crystal X-ray Diffraction Analysis of the Crystal Structure
2.2. Characterization of the Crystal Structure
2.3. Characterization of the Moisture Sorption Behavior
3. Conclusions
4. Materials and Methods
4.1. Materials
4.2. Methods
4.2.1. Preparation of Met–Bar
4.2.2. Single Crystal X-ray Diffraction (SCXRD)
4.2.3. Thermal Analysis (TGA and DSC)
4.2.4. Powder X-ray Diffraction (PXRD)
4.2.5. Fourier-Transform Infrared Spectroscopy (FT-IR)
4.2.6. 1H NMR Spectroscopy Analysis
4.2.7. Dynamic Vapor Sorption (DVS)
Author Contributions
Funding
Data Availability Statement
Conflicts of Interest
Sample Availability
References
- Nathan, D.M.; Buse, J.B.; Davidson, M.B.; Ferrannini, E.; Holman, R.R.; Sherwin, R.; Zinman, B. Medical Management of Hyperglycemia in Type 2 Diabetes: A Consensus Algorithm for the Initiation and Adjustment of Therapy A consensus statement of the American Diabetes Association and the European Association for the Study of Diabetes. Diabetes Care 2009, 32, 193–203. [Google Scholar] [CrossRef] [Green Version]
- Egede, L.E.; Ellis, C. Diabetes and depression: Global perspectives. Diabetes Res. Clin. Pract. 2010, 87, 302–312. [Google Scholar] [CrossRef]
- Mezuk, B.; Eaton, W.W.; Albrecht, S.; Golden, S.H. Depression and Type 2 Diabetes Over the Lifespan A meta-analysis. Diabetes Care 2008, 31, 2383–2390. [Google Scholar] [CrossRef] [Green Version]
- Martins, I.J. Overnutrition Determines LPS Regulation of Mycotoxin Induced Neurotoxicity in Neurodegenerative Diseases. Int. J. Mol. Sci. 2015, 16, 29554–29573. [Google Scholar] [CrossRef] [Green Version]
- Labuzek, K.; Suchy, D.; Gabryel, B.; Bielecka, A.; Liber, S.; Okopien, B. Quantification of metformin by the HPLC method in brain regions, cerebrospinal fluid and plasma of rats treated with lipopolysaccharide. Pharmacol. Rep. 2010, 62, 956–965. [Google Scholar] [CrossRef]
- Fan, J.; Li, D.; Chen, H.S.; Huang, J.G.; Xu, J.F.; Zhu, W.W.; Chen, J.G.; Wang, F. Metformin produces anxiolytic-like effects in rats by facilitating GABA(A) receptor trafficking to membrane. Br. J. Pharmacol. 2019, 176, 297–316. [Google Scholar] [CrossRef] [Green Version]
- Stahly, G.P. Diversity in single- and multiple-component crystals. The search for and prevalence of polymorphs and cocrystals. Cryst. Growth Des. 2007, 7, 1007–1026. [Google Scholar] [CrossRef] [Green Version]
- Cerreia Vioglio, P.; Chierotti, M.R.; Gobetto, R. Pharmaceutical aspects of salt and cocrystal forms of APIs and characterization challenges. Adv. Drug Deliv. Rev. 2017, 117, 86–110. [Google Scholar] [CrossRef] [PubMed]
- Aitipamula, S.; Banerjee, R.; Bansal, A.K.; Biradha, K.; Cheney, M.L.; Choudhury, A.R.; Desiraju, G.R.; Dikundwar, A.G.; Dubey, R.; Duggirala, N.; et al. Polymorphs, Salts, and Cocrystals: What’s in a Name? Cryst. Growth Des. 2012, 12, 2147–2152. [Google Scholar] [CrossRef]
- Qiao, N.; Li, M.Z.; Schlindwein, W.; Malek, N.; Davies, A.; Trappitt, G. Pharmaceutical cocrystals: An overview. Int. J. Pharm. 2011, 419, 1–11. [Google Scholar] [CrossRef]
- Sarma, B.; Chen, J.; Hsi, H.Y.; Myerson, A.S. Solid forms of pharmaceuticals: Polymorphs, salts and cocrystals. Korean J. Chem. Eng. 2011, 28, 315–322. [Google Scholar] [CrossRef]
- Jia, L.N.; Wu, S.G.; Gong, J.B. A tolbutamide-metformin salt based on antidiabetic drug combinations: Synthesis, crystal structure analysis and pharmaceutical properties. Acta Crystallogr. Sect. C Struct. Chem. 2019, 75, 1250–1258. [Google Scholar] [CrossRef] [Green Version]
- Zhou, W.X.; Zhao, H.W.; Chen, H.H.; Zhang, Z.Y.; Chen, D.Y. Characterization of drug-drug salt forms of metformin and aspirin with improved physicochemical properties. Crystengcomm 2019, 21, 3770–3773. [Google Scholar] [CrossRef]
- Zhu, B.Q.; Zhang, Q.; Wang, J.R.; Mei, X.F. Cocrystals of Baicalein with Higher Solubility and Enhanced Bioavailability. Cryst. Growth Des. 2017, 17, 1893–1901. [Google Scholar] [CrossRef]
- Putra, O.D.; Furuish, T.; Yonemochi, E.; Terada, K.; Uekusa, H. Drug-Drug Multicomponent Crystals as an Effective Technique to Overcome Weaknesses in Parent Drugs. Cryst. Growth Des. 2016, 16, 3577–3581. [Google Scholar] [CrossRef]
- Bolla, G.; Nangia, A. Pharmaceutical cocrystals: Walking the talk. Chem. Commun. 2016, 52, 8342–8360. [Google Scholar] [CrossRef]
- Numata, M.; Shinkai, S. ‘Supramolecular wrapping chemistry’ by helix-forming polysaccharides: A powerful strategy for generating diverse polymeric nano-architectures. Chem. Commun. 2011, 47, 1961–1975. [Google Scholar] [CrossRef] [PubMed]
- Steed, J.W. Anion-tuned supramolecular gels: A natural evolution from urea supramolecular chemistry. Chem. Soc. Rev. 2010, 39, 3686–3699. [Google Scholar] [CrossRef]
- Steiner, T. The hydrogen bond in the solid state. Angew. Chem. Int. Ed. 2002, 41, 48–76. [Google Scholar] [CrossRef]
- Desiraju, G.R. The C-H···O hydrogen bond: Structural implications and supramolecular design. Acc. Chem. Res. 1996, 29, 441–449. [Google Scholar] [CrossRef]
- Wang, C.G.; Hu, S.Y.; Sun, C.C. Expedited development of a high dose orally disintegrating metformin tablet enabled by sweet salt formation with acesulfame. Int. J. Pharm. 2017, 532, 435–443. [Google Scholar] [CrossRef] [PubMed]
- Feren, S.; Schweitzer, P.K.; Walsh, J.K. Chapter 46—Pharmacotherapy for insomnia. In Handbook of Clinical Neurology; Montagna, P., Chokroverty, S., Eds.; Elsevier: Amsterdam, The Netherlands, 2011; Volume 99, pp. 747–762. [Google Scholar]
- Nobay, F.; Acquisto, N.M. Barbiturates. In Encyclopedia of Toxicology, 3rd ed.; Wexler, P., Ed.; Academic Press: Oxford, UK, 2014; pp. 363–367. [Google Scholar]
- Zencirci, N.; Griesser, U.J.; Gelbrich, T.; Apperley, D.C.; Harris, R.K. Crystal Polymorphs of Barbital: News about a Classic Polymorphic System. Mol. Pharm. 2014, 11, 338–350. [Google Scholar] [CrossRef] [PubMed]
- Gryl, M.; Seidler, T.; Stadnicka, K.; Matulkova, I.; Nemec, I.; Tesarova, N.; Nemec, P. The crystal structure and optical properties of a pharmaceutical co-crystal—The case of the melamine-barbital addition compound. Crystengcomm 2014, 16, 5765–5768. [Google Scholar] [CrossRef]
- Bhatt, P.M.; Azim, Y.; Thakur, T.S.; Desiraju, G.R. Co-Crystals of the Anti-HIV Drugs Lamivudine and Zidovudine. Cryst. Growth Des. 2009, 9, 951–957. [Google Scholar] [CrossRef]
- Voet, D.H.; Rich, A. Structure of an intermolecular complex between cytosine and 5-fluorouracil. J. Am. Chem. Soc. 1969, 91, 3069–3075. [Google Scholar] [CrossRef]
- Craven, B.M.; Gartland, G.L. The 2:1 crystal complex of 5,5-diethylbarbituric acid (barbital) and caffeine. Acta Crystallogr. 1974, 30, 1191–1195. [Google Scholar] [CrossRef]
- Gryl, M.; Seidler, T.; Wojnarska, J.; Stadnicka, K.M.; Matulková, I.; Němec, I.; Němec, P. Co-crystals of 2-amino-5-nitropyridine barbital with Extreme Birefringence and Large Second Harmonic Generation Effect. Chemistry 2018. [Google Scholar] [CrossRef]
- Wang, A.; Craven, B.M. Crystal Structure of 1:1 Complex of Barbital with 1-Methylimidazole. J. Pharm. Sci. 1979, 68, 361–363. [Google Scholar] [CrossRef]
- Craven, B.; Vizzini, E.A.; Rodrigues, M.M. The Crystal Structures of Two Polymorphs of 5,5′-Diethylbarbiturie Acid (Barbital). Acta Cryst. 1969, 25, 1978–1993. [Google Scholar] [CrossRef] [Green Version]
- Hollenbach, K.; Pintye-Hodi, K.; Kedvessy, G. On the polymorphism of barbiturates in powders and tablets. Part 1: Crystal optical studies on, and melting behaviour of barbital (author’s transl). Die. Pharm. 1979, 34, 164–167. [Google Scholar]
- ASHP. MetFORMIN Monograph for Professionals. Available online: https://www.drugs.com/monograph/metformin.html (accessed on 16 July 2021).
- Jordan, A.C. Veronal: A new hypnotic. Br. Med. J. 1904, 1, 538. [Google Scholar] [CrossRef] [PubMed]
- Farlex. Barbital. Available online: https://encyclopedia.thefreedictionary.com/barbital (accessed on 16 July 2021).
- Qian, J.H.; Qian, S.H.; Guo, R. The effects of anionic and cationic surfactants on the hydrolysis of sodium barbital. J. Surfactants Deterg. 2005, 8, 253–256. [Google Scholar] [CrossRef]












| Empirical Formula | C14H31N7O5 |
|---|---|
| Formula weight | 377.46 |
| Temperature (K) | 293(2) |
| Crystal system | Triclinic |
| Space group | P-1 |
| a (Å) | 7.3409(7) |
| b (Å) | 11.1698(10) |
| c (Å) | 13.0980(9) |
| α (°) | 74.680(7) |
| β (°) | 78.624(7) |
| γ (°) | 84.157(8) |
| Volume (Å3) | 1014.08(15) |
| Z | 2 |
| ρcalcg (cm3) | 1.236 |
| μ/mm−1 | 0.791 |
| F(000) | 408 |
| Crystal size (mm3) | 0.12 × 0.1 × 0.09 |
| Radiation | CuKα (λ = 1.54184) |
| 2Θ range for data collection (°) | 7.11 to 134.102 |
| Index ranges | −8 ≤ h ≤ 8, −13 ≤ k ≤ 13, −15 ≤ l ≤ 13 |
| Reflections collected | 7079 |
| Independent reflections | 3627 (Rint = 0.0330, Rsigma = 0.0556) |
| Data/restraints/parameters | 3627/0/278 |
| Goodness-of-fit on F2 | 1.04 |
| Final R indexes (I ≥ 2σ (I)) | R1 = 0.0525, wR2 = 0.1313 |
| Final R indexes (all data) | R1 = 0.0805, wR2 = 0.1552 |
| Largest diff., peak/hole (e/Å−3) | 0.25/−0.17 |
| CCDC deposit number | 2075003 |
| D–H···A | d(D–H) (Å) | d(H–A) (Å) | d(D–A) (Å) | D–H–A (°) |
|---|---|---|---|---|
| N(1)–H(1A)···O(2) 1 | 0.84 | 2.15 | 2.967 | 163 |
| N(1)–H(1B)···O(1) | 0.83 | 2.24 | 2.939 | 142 |
| N(2)–H(2A)···O(4) | 0.88 | 2.10 | 2.951 | 161 |
| N(2)–H(2B)···O(4) 2 | 0.92 | 1.99 | 2.908 | 175 |
| N(4)–H(4D)···O(3) 2 | 0.89 | 2.19 | 3.057 | 166 |
| N(4)–H(4E)···O(5) 2 | 0.89 | 2.02 | 2.901 | 171 |
| N(6)–H(6)···O(1) 1 | 0.80 | 2.13 | 2.931 | 179 |
| O(4)–H(4)···N(7) 2 | 0.86 | 1.88 | 2.739 | 172 |
| O(5)–H(5)···O(3) 3 | 0.78 | 1.97 | 2.755 | 175 |
Publisher’s Note: MDPI stays neutral with regard to jurisdictional claims in published maps and institutional affiliations. |
© 2021 by the authors. Licensee MDPI, Basel, Switzerland. This article is an open access article distributed under the terms and conditions of the Creative Commons Attribution (CC BY) license (https://creativecommons.org/licenses/by/4.0/).
Share and Cite
Cai, L.; Jiang, L.; Li, C.; Guan, X.; Zhang, L.; Hu, X. Multicomponent Crystal of Metformin and Barbital: Design, Crystal Structure Analysis and Characterization. Molecules 2021, 26, 4377. https://doi.org/10.3390/molecules26144377
Cai L, Jiang L, Li C, Guan X, Zhang L, Hu X. Multicomponent Crystal of Metformin and Barbital: Design, Crystal Structure Analysis and Characterization. Molecules. 2021; 26(14):4377. https://doi.org/10.3390/molecules26144377
Chicago/Turabian StyleCai, Linhong, Lan Jiang, Cong Li, Xiaoshu Guan, Li Zhang, and Xiangnan Hu. 2021. "Multicomponent Crystal of Metformin and Barbital: Design, Crystal Structure Analysis and Characterization" Molecules 26, no. 14: 4377. https://doi.org/10.3390/molecules26144377
APA StyleCai, L., Jiang, L., Li, C., Guan, X., Zhang, L., & Hu, X. (2021). Multicomponent Crystal of Metformin and Barbital: Design, Crystal Structure Analysis and Characterization. Molecules, 26(14), 4377. https://doi.org/10.3390/molecules26144377

