Next Article in Journal
Process Optimization and Modeling of Phenol Adsorption onto Sludge-Based Activated Carbon Intercalated MgAlFe Ternary Layered Double Hydroxide Composite
Next Article in Special Issue
Nickel Complexes in C‒P Bond Formation
Previous Article in Journal
Fluorescence Spectroscopy of Porphyrins and Phthalocyanines: Some Insights into Supramolecular Self-Assembly, Microencapsulation, and Imaging Microscopy
 
 
Font Type:
Arial Georgia Verdana
Font Size:
Aa Aa Aa
Line Spacing:
Column Width:
Background:
Article

Synthesis and Antiproliferative Activity of Phosphorus Substituted 4-Cyanooxazolines, 2-Aminocyanooxazolines, 2-Iminocyanooxazolidines and 2-Aminocyanothiazolines by Rearrangement of Cyanoaziridines

by
Victor Carramiñana
,
Ana M. Ochoa de Retana
,
Francisco Palacios
* and
Jesús M. de los Santos
*
Department of Organic Chemistry I, Faculty of Pharmacy and Lascaray Research Center, University of the Basque Country (UPV/EHU), Paseo de la Universidad 7, 01006 Vitoria, Spain
*
Authors to whom correspondence should be addressed.
Molecules 2021, 26(14), 4265; https://doi.org/10.3390/molecules26144265
Submission received: 10 June 2021 / Revised: 7 July 2021 / Accepted: 8 July 2021 / Published: 14 July 2021
(This article belongs to the Special Issue Modern Organophosphorus Chemistry)

Abstract

:
Several phosphorus-substituted N-acylated cyanoaziridines 2 and N-carbamoylated cyanoziridines 5 were prepared in good to high yields. N-Acylated cyanoaziridines 2 were used, after ring expansion, in an efficient synthesis of oxazoline derivative 3a and in a completely regio-controlled reaction in the presence of NaI. Conversely, N-carbamoyl cyanoaziridines 5 reacted with NaI to obtain a regioisomeric mixture of 2-aminocyanooxazolines 7. Mild acidic conditions can be used for the isomerization of N-thiocarbamoyl cyanoaziridine 6a into a 2-aminocyanothiazoline derivative 8a by using BF3·OEt2 as a Lewis acid. Likewise, a one pot reaction of NH-cyanoaziridines 1 with isocyanates obtained 2-iminocyanooxazolidines 9 regioselectively. This synthetic methodology involves the addition of isocyanates to starting cyanoaziridines to obtain N-carbamoyl cyanoaziridines 5, which after the ring opening, reacts with a second equivalent of isocyanate to give the final 2-imino cyanooxazolidines 9. In addition, the cytotoxic effect on the cell lines derived from human lung adenocarcinoma (A549) was also screened. 2-Iminooxazolidines 9 exhibited moderate activity against the A549 cell line in vitro. Furthermore, a selectivity towards cancer cells (A549) over non-malignant cells (MCR-5) was detected.

1. Introduction

DNA-modifying agents are a significant class of pharmaceuticals used in conventional chemotherapy. Aziridine-based cytostatic compounds, acting as powerful alkylating agents, have an inherent in vivo potency due to their ability to act as DNA cross-linking agents via the ring opening of aziridine [1]. Mitomycin C and many variants of this natural product have been well characterized for their anti-tumor activity based on the nucleophilic ring opening of the three-membered nitrogen heterocycle, leading to the alkylation of DNA [2]. Mitomycin C is a conventional DNA cross-linking agent that uses the reductive activation of the aziridine moiety to form lethal DNA–DNA cross-links, as well as, more often, mono-alkylated DNA products [3]. Founded on this knowledge, during the early 1970s Bicker [4,5] developed a variety of 2-cyanoaziridine derivatives as potential carcinostatic agents. For instance, 2-cyanoaziridine-1-carboxamide (Ia, Figure 1) was active against a PIE 2-3 sarcoma in Wistar rats, and it had a low toxicity. However, it showed weak antitumor activity in cell cultures. The fact that it increased rather than decreased the number of leukocytes was especially interesting [5]. However, in contrast to the initial findings, these cyanoaziridines showed no alkylating activity in vitro or in vivo [4]. These results suggest that the cyano group reduces the reactivity required for the alkylation of DNA bases and that they may selectively react with sulfur moieties in biological thiols such as cysteine, depleting the stores of cysteine and glutathione and subsequently allowing the accumulation of cellular reactive oxygen species (ROS) [6,7,8]. Preclinical studies have evaluated the antitumor activity and the mechanism of action of cyanoaziridine AMP423 (Ib, Figure 1) [6]. Other cyanoaziridines such as ciamexon (II) and azimexon (III, Figure 1) [9] were screened for antitumor activity, with brief clinical trials in the late 1980s. Both ciamexon (II) and azimexon (III) displayed antitumor activity in a variety of animal models including the Lewis lung tumor, the Madison lung carcinoma, Meth A sarcoma, and AKR leukemia, but they had no direct antitumor activity in vitro according to Bicker [5] and they are no longer used. The iminopyrrolidone compound imexon (IV), produced by the cyclization of 2-cyanoaziridine-1-carboxamide (Ia) in the presence of hydroxide ions [10,11], is an anti-neoplastic agent that increases oxidative stress in the target and it has been extensively used due to its selective growth inhibitory effect against multiple myeloma [12,13,14]. This small-molecule chemotherapeutic agent is widely used to treat advanced cancers of the breast, lung, and prostate. The biological activity of imexon is narrowly associated with cyanoaziridines since imexon solutions in water slowly revert to Ia. In 1999, Remers et al. [15] reported the synthesis of a series of 2-cyanoaziridine-1-carboxamides that were active against a variety of solid and hematological tumor cells in culture. The N-Phenyl derivative (Ic, R = Ph, Figure 1) tested in human tumor cells was found to be related to imexon in activity. More recently, our research group reported the preparation of phosphorus substituted cyanoaziridines and evaluated them by testing their antiproliferative activities against different human cancer cell lines. For instance, the phosphonate-derived cyanoaziridine V showed in vitro cytotoxicity against the A549 cell line with an IC50 value of 1.5 ± 0.84 µM [16].
Furthermore, the ring-expansion of aziridines with isocyanates has been revealed to be a useful pathway for the synthesis of a variety of five-membered nitrogen-containing compounds. For instance, KI [17], NaI [18,19,20], NiI2 [21], Pd-catalyzed [22,23,24] reactions of aziridines with isocyanates, or even in the absence of catalysts [25], have been described. All these reactions yielded imidazolidin-2-ones or oxazolidin-2-imines compounds which generate great interest in medicinal and pharmaceutical chemistry since they represent classes of heterocyclic compounds with a broad variety of biological activities [26,27]. In the last few years we have been involved in the chemistry related to phosphorylated 2H-azirines for the preparation of α- or β-aminophosphonic acid derivatives [28,29,30], pyrroles [31,32], oxazoles [33], 1H-benzo[d]azepines [31], or hybrid molecules such as azirino [2,1-b]benzo[e][1,3]oxazines [34], among others. Additionally, organophosphorus derivatives are fascinating compounds from a biological point of view, due to the fact that these substituents may regulate relevant biological functions modifying the reactivity of heterocyclic systems [35]. Recently, we have revealed a diastereoselective method for the preparation of phosphorus substituted cyanoaziridines by means of the nucleophilic addition of TMSCN as a cyanide source to the C–N double bond of 2H-azirines [16]. Following our earlier studies on the preparation of phosphorylated cyanoaziridines, here we wish to report the synthesis of structurally new phosphorus substituted N-(thio)carbamoyl cyanoaziridines by the coupling of unactivated cyanoaziridines with iso(thio)cyanates. Moreover, the ring expansion into 2-aminocyanooxazolines, 2-aminocyanothiazolines, or 2-iminocyanooxazolidines under nucleophilic or acidic conditions is also explored. We also focus on their biological activity and highlight the antiproliferative effect of all these new heterocycles on A549 human lung adenocarcinoma cells.

2. Results

2.1. Chemistry

As a continuation of the studies on the synthesis and applications of activated aziridines through the N-functionalization of unactivated cyanoaziridines [16], and taking into account that N-acylaziridines are very important synthons in the development of new ring opening aziridine reactions, we initially studied the N-acylation reaction of cyanoaziridine phosphine oxides 1a (R = Ph, R1 = Me) and 1b (R = Ph, R1 = Et), and phosphonate 1c (R = OEt, R1 = Me). Thus, the N-acylation of cyanoaziridines 1ac using 3,5-dinitrobenzoyl chloride in the presence of a base, such as Et3N, and methylene chloride as the solvent, obtained N-acylated cyanoziridines 2ac in good chemical yields (80–93%) (Scheme 1).
We next studied the isomerization reaction (Heine reaction) of the corresponding synthesized phosphorus-containing N-acylated cyanoaziridines 2. For this purpose, we chose nucleophilic conditions [36,37,38,39], and the isomerization of benzoyl aziridine 2a was accomplished by the use of the sodium iodide method. Indeed, when phosphorus substituted N-acylated cyanoaziridine 2a reacted with 0.2 equivalents of NaI in THF at 60 °C in a sealed-tube, 4-cyanooxazoline derived from phosphine oxide 3a was obtained in a regioselective way in a 65% yield (Scheme 2).
Even though the iodide anion may attack both the aziridine carbon atoms, and the regioselectivity will be determined by the stereoelectronic nature of the substituents, several reports in the literature describe the aziridine ring opening through the less hindered position [40,41,42]. Bear in mind that the most reasonable mechanism may consider a first step where the iodide anion would attack at the C2 aziridine carbon that was substituted less in a regiospecific manner, followed by the aziridine ring opening obtaining intermediate 4. The iodide displacement in the former intermediate may afford phosphorus substituted 4-cyanooxazoline 3a (Scheme 2).
Unactivated NH-aziridines are very stable compounds in basic conditions and may easily react with electrophiles. Next, we explored the N-functionalization of unactivated cyanoaziridines derived from phosphine oxides and phosphonates 1 with aromatic and aliphatic isocyanates for the preparation of functionalized N-aryl or N-alkylcarbamoyl cyanoaziridines.
Therefore, the reaction of cyanoaziridines 1 with isocyanates was assessed. Thus, as outlined in Table 1, in an initial experiment the addition of phenyl isocyanate to cyanoaziridine phosphine oxide 1a (R = Ph, R1 = Me) was readily achieved in dichloromethane at room temperature. A total of 1.2 equivalents of the isocyanate component were used in order to ensure a full conversion. Under these reaction conditions, the corresponding phosphorus substituted N-phenylcarbamoyl cyanoaziridine 5a (R = R2 = Ph, R1 = Me) was obtained in a 63% yield (Table 1, entry 1).
Some examples in the literature describe the use of Lewis acids as transition metal catalysts involving reactions of aziridines and isocyanates [22,43,44]. Hence, we explored the reaction of phenyl isocianate with cyanoaziridine 1a in the presence of a Lewis acid. Better yields and reduced reaction times were observed for the synthesis of 5a using catalytic ammounts of Sc (OTf)3 (20%) (see Table 1, entry 2). In the same way, phosphate-derived cyanoziridine 1c (R = OEt, R1 = Me) reacted with phenyl isocyanate in CH2Cl2 at room temperature, without a catalyst, to give N-functionalized cyanoaziridine 5b (R = OEt, R1 = Me, R2 = Ph) in very good chemical yields (Table 1, entry 3).
As illustrated in Table 1, this synthetic methodology is tolerant of a variety of functionalized isocyanates with varying substitutions. For instance, cyanoaziridines 1a and 1c reacted with p-tolyl isocyanate (R2 = p-MeC6H4) to give N-p-tolylcarbamoyl cyanoaziridines 5c and 5d, respectively (Table 1, entries 4 and 5). Likewise, under the same reaction conditions, cyanoaziridine 1a reacted with p-toluenesulfonyl isocyanate. The crude product 5 (R = Ph, R1 = Me, R2 = p-MeC6H4SO2) was observed by 1H and 31P NMR; however, any further purification step through crystallization or chromatography produced the hydrolyzed starting cyanoaziridine 1a. Conversely, N-p-toluenesulfonylcarbamoyl cyanoaziridines 5e (R = Ph, R1 = Et, R2 = p-MeC6H4SO2, Table 1, entry 6) and 5f (R = OEt, R1 = Me, R2 = p-MeC6H4SO2, Table 1, entry 7) were obtained in 86 and 79% yields, respectively, by means of the treatment of the corresponding cyanoaziridines 1b and 1c with p-toluenesulfonyl isocyanate.
This process was extended to the reactivity of phosphorus substituted cyanoziridines 1 with alkyl isocyanates, such as ethyl and tert-butyl isocyanate. The same reaction conditions used for the aromatic isocyanates were employed for the reaction of 1a with ethyl isocyanate. Nevertheless, no progress was observed on the formation of compound 5g, and the starting cyanoaziridine 1a was recovered instead. The Lewis acid activation of the aziridine ring in the reaction of 1a with ethyl isocyanate led to the formation of the expected compound 5g. Thus, the presence of 20% mol of Sc (OTf)3 as a Lewis acid, as described before for the synthesis of 5a, gave only a 50% conversion of N-ethylcarbamoyl cyanoaziridine 5g (R = Ph, R1 = Me, R2 = Et) after 24 h of the reaction. However, when two equivalents of ethyl isocyanate reacted with cyanoaziridine 1a in the presence of 1.25 equivalents of ZnCl2 in CH2Cl2 and at room temperature, N-functionalized cyanoaziridine 5g was obtained with a 86% chemical yield (Table 1, entry 8). Similarly, the addition of ethyl isocyanate to phosphonate-derived cyanoaziridine 1c, using ZnCl2 as a Lewis acid, led to the formation of N-functionalized aziridine 5h (R = OEt, R1 = Me, R2 = Et; Table 1, entry 9). In addition, the synthesis of N-tert-butylcarbamoyl cyanoaziridines 5ik (Table 1, entries 10–12) was achieved in moderate yields, using tert-butyl isocyanate as an electrophile and ZnCl2 as a Lewis acid.
The synthetic procedure for the preparation of N-aryl or N-alkylcarbamoyl cyanoaziridines 5 could be widened to the addition of isothiocyanates to cyanoaziridines 1 (Table 2). Under the same reaction conditions used for the preparation of derivatives 5, phenyl isothiocyanate, p-methoxyphenyl isothiocyanate, or p-nitrophenyl isothiocyanate did not react with cyanoaziridine 1a to yield compounds 6. Moreover, the use of different bases, such as Et3N, pyridine, NaH, or Cs2CO3, as well as Lewis acids such as ZnCl2 or Sc (OTf)3, gave similar results: the formation of N-functionalized cyanoaziridines 6 was not observed and the starting compound 1a was recovered instead.
In order to achieve the synthesis of new derivatives 6, we decided to use a more reactive isothiocyanate derivative. Thus, functionalized isothiocyanates with an electron-withdrawing group, such as ethoxycarbonyl isothiocyanate, reacted with cyanoaziridines derived from phosphine oxide 1a and 1b in CH2Cl2 at −30 °C (Method A). Under these reaction conditions, compounds 6a and 6b were attained in 71% and 85% chemical yields, respectively (Table 2, entries 1 and 3). Increasing the reaction temperature to 25 °C (Method B) gave better yields and the N-functionalized cyanoaziridine 6a was obtained in an 80% yield (Table 2, entry 2). Similarly, phosphonate-derived cyanoaziridine 1c reacted with ethoxycarbonyl isothiocyanate in CH2Cl2 at room temperature to afford N-thiocarbamoyl cyanoaziridine 6c (R = OEt, R1 = Me) in good yields (Table 2, entry 4).
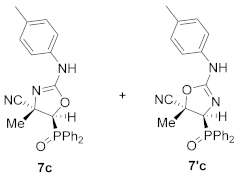
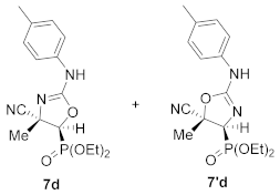
Continuing with our interest in the synthesis of new 5-membered nitrogen containing heterocyclic compounds, we then explored the ring expansion of some N-carbamoyl cyanoaziridine derivatives 5. To this end, and using the same reaction conditions as in the case of N-acyl cyanoaziridine 2, N-arylcarbamoyl cyanoaziridines derived from phosphine oxide 5a (R = R2 = Ph) and 5c (R = Ph, R2 = p-MeC6H4) reacted with 0.2 equivalents of NaI at 60 °C in THF, allowing the preparation of oxazolines 7a and 7c, respectively (Table 3, entries 1 and 3). As evidenced by 1H and 31P NMR, oxazolines 7 were obtained as a mixture of two regioisomers 7 and 7′, in a 66:34 ratio for 7a, while a 65:35 ratio was observed for oxazoline 7c. Oxazolines 7 were purified by flash-column chromatography, allowing the isolation of a single isomer, corresponding to the minor one in the case of 7a+7′a. However, in the case of regioisomeric oxazolines 7c+7′c, the separation of both regioisomers was not possible, and the same 65:35 ratio was obtained after purification by flash-column chromatography. We also tested the ring expansion of N-arylcarbamoyl cyanoaziridines derived from phosphonate 5b and 5d under the optimal conditions. For instance, phosphonate-derived oxazolines 7b (R = OEt, R2 = Ph) and 7d (R = OEt, R2 = p-MeC6H4) were obtained as regioisomeric mixtures after treatment with 5b and 5d, respectively, with 0.2 equivalents of NaI at 60 °C in THF (Table 3, entries 2 and 4). Conversely, the NaI catalyzed ring expansion of N-alkylcarbamoyl cyanoaziridines 5g (R = Ph, R1 = Me, R2 = Et) and 5k (R = Ph, R1 = Et, R2 = tBu) to the corresponding oxazolines was not observed, and N-functionalized cyanoaziridines 5g and 5k were recovered instead.
A rational mechanism for the formation of oxazoline derivatives 7 can be explained via the initial aziridine ring opening in 5 by an indiscriminate iodide attack to either aziridine carbons C2 or C3. Subsequent ring closure by iodide displacement would afford a mixture of regioisomeric oxazolines 7 and 7′. It seems reasonable to assume that the role of the stereoelectronic nature of N-substituents on the aziridine ring may affect the selectivity of these cyanooxazoline derivatives. Only one regioisomer was formed in the reaction of N-acylcyanoaziridine 2a in the presence of NaI, suggesting the possibility that the N-acyl substituent could exert a neighboring group participation effect, although this does not take place in the case of the N-arylcarbamoyl group.
Several attempts have been carried out in the synthesis of thiazoline derivatives starting from aziridines. It is known that 2-substituted oxazolines or imidazolines can be prepared by the ring expansion of aziridines or benzoylated imidoyl aziridines, respectively [41,45,46], through the Heine reaction. For instance, aziridines undergo ring expansion reactions into oxazolines with Lewis acids [47] and, recently, based on these results, Tepe et al. [48] have described the isomerization of aziridines to oxazolines using BF3·OEt2. For this reason, we explored the ring expansion of functionalized N-thiocarbamoyl cyanoaziridine 6a. Initially, we studied the aziridine ring opening under thermal conditions. Thus, N-thiocarbamoyl cyanoaziridine derived from phosphine oxide 6a was heated in refluxing CHCl3. Under these conditions, no reaction was observed, and the unreacted starting substrate was recovered. Next, the Heine-type reaction was also studied under nucleophilic conditions by using NaI at 60 °C in THF, and as in the previous case, no satisfactory results were attained.
Likewise, the conversion of aziridine to thiazoline under mild acidic conditions was examined. N-Functionalized cyanoaziridine 6a was treated with both Brønsted acids, such as p-toluenesulfonic acid (PTSA), and Lewis acids, such as ZnCl2 or BF3·OEt2. Only the use of BF3·OEt2 gave satisfactory results. Hence, when N-thiocarbamoyl cyanoaziridine 6a reacted in the presence of 5 equivalents of BF3·OEt2 at −70 °C in THF, the formation of 2-aminothiazoline phosphine oxide 8a was detected (Scheme 3). Spectroscopic data confirmed the isomerization of aziridine 6a into 2-aminothiazoline 8a. While the 1H NMR spectrum of 6a showed a signal for the methyl group at δH = 2.0 ppm and the methine hydrogen resonated at δH = 3.8 ppm as a well-resolved doublet (2JPH = 20 Hz), in 2-aminothiazolidine 8a these signals appeared at lower fields: δH = 2.11 and 4.58 ppm as a singlet and a well-resolved doublet (2JPH = 12.8 Hz), respectively.
Since it was not conclusively irrefutable that 1H and 13C NMR were assigned to the regio- and stereochemistry of compound 8a, the X-ray diffraction analysis not only established the regiochemistry of compound 8a, but also the syn-relationship between the cyano group at the C3 position and the phosphorus moiety at the C2 position of 8a (Figure 2).
A reasonable mechanism that would explain the formation of 8a is exemplified in Scheme 3. First, BF3·OEt2 would coordinate with the sulfur atom of cyanoaziridine 6a, thus assisting the ring opening reaction through the N–C3 bond, with the concomitant generation of the most stable carbocation. The cationic intermediate coming from the aziridine with an E-stereochemistry would isomerize, and the ring closure would lead to 2-aminothiazoline 8a as the only regio- and stereoisomer.
Continuing with our interest in the synthesis of new nitrogen-containing heterocyclic compounds, finally we examined the one pot reaction of cyanoaziridines 1 with isocyanates in order to obtain new oxazoline derivatives.
For this purpose, phosphorus subtituted cyanoaziridine 1b (R = Ph, R1 = Et) reacted with phenyl isocyanate in acetonitrile at 60 °C, leading to the formation of iminooxazolidine 9a in low yields (Scheme 4). The addition of 2 equivalents of isocyanate led to 9a in moderate yields (45%), whereas, when the reaction was examined in the presence of KI (30% mol) using 2 equivalents of phenyl isocyanate in acetonitrile at 60 °C, the corresponding iminooxazolidine 9a was obtained in a 62% yield (Scheme 4, Table 4, entry 1). Similarly, cyanoaziridine 1a (R = Ph, R1 = Me) reacted with p-tolenesulfonyl isocyanate using the same reaction conditions, providing a 55% yield of iminooxazolidine 9b (Scheme 4, Table 4, entry 2). This synthetic methodology was extended to the use of cyanoaziridines derived from phosphonate. Thus, 1c (R = OEt, R1 = Me) reacted with phenyl isocyanate in the presence of KI in acetonitrile at 60 °C to give iminooxazolidine 9c (Scheme 4, Table 4, entry 3).
A reliable mechanism for the formation of 9 would indicate the addition of an equivalent of isocyanate to cyanoaziridine 1 to obtain the corresponding N-carbamoyl cyanoaziridines 5 (Scheme 4). Then, the regiospecific attack of the iodide ion at the less substitute carbon atom (C2) in aziridines 5 would lead to the ring opening, affording intermediates 10. The former intermediates would attack the carbon center of a second isocyanate equivalent followed by the ring closure to yield iminooxazolidines 9.

2.2. Biological Results

The in vitro cytotoxicity of our novel N-functionalized cyanoaziridines 2, 5 and 6 derived from phosphine oxide (R = Ph) and phosphonate (R = OEt), as well as the five-membered nitrogen-containing heterocycles 3a, 7, 8a and 9 was evaluated by testing their antiproliferative activities against the human cancer cell line A549 (carcinomic human alveolar basal epithelial cells). In order to evaluate the growth inhibition, a cell counting kit (CCK-8) assay was applied. Cell proliferation inhibitory activities as IC50 values for all the synthesized compounds and chemotherapeutic doxorubicin (DOX) are displayed in Table 5. Likewise, healthy lung cells, such as MRC-5 non-malignant lung fibroblasts were tested to study the selective cytotoxicity [49]. We first examined the nitrogen-substitution effect of the corresponding cyanoaziridines into their cytotoxicity against A549 cell lines. The best result was observed for N-acylated cyanoaziridine 2a derived from phosphine oxide with an IC50 value of 22.9 ± 1.9 μM (Table 5, entry 2). However, N-acylated cyanoaziridines derived from phosphine oxide 2b and phosphonate 2c (Table 5, entries 3 and 4), as well as N-carbamoyl cyanoaziridines 5ak (Table 5, entries 6–16) and N-thiocarbamoyl cyanoaziridines 6ac (Table 5, entries 17–19) did not exhibit any toxicity toward the A549 cell line.
Concerning the new 5-membered nitrogen-containing heterocycles derived from the ring expansion of N-functionalized cyanoaziridines against the A549 cell line in vitro, oxazoline derivative 3a showed a IC50 value of 19.7 ± 2.8 μM (Table 5, entry 5). Conversely, neither the regioisomeric oxazolines 7+7′ (Table 5, entries 20–23) nor the 2-aminothiazoline derivative 8a (Table 5, entry 24) displayed any cytotoxicity against the same cell line. Finally, we studied the cytotoxicity effect of iminooxazolidines 9ac against A549 cell lines. For instance, IC50 values between 6.2 ± 0.7 and 16.4 ± 1.5 μM were observed, with iminooxazolidine 9c (Table 5, entry 27) as the most effective compound with an IC50 value of 6.2 ± 0.7 μM. It appears rational to presume that the observed cytotoxic activity in imonooxazolidines 9, which was not observed in oxazolines 7, could be due to the presence of an amide group at the N–3 of the oxazoline ring.
Furthermore, MRC-5 non-malignant lung fibroblasts were tested to study the selective toxicity [49], and none of the synthesized phosphorus substituted N-functionalized cyanoaziridines, 5-membered nitrogen-containing heterocycles, or doxorubicin exhibited any toxicity toward the MRC-5 cell line (see Table 5).

3. Materials and Methods

3.1. Chemistry

3.1.1. General Experimental Information

Solvents for extraction and chromatography were of a technical grade. All solvents used in reactions were freshly distilled and dried over molecular sieves 4 Å before use. All other solvents and reagents were obtained from commercial sources (Sigma-Aldrich, Spain) and recrystallized or distilled as necessary or were used without further purification. All reactions were performed under an atmosphere of dry nitrogen. Melting points were determined using the Büchi Melting Point B-540 apparatus and were uncorrected. IR spectra were measured on a Nicolet iS10 Thermo Fisher Scientific spectrometer (Thermo Scientific Inc., Waltham, MA, USA) as neat solids. Absorbance frequencies are given at maximum of intensity in cm−1. High-resolution mass spectra (HRMS) were measured on an Agilent 6530 Accurate-Mass QTOF LC/MS (Santa Clara, CA, USA) by a positive-ion electrospray ionization (ESI) method with a time-of-flight Q-TOF system. Data are reported in the form m/z (intensity relative to base = 100). 1H (300, 400 MHz), 13C (75, 100 MHz), and 31P NMR (120, 160 MHz) spectra were recorded on Varian Unity Plus (Varian Inc., NMR Systems, Palo Alto, CA, USA) or on Bruker Avance 400 (Bruker BioSpin GmbH, Rheinstetten, Germany) spectrometers, respectively, in CDCl3 at 25 °C. Chemical shifts (δH) are reported in parts per million (ppm) with the internal chloroform signal at 7.24 ppm as the standard for 1H NMR. Chemical shifts (δC and δP) are reported in parts per million (ppm) with the internal chloroform signal at 77.0 ppm as the standard for 13C NMR, or the external H3PO4 (50%) signal at 0.0 ppm as the standard for 31P NMR. All coupling constants (J) values are given in Hz. 13C NMR spectra were recorded in a broadband decoupled mode from hydrogen nuclei. Distortionless Enhanced Polarization Transfer (DEPT) supported peak assignments for 13C NMR. The data are reported as s = singlet, d = doublet, t = triplet, q = quartet, m = multiplet, dd = double doublet, bs = broad singlet. Chromatographic purification was performed as flash chromatography using commercial grades of silica gel finer than 230 mesh with pressure. Analytical thin layer chromatography (TLC) was performed on precoated Merck silica gel 60 F254 TLC aluminium plates, and spot visualized with UV light or permanganate stain. Cyanoaziridines 1 were prepared according to procedures in the literature [16].

3.1.2. Experimental Procedure and Characterization Data for Compounds 29

General Procedure and Spectral Data for The Addition of 3,5-Dinitrobenzoyl Chloride to Functionalized Cyanoaziridines

3,5-Dinitrobenzoyl chloride (1.4 g, 6 mmol, 1.2 eq) and Et3N (2.8 mL, 20 mmol, 4 eq) were added to a 0 °C solution of cyanoaziridine (5 mmol, 1 eq) in CH2Cl2 (25 mL). The reaction mixture was stirred at 0 °C until TLC showed the disappearance of the starting cyanoaziridine. The crude product was washed three times with a saturated NaCl solution (15 mL) and water (15 mL) and extracted with CH2Cl2 (15 mL). The organic layers were dried over anhydrous MgSO4, filtered and concentrated to dryness in vacuum conditions, and the resulting residue was purified by crystallization from Et2O/pentane or washed with pentane.
(E)-(2S*,3S*)-1-(3,5-Dinitrobenzoyl)-3-(diphenylphosphoryl)-2-methylaziridine-2-carbonitrile (2a), (1.97 g, 83%) was obtained as a grey solid from cyanoaziridine 1a (1.41 g, 5 mmol) after 24 h at 0 °C as described in the general procedure. The crude product was purified by crystallization from Et2O/pentane (50:50) to give the title compound 2a; mp 120–122 °C; IR (neat) vmax 3067, 2948, 2237, 1699, 1546, 1346, 1252, 1210, 1152 cm−1; 1H NMR (300 MHz, CDCl3) δ 9.23 (t, 4JHH = 2.0 Hz, 1H, ArH), 9.08 (d, 4JHH = 2.0 Hz, 2H, ArH), 7.85–7.48 (m, 10H, ArH), 3.86 (d, 2JPH = 20.5 Hz, 1H, CH-P), 2.17 (s, 3H, CH3) ppm; 13C {1H} NMR (75 MHz, CDCl3) δ 171.8 (d, 3JPC = 3.0 Hz, C=O), 149.0 (Cquat), 135.1(Cquat), 133.5, 133.5, 133.4, 133.3, 131.3, 131.1, 131.1, 131.0, 129.7, 129.5, 129.4, 129.2, 129.0 (CAr),120.4 (Cquat), 116.6 (CN), 43.4 (d, 1JPC = 90.7 Hz, CH-P), 37.0 (d, 2JPC = 2.5 Hz, Cquat), 16.9 (CH3) ppm; 31P NMR (120 MHz, CDCl3) δ 21.9 ppm; ESI-HRMS (CI) m/z calculated for C23H18N4O6P ([M + H]+) 477.0964 found 477.0971 (See Supplementary Materials).
Molecules 26 04265 i012
(E)-(2S*,3S*)-1-(3,5-Dinitrobenzoyl)-3-(diphenylphosphoryl)-2-ethylaziridine-2-carbonitrile (2b), (1.95 g, 80%) was obtained as a grey solid from cyanoaziridine 1b (1.48 g, 5 mmol) after 24 h at 0 °C as described in the general procedure. The crude product was purified by crystallization from Et2O/pentane (50:50) to give the title compound 2b; mp 201–203 °C; IR (neat) vmax 3101, 2884, 2237, 1710, 1630, 1544, 1460, 1441, 1344, 1294, 1202 1147, 1122 cm−1; 1H NMR (300 MHz, CDCl3) δ 9.24 (t, 4JHH = 2.1 Hz, 1H, ArH), 9.11 (d, 4JHH = 2.1 Hz, 2H, ArH), 7.90–7.47 (m, 10H, ArH), 3.90 (d, 2JPH = 20.4 Hz, 1H, CH-P), 2.61–2.46 (m, 2H, CH2), 1.08 (t, 3JHH = 7.4 Hz, 3H, CH3) ppm; 13C {1H} NMR (75 MHz, CDCl3) δ 172.4 (d, 3JPC = 3.3 Hz, C=O), 148.9 (Cquat), 135.1 (Cquat), 133.5, 133.4, 133.3, 133.2, 131.2, 131.2, 131.1, 131.0, 129.6, 129.5, 129.3, 129.2, 129.1, 123.4 (CAr), 115.6 (CN), 43.6 (d, 1JPC = 90.6 Hz, CH-P), 43.2 (d, 2JPC = 2.6 Hz, Cquat), 24.2 (CH2), 10.5 (CH3) ppm; 31P NMR (120 MHz, CDCl3) δ 21.4 ppm; ESI-HRMS (CI) m/z calculated for C24H20N4O6P ([M + H]+) 491.1120 found 491.1135.
Molecules 26 04265 i013
Diethyl (E)-[(2S*,3S*)-3-cyano-1-(3,5-dinitrobenzoyl)-3-methylaziridin-2-yl]phosphonate (2c), (1.92 g, 93%) was obtained as a brown oil from cyanoaziridine 1c (1.09 g, 5 mmol) after 24 h at 0 °C as described in the general procedure. The crude product was washed with pentane to give the title compound 2c; Rf: 0.5 (AcOEt); IR (neat) vmax 3112, 2984, 2246, 1710, 1627, 1552, 1344, 1294, 1255, 1041, 1022 cm−1; 1H NMR (300 MHz, CDCl3) δ 9.25 (t, 4JHH = 2.1 Hz, 1H, ArH), 9.05 (d, 4JHH = 2.1 Hz, 2H, ArH), 4.30–4.17 (m, 4H, OCH2CH3), 3.37 (d, 2JPH = 11.9 Hz, 1H, CH-P), 2.09 (s, 3H, CH3), 1.42–1.34 (m, 6H, OCH2CH3) ppm; 13C {1H} NMR (75 MHz, CDCl3) δ 171.4 (d, 3JPC = 5.0 Hz, C=O), 149.1 (Cquat), 134.8 (Cquat), 128.9, 123.4 (CAr), 116.3 (3JPC = 2.1 Hz, CN), 64.2 (d, 2JPC = 6.1 Hz, OCH2), 63.7 (d, 2JPC = 6.5 Hz, OCH2) 40.4 (d, 1JPC = 202.3 Hz, CH-P), 35.8 (d, 2JPC = 2.7 Hz, Cquat), 17.6 (CH3), 16.5 (d, 3JPC = 5.9 Hz, OCH2CH3), 16.4 (d, 3JPC = 5.9 Hz, OCH2CH3) ppm; 31P NMR (120 MHz, CDCl3) δ 12.3 ppm; ESI-HRMS (CI) m/z calculated for C15H18N4O8P ([M + H]+) 413.0862 found 413.0857.
Molecules 26 04265 i014

General Procedure and Spectral Data for Compound 3a

To a stirred solution of N-functionalized cyanoaziridine 2a (5 mmol, 1 eq) in THF (15 mL), NaI (0.02 g, 1 mmol, 0.2 eq) was added dropwise. The mixture was heated at 60 °C for 24 h until TLC showed the disappearance of the starting cyanoaziridine. The reaction mixture was concentrated to dryness in vacuum conditions to remove THF. The crude product was washed three times with water (15 mL) and extracted with CH2Cl2 (15 mL). The organic layer was dried over anhydrous MgSO4, filtered, and concentrated to dryness in vacuum conditions. The crude product was purified by flash-column chromatography.
(E)-(4S*,5S*)-2-(3,5-Dinitrophenyl)-5-(diphenylphosphoryl)-4-methyl-4,5-dihydrooxazole-4-carbonitrile (3a), (1.56 g, 65%) was obtained as a yellow solid from cyanoaziridine 2a (2.38 g, 5 mmol) after 24 h of heating in THF as described in the general procedure. The crude product was purified by flash-column chromatography (SiO2, AcOEt/hexane 25:75) to give the title compound 3a; mp 129–131 °C; IR (neat) vmax 3103, 2934, 2243, 1655, 1546, 1438, 1352, 1197, 1119 cm−1; 1H NMR (300 MHz, CDCl3) δ 9.19 (t, 4JHH = 2.1 Hz, 1H, ArH), 8.99 (d, 4JHH = 2.1 Hz, 2H, ArH), 7.98–7.52 (m, 10H, ArH), 5.60 (d, 2JPH = 6.7 Hz, 1H, CH-P), 1.80 (s, 3H, CH3) ppm; 13C {1H} NMR (75 MHz, CDCl3) δ 161.7 (d, 3JPC = 5.6 Hz, Cquat), 148.8, 133.8, 133.8, 133.4, 133.3, 131.4, 131.3, 131.2, 131.1, 129.9, 129.7, 129.4, 129.3, 128.8, 122.2 (CAr),119.8 (d, 3JPC = 8.9 Hz, CN), 108.1 (Cquat), 83.2 (d, 1JPC = 76.7 Hz, CH-P), 68.3 (d, 2JPC = 2.0 Hz, Cquat), 23.0 (d, 3JPC = 5.2 Hz, CH3) ppm; 31P NMR (120 MHz, CDCl3) δ 22.5 ppm; ESI-HRMS (CI) m/z calculated for C23H18N4O6P ([M + H]+) 477.0964 found 477.0965.
Molecules 26 04265 i015

General Procedures and Spectral Data for The Addition of Isocyanates to Functionalized Cyanoaziridines 1

Method A. To a 0 °C solution of cyanoaziridine (5 mmol, 1 eq) in CH2Cl2 (25 mL) the corresponding isocyanate (6 mmol, 1.2 eq) was added dropwise. The reaction mixture was allowed to reach room temperature and stirred for 6–24 h. The crude products were concentrated to dryness in vacuum conditions and were purified by crystallization. Method B. To a 0 °C solution of cyanoaziridine (5 mmol, 1 eq) in CH2Cl2 (25 mL) phenyl isocyanate (15 mmol, 3 eq) and Sc (OTf)3 (0.49 g, 1 mmol, 0.2 eq) were added dropwise. The reaction mixture was stirred at 0 °C for 5 h until TLC showed the disappearance of the starting cyanoaziridine. The reaction mixture was washed with water (3 × 15 mL) and extracted with CH2Cl2 (15 mL). The organic layer was dried over anhydrous MgSO4, filtered, and concentrated to dryness in vacuum conditions. The crude product was purified by crystallization from Et2O. Method C. To a solution of cyanoaziridine (5 mmol, 1 eq) in CH2Cl2 (25 mL) the corresponding aliphatic isocyanate (10 mmol, 2 eq) and ZnCl2 (0.85 g, 6.25 mmol, 1.25 eq) were added dropwise. The reaction mixture was stirred at room temperature for 5–48 h until TLC showed the disappearance of the starting cyanoaziridine. The reaction mixture was washed with saturated NH4Cl (1 × 15 mL) and water (3 × 15 mL) and extracted with CH2Cl2 (15 mL). The organic layers were dried over anhydrous MgSO4, filtered, and concentrated to dryness in vacuum conditions. The crude product was purified by crystallization.
(E)-(2S*,3S*)-2-Cyano-3-(diphenylphosphoryl)-2-methyl-N-phenylaziridine-1-carboxamide (5a), (1.27 g, 63%) was obtained as a white solid from cyanoaziridine 1a (1.41 g, 5 mmol) and phenylisocyanate (0.65 mL, 6 mmol, 1.2 eq) as described in the general procedure (method A). The crude product was purified by crystallization from Et2O to give the title compound 5a. (1.42 g, 71%) obtained as an orange pale solid from cyanoaziridine 1a (1.41 g, 5 mmol), phenylisocyanate (0.65 mL, 6 mmol, 1.2 eq) and Sc(OTf)3 (1 mmol, 0.49 g) as described in the general procedure (method B). The crude product was purified by crystallization from Et2O to give the title compound 5a; mp 179–181 °C; IR (neat) vmax 3220, 3053, 2926, 2256, 1710, 1596, 1544, 1435, 1252, 1202, 1127 cm−1; 1H NMR (400 MHz, CDCl3) δ 9.11 (bs, 1H, NH), 7.88–7.07 (m, 15H, ArH), 3.76 (d, 2JPH = 23.1 Hz, 1H, CH-P), 1.92 (s, 3H, CH3) ppm; 13C {1H} NMR (75 MHz, CDCl3) δ 157.2 (C=O), 137.8 (Cquat), 133.1, 133.1, 133.1, 133.0, 131.6, 131.4, 131.2, 131.2, 131.0, 130.1, 130.0, 129.5, 129.4, 129.3, 129.2, 129.1, 124.6, 120.1 (CAr), 117.1 (CN), 41.3 (d, 1JPC = 102.1 Hz, CH-P), 37.4 (Cquat), 17.9 (CH3) ppm; 31P NMR (120 MHz, CDCl3) δ 23.4 ppm; ESI-HRMS (CI) m/z calculated for C23H21N3O2P ([M + H]+) 402.1371 found 402.1374.
Molecules 26 04265 i016
Diethyl (E)-[(2S*,3S*)-3-cyano-3-methyl-1-(phenylcarbamoyl)aziridin-2-yl]phosphonate (5b), (1.65 g, 98%) was obtained as a white solid from cyanoaziridine 1c (1.09 g, 5 mmol) and phenylisocyanate (0.65 mL, 6 mmol, 1.2 eq) as described in the general procedure (method A). The crude product was purified by crystallization from CH2Cl2/pentane to give the title compound 5b; mp 137–139 °C; IR (neat) vmax 3253, 3065, 2984, 2240, 1716, 1607, 1544, 1499, 1444, 1249, 1044, 1024 cm−1; 1H NMR (300 MHz, CDCl3) δ 8.30 (bs, 1H, NH), 7.48–7.09 (m, 5H, ArH), 4.25–4.15 (m, 4H, OCH2CH3), 3.29 (d, 2JPH = 13.6 Hz, 1H, CH-P), 1.92 (s, 3H, CH3), 1.40–1.32 (m, 6H, OCH2CH3) ppm; 13C {1H} NMR (75 MHz, CDCl3) δ 156.6 (C=O), 137.3 (Cquat), 129.2, 124.8, 120.0 (CAr), 116.9 (CN), 63.9 (d, 2JPC = 5.4 Hz, OCH2), 63.3 (d, 2JPC = 6.0 Hz, OCH2) 38.7 (d, 1JPC = 207.4 Hz, CH-P), 36.0 (Cquat), 18.2 (CH3), 16.6 (d, 3JPC = 4.9 Hz, OCH2CH3), 16.5 (d, 3JPC = 4.7 Hz, OCH2CH3) ppm; 31P NMR (120 MHz, CDCl3) δ 14.6 ppm; ESI-HRMS (CI) m/z calculated for C15H21N3O4P ([M + H]+) 338.1270 found 338.1264.
Molecules 26 04265 i017
(E)-(2S*,3S*)-2-Cyano-3-(diphenylphosphoryl)-2-methyl-N-(p-tolyl) aziridine-1-carboxamide (5c), (1.70 g, 82%) was obtained as a yellow solid from cyanoaziridine 1a (1.41 g, 5 mmol) and p-tolyl isocyanate (0.76 mL, 6 mmol, 1.2 eq) as described in the general procedure (method A). The crude product was purified by crystallization from Et2O to give the title compound 5c; mp 193–195 °C; IR (neat) vmax 3237, 3056, 2917, 2254, 1710, 1599, 1546, 1539, 1408, 1249, 1197 cm−1; 1H NMR (400 MHz, CDCl3) δ 9.17 (bs, 1H, NH), 7.86–7.06 (m, 14H, ArH), 3.76 (d, 2JPH = 23.0 Hz, 1H, CH-P), 2.28 (s, 3H, CH3), 1.92 (s, 3H, CH3) ppm; 13C {1H} NMR (75 MHz, CDCl3) δ 157.1 (d, 3JPC = 4.2 Hz, C=O), 135.2 (Cquat), 134.2 (Cquat), 133.0, 133.0, 131.3, 131.2, 131.1, 131.0, 129.5, 129.4, 129.3, 129.1, 120.2, 120.0, (CAr), 117.1 (CN), 41.2 (d, 1JPC = 100.5 Hz, CH-P), 37.3 (d, 2JPC = 3.1 Hz, Cquat), 21.0 (CH3), 17.9 (CH3) ppm; 31P NMR (120 MHz, CDCl3) δ 23.6 ppm; ESI-HRMS (CI) m/z calculated for C24H23N3O2P ([M + H]+) 416.1528 found 416.1532.
Molecules 26 04265 i018
Diethyl (E)-[(2S*,3S*)-3-cyano-3-methyl-1-(p-tolylcarbamoyl)aziridin-2-yl]phosphonate (5d), (1.40 g, 80%) was obtained as a pale yellow solid from cyanoaziridine 1c (1.09 g, 5 mmol) and p-tolyl isocyanate (0.76 mL, 6 mmol, 1.2 eq) as described in the general procedure (method A). The crude product was purified by crystallization from CH2Cl2/pentane to give the title compound 5d; mp 140–142 °C; IR (neat) vmax 3256, 3040, 2987, 2240, 1710, 1607, 1538, 1444, 1516, 1321, 1247, 1039 cm−1; 1H NMR (300 MHz, CDCl3) δ 8.15 (bs, 1H, NH), 7.33 (d, 3JHH = 7.9 Hz, 2H, ArH), 7.09 (d, 3JHH = 7.9 Hz, 2H, ArH), 4.24–4.14 (m, 4H, OCH2CH3), 3.28 (d, 2JPH = 13.5 Hz, 1H, CH-P), 2.28 (s, 3H, CH3), 1.91 (s, 3H, CH3), 1.39–1.32 (m, 6H, OCH2CH3) ppm; 13C {1H} NMR (75 MHz, CDCl3) δ 156.6 (d, 3JPC = 5.9 Hz, C=O), 134.9 (Cquat), 134.3 (Cquat), 129.5, 120.1 (CAr), 116.9 (CN), 63.9 (d, 2JPC = 6.2 Hz, OCH2), 63.2 (d, 2JPC = 6.5 Hz, OCH2), 38.4 (d, 1JPC = 206.8 Hz, CH-P), 36.0 (d, 2JPC = 2.2 Hz, Cquat), 20.9 (CH3), 18.1 (CH3), 16.5 (d, 3JPC = 6.0 Hz, OCH2CH3), 16.4 (d, 3JPC = 6.0 Hz, OCH2CH3) ppm; 31P NMR (120 MHz, CDCl3) δ 14.8 ppm; ESI-HRMS (CI) m/z calculated for C16H23N3O4P ([M + H]+) 352.1426 found 352.1419.
Molecules 26 04265 i019
(E)-(2S*,3S*)-2-Cyano-3-(diphenylphosphoryl)-2-ethyl-N-tosylaziridine-1-carboxamide (5e), (2.12 g, 86%) was obtained as a white solid from cyanoaziridine 1b (1.48 g, 5 mmol) and p-toluenesulfonyl isocyanate (0.92 mL, 6 mmol, 1.2 eq) as described in the general procedure (method A). The crude product was purified by crystallization from Et2O to give the title compound 5e; mp 201–203 °C; IR (neat) vmax 3257, 2931, 2245, 1743, 1605, 1444, 1360, 1242, 1124, 1094 cm−1; 1H NMR (400 MHz, MeOD) δ 7.92–7.38 (m, 14H, ArH), 3.39 (d, 2JPH = 23.4 Hz, 1H, CH-P), 1.97 (m, 2H, CH2), 2.44 (s, 3H, CH3), 1.02 (t, 3JHH = 7.4 Hz, 3H, CH3) ppm; 13C {1H} NMR (75 MHz, MeOD) δ 153.5 (C=O), 146.0 (Cquat), 137.8 (Cquat), 134.2, 134.2, 133.9, 133.9, 132.2, 132.1, 132.1, 132.0, 130.5, 130.4, 130.3, 130.2, 130.0, 129.0 (CAr), 120.4 (CN), 39.5 (d, 1JPC = 101.6 Hz, CH-P), 36.6 (Cquat), 25.2 (CH2), 21.5 (CH3), 11.1 (CH3) ppm; 31P NMR (120 MHz, MeOD) δ 27.2 ppm; ESI-HRMS (CI) m/z calculated for C25H25N3O4PS ([M + H]+) 494.1303 found 494.1292.
Molecules 26 04265 i020
Diethyl (E)-[(2S*,3S*)-3-cyano-3-methyl-1-(tosylcarbamoyl)aziridin-2-yl]phosphonate (5f), (1.64 g, 79%) was obtained as a waxy white solid from cyanoaziridine 1c (1.09 g, 5 mmol) and p-toluenesulfonyl isocyanate (0.92 mL, 6 mmol, 1.2 eq) as described in the general procedure (method A). The crude product was purified by crystallization from CH2Cl2/pentane to give the title compound 5f; Rf: 0.4 (AcOEt). IR (neat) vmax 3248, 3092, 2992, 2237, 1738, 1649, 1596, 1446, 1335, 1247, 1160, 1047, 1027 cm−1; 1H NMR (300 MHz, CDCl3) δ 10.50 (bs, 1H, NH), 7.89–7.78 (m, 4H, ArH), 4.24–4.10 (m, 4H, OCH2CH3), 3.04 (d, 2JPH = 13.2 Hz, 1H, CH-P), 2.38 (s, 3H, CH3), 1.83 (s, 3H, CH3), 1.37–1.28 (m, 6H, OCH2CH3) ppm; 13C {1H} NMR (75 MHz, CDCl3) δ 155.3 (d, 3JPC = 6.6 Hz, C=O), 145.3 (Cquat), 135.1 (Cquat), 129.8, 129.7, 128.6, 128.1, 126.5 (CAr), 116.2 (CN), 64.3 (d, 2JPC = 6.0 Hz, OCH2), 63.8 (d, 2JPC = 6.4 Hz, OCH2), 38.9 (d, 1JPC = 206.6 Hz, CH-P), 36.3 (d, 2JPC = 3.0 Hz, Cquat), 21.8 (CH3), 17.7 (CH3), 16.5 (d, 3JPC = 6.3 Hz, OCH2CH3), 16.4 (d, 3JPC = 6.2 Hz, OCH2CH3) ppm; 31P NMR (120 MHz) δ 13.3 ppm; ESI-HRMS (CI) m/z calculated for C16H23N3O6PS ([M + H]+) 416.1045 found 416.1038.
Molecules 26 04265 i021
(E)-(2S*,3S*)-2-Cyano-3-(diphenylphosphoryl)-N-ethyl-2-methylaziridine-1-carboxamide (5g), (1.51 g, 86%) was obtained as a pale pink solid from cyanoaziridine 1a (1.41 g, 5 mmol) and ethyl isocyanate (0.79 mL, 10 mmol, 2 eq) as described in the general procedure (method C). The crude product was purified by crystallization from Et2O/pentane 50:50 to give the title compound 5g; mp 182–184 °C; IR (neat) vmax 3253, 3053, 2976, 2240, 1702, 1544, 1438, 1283, 1258, 1191, 1124 cm−1; 1H NMR (400 MHz, CDCl3) δ 7.84–7.46 (m, 10H, ArH), 5.98 (t, 3JHH = 5.9 Hz, 1H, NH), 3.65 (d, 2JPH = 22.1 Hz, 1H, CH-P), 3.37–3.18 (m, 2H, NHCH2CH3), 1.85 (s, 3H, CH3), 1.13 (t, 3JHH = 7.3 Hz, NHCH2CH3) ppm; 13C {1H} NMR (100 MHz, CDCl3) δ 159.1 (d, 3JPC = 4.6 Hz, C=O), 133.0, 132.9, 132.8, 132.8, 131.6, 131.4, 131.3, 131.1, 131.1, 130.6, 130.3, 129.3, 129.2, 129.1, 129.0 (CAr), 117.1 (CN), 41.6 (d, 1JPC = 100.1 Hz, CH-P), 36.7 (d, 2JPC = 3.4 Hz, Cquat), 36.4 (NHCH2CH3), 18.1 (CH3), 15.1 (NHCH2CH3) ppm; 31P NMR (120 MHz, CDCl3) δ 23.1 ppm; ESI-HRMS (CI) m/z calculated for C19H21N3O2P ([M + H]+) 354.1371 found 354.1372.
Molecules 26 04265 i022
Diethyl (E)-[(2S*,3S*)-3-cyano-1-(ethylcarbamoyl)-3-methylaziridin-2-yl]phosphonate (5h), (0.85 g, 59%) was obtained as a waxy solid from cyanoaziridine 1c (1.09 g, 5 mmol) and ethyl isocyanate (0.79 mL, 10 mmol, 2 eq) as described in the general procedure (method C). The crude product was purified by crystallization from Et2O/pentane 50:50 to give the title compound 5h; Rf: 0.3 (AcOEt); IR (neat) vmax 3281, 3062, 2987, 2243, 1699, 1541, 1455, 1385, 1371, 1252, 1160, 1044, 1039 cm−1; 1H NMR (300 MHz, CDCl3) δ 6.03 (bs, 1H, NH), 4.19–4.09 (m, 4H, OCH2CH3), 3.36–3.18 (m, 2H, NHCH2CH3), 3.12 (d, 2JPH = 13.8 Hz, 1H, CH-P), 1.79 (s, 3H, CH3), 1.34–1.28 (m, 6H, OCH2CH3) 1.13 (t, 3JHH = 7.2 Hz, NHCH2CH3) ppm; 13C {1H} NMR (75 MHz, CDCl3) δ 158.8 (d, 3JPC = 6.4 Hz, C=O), 116.9 (CN), 63.7 (d, 2JPC = 5.7 Hz, OCH2), 63.0 (d, 2JPC = 6.2 Hz, OCH2), 38.6 (d, 1JPC = 207.0 Hz, CH-P), 36.2 (NHCH2CH3), 35.3 (d, 2JPC = 3.2 Hz, Cquat), 18.2 (CH3), 16.4 (d, 3JPC = 5.2 Hz, OCH2CH3), 16.4 (d, 3JPC = 5.3 Hz, OCH2CH3), 15.0 (NHCH2CH3) ppm; 31P NMR (120 MHz, CDCl3) δ 15.1 ppm; ESI-HRMS (CI) m/z calculated for C11H21N3O4P ([M + H]+) 290.1270 found 290.1275.
Molecules 26 04265 i023
(E)-(2S*,3S*)-N-(tert-Butyl)-2-cyano-3-(diphenylphosphoryl)-2-methylaziridine-1-carboxamide (5i), (1.39 g, 73%) was obtained as a white solid from cyanoaziridine 1a (1.41 g, 5 mmol) and tert-butyl isocyanate (1.14 mL, 10 mmol, 2 eq) as described in the general procedure (method C). The crude product was purified by crystallization from Et2O/pentane 50:50 to give the title compound 5i; mp 166–168 °C; IR (neat) vmax 3259, 3056, 2976, 2237, 1707, 1541, 1452, 1441, 1369, 1285, 1208, 1127 cm−1; 1H NMR (400 MHz, CDCl3) δ 7.82–7.48 (m, 10H, ArH), 5.53 (s, 1H, NH), 3.62 (d, 2JPH = 22.1 Hz, 1H, CH-P), 1.85 (s, 3H, CH3), 1.33 (s, 9H, C(CH3)3) ppm; 13C {1H} NMR (75 MHz, CDCl3) δ 157.4 (d, 3JPC = 4.6 Hz, C=O), 132.9, 132.9, 132.8, 132.8, 131.9, 131.6, 131.4, 131.3, 131.1, 131.0, 130.5, 130.2, 129.3, 129.2, 129.1, 129.0 (CAr), 117.0 (CN), 52.1 (C(CH)3)3), 41.2 (d, 1JPC = 99.9 Hz, CH-P), 36.5 (d, 2JPC = 3.5 Hz, Cquat), 28.7 (C(CH)3), 18.1 (CH3) ppm; 31P NMR (120 MHz, CDCl3) δ 23.1 ppm; ESI-HRMS (CI) m/z calculated for C21H25N3O2P ([M + H]+) 382.1684 found 382.1687.
Molecules 26 04265 i024
Diethyl (E)-[(2S*,3S*)-1-(tert-butylcarbamoyl)-3-cyano-3-methylaziridin-2-yl]phosphonate (5j), (1.19 g, 75%) was obtained as a white solid from cyanoaziridine 1c (1.09 g, 5 mmol) and tert-butyl isocyanate (1.14 mL, 10 mmol, 2 eq) as described in the general procedure (method C). The crude product was purified by flash-column chromatography (SiO2, AcOEt/hexane 20:80) to give the title compound 5j; mp 96–98 °C; IR (neat) vmax 3284, 3051, 2979, 2246, 1705, 1538, 1477, 1457, 1394, 1369, 1260, 1160, 1038 cm−1; 1H NMR (300 MHz, CDCl3) δ 5.45 (bs, 1H, NH), 4.21–4.11 (m, 4H, OCH2CH3), 3.13 (d, 2JPH = 13.6 Hz, 1H, CH-P), 1.81 (s, 3H, CH3), 1.36–1.30 (m, 15H, C(CH3)3 + OCH2CH3) ppm; 13C {1H} NMR (75 MHz, CDCl3) δ 157.1 (d, 3JPC = 6.7 Hz, C=O), 116.9 (d, 3JPC = 2.4 Hz, CN), 63.7 (d, 2JPC = 6.1 Hz, OCH2), 63.0 (d, 2JPC = 6.5 Hz, OCH2), 52.1 (C(CH)3)3), 38.3 (d, 1JPC = 207.1 Hz, CH-P), 35.3 (d, 2JPC = 3.4 Hz, Cquat), 28.7 (C(CH)3), 18.4 (CH3), 16.5 (d, 3JPC = 5.9 Hz, OCH2CH3), 16.4 (d, 3JPC = 5.6 Hz, OCH2CH3) ppm; 31P NMR (120 MHz, CDCl3) δ 15.5 ppm; ESI-HRMS (CI) m/z calculated for C13H24N3NaO4P ([M + Na]+) 340.1402 found 340.1400.
Molecules 26 04265 i025
(E)-(2S*,3S*)-N-(tert-Butyl)-2-cyano-3-(diphenylphosphoryl)-2-ethylaziridine-1-carboxamide (5k), (1.27 g, 64%) was obtained as a white solid from cyanoaziridine 1b (1.48 g, 5 mmol) and tert-butyl isocyanate (1.14 mL, 10 mmol, 2 eq) as described in the general procedure (method C). The crude product was purified by flash-column chromatography (SiO2, AcOEt/hexane 50:50) to give the title compound 5k; mp 197–199 °C; IR (neat) vmax 3262, 2976, 2240, 1718, 1499, 1457, 1438, 1369, 1274, 1199, 1122 cm−1; 1H NMR (400 MHz, CDCl3) δ 7.83–7.45 (m, 10H, ArH), 5.43 (s, 1H, NH), 3.67 (d, 2JPH = 22.2 Hz, 1H, CH-P), 2.34–2.24 (m, 1H, CH2CH3), 2.01–1.99 (m, 1H, CH2CH3), 1.33 (s, 9H, C(CH3)3, 1.09 (t, 3JHH = 1.9 Hz, 3H, CH2CH3) ppm; 13C {1H} NMR (100 MHz, CDCl3) δ 157.5 (C=O), 132.9, 132.8, 131.3, 131.2, 131.1, 131.0, 129.3, 129.2, 129.1, 129.0 (CAr), 116.1 (CN), 52.0 (C(CH3)3), 42.3 (d, 2JPC = 1.7 Hz, Cquat), 41.9 (d, 1JPC = 117.2 Hz, CH-P), 28.7 (C(CH)3), 24.6 (CH2CH3), 10.8 (CH2CH3) ppm; 31P NMR (120 MHz, CDCl3) δ 22.8 ppm; ESI-HRMS (CI) m/z calculated for C22H27N3O2P ([M + H]+) 396.1841 found 396.1847.
Molecules 26 04265 i026

General Procedures and Spectral Data for The Addition of Ethoxycarbonyl Isothiocyanate to Functionalized Cyanoaziridines 1

Method A. To a −30 °C solution of cyanoaziridine 1 (5 mmol, 1 eq) in CH2Cl2 (25 mL) ethoxycarbonyl isothiocyanate (6 mmol, 1.2 eq) was added dropwise. The reaction mixture was stirred at −30 °C for 6–8 h until TLC showed the disappearance of the starting cyanoaziridine. The crude products were concentrated to dryness in vacuum conditions and were purified by crystallization. Method B. To a 0 °C solution of cyanoaziridine 1 (5 mmol, 1 eq) in CH2Cl2 (25 mL) ethoxycarbonyl isothiocyanate (6 mmol, 1.2 eq) was added dropwise. The reaction mixture was allowed to reach room temperature and stirred for 6–24 h. The crude product was concentrated to dryness in vacuum conditions and was purified by crystallization.
Ethyl (E)-[(2S*,3S*)-2-cyano-3-(diphenylphosphoryl)-2-methylaziridine-1-carbonothioyl]carbamate (6a), (1.47 g, 71%) was obtained as an orange solid from cyanoaziridine 1a (1.41 g, 5 mmol) and ethoxycarbonyl isothiocyanate (0.71 mL, 6 mmol, 1.2 eq) as described in the general procedure (method A). The crude product was purified by crystallization from Et2O to give the title compound 6a. (1.66 g, 80%) which was obtained as an orange solid from cyanoaziridine 1a (1.41 g, 5 mmol) and ethoxycarbonyl isothiocyanate (0.71 mL, 6 mmol, 1.2 eq) as described in the general procedure (method B). The crude product was purified by crystallization from Et2O to give the title compound 6a; mp 156–158 °C; IR (neat) vmax 3406, 3147, 2984, 2254, 1771, 1593, 1491, 1438, 1383, 1233, 1152, 1122, 1041 cm−1; 1H NMR (400 MHz, CDCl3) δ 9.43 (bs, 1H, NH), 7.94–7.42 (m, 10H, ArH), 4.17 (q, 3JHH = 7.1 Hz, 2H, OCH2), 3.92 (d, 2JPH = 20.0 Hz, 1H, CH-P), 1.97 (s, 3H, CH3). A value of 1.23 (t, 3JHH = 7.1 Hz, 3H, CH3) ppm; 13C {1H} NMR (75 MHz, CDCl3) δ 190.5 (d, 3JPC = 4.6 Hz, C=S), 149.0 (C=O), 133.0, 133.0, 132.8, 132.8, 131.8, 131.7, 131.5, 131.2, 131.1, 130.9, 130.1, 129.4, 129.3, 129.1, 128.8, 128.6 (CAr), 116.5 (CN), 63.0 (CH2), 48.8 (d, 1JPC = 94.5 Hz, CH-P), 42.4 (d, 2JPC = 3.2 Hz, Cquat), 18.6 (CH3), 14.2 (CH3) ppm; 31P NMR (120 MHz, CDCl3) δ 22.7 ppm; ESI-HRMS (CI) m/z calculated for C20H21N3O3PS ([M + H]+) 414.1041, found 414.1041.
Molecules 26 04265 i027
Ethyl (E)-[(2S*,3S*)-2-cyano-3-(diphenylphosphoryl)-2-ethylaziridine-1-carbonothioyl]carbamate (6b), (1.82 g, 85%) was obtained as a pale yellow solid from cyanoaziridine 1b (1.48 g, 5 mmol) and ethoxycarbonyl isothiocyanate (0.71 mL, 6 mmol, 1.2 eq) as described in the general procedure (method A). The crude product was purified by crystallization from Et2O to give the title compound 6b; mp 179–181 °C; IR (neat) vmax 3409, 3062, 2981, 2254, 2237, 1752, 1541, 1438, 1230, 1197, 1163, 1044 cm−1; 1H NMR (400 MHz, CDCl3) δ 8.96 (bs, 1H, NH), 7.97–7.44 (m, 10H, ArH), 4.20 (q, 3JHH = 7.2 Hz, 2H, OCH2), 3.96 (d, 2JPH = 20.2 Hz, 1H, CH-P), 2.59–2.50 (m, 1H, CH2), 2.37–2.28 (m, 1H, CH2). A value of 1.27 (t, 3JHH = 7.2 Hz, 3H, CH3), 0.99 (t, 3JHH = 7.5 Hz, CH3) ppm; 13C {1H} NMR (75 MHz, CDCl3) δ 190.1 (d, 3JPC = 4.4 Hz, C=S), 149.0 (C=O), 133.1, 133.0, 132.8, 132.8, 131.8, 131.6, 131.5, 131.4, 131.3, 131.2, 130.1, 129.9, 129.3, 129.2, 128.9, 128.7 (CAr), 115.4 (CN), 63.2 (OCH2), 48.8 (d, 1JPC = 94.4 Hz, CH-P), 48.0 (d, 2JPC = 3.1 Hz, Cquat), 24.6 (CH2), 14.3 (CH3), 10.4 (CH3) ppm; 31P NMR (120 MHz, CDCl3) δ 21.8 ppm; ESI-HRMS (CI) m/z calculated for C21H23N3O3PS ([M + H]+) 428.1198, found 428.1204.
Molecules 26 04265 i028
Ethyl (E)-[(2S*,3S*)-2-cyano-3-(diethoxyphosphoryl)-2-methylaziridine-1-carbonothioyl]carbamate (6c), (1.50 g, 86%) was obtained as an orange solid from cyanoaziridine 1c (1.09 g, 5 mmol) and ethoxycarbonyl isothiocyanate (0.71 mL, 6 mmol, 1.2 eq) as described in the general procedure (method B). The crude product was purified by crystallization from Et2O/pentane to give the title compound 6c; mp 116–118 °C; IR (neat) vmax 3395, 3162, 2987, 2251, 1774, 1491, 1385, 1241, 1158, 1041 cm−1; 1H NMR (300 MHz, CDCl3) δ 9.03 (bs, 1H, NH), 4.30–4.14 (m, 6H, OCH2CH3 + CH2CH3), 3.41 (d, 2JPH = 12.3 Hz, 1H, CH-P), 1.98 (s, 3H, CH3), 1.38–1.27 (m, 9H, OCH2CH3 + CH2CH3) ppm; 13C {1H} NMR (75 MHz, CDCl3) δ 190.3 (d, 3JPC = 6.7 Hz, C=S), 148.7 (C=O), 116.4 (d, 3JPC = 2.3 Hz, CN), 64.2 (d, 2JPC = 5.8 Hz, OCH2CH3), 63.3 (d, 2JPC = 6.9 Hz, OCH2CH3), 63.2 (CH2), 45.8 (d, 1JPC = 201.7 Hz, CH-P), 41.8 (d, 2JPC = 3.2 Hz, Cquat), 18.6 (CH3), 16.5 (d, 3JPC = 4.0 Hz, OCH2CH3), 16.4 (d, 3JPC = 6.0 Hz, OCH2CH3), 14.2 (CH2CH3) ppm; 31P NMR (120 MHz, CDCl3) δ 13.3 ppm; ESI-HRMS (CI) m/z calculated for C12H21N3O5PS ([M + H]+) 350.0940 found 350.0932.
Molecules 26 04265 i029

General Procedure and Spectral Data for The Reaction of NaI with N-Carbamoyl Cyanoaziridines 7

To a stirred solution of N-functionalized cyanoaziridine 5 (5 mmol, 1 eq) in THF (15 mL), NaI (0.02 g, 1 mmol, 0.2 eq) was added dropwise. The mixture was heated at 60 °C for 24 h until TLC showed the disappearance of the starting cyanoaziridine. NaI was filtered through a sintered glass vacuum filtration funnel with celite and washed with THF. The filtrate was concentrated to dryness in vacuum conditions and the resulting residue was purified by flash-column chromatography.
(4S*,5S*)-5-(Diphenylphosphoryl)-4-methyl-2-(phenylamino)-4,5-dihydrooxazole-4-carbonitrile (7a) and (4S*,5S*)-4-(diphenylphosphoryl)-5-methyl-2-(phenylamino)-4,5-dihydrooxazole-5-carbonitrile (7′a), (0.90 g, 45%) were obtained as yellow solids from N-functionalized cyanoaziridine 5a (2.00 g, 5 mmol) as described in the general procedure. The crude product was purified by flash-column chromatography (SiO2, AcOEt/hexane 50:50) to give the minor regioisomer; mp 117–119 °C; IR (neat) vmax 3420, 3057, 2981, 2237, 1674, 1438, 1402, 1199, 1122 cm−1; 1H NMR (400 MHz, CDCl3) δ 7.95–7.20 (m, 15H, ArH), 4.23 (bs, 1H, NH), 3.00 (d, 2JPH = 16.2 Hz, 1H, CH-P), 1.76 (s, 3H, CH3) ppm; 13C {1H} NMR (75 MHz, CDCl3) δ 164.6 (d, 3JPC = 5.9 Hz, C=N), 132.9, 132.1, 131.9, 131.2, 131.1, 130.4, 130.0, 129.4, 129.2, 129.1, 128.9, 126.8 (CAr), 127.6 (CN), 51.8 (d, 1JPC = 95.5 Hz, CH-P), 29.8 (Cquat), 12.2 (CH3) ppm; 31P NMR (120 MHz, CDCl3) δ 21.0 ppm; ESI-HRMS (CI) m/z calculated for C23H21N3O2P ([M + H]+) 402.1371 found 402.1368.
Molecules 26 04265 i030
Diethyl (E)-[(4S*,5S*)-4-cyano-4-methyl-2-(phenylamino)-4,5-dihydroozazol-5-yl]phosphonate (7b) and diethyl (E)-[(4S*,5S*)-5-cyano-5-methyl-2-(phenylamino)-4,5-dihydroozazol-4-yl]phosphonate (7′b), (1.16 g, 69%) were obtained as waxy white solids from N-functionalized cyanoaziridine 5b (1.68 g, 5 mmol) as described in the general procedure. The crude product was purified by flash-column chromatography (SiO2, AcOEt) to give the title compound 7 as a mixture of two regioisomers 7b + 7′b; Rf: 0.1 (AcOEt); IR (neat) vmax 3370, 3061, 2990, 2240, 1666, 1499, 1402, 1255, 1158, 1052, 1019 cm−1; 1H NMR (300 MHz, CDCl3) δ 8.10 (bs, 1H, NH), 7.52–7.12 (m, 11H, ArH + NH), 4.32–4.20 (m, 8H, OCH2), 2.65 (d, 2JPH = 11.0 Hz, 1H, CH-P)major, 2.62 (d, 2JPH = 11.1 Hz, 1H, CH-P)minor, 1.89 (s, 3H, CH3)major, 1.84 (s, 3H, CH3)minor, 1.40–1.33 (m, 12H, OCH2CH3) ppm; 13C {1H} NMR (75 MHz, CDCl3) δ 166.5 (d, 3JPC = 3.7 Hz, C=N)minor, 161.8 (d, 3JPC = 4.5 Hz, C=N)major, 132.4 (Cquat), 130.9 (Cquat), 130.3, 129.7, 129.3, 128.7, 127.7, 127.0, 126.7 (CAr), 121.6 (CN)minor, 121.5 (CN)major, 64.3 (d, 2JPC = 6.0 Hz, OCH2)minor, 64.0 (d, 2JPC = 6.0 Hz, OCH2)major, 63.3 (d, 2JPC = 6.2 Hz, OCH2)major, 48.4 (d, 1JPC = 201.8 Hz, CH-P)major, 47.8 (d, 1JPC = 201.3 Hz, CH-P)minor, 47.5 (d, 2JPC = 3.4 Hz, Cquat)major, 46.0 (d, 2JPC = 3.00 Hz, Cquat)minor, 16.6, 16.5, 16.5, 16.4 (OCH2CH3), 12.5 (CH3)major, 12.1 (CH3)minor ppm; 31P NMR (120 MHz, CDCl3) δ 13.8major, 13.3minor ppm; ESI-HRMS (CI) m/z calculated for C15H21N3O4P ([M + H]+) 338.1270 found 338.1254.
Molecules 26 04265 i031
(E)-(4S*,5S*)-5-(Diphenylphosphoryl)-4-methyl-2-(p-tolylamino)-4,5-dihydrooxazole-4-carbonitrile (7c) and (E)-(4S*,5S*)-4-(diphenylphosphoryl)-5-methyl-2-(p-tolylamino)-4,5-dihydrooxazole-5-carbonitrile (7′c), (1.56 g, 75%) were obtained as white solids from N-functionalized cyanoaziridine 5c (2.07 g, 5 mmol) as described in the general procedure. The crude product was purified by flash-column chromatography (AcOEt) to give the title compound 7 as a mixture of two regioisomers 7c +7′c; mp 128–130 °C; IR (neat) vmax 3425, 3059, 2959, 2235, 1617, 1516, 1438, 1405, 1197, 1119 cm−1; 1H NMR (400 MHz, CDCl3) δ 8.01 (bs, 1H, NH), 7.96–7.01 (m, 29H, ArH + NH), 2.98 (d, 2JPH = 15.5 Hz, 1H, CH-P)minor, 2.98 (d, 2JPH = 16.7 Hz, 1H, CH-P)major, 2.37 (s, 3H, CH3)major, 2.33 (s, 3H, CH3)minor, 1.80 (s, 3H, CH3)major, 1.68 (s, 3H, CH3)minor ppm; 13C {1H} NMR (75 MHz, CDCl3) δ 166.8 (C=N)minor, 162.1 (C=N)major, 140.0 (Cquat), 138.8 (Cquat), 132.9, 132.0, 131.9, 131.3, 131.2, 131.1, 131.0, 130.4, 130.0, 129.7, 129.3, 129.2, 129.0, 128.9, 128.2, 127.5, 126.8, 126.4 (CAr), 121.5 (d, 3JPC = 3.8 Hz, CN), 51.5 (d, 1JPC = 95.9 Hz, CH-P)major, 51.6 (d, 1JPC = 95.2 Hz, CH-P)minor, 48.8 (d, 2JPC = 3.1Hz Cquat)major, 47.1 (Cquat), 21.3 (CH3), 12.3 (CH3)major, 11.9 (CH3)minor ppm; 31P NMR (120 MHz, CDCl3) δ 21.0major, 20.8minor ppm; ESI-HRMS (CI) m/z calculated for C24H23N3O2P ([M + H]+) 416.1528 found 416.1544.
Molecules 26 04265 i032
Diethyl (E)-[(4S*,5S*)-4-cyano-4-methyl-2-(p-tolylamino)-4,5-dihydroozazol-5-yl]phosphonate (7d) and diethyl (E)-[(4S*,5S*)-5-cyano-5-methyl-2-(p-tolylamino)-4,5-dihydroozazol-5-yl]phosphonate (7′d), (0.95 g, 54%) were obtained as waxy white solids from N-functionalized cyanoaziridine 5d (1.75 g, 5 mmol) as described in the general procedure. The crude product was purified by flash-column chromatography (SiO2, AcOEt) to give the title compound 7d + 7′d as a mixture of two regioisomers; Rf: 0.1 (AcOEt); IR (neat) vmax 3356, 3037, 2987, 2237, 1671, 1516, 1444, 1402, 1321, 1260, 1160, 1127, 1049, 1024 cm−1; 1H NMR (300 MHz, CDCl3) δ 8.05 (bs, 1H, NH)minor, 7.49 (bs, 1H, NH)major, 7.31–7.00 (m, 8H, ArH), 4.33–4.21 (m, 8H, OCH2), 2.62 (d, 2JPH = 11.1 Hz, 1H, CH-P)major, 2.60 (d, 2JPH = 11.3 Hz, 1H, CH-P)minor, 2.37 (s, 3H, CH3)major, 2.33 (s, 3H, CH3)minor, 1.89 (s, 3H, CH3)major, 1.85 (s, 3H, CH3)minor, 1.41–1.33 (m, 12H, OCH2CH3) ppm; 13C {1H} NMR (75 MHz, CDCl3) δ 166.7 (d, 3JPC = 3.0 Hz, C=N)minor, 162.1 (d, 1JPC = 3.7 Hz, C=N)major, 140.0 (Cquat), 138.9 (Cquat), 131.0, 130.6, 130.1, 129.7, 128.2, 126.9, 126.5 (CAr), 127.6 (CN)major, 121.3 (d, 3JPC = 5.5 Hz, CN)minor, 64.3 (d, 2JPC = 6.0 Hz, OCH2)minor, 64.0 (d, 2JPC = 5.9 Hz, OCH2)minor, 63.3 (d, 2JPC = 6.2 Hz, OCH2)major, 48.4 (d, 1JPC = 201.8 Hz, CH-P)major, 47.9 (d, 1JPC = 201.8 Hz, CH-P)minor, 47.5 (d, 2JPC = 3.2 Hz, Cquat)major, 46.0 (Cquat)minor, 21.3 (CH3), 16.6, 16.6, 16.5, 16.5 (OCH2CH3), 12.5 (CH3)major, 12.2 (CH3)minor ppm; 31P NMR (120 MHz, CDCl3) δ 13.9major, 13.4minor ppm; ESI-HRMS (CI) m/z calculated for C16H23N3O4P ([M + H]+) 352.1426 found 352.1426.
Molecules 26 04265 i033

General Procedure and Spectral Data for Compound 8a

To a −70 °C solution of 6a (5 mmol, 1 eq) in THF (25 mL) boron trifluoride diethyl etherate (25 mmol, 5 eq) was added dropwise. The reaction mixture was stirred at −70 °C for 24 h until TLC showed the disappearance of the starting N-functionalized cyanoaziridine. The crude product was washed three times with water (15 mL) and extracted with CH2Cl2 (15 mL). The organic layers were dried over anhydrous MgSO4, filtered, and concentrated to dryness in vacuum conditions, and the resulting residue was purified by flash-column chromatography.
Ethyl (Z)-[(4R*,5S*)-5-cyano-4-(diphenylphosphoryl)-5-methyl-4,5-dihydrothiazol-2-yl]carbamate (8a), (1.39 g, 67%) was obtained as a pale yellow solid from N-functionalized cyanoaziridine 6a (2.06 g, 5 mmol) and boron trifluoride diethyl etherate (3.1 mL, 25 mmol, 5 eq) as described in the general procedure. The crude product was purified by flash-column chromatography (SiO2, AcOEt/hexane 50:50) to give the title compound 8a; mp 208–210 °C; IR (neat) vmax 3145, 3065, 2937, 2254, 2232, 1724, 1624, 1507, 1438, 1244, 1174, 1113, 1094 cm−1; 1H NMR (400 MHz, CDCl3) δ 8.06–7.40 (m, 11H, ArH + NH), 4.58 (d, 2JPH = 12.8 Hz, 1H, CH-P), 4.22–4.16 (m, 2H, CH2), 2.11 (s, 3H, CH3), 1.25 (t, 3JHH = 7.1 Hz, 3H, CH2CH3) ppm; 13C {1H} NMR (75 MHz, CDCl3) δ 157.1 (d, 3JPC = 19.4 Hz, C=N), 152.8 (C=O), 134.0 (Cquat), 133.3, 133.2, 132.7, 132.6, 132.5, 132.4, 132.4, 131.3, 131.2, 129.2, 128.9, 128.7, 128.2, 128.1, 127.9 (CAr), 118.8 (d, 3JPC = 7.1 Hz, CN), 76.6 (d, 1JPC = 82.7 Hz, CH-P), 63.1 (CH2), 52.0 (d, 2JPC = 1.3 Hz, Cquat), 26.4 (CH3), 14.4 (CH3) ppm; 31P NMR (120 MHz, CDCl3) δ 26.1 ppm; ESI-HRMS (CI) m/z calculated for C20H21N3O3PS ([M + H]+) 414.1041 found 414.1046.
Molecules 26 04265 i034

General Procedure and Spectral Data for The Reaction of Cyanoaziridines 1 and Isocyanates in The Ppresence of KI

A mixture of the corresponding isocyanate (2 mmol, 2 eq), KI (0.25 g, 0.3 mmol) and cyanoaziridine (1 mmol, 1 eq) in CH3CN (15 mL) was stirred at 60 °C until TLC showed the disappearance of the starting cyanoaziridine. After the completion of the reaction, the solvent was evaporated under reduced pressure and the crude product was washed three times with water (15 mL) and extracted with CH2Cl2 (15 mL). The organic layers were dried over anhydrous MgSO4, filtered and concentrated to dryness in vacuum conditions, and the resulting residue was purified by crystallization or by flash-column chromatography.
(E)-(4S*,5S*)-4-Cyano-5-(diphenylphosphoryl)-4-ethyl-N-phenyl-2-(phenylimino)oxazolidine-3-carboxamide (9a), (1.66 g, 62%) was obtained as a white solid from cyanoaziridine 5a (1.48 g, 5 mmol) and phenyl isocyanate (1.09 mL, 10 mmol, 2 eq) as described in the general procedure. The crude product was purified by flash-column chromatography (SiO2, AcOEt/hexane 40:60) to give the title compound 9a; mp 208–210 °C; IR (neat) vmax 3267, 3062, 2973, 2246, 1779, 1560, 1502, 1435, 1383, 1316, 1260, 1225, 1119 cm−1; 1H NMR (300 MHz, CDCl3) δ 8.01–7.07 (m, 21H, ArH + NH), 3.32 (d, 2JPH = 18.7 Hz, 1H, CH-P), 2.46–2.27 (m, 2H, CH2), 1.05 (t, 3JHH = 7.4 Hz, 3H, CH2CH3) ppm; 13C {1H} NMR (75 MHz, CDCl3) δ 164.6 (d, 3JPC = 6.0 Hz, C=N), 157.9 (C=O), 138.0 (Cquat), 133.1, 133.0, 132.2, 132.1, 131.9, 131.8, 131.7, 129.0, 126.9, 124.2, 119.2 (CAr), 121.6 (CN), 55.1 (d, 1JPC = 96.5 Hz, CH-P), 54.5 (Cquat), 18.9 (CH2), 10.3 (CH3) ppm; 31P NMR (120 MHz, CDCl3) δ 24.1 ppm; ESI-HRMS (CI) m/z calculated for C31H28N4O3P ([M + H]+) 535.1899 found 535.1899.
Molecules 26 04265 i035
(E)-(4S*,5S*)-4-Cyano-5-(diphenylphosphoryl)-4-methyl-N-(p-tolyl)-2-(p-tolylimino)oxazolidine-3-carboxamide (9b), (1.51 g, 55%) was obtained as a white solid from cyanoaziridine 5c (1.41 g, 5 mmol) and p-tolyl isocyanate (1.26 mL, 10 mmol, 2 eq) as described in the general procedure. The crude product was purified by flash-column chromatography (SiO2, AcOEt/hexane 50:50) to give the title compound 9b; mp 220–222 °C; IR (neat) vmax 3259, 3040, 2926, 2246, 1777, 1613, 1596, 1513, 1438, 1391, 1241, 1172, 1191, 1155 cm−1; 1H NMR (300 MHz, CDCl3) δ 8.03–7.01(m, 19H, ArH + NH), 3.21 (d, 2JPH = 18.2 Hz, 1H, CH-P), 2.33 (s, 3H, CH3), 2.29 (s, 3H, CH3), 1.91 (s, 3H, CH3) ppm; 13C {1H} NMR (75 MHz, CDCl3) δ 164.6 (d, 3JPC = 6.0 Hz, C=N), 158.1 (C=O), 139.4 (Cquat), 135.4 (Cquat), 133.8 (Cquat), 133.1, 132.9, 132.9, 132.0, 131.9, 131.8, 130.0, 129.7, 129.5, 129.3, 129.2, 128.9, 126.7, 120.9, 120.3, 119.2, (CAr + CN), 53.9 (d, 1JPC = 92.0 Hz, CH-P), 49.1 (d, 2JPC = 3.8 Hz, Cquat), 21.3 (CH3), 21.0 (CH3), 12.6 (CH3) ppm; 31P NMR (120 MHz, CDCl3) δ 23.7 ppm; ESI-HRMS (CI) m/z calculated for C32H30N4O3P ([M + H]+) 549.2056 found 549.2056.
Molecules 26 04265 i036
Diethyl (E)-[(4S*,5S*)-4-cyano-4-methyl-3-(phenylcarbamoyl)-2-(phenylimino)oxazolidin-5-yl]phosphonate (9c), (1.80 g, 79%) was obtained as a pale yellow solid from cyanoaziridine 1c (1.09 g, 5 mmol) and phenyl isocyanate (1.09 mL, 10 mmol, 2 eq) as described in the general procedure. The crude product was purified by crystallization from Et2O to give the title compound 9c; mp 169–171 °C; IR (neat) vmax 3231, 3140, 2985, 2249, 1716, 1610, 1580, 1499, 1488, 1313, 1249, 1194, 1052, 1024 cm−1; 1H NMR (300 MHz, CDCl3) δ 7.47–7.02 (m, 10H, ArH), 6.58 (d, 1H, NH), 4.19–4.02 (m, 4H, OCH2), 3.98 (d, 2JPH = 12.4 Hz, 1H, CH-P), 1.98 (s, 3H, CH3), 1.24–1.16 (m, 3H, OCH2CH3) ppm; 13C {1H} NMR (75 MHz, CDCl3) δ 177.3 (d, 2JPC = 15.9 Hz, C=N), 158.5 (C=O) 151.2 (d, 3JPC = 12.4 Hz, Cquat), 145.2 (Cquat), 134.5 (Cquat), 129.5, 129.3, 129.1, 128.6, 128.5, 127.9, 127.7, 124.4, 123.7, 123.5 (CAr), 120.1 (CN), 80.3 (d, 2JPC = 6.1 Hz, Cquat), 64.4 (d, 2JPC = 6.8 Hz, OCH2), 63.7 (d, 2JPC = 6.7 Hz, OCH2), 52.0 (d, 1JPC = 156.6 Hz, CH-P), 19.2 (CH3), 16.3 (d, 2JPC = 5.8 Hz, OCH2CH3) ppm; 31P NMR (120 MHz, CDCl3) δ 15.1 ppm; ESI-HRMS (CI) m/z calculated for C22H26N4O5P ([M + H]+) 457.1641 found 457.1629.
Molecules 26 04265 i037

3.2. Biology

3.2.1. Materials

Reagents and solvents were used as purchased without further purification. All stock solutions of the investigated compounds were prepared by dissolving the powered materials in appropriate amounts of DMSO. The final concentration of DMSO never exceeded 10% (v/v) in reactions. The stock solution was stored at 5 °C until it was used.

3.2.2. Cytotoxicity Assays

Cells were cultured according to the supplier’s instructions. Cells were seeded in 96-well plates at a density of 2–4 × 103 cells per well and incubated overnight in 0.1 mL of media supplied with 10% Fetal Bovine Serum (Lonza) in a 5% CO2 incubator at 37 °C. On day 2, the compounds were added, and the samples were incubated for 48 h. After treatment, 10 μL of the cell counting kit-8 was added into each well for an additional 2 h incubation at 37 °C. The absorbance of each well was determined by an Automatic Elisa Reader System at a 450 nm wavelength.

4. Conclusions

In summary, we herein report the activation of NH-cyanoaziridines with phosphorus substituents by N-acylation or N-carbamoylation reactions. As far as we know, this methodology constitutes the first example of N-functionalization of phosphorus-substituted NH-cyanoaziridines with iso(thio)cyanates for the preparation of N-(thio)carbamoyl cyanoaziridines derived from phosphine oxide and phosphonate. Furthermore, we examined the ring expansion reaction of synthesized cyanoaziridines for the preparation of 5-membered nitrogen-containing heterocycles. For instance, N-acylated cyanoaziridine 2a regioselectively isomerized (Heine-type reaction) to 4-cyanooxazoline 3a in the presence of NaI. However, when N-carbamoyl cyanoaziridines 5 react in the same reaction conditions, 2-aminocyanooxazolines 7 are achieved as a mixture of regioisomers. The Heine-type reaction of N-thiocarbamoyl cyanoaziridine 6a was performed using mild acidic conditions (BF3·OEt2 as a Lewis acid), since neither thermal nor nucleophilic conditions produced the corresponding 2-aminocyanothiazoline 8a. We also examined the one pot reaction of cyanoaziridines 1 with isocyanates. The ring expansion reaction of N-carbamoyl cyanoaziridines 5 in situ prepared by the reaction of cyanoaziridines 1 with isocyanates, followed by the insertion of a second equivalent of isocyanate, obtained 2-iminocyanooxazolidines 9 in a regioselective way. Additionally, we evaluated the cytotoxic effect of all the synthesized compounds inhibiting the growth of the human tumor cell lines A549 (carcinomic human alveolar basal epithelial cells). Within the N-acylated and N-(thio)carbamoylated cyanoaziridines, only compound 2a exhibited a moderate cytotoxic effect with an IC50 of 22.9 ± 1.9μM. Concerning the 5-membered nitrogen-containing heterocycles, 4-cyanooxazoline 3a showed a IC50 value of 19.7 ± 2.8 μM, since 2-iminooxazolidines 9 exhibited IC50 values between 6.2 ± 0.7 and 16.4 ± 1.5 μM. In addition, the cytotoxic effect of our compounds in healthy lung cells, fibroblast lung cells (MRC-5), seemed not to present any effect.

Supplementary Materials

The following are available online: 1H and 13C NMR spectra of synthesized compounds 2, 3, 59.

Author Contributions

Conceptualization, V.C., F.P. and J.M.d.l.S.; data curation, V.C., F.P. and J.M.d.l.S.; formal analysis, V.C.; funding acquisition, F.P. and J.M.d.l.S.; investigation, V.C. and J.M.d.l.S.; methodology, V.C.; supervision, A.M.O.d.R., F.P. and J.M.d.l.S.; writing—original draft, J.M.d.l.S.; writing—review and editing, A.M.O.d.R., F.P. and J.M.d.l.S. All authors have read and agreed to the published version of the manuscript.

Funding

Financial support by the Ministerio de Ciencia, Innovación y Universidades (MCIU), Agencia Estatal de Investigación (AEI) y Fondo Europeo de Desarrollo Regional (FEDER) (RTI2018-101818-B-I00, UE), and Gobierno Vasco (GV), (IT 992-16) is gratefully acknowledged.

Institutional Review Board Statement

Not applicable.

Informed Consent Statement

Not applicable.

Data Availability Statement

The data presented in this study are available in the Supplementary Materials.

Acknowledgments

The authors wish to thank the technical and human support provided by SGIker (UPV/EHU/ERDF, EU).

Conflicts of Interest

The authors declare no conflict of interest.

Sample Availability

Samples of the compounds are not available from the authors.

References

  1. Vaidergorn, M.M.; Carneiro, Z.A.; Lopes, C.D.; de Albuquerque, S.; Reis, F.C.C.; Mikolaou, S.; e Mello, J.F.R.; Genesi, G.L.; Trossini, G.H.G.; Ganesan, A.; et al. β-Amino alcohols and their respective 2-phenyl-N-alkyl aziridines as potential DNA minor groove binders. Eur. J. Med. Chem. 2018, 157, 657–664. [Google Scholar] [CrossRef] [Green Version]
  2. Tomasz, M.; Chowdary, D.; Lipman, R.; Shimotakahara, S.; Veiro, D.; Walker, V.; Verdine, G.L. Reaction of DNA with chemically or enzymatically activated mitomycin C: Isolation and structure of the major covalent adduct. Proc. Natl. Acad. Sci. USA 1986, 83, 6702–6706. [Google Scholar] [CrossRef] [Green Version]
  3. Tomasz, M.; Palom, Y. The mitomycin bioreductive antitumor agents: Cross-linking and alkylation of DNA as the molecular basis of their activity. Pharmacol. Ther. 1997, 76, 73–87. [Google Scholar] [CrossRef]
  4. Bicker, U. N-(2-Cyanoethylene)urea—An asparagine analogous cytostatic compound? Exp. Pathol. Jena 1975, 10, 106–108. [Google Scholar] [CrossRef] [PubMed]
  5. Bicker, U. Immunopharmacological properties of 2-cyanoaziridine derivatives. In Immune Modulation Agents and Their Mechanisms; Fenical, R.L., Chirigos, M.A., Eds.; Marcel Dekker: New York, NY, USA, 1984. [Google Scholar]
  6. Dorr, R.T.; Wisner, L.; Samulitis, B.K.; Landowski, T.H.; Remers, W.A. Anti-tumor activity and mechanism of action for a cyanoaziridine-derivative, AMP423. Cancer Chemother. Pharmacol. 2012, 69, 1039–1049. [Google Scholar] [CrossRef] [Green Version]
  7. Remers, W.A.; Dorr, R.T. Chemistry and pharmacology of imexon and related cyanoaziridines. Curr. Med. Chem. 2012, 19, 5745–5753. [Google Scholar] [CrossRef]
  8. Dvorakova, K.; Payne, C.M.; Tome, M.E.; Briehl, M.M.; McClure, T.; Dorr, R.T. Induction of oxidative stress and apoptosis in myeloma cells by the aziridine-containing agent imexon. Biochem. Pharmacol. 2000, 60, 749–758. [Google Scholar] [CrossRef]
  9. Olsson, L.; Bicker, U. Effect of the immune modulators BM 12.531 (azimexone) and BM 41.332 on the subsets of T-lymphocytes in mice. J. Immunopharmacol. 1981, 3, 277–288. [Google Scholar] [CrossRef] [PubMed]
  10. Bicker, U.; Kampe, W.; Steingross, W. 1-Carboxamido-2-cyanoaziridine isomerization. U.S. Patent 4,083,987, 11 April 1978. [Google Scholar]
  11. Iyengar, B.S.; Dorr, R.T.; Remers, W.A. Chemical basis for the biological activity of imexon and related cyanoaziridines. J. Med. Chem. 2004, 47, 218–223. [Google Scholar] [CrossRef]
  12. Kim, S.J.; Kim, H.S.; Seo, Y.R. Understanding of ROS-inducing strategy in anticancer therapy. Oxid. Med. Cell. Longev. 2019, 5381692. [Google Scholar] [CrossRef] [PubMed]
  13. Cohen, S.J.; Zalupski, M.M.; Conkling, P.; Nugent, F.; Ma, W.W.; Modiano, M.; Pascual, R.; Lee, F.C.; Wong, L.; Hersh, E. A phase 2 randomized, double-blind, multicenter trial of imexon plus gemcitabine versus gemcitabine plus placebo in patients with metastatic chemotherapy-naïve pancreatic adenocarcinoma. Am. J. Clin. Oncol. 2018, 41, 230–235. [Google Scholar] [CrossRef]
  14. Ismail, F.M.D.; Levitsky, D.O.; Dembitsky, V.M. Aziridine alkaloids as potential therapeutic agents. Eur. J. Med. Chem. 2009, 3373–3387. [Google Scholar] [CrossRef]
  15. Iyengar, B.S.; Dorr, R.T.; Alberts, D.S.; Hersh, E.M.; Salmon, S.E.; Remers, W.A. Novel Antitumor 2-Cyanoaziridine-1-carboxamides. J. Med. Chem. 1999, 427, 510–514. [Google Scholar] [CrossRef] [PubMed]
  16. Carramiñana, V.; Ochoa de Retana, A.M.; Vélez del Burgo, A.; de los Santos, J.M.; Palacios, F. Synthesis and biological evaluation of cyanoaziridine phosphine oxides and phosphonates with antiproliferative activity. Eur. J. Med. Chem. 2019, 163, 736–746. [Google Scholar] [CrossRef]
  17. Samimi, H.A.; Yamin, B.M. KI-catalyzed ring expansion reaction of trans-NH-ketoaziridines to new trans-oxazolidines. Tetrahedron Lett. 2016, 57, 223–225. [Google Scholar] [CrossRef]
  18. Nadir, U.K.; Krishna, R.V.; Singh, A. A new and facile route for the synthesis of chiral 1,2-diamines and 2,3-diamino acids. Tetrahedron Lett. 2005, 46, 479–482. [Google Scholar] [CrossRef]
  19. Nadir, U.K.; Basu, N. Reaction of 2,3-disubstituted N-arylsulfonylaziridines with isocyanates in presence of sodium iodide—stereospecific conversion of N-arylsulfonylaziridines to imidazolidinones. Tetrahedron Lett. 1993, 49, 7787–7792. [Google Scholar] [CrossRef]
  20. Nadir, U.K.; Basu, N. Regiospecific cycloaddition reaction of 2-aryl and 2-alkyl 1-arenesulfonylaziridines with isocyanates using sodium iodide. Tetrahedron Lett. 1992, 33, 7949–7952. [Google Scholar] [CrossRef]
  21. Munegumi, T.; Azumaya, I.; Kato, T.; Masu, H.; Saito, S. [3+2] Cross-coupling reactions of aziridines with isocyanates catalyzed by nickel(II) iodide. Org. Lett. 2006, 8, 379–382. [Google Scholar] [CrossRef] [PubMed]
  22. Dong, C.; Alper, H. CeCl3 promoted asymmetric cycloaddition of isocyanates with 2-vinylaziridines. Tetrahedron Asymmetry 2004, 15, 1537–1540. [Google Scholar] [CrossRef]
  23. Trost, B.M.; Fandrick, D.R. Dynamic kinetic asymmetric cycloadditions of isocyanates to vinylaziridines. J. Am. Chem. Soc. 2003, 125, 11836–11837. [Google Scholar] [CrossRef]
  24. Butler, D.C.D.; Inman, G.A.; Alper, H. Room temperature ring-opening cyclization reactions of 2-vinylaziridines with isocyanates, carbodiimides, and isothiocyanates catalyzed by [Pd(OAc)2]/PPh3. J. Org. Chem. 2000, 65, 5887–5890. [Google Scholar] [CrossRef]
  25. Tabarki, M.A.; Besbes, R. Ring expansion of aziridine-2-carboxylates. An efficient entry to imidazolidin-2-ones and oxazolidin-2-imines. Tetrahedron Lett. 2015, 56, 1837–1839. [Google Scholar] [CrossRef]
  26. Abdellatif, K.R.A.; Fadaly, W.A.A.; Mostafa, Y.A.; Zaher, D.M.; Omar, H.A. Thiohydantoin derivatives incorporating a pyrazole core: Design, synthesis and biological evaluation as dual inhibitors of topoisomerase-I and cycloxygenase-2 with anti-cancer and anti-inflammatory activities. Bioorg. Chem. 2019, 91, 103132. [Google Scholar] [CrossRef]
  27. Ueda, S.; Terauchi, H.; Yano, A.; Ido, M.; Matsumoto, M.; Kawasaki, M. 4,5-Disubstituted-1,3-oxazolidin-2-imine derivatives: A new class of orally bioavailable nitric oxide synthase inhibitor. Bioorg. Med. Chem. Lett. 2004, 14, 313–316. [Google Scholar] [CrossRef] [PubMed]
  28. Carramiñana, V.; Ochoa de Retana, A.M.; Palacios, F.; de los Santos, J.M. Synthesis of α-aminophosphonic acid derivatives through the addition of O- and S-nucleophiles to 2H-azirines and their antiproliferative effect on A549 human lung adenocarcinoma cells. Molecules 2020, 25, 3332. [Google Scholar] [CrossRef]
  29. Palacios, F.; Ochoa de Retana, A.M.; Alonso, J.M. Reaction of 2H-azirine phosphine oxide and -phosphonates with nucleophiles. Stereoselective synthesis of functionalized aziridines and α- and β-aminophosphorus derivatives. J. Org. Chem. 2005, 70, 8895–8901. [Google Scholar] [CrossRef]
  30. Palacios, F.; Aparicio, D.; Ochoa de Retana, A.M.; de los Santos, J.M.; Gil, J.I.; López de Munain, R. Asymmetric synthesis of 2H-aziridine phosphonates, and α- or β-aminophosphonates from enantiomerically enriched 2H-azirines. Tetrahedron Asymmetry 2003, 14, 689–700. [Google Scholar] [CrossRef]
  31. Vélez del Burgo, A.; Ochoa de Retana, A.M.; de los Santos, J.M.; Palacios, F. Reaction of 2H-azirine-phosphine oxides and -phosphonates with enolates derived from β-keto esters. J. Org. Chem. 2016, 81, 100–108. [Google Scholar] [CrossRef] [PubMed]
  32. Palacios, F.; Ochoa de Retana, A.M.; Vélez del Burgo, A. Selective synthesis of substituted pyrrole-2-phosphine oxides and -phosphonates from 2H-azirines and enolates from acetyl acetates and malonates. J. Org. Chem. 2011, 76, 9472–9477. [Google Scholar] [CrossRef] [PubMed]
  33. Palacios, F.; Aparicio, D.; Ochoa de Retana, A.M.; de los Santos, J.M.; Gil, J.I.; Alonso, J.M. Asymmetric synthesis of 2H-azirines derived from phosphine oxides using solid-supported amines. Ring opening of azirines with carboxylic acids. J. Org. Chem. 2002, 21, 7283–7288. [Google Scholar] [CrossRef] [PubMed]
  34. Carramiñana, V.; Ochoa de Retana, A.M.; de los Santos, J.M.; Palacios, F. First synthesis of merged hybrids phosphorylated azirino[2,1-b]benzo[e][1,3]oxazine derivatives as anticancer agents. Eur. J. Med. Chem. 2020, 185, 111771. [Google Scholar] [CrossRef] [PubMed]
  35. Mucha, A.; Kafarski, P.; Berlicki, L. Remarkable potential of the α-aminophosphonate/phosphinate structural motif in Medicinal Chemistry. J. Med. Chem. 2011, 54, 5955–5980. [Google Scholar] [CrossRef]
  36. Foglia, T.A.; Gregory, L.M.; Maerker, G. Stereochemistry of the isomerization of N-acyl-2,3-disubstituted aziridines to Δ2-oxazolines. J. Org. Chem. 1970, 35, 3779–3785. [Google Scholar] [CrossRef]
  37. Heine, H.W.; Kaplan, M.S. Aziridines. XVI. Isomerization of some 1-aroyl-aziridines. J. Org. Chem. 1967, 32, 3069–3074. [Google Scholar] [CrossRef]
  38. Heine, H.W.; King, D.C.; Portland, L.A. Aziridines. XII. The isomerization of some cis- and trans-1-p-nitrobenzoyl-2,3-substituted aziridines. J. Org. Chem. 1966, 31, 2662–2665. [Google Scholar] [CrossRef]
  39. Heine, H.W.; Kenyon, W.G.; Johnson, E.M. The isomerization and dimerization of aziridine derivatives. IV. J. Am. Chem. Soc. 1961, 83, 2570–2574. [Google Scholar] [CrossRef]
  40. Saha, B.; Nandy, J.P.; Shukla, S.; Siddiqui, I.; Iqbal, J. Stereoselective synthesis of β-substituted phenylalanine-β-phenylisoserine-derived tripeptides using N-cinnamoyl-L-proline as template: Synthesis of structural analogues of HIV protease inhibitors. J. Org. Chem. 2002, 67, 7858–7860. [Google Scholar] [CrossRef]
  41. Cardillo, G.; Gentilucci, L.; Gianotti, M.; Tolomelli, A. Microwave-assisted ring expansion of N-acetyl 3’-unsubstituted aziridine in the presence of Lewis acids. Tetrahedron 2001, 57, 2807–2812. [Google Scholar] [CrossRef]
  42. Hwang, G.I.; Chang, J.H.; Lee, W.K. Efficient synthesis of ephedra alkaloid analogs using an enantiomerically pure N-[(R)-(+)-α-methylbenzyl]aziridine-2-carboxaldehyde. J. Org. Chem. 1996, 61, 6183–6188. [Google Scholar] [CrossRef]
  43. Craig, R.A.; O’Connor, N.R.; Goldberg, A.F.G.; Stoltz, B.M. Stereoselective Lewis acid mediated (3+2) cycloadditions of N-H- and N-sulfonylaziridines with heterocumulenes. Chem. Eur. J. 2014, 20, 4806–4813. [Google Scholar] [CrossRef] [PubMed] [Green Version]
  44. Kim, M.S.; Kim, Y.W.; Hahm, H.S.; Jang, J.W.; Lee, W.K.; Ha, H.J. Lewis acid-catalized stereospecific ring expansión of aziridine-2-carboxylates to imidazolidin-2-ones. Chem. Commun. 2005, 3062–3064. [Google Scholar] [CrossRef] [PubMed]
  45. Kuszpit, M.R.; Wulff, W.D.; Tepe, J.J. One-pot synthesis of 2-imidazolines via the ring expansion of imidoyl chlorides with aziridines. J. Org. Chem. 2011, 76, 2913–2919. [Google Scholar] [CrossRef] [Green Version]
  46. Heine, H.W.; Bender, H.S. The isomerization of some aziridine derivatives. III. A new synthesis of 2-imidazolines. J. Org. Chem. 1960, 25, 461–463. [Google Scholar] [CrossRef]
  47. Cardillo, G.; Gentilucci, L.; Tolomelli, A.; Tomasini, C. Ring expansion of N-acyl aziridine-2-imides to oxazoline-4-imides, useful precursors of pure β-hydroxy α-aminoacids. Tetrahedron Lett. 1997, 38, 6953–6956. [Google Scholar] [CrossRef]
  48. Mehedi, M.S.A.; Tepe, J.J. Diastereoselective one-pot synthesis of oxazolines using sulfur ylides and acyl imines. J. Org. Chem. 2019, 84, 7219–7226. [Google Scholar] [CrossRef]
  49. Recio, R.; Vengut-Climent, E.; Mouillac, B.; Orcel, H.; López-Lázaro, M.; Calderón-Montaño, J.M.; Álvarez, E.; Khiar, N.; Fernández, I. Design, synthesis and biological studies of a library of NK1-receptor ligands based on a 5-arylthiosubstituted 2-amino-4,6-diaryl-3-cyano-4H-pyran core: Switch from antagonist to agonist effect by chemical modification. Eur. J. Med. Chem. 2017, 138, 644–660. [Google Scholar] [CrossRef] [PubMed]
  50. Gondru, R.; Saini, R.; Vaarla, K.; Singh, S.; Sirassu, N.; Bavantula, R.; Saxena, A.K. Synthesis and characterization of chalcone-pyridinium hybrids as potential anti-cancer and anti-microbial agents. Chemistry 2018, 3, 1424–1431. [Google Scholar] [CrossRef]
  51. George, R.F. Facile synthesis of simple 2-oxindole-based compounds with promising antiproliferative activity. Future Med. Chem. 2018, 10, 269–282. [Google Scholar] [CrossRef]
Figure 1. Representative examples of 2-cyanoaziridines as antitumor drugs.
Figure 1. Representative examples of 2-cyanoaziridines as antitumor drugs.
Molecules 26 04265 g001
Scheme 1. Synthesis of N-acylated cyanoaziridines phosphine oxides and phosphonates 2.
Scheme 1. Synthesis of N-acylated cyanoaziridines phosphine oxides and phosphonates 2.
Molecules 26 04265 sch001
Scheme 2. Ring expansion of cyanoaziridine 2a to oxazoline 3a.
Scheme 2. Ring expansion of cyanoaziridine 2a to oxazoline 3a.
Molecules 26 04265 sch002
Scheme 3. Stereospecific ring expansion of N-thiocarbamoyl cyanoaziridine 6a to 2-aminothiazoline 8a.
Scheme 3. Stereospecific ring expansion of N-thiocarbamoyl cyanoaziridine 6a to 2-aminothiazoline 8a.
Molecules 26 04265 sch003
Figure 2. ORTEP diagram of compound 8a.
Figure 2. ORTEP diagram of compound 8a.
Molecules 26 04265 g002
Scheme 4. Synthesis of iminooxazolidines 9 through one pot reaction from cyanoaziridines 1.
Scheme 4. Synthesis of iminooxazolidines 9 through one pot reaction from cyanoaziridines 1.
Molecules 26 04265 sch004
Table 1. Phosphorus substituted N-aryl or N-alkylcarbamoyl cyanoaziridines 5 obtained.
Table 1. Phosphorus substituted N-aryl or N-alkylcarbamoyl cyanoaziridines 5 obtained.
Molecules 26 04265 i001
EntryCompoundRR1R2Yield (%) a
15aPhMePh63
25aPhMePh71 b
35bOEtMePh98
45cPhMep-MeC6H482
55dOEtMep-MeC6H480
65ePhEtp-MeC6H4SO286
75fOEtMep-MeC6H4SO279
85gPhMeEt86 c
95hOEtMeEt59 c
105iPhMetBu73 c
115jOEtMetBu75 c
115kPhEttBu64 c
a Isolated yield of purified compounds 5. b Reaction conditions: isocyanate (3 eq) and Sc (OTf)3 (20% mol) in CH2Cl2 at 0 °C. c Reaction conditions: isocyanate (2 eq) and ZnCl2 (1.25 eq) in CH2Cl2 at 25 °C.
Table 2. Phosphorus substituted N-ethoxycarbonylthiocarbamoyl cyanoaziridines 6 obtained.
Table 2. Phosphorus substituted N-ethoxycarbonylthiocarbamoyl cyanoaziridines 6 obtained.
Molecules 26 04265 i002
EntryCompoundRR1Method aYield (%) b
16aPhMeA71
26aPhMeB80
36bPhEtA85
46cOEtMeB86
a Reaction conditions. Method A: isothiocyanate (1.2 eq) in CH2Cl2 at −30 °C. Method B: isothiocyanate (1.2 eq) in CH2Cl2 at 25 °C. b Isolated yield of purified compounds 6.
Table 3. Regioisomeric phosphorus substituted oxazolines derivatives 7 obtained.
Table 3. Regioisomeric phosphorus substituted oxazolines derivatives 7 obtained.
Molecules 26 04265 i003
EntryCompoundRR2Yield (%) aRatio b
17a + 7′aPhPh4566:34
27b + 7′bOEtPh6964:36
37c + 7′cPhp-MeC6H47565:35
47d + 7′dOEtp-MeC6H45466:34
a Isolated yield of purified oxazolines 7. b Regioisomeric ratio was determined by crude 31P NMR spectra.
Table 4. Preparation of iminoxazolidines 9.
Table 4. Preparation of iminoxazolidines 9.
EntryCompoundRR1R2Yield (%) a
19aPhEtPh62
29bPhMep-MeC6H455
39dOEtMePh79
a Isolated yield of purified compounds 9.
Table 5. Antiproliferative activity of synthesized N-functionalized cyanoaziridines 2, 5, and 6 and 5-membered nitrogen-containing heterocycles 3a, 7, 8a and 9.
Table 5. Antiproliferative activity of synthesized N-functionalized cyanoaziridines 2, 5, and 6 and 5-membered nitrogen-containing heterocycles 3a, 7, 8a and 9.
EntryComp.RR1R2Cytotoxicity IC50 (μM) a
Lung A549MRC-5
1 Molecules 26 04265 i004 0.48 ± 0.017 [50]>50 [51]
Molecules 26 04265 i005
22aPhMe22.9 ± 1.9>50
32bPhEt>50>50
42cOEtMe>50>50
Molecules 26 04265 i006
53aPhMe19.7± 2.8>50
Molecules 26 04265 i007
65aPhMePh>50>50
75bOEtMePh>50>50
85cPhMep-MeC6H4>50>50
95dOEtMep-MeC6H4>50>50
105ePhEtp-MeC6H4SO2>50>50
115fOEtMep-MeC6H4SO2>50>50
125gPhMeEt>50>50
135hOEtMeEt>50>50
145iPhMetBu>50>50
155jOEtMetBu>50>50
165kPhEttBu>50>50
Molecules 26 04265 i008
176aPhMe>50>50
186bPhEt>50>50
196cOEtMe>50>50
Molecules 26 04265 i009
207a + 7′aPhMePh>50>50
217b + 7′bOEtMePh>50>50
227c + 7′cPhMep-MeC6H4>50>50
237d + 7′dOEtMep-MeC6H4>50>50
Molecules 26 04265 i010
248aPhMe>50>50
Molecules 26 04265 i011
259aPhEtPh16.4 ± 1.5>50
269bPhMep-MeC6H414.8 ± 1.2>50
279cOEtMePh6.2 ± 0.7>50
a The cytotoxicity IC50 values listed are the concentrations corresponding to 50% growth inhibition.
Publisher’s Note: MDPI stays neutral with regard to jurisdictional claims in published maps and institutional affiliations.

Share and Cite

MDPI and ACS Style

Carramiñana, V.; Ochoa de Retana, A.M.; Palacios, F.; de los Santos, J.M. Synthesis and Antiproliferative Activity of Phosphorus Substituted 4-Cyanooxazolines, 2-Aminocyanooxazolines, 2-Iminocyanooxazolidines and 2-Aminocyanothiazolines by Rearrangement of Cyanoaziridines. Molecules 2021, 26, 4265. https://doi.org/10.3390/molecules26144265

AMA Style

Carramiñana V, Ochoa de Retana AM, Palacios F, de los Santos JM. Synthesis and Antiproliferative Activity of Phosphorus Substituted 4-Cyanooxazolines, 2-Aminocyanooxazolines, 2-Iminocyanooxazolidines and 2-Aminocyanothiazolines by Rearrangement of Cyanoaziridines. Molecules. 2021; 26(14):4265. https://doi.org/10.3390/molecules26144265

Chicago/Turabian Style

Carramiñana, Victor, Ana M. Ochoa de Retana, Francisco Palacios, and Jesús M. de los Santos. 2021. "Synthesis and Antiproliferative Activity of Phosphorus Substituted 4-Cyanooxazolines, 2-Aminocyanooxazolines, 2-Iminocyanooxazolidines and 2-Aminocyanothiazolines by Rearrangement of Cyanoaziridines" Molecules 26, no. 14: 4265. https://doi.org/10.3390/molecules26144265

APA Style

Carramiñana, V., Ochoa de Retana, A. M., Palacios, F., & de los Santos, J. M. (2021). Synthesis and Antiproliferative Activity of Phosphorus Substituted 4-Cyanooxazolines, 2-Aminocyanooxazolines, 2-Iminocyanooxazolidines and 2-Aminocyanothiazolines by Rearrangement of Cyanoaziridines. Molecules, 26(14), 4265. https://doi.org/10.3390/molecules26144265

Article Metrics

Back to TopTop