Chiral Polythiophenes: Part I: Syntheses of Monomeric Precursors
Abstract
1. Introduction
- (a)
- monothiophenes substituted at the three-position of the ring with a group containing a stereogenic center or stereogenic axis;
- (b)
- monothiophenes substituted at the three-position of the ring with a group containing a stereogenic center and at once functionalized at the two and/or five positions;
- (c)
- monothiophenes substituted at the three and four positions with a group(s) containing a stereogenic center and nonfunctionalized or functionalized at the two and/or five positions;
- (d)
- β-(mono or di) substituted bithiophenes functionalized with a substituent containing a stereogenic carbon atom or a stereogenic heteroatom;
- (e)
- other (oligo)thiophenes functionalized with a substituent containing a stereogenic carbon atom or a stereogenic heteroatom.
2. Syntheses of 3-Substituted Monothiophenes Functionalized with a Substituent Containing a Stereogenic Center or a Stereogenic Axis
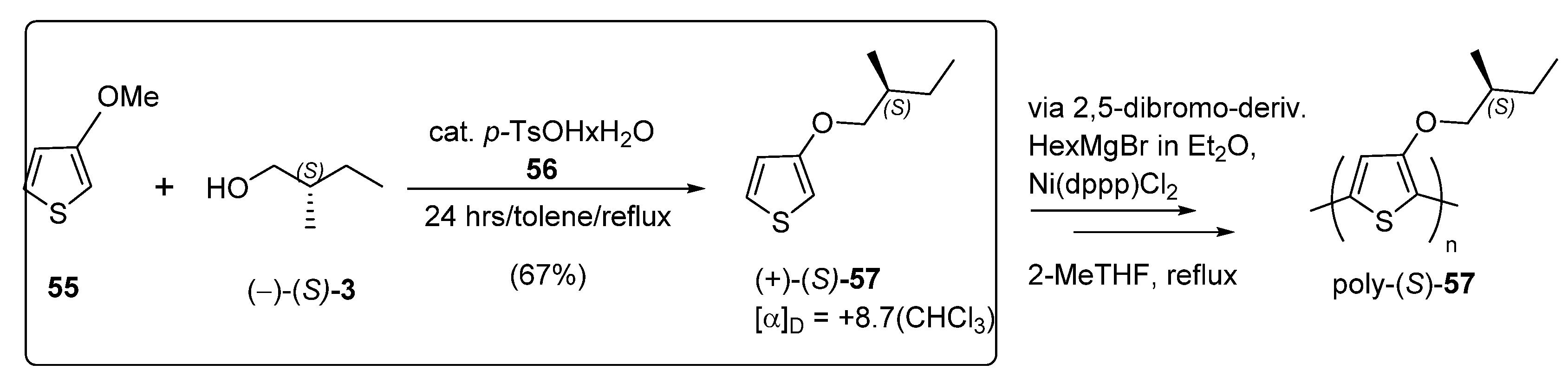
2.1. Syntheses of 3-Substituted Monothiophenes Nonfunctionalized in the Two and Five Positions
2.2. Syntheses of 3-Substituted Monothiophenes Functionalized in the Two Position
2.3. Syntheses of 3-Substituted Monothiophenes Functionalized in the Two and Five Positions
3. Syntheses of 3,4-Disubstituted Monothiophenes
4. Syntheses of β-Substituted Bithiophenes Functionalized with a Substituent Containing a Stereogenic Carbon Atom or a Stereogenic Heteroatom
5. Syntheses of Other Thiophenes Functionalized with a Substituent Containing a Stereogenic Carbon Atom or a Stereogenic Heteroatom
6. Conclusions
Author Contributions
Funding
Conflicts of Interest
References
- Eliel, E.L.; Wilen, S.H. Stereochemistry of Organic Compounds; John Wiley & Sons: New York, NY, USA, 1994. [Google Scholar]
- Wolf, C. Dynamic Stereochemistry of Chiral Compounds; Royal Society of Chemistry: Cambridge, UK, 2007. [Google Scholar]
- Singh, J.; Hagen, T.J. Chirality and Biological Activity. In Burger’s Medicinal Chemistry overy; Wiley: Hoboken, NJ, USA, 2010; pp. 127–166. [Google Scholar]
- Reddy, I.K.; Mehvar, R. Chirality in Drug Design and Development, 1st ed.; Reddy, I.K., Mehvar, R., Eds.; CRC Press: New York, NY, USA; Basel, Switzerland, 2004. [Google Scholar]
- Mori, K. Bioactive natural products and chirality. Chirality 2011, 23, 449–462. [Google Scholar] [CrossRef]
- Bruckner, R.; Harmata, M.; Wender, P.A. Organic mechanisms: Reactions, Stereochemistry and Synthesis; Springer-Verlag: Berlin/Heidelberg, Germany, 2010; ISBN 9783642036507. [Google Scholar]
- Catalytic Asymmetric Synthesis, 3rd ed.; Ojima, I., Ed.; Wiley-VCH: New York, NY, USA, 2010. [Google Scholar]
- Asymmetric Synthesis II: More Methods and Applications; Christmann, M., Ed.; Wiley-VCH: New York, NY, USA, 2012. [Google Scholar]
- Calcaterra, A.; D’Acquarica, I. The market of chiral drugs: Chiral switches versus de novo enantiomerically pure compounds. J. Pharm. Biomed. Anal. 2018, 147, 323–340. [Google Scholar] [CrossRef]
- Nguyen, L.A.; He, H.; Pham-Huy, C. Chiral drugs: An overview. Int. J. Biomed. Sci. 2006, 2, 85–100. [Google Scholar]
- Carceller-Ferrer, L.; Blay, G.; Pedro, J.R.; Vila, C. Recent Advances in Catalytic Enantioselective Synthesis of Pyrazolones with a Tetrasubstituted Stereogenic Center at the 4-Position. Synthesis 2021, 53, 215–237. [Google Scholar]
- Kasprzyk-Hordern, B. Pharmacologically active compounds in the environment and their chirality. Chem. Soc. Rev. 2010, 39, 4466–4503. [Google Scholar] [CrossRef] [PubMed]
- Sugimoto, R.; Takeda, S.; Gu, H.B.; Yoshino, K. Preparation of soluble polythiophene derivatives utilizing transition metal halides as catalysts and their property. Chem. Express 1986, 1, 635–638. [Google Scholar]
- Yamamoto, T.; Morita, A.; Miyazaki, Y.; Maruyama, T.; Wakayama, H.; Zhou, Z.H.; Nakamura, Y.; Kanbara, T.; Sasaki, S.; Kubota, K. Preparation of π-Conjugated Poly(thiophene-2,5-diyl), Poly(p-phenylene), and Related Polymers Using Zerovalent Nickel Complexes. Linear Structure and Properties of the π-Conjugated Polymers. Macromolecules 1992, 25, 1214–1223. [Google Scholar] [CrossRef]
- Osaka, I.; Mccullough, R.D. Advances in molecular design and synthesis of regioregular polythiophenes. Acc. Chem. Res. 2008, 41, 1202–1214. [Google Scholar] [CrossRef] [PubMed]
- McCullough, R.D. The Chemistry of Conducting Polythiophenes**. Adv. Mater. 1998, 10, 93–116. [Google Scholar] [CrossRef]
- Amna, B.; Siddiqi, H.M.; Hassan, A.; Ozturk, T. Recent developments in the synthesis of regioregular thiophene-based conjugated polymers for electronic and optoelectronic applications using nickel and palladium-based catalytic systems. RSC Adv. 2020, 10, 4322–4396. [Google Scholar] [CrossRef]
- McCullough, R.D.; Lowe, R.D. Enhanced electrical conductivity in regioselectively synthesized poly(3-alkylthiophenes). J. Chem. Soc. Chem. Commun. 1992, 70–72. [Google Scholar] [CrossRef]
- Yokoyama, A.; Miyakoshi, R.; Yokozawa, T. Chain-Growth Polymerization for Poly(3-hexylthiophene) with a Defined Molecular Weight and a Low Polydispersity. Macromolecules 2004, 37, 1169–1171. [Google Scholar] [CrossRef]
- Sheina, E.E.; Liu, J.; Iovu, M.C.; Laird, D.W.; Mccullough, R.D. Chain Growth Mechanism for Regioregular Nickel-Initiated Cross-Coupling Polymerizations. Macromolecules 2004, 37, 3526–3528. [Google Scholar] [CrossRef]
- Chen, T.A.; Rieke, R.D. Polyalkylthiophenes with the smallest bandgap and the highest intrinsic conductivity. Synth. Met. 1993, 60, 175–177. [Google Scholar] [CrossRef]
- Willot, P.; Steverlynck, J.; Moerman, D.; Leclère, P.; Lazzaroni, R.; Koeckelberghs, G. Poly(3-alkylthiophene) with tuneable regioregularity: Synthesis and self-assembling properties. Polym. Chem. 2013, 4, 2662–2671. [Google Scholar] [CrossRef]
- Beryozkina, T.; Senkovskyy, V.; Kaul, E.; Kiriy, A. Kumada Catalyst-Transfer Polycondensation of Thiophene-Based Oligomers: Robustness of a Chain-Growth Mechanism. Macromolecules 2008, 41, 7817–7823. [Google Scholar] [CrossRef]
- Doubina, N.; Ho, A.; Jen, A.K.Y.; Luscombe, C.K. Effect of initiators on the Kumada catalysttransfer polycondensation reaction. Macromolecules 2009, 42, 7670–7677. [Google Scholar] [CrossRef]
- Verswyvel, M.; Verstappen, P.; De Cremer, L.; Verbiest, T.; Koeckelberghs, G. Development of a universal chain-growth polymerization protocol of conjugated polymers: Toward a variety of all-conjugated block-copolymers. J. Polym. Sci. Part A Polym. Chem. 2011, 49, 5339–5349. [Google Scholar] [CrossRef]
- Krasovskiy, A.; Krasovskaya, V.; Knochel, P. Mixed Mg/Li amides of the type R2NMgCl·LiCl as highly efficient bases for the regioselective generation of functionalized aryl and heteroaryl magnesium compounds. Angew. Chemie - Int. Ed. 2006, 45, 2958–2961. [Google Scholar] [CrossRef]
- Clososki, G.C.; Rohbogner, C.J.; Knochel, P. Direct magnesiation of polyfunctionalized arenes and heteroarenes using (tmp)2Mg·2 LiCl. Angew. Chemie - Int. Ed. 2007, 46, 7681–7684. [Google Scholar] [CrossRef]
- Tamba, S.; Shono, K.; Sugie, A.; Mori, A. CÀH Functionalization Polycondensation of Chlorothiophenes in the Presence of Nickel Catalyst with Stoichiometric or Catalytically Generated Magnesium Amide. J. Am. Chem. Soc 2011, 133, 9700–9703. [Google Scholar] [CrossRef]
- Nakano, T.; Okamoto, Y. Synthetic helical polymers: Conformation and function. Chem. Rev. 2001, 101, 4013–4038. [Google Scholar] [CrossRef]
- Parenti, F.; Schenetti, L.; Tassinari, F. Chiral Polythiophenes. In Advances in Asymmetric Autocatalysis and Related Topics; Elsevier: Amsterdam, The Netherlands, 2017; pp. 277–297. ISBN 9780128128251. [Google Scholar]
- Kane-Maguire, L.A.P.; Wallace, G.G. Chiral conducting polymers. Chem. Soc. Rev. 2010, 39, 2545–2576. [Google Scholar] [CrossRef]
- Watanabe, K.; Suda, K.; Akagi, K. Hierarchically self-assembled helical aromatic conjugated polymers. J. Mater. Chem. C 2013, 1, 2797–2805. [Google Scholar] [CrossRef]
- Matsushita, S.; Akagi, K. Synthesis of Conjugated Polymers in Chiral Nematic Liquid Crystal Fields. Isr. J. Chem. 2011, 51, 1075–1095. [Google Scholar] [CrossRef]
- Lemaire, M.; Delabouglise, D.; Garreau, R.; Guy, A.; Roncali, J. Enantioselective chiral poly(thiophenes). J. Chem. Soc. Chem. Commun. 1988, 658–661. [Google Scholar] [CrossRef]
- Kotkar, D.; Joshi, V.; Ghosh, P.K. Towards chiral metals. Synthesis of chiral conducting polymers from optically active thiophene and pyrrole derivatives. J. Chem. Soc. Chem. Commun. 1988, 917–918. [Google Scholar] [CrossRef]
- Tamao, K.; Kodama, S.; Nakajima, I.; Kumada, M.; Minato, A.; Suzuki, K. Nickel-phosphine complex-catalyzed Grignard coupling-II. Grignard coupling of heterocyclic compounds. Tetrahedron 1982, 38, 3347–3354. [Google Scholar] [CrossRef]
- Zhang, Z.B.; Fujiki, M.; Motonaga, M.; McKenna, C.E. Control of chiral ordering in aggregated poly{3-(S)-[2-methylbutyl]thiophene} by a doping-dedoping process. J. Am. Chem. Soc. 2003, 125, 7878–7881. [Google Scholar] [CrossRef] [PubMed]
- Catellani, M.; Luzzati, S.; Bertini, F.; Bolognesi, A.; Lebon, F.; Longhi, G.; Abbate, S.; Famulari, A.; Meille, S.V. Solid-state optical and structural modifications induced by temperature in a chiral poly-3-alkylthiophene. Chem. Mater. 2002, 14, 4819–4826. [Google Scholar] [CrossRef]
- Andreani, F.; Angiolini, L.; Caretta, D.; Salatelli, E. Synthesis and polymerization of 3,3″-di[(S)-(+)-2-methylbutyl]-2,2′:5′,2″-terthiophene: A new monomer precursor to chiral regioregular poly(thiophene). J. Mater. Chem. 1998, 8, 1109–1111. [Google Scholar] [CrossRef]
- Langeveld-Voss, B.M.W.; Christiaans, M.P.T.; Janssen, R.A.J.; Meijer, E.W. Inversion of optical activity of chiral polythiophene aggregates by a change of solvent. Macromolecules 1998, 31, 6702–6704. [Google Scholar] [CrossRef]
- Loewe, R.S.; Khersonsky, S.M.; McCullough, R.D. A Simple Method to Prepare Head-to-Tail Coupled, Regioregular Poly(3-alkylthiophenes) Using Grignard Metathesis. Available online: https://onlinelibrary.wiley.com/doi/10.1002/(SICI)1521-4095(199903)11:3%3C250::AID-ADMA250%3E3.0.CO;2-J (accessed on 15 January 2021).
- Yan, H.; Zhao, J. C(sp3)-c(sp2) Cross-Coupling Reaction of Organozinc Reagents and Heterocyclic (Pseudo)Halides. WO Patent WO2018019291A1, 1 February 2018. [Google Scholar]
- Fujiki, M.; Koe, J.R.; Morita, M.; Nakashima, H.; Tamoto, H. Optically Active Polythiophene. EP Patent EP1088842A1, 4 April 2001. [Google Scholar]
- Hayashi, H.; Iseki, T.; Nimori, S.; Goto, H. Vapour-Induced Liquid Crystallinity and Self-Recovery Mechanochromism of Helical Block Copolymer. Sci. Rep. 2017, 7, 1–8. [Google Scholar] [CrossRef] [PubMed]
- Miyaura, N.; Suzuki, A. Palladium-Catalyzed Cross-Coupling Reactions of Organoboron Compounds. Chem. Rev. 1995, 95, 2457–2483. [Google Scholar] [CrossRef]
- Ahn, K.H.; Cho, C.W.; Baek, H.H.; Park, J.; Lee, S. An efficient diastereoselective synthesis of chiral oxazolinylferrocene compounds. J. Org. Chem. 1996, 61, 4937–4943. [Google Scholar] [CrossRef]
- Goto, H.; Okamoto, Y.; Yashima, E. Solvent-induced chiroptical changes in supramolecular assemblies of an optically active, regioregular polythiophene. Macromolecules 2002, 35, 4590–4601. [Google Scholar] [CrossRef]
- Lemaire, M.; Delabouglise, D.; Garreau, R.; Roncali, J. Synthèse et propriétés des deux formes énantiomères de poly(thiophènes) chiraux. J. Chim. Phys. 1989, 86, 193–198. [Google Scholar] [CrossRef]
- Bouman, M.M.; Havinga, E.E.; Janssen, R.A.J.; Meijer, E.W. Chiroptical properties of regioregular chiral polythiophenes. Mol. Cryst. Liq. Cryst. Sci. Technol. Sect. A. Mol. Cryst. Liq. Cryst. 1994, 256, 439–448. [Google Scholar] [CrossRef]
- Bouman, M.M.; Meijer, E.W. Stereomutation in optically active regioregular polythiophenes. Adv. Mater. 1995, 7, 385–387. [Google Scholar] [CrossRef]
- Langeveld-Voss, B.M.W.; Waterval, R.J.M.; Janssen, R.A.J.; Meijer, E.W. Principles of ‘majority rules’ and ‘sergeants and soldiers’ applied to the aggregation of optically active polythiophenes: Evidence for a multichain phenomenon. Macromolecules 1999, 32, 227–230. [Google Scholar] [CrossRef]
- Ochiai, K.; Tabuchi, Y.; Rikukawa, M.; Sanui, K.; Ogata, N. Fabrication of chiral poly(thiophene) Langmuir-Blodgett films. Thin Solid Films 1998, 327–329, 454–457. [Google Scholar] [CrossRef]
- Nilsson, K.P.R.; Olsson, J.D.M.; Konradsson, P.; Inganäs, O. Enantiomeric substituents determine the chirality of luminescent conjugated polythiophenes. Macromolecules 2004, 37, 6316–6321. [Google Scholar] [CrossRef]
- Nilsson, K.P.R.; Olsson, J.D.M.; Stabo-Eeg, F.; Lindgren, M.; Konradsson, P.; Inganäs, O. Chiral recognition of a synthetic peptide using enantiomeric conjugated polyelectrolytes and optical spectroscopy. Macromolecules 2005, 38, 6813–6821. [Google Scholar]
- Ramos, J.C.; Souto-Maior, R.M.; Navarro, M. Synthesis and characterization of chiral polythiophenes: Poly [(R)-(-) and (S)-(+)-2-(3′-thienyl)ethyl N-(3″,5″-dinitrobenzoyl)-α-phenylglycinate]. Polymer (Guildf). 2006, 47, 8095–8100. [Google Scholar] [CrossRef]
- Welch, C.J. Evolution of chiral stationary phase design in the Pirkle laboratories. J. Chromatogr. A 1994, 666, 3–26. [Google Scholar] [CrossRef]
- Thormann, W.; Prost, F.; Procházková, A. Capillary electrophoresis with (R)-(-)-N-(3,5-dinitrobenzoyl)-α-phenylglycine as chiral selector for separation of albendazole sulfoxide enantiomers and their analysis in human plasma. J. Pharm. Biomed. Anal. 2002, 27, 555–567. [Google Scholar] [CrossRef]
- Cavazzini, A.; Marchetti, N.; Guzzinati, R.; Pierini, M.; Ciogli, A.; Kotoni, D.; D’Acquarica, I.; Villani, C.; Gasparrini, F. Enantioseparation by ultra-high-performance liquid chromatography. TrAC Trends Anal. Chem. 2014, 63, 95–103. [Google Scholar] [CrossRef]
- Pellon, P.; Deltel, E.; Pilard, J.F. Chiral auxiliaries onto conducting polymers. Tetrahedron Lett. 2001, 42, 867–869. [Google Scholar] [CrossRef]
- Krasowska, D.; Wysocki, S.; Janicka, M.; Girek, T.; Mielniczak, A.; Drabowicz, J. Chiral polymers based on thiophenes functionalized at the 3-position with a pendant containing a stereogenic sulfur atom. Synthetic and structural aspects. Polym. Chem. 2021, 12, 1707–1719. [Google Scholar] [CrossRef]
- Tamura, Y.; Sumoto, K.; Minamikawa, J.; Ikeda, M. A novel method for sulfilimines and sulfoximines. Tetrahedron Lett. 1972, 13, 4137–4140. [Google Scholar] [CrossRef]
- Johnson, C.R.; Kirchhoff, R.A.; Gorkins, H.G. Synthesis of Optically Active Sulfoximines from Optically Active Sulfoxides. J. Org. Chem. 1974, 39, 2458–2459. [Google Scholar] [CrossRef]
- Sedelmeier, J.; Bolm, C. Efficient copper-catalyzed N-arylation of sulfoximines with aryl iodides and aryl bromides. J. Org. Chem. 2005, 70, 6904–6906. [Google Scholar] [CrossRef]
- Fenyk, A.; Krasowska, D.; Urbaniak, P.; Drabowicz, J. The chemo-and electropolymerization of thiophene derivatives containing at the third position of a substituent with a stereogenic phosphorus atom. Phosphorus Sulfur Silicon Related Elem. 2013, 188, 473–482. [Google Scholar]
- Drabowicz, J.; Krasowska, D. Fosfinotlenek, sposób jego wytwarzania oraz jego zastosowanie. In EP Patent; PL217979, 27 January 2015. [Google Scholar]
- Drabowicz, J.; Krasowska, D. Phosphine Oxide, a Process for the Manufacture Thereof and Application Thereof. EP Patent EP2639233A1, 18 September 2013. [Google Scholar]
- Marinelli, M.; Angiolini, L.; Lanzi, M.; Di Maria, F.; Salatelli, E. Effect of regioregularity and role of heteroatom on the chiral behavior of oligo(heteroalkyl thiophene)s. Chirality 2020, 32, 1361–1376. [Google Scholar] [CrossRef]
- Mucci, A.; Parenti, F.; Cagnoli, R.; Benassi, R.; Passalacqua, A.; Preti, L.; Schenetti, L. One-pot synthesis of symmetric octithiophenes from asymmetric β-alkylsulfanyl bithiophenes. Macromolecules 2006, 39, 8293–8302. [Google Scholar] [CrossRef]
- Di Maria, F.; Olivelli, P.; Gazzano, M.; Zanelli, A.; Biasiucci, M.; Gigli, G.; Gentili, D.; D’Angelo, P.; Cavallini, M.; Barbarella, G. A successful chemical strategy to induce oligothiophene self-assembly into fibers with tunable shape and function. J. Am. Chem. Soc. 2011, 133, 8654–8661. [Google Scholar] [CrossRef] [PubMed]
- Wang, P.; Jeon, I.; Lin, Z.; Peeks, M.D.; Savagatrup, S.; Kooi, S.E.; Van Voorhis, T.; Swager, T.M. Insights into Magneto-Optics of Helical Conjugated Polymers. J. Am. Chem. Soc. 2018, 140, 6501–6508. [Google Scholar] [CrossRef] [PubMed]
- Tamba, S.; Tanaka, S.; Okubo, Y.; Meguro, H.; Okamoto, S.; Mori, A. Nickel-catalyzed dehydrobrominative polycondensation for the practical preparation of regioregular poly(3-substituted thiophene)s. Chem. Lett. 2011, 40, 398–399. [Google Scholar] [CrossRef]
- Bidan, G.; Guillerez, S.; Sorokin, V. Chirality in regioregular and soluble polythiophene: An internal probe of conformational changes induced by minute. Adv. Mater. 1996, 8, 157–160. [Google Scholar] [CrossRef]
- Van Den Bergh, K.; Cosemans, I.; Verbiest, T.; Koeckelberghs, G. Expression of supramolecular chirality in block copoly(thiophene)s. Macromolecules 2010, 43, 3794–3800. [Google Scholar] [CrossRef]
- Lee, W.-H.; Kyoung Son, S.; Kim, K.; Kyu Lee, S.; Suk Shin, W.; Moon, S.-J.; Kang, I.-N. Synthesis and Characterization of New Selenophene-Based Donor− Acceptor Low-Bandgap Polymers for Organic Photovoltaic Cells. Macromolecules 2012, 45, 1303–1312. [Google Scholar] [CrossRef]
- Salatelli, E.; Angiolini, L.; Brazzi, A. Chirality induced by microaggregation of regioregular polythiophenes with side-chain optically active substituent. Chirality 2010, 22, E74–E80. [Google Scholar]
- Peeters, H.; Verbiest, T.; Koeckelberchs, G. Incorporation of a conjugated side-chain in regioregular poiythiophenes: Chiroptical properties and selective oxidation. J. Polym. Sci. Part A Polym. Chem. 2009, 47, 1891–1900. [Google Scholar] [CrossRef]
- Suzuki, H.; Nakamura, K.; Goto, R. The Direct Iodination of Polyalkylbenzenes Bearing Bulky Groups. Bull. Chem. Soc. Jpn. 1966, 39, 128–131. [Google Scholar] [CrossRef]
- Hirahara, T.; Yoshizawa-Fujita, M.; Takeoka, Y.; Rikukawa, M. Optical properties of polyfluorene-thiophene copolymers having chiral side chains. Synth. Met. 2009, 159, 2180–2183. [Google Scholar] [CrossRef]
- Tassinari, F.; Libertini, E.; Parenti, F.; Ballarin, B.; Di Nicola, F.P.; Lanzi, M.; Mucci, A. Polymers with Alkylsulfanyl Side Chains for Bulk Heterojunction Solar Cells: Toward a Greener Strategy. Macromol. Chem. Phys. 2017, 218, 1700111. [Google Scholar] [CrossRef]
- Vandeleene, S.; Van Den Bergh, K.; Verbiest, T.; Koeckelberghs, G. Influence of the Polymerization Methodology on the Regioregularity and Chiroptical Properties of Poly(alkylthiothiophene)s. Macromolecules 2008, 41, 5123–5131. [Google Scholar] [CrossRef]
- Yashima, E.; Goto, H.; Okamoto, Y. Metal-Induced Chirality Induction and Chiral Recognition of Optically Active, Regioregular Polythiophenes. Macromolecules 1999, 32, 7942–7945. [Google Scholar] [CrossRef]
- Verheyen, L.; De Winter, J.; Gerbaux, P.; Koeckelberghs, G. Effect of the Nature and the Position of Defects on the Chiral Expression in Poly(3-alkylthiophene)s. Macromolecules 2019, 52, 8587–8595. [Google Scholar] [CrossRef]
- Van Den Eede, M.-P.; De Winter, J.; Gerbaux, P.; Teyssandier, J.; De Feyter, S.; Van Goethem, D.; J Vankelecom, I.F.; Koeckelberghs, G. Controlled Synthesis and Supramolecular Organization of Conjugated Star-Shaped Polymers. Macromolecules 2018, 51, 8689–8697. [Google Scholar] [CrossRef]
- Timmermans, B.; Koeckelberghs, G. Chiral expression of co-crystallizing poly(thiophene)-: Block -poly(selenophene) copolymers. Polym. Chem. 2020, 11, 2715–2723. [Google Scholar] [CrossRef]
- Goto, H.; Dai, X.; Narihiro, H.; Akagi, K. Synthesis of Polythiophene Derivatives Bearing Ferroelectric Liquid Crystalline Substituents. Macromolecules 2004, 37, 2353–2362. [Google Scholar] [CrossRef]
- Wang, A.; Kawabata, K.; Goto, H. Thiophene-based chiral small bandgap π-conjugated polymers: Synthesis and optical properties. Des. Monomers Polym. 2015, 18, 360–366. [Google Scholar] [CrossRef][Green Version]
- Ohkawa, S.; Yang, F.; Kawabata, K.; Goto, H. Synthesis of polymers from chiral monomers in chiral liquid crystals. J. Appl. Polym. Sci. 2013, 128, 3586–3591. [Google Scholar] [CrossRef]
- Fukuhara, G.; Inoue, Y. Peptide chirality sensing by a cyclodextrin-polythiophene conjugate. Chem. A Eur. J. 2012, 18, 11459–11464. [Google Scholar] [CrossRef] [PubMed]
- Zhang, Z.B.; Fujiki, M.; Motonaga, M.; Nakashima, H.; Torimitsu, K.; Tang, H.Z. Chiroptical properties of poly{3,4-bis[(S)-2-methyloctyl]thiophene}. Macromolecules 2002, 35, 941–944. [Google Scholar] [CrossRef]
- Zong, K.; Madrigal, L.; Groenendaal, L.; Reynolds, J.R. 3,4-Alkylenedioxy ring formation via double Mitsunobu reactions: An efficientroute for the synthesis of 3,4-ethylenedioxythiophene (EDOT) and 3,4-propylenedioxythiophene (ProDOT) derivatives as monomers for electron-rich conducting polymers. Chem. Commun. 2002, 2498–2499. [Google Scholar] [CrossRef]
- Caras-Quintero, D.; Bäuerle, P. Efficient synthesis of 3,4-ethylenedioxythiophenes (EDOT) by Mitsunobu reaction. Chem. Commun. 2002, 2, 2690–2691. [Google Scholar] [CrossRef]
- Caras-Quintero, D.; Bäuerle, P. Synthesis of the first enantiomerically pure and chiral, disubstituted 3,4-ethylenedioxythiophenes (EDOTs) and corresponding stereo- and regioregular PEDOTs. Chem. Commun. 2004, 4, 926–927. [Google Scholar] [CrossRef]
- Grenier, C.R.G.; George, S.J.; Joncheray, T.J.; Meijer, E.W.; Reynolds, J.R. Chiral ethylhexyl substituents for optically active aggregates of π-conjugated polymers. J. Am. Chem. Soc. 2007, 129, 10694–10699. [Google Scholar] [CrossRef] [PubMed]
- Reeves, B.D.; Grenier, C.R.G.; Argun, A.A.; Cirpan, A.; Mccarley, T.D.; Reynolds, J.R. Spray Coatable Electrochromic Dioxythiophene Polymers with High Coloration Efficiencies. Macromolecules 2004, 37, 7559–7569. [Google Scholar] [CrossRef]
- Matthews, J.R.; Goldoni, F.; Kooijman, H.; Spek, A.L.; Schenning, A.P.H.J.; Meijer, E.W. Metal coordination and aggregation properties of chiral polythiophenes and polythienylethynylenes. Macromol. Rapid Commun. 2007, 28, 1809–1815. [Google Scholar] [CrossRef][Green Version]
- Saito, F.; Takeoka, Y.; Rikukawa, M.; Sanui, K. Synthesis of optically active regioregular poly(thiophene). Synth. Met. 2005, 153, 125–128. [Google Scholar]
- Iarossi, D.; Mucci, A.; Parenti, F.; Schenetti, L.; Seeber, R.; Zanardi, C.; Forni, A.; Tonelli, M. Synthesis and Spectroscopic and Electrochemical Characterisation of a Conducting Polythiophene Bearing a Chiral b-Substituent: Polymerisation of (‡)-4,4′-Bis[(S)-2-methylbutylsulfanyl]-2,2′-bithiophene. Chem. A Eur. J. 2001, 7, 676–685. [Google Scholar] [CrossRef]
- Folli, U.; Goldoni, F.; Iarossi, D.; Mucci, A.; Schenetti, L. Synthesis of 3,3′- and 4,4′-Bis(alkylsulfanyl)-2,2′-bithiophenes from the Corresponding Dibromo Derivatives through Lithiation. J. Chem. Res. 1996, 69. [Google Scholar] [CrossRef]
- Hayasaka, H.; Miyashita, T.; Tamura, K.; Akagi, K. Helically π-stacked conjugated polymers bearing photoresponsive and chiral moieties in side chains: Reversible photoisomerization-enforced switching between emission and quenching of circularly polarized fluorescence. Adv. Funct. Mater. 2010, 20, 1243–1250. [Google Scholar] [CrossRef]
- Schenck, C.L.; Nadeau, J.M. Synthesis and redox properties of racemic electroactive polymers containing axially chiral adamantyl segments. Tetrahedron 2010, 66, 462–466. [Google Scholar] [CrossRef]








































| Glycol Deriv. | EDOT Deriv. | Yield [%] | |
|---|---|---|---|
| 1 | ![]() | 99a-meso | 20 |
| 2 | ![]() | 99b-trans | 79 |
| 3 | ![]() | 99b-(R,R) | 73 |
| 4 | ![]() | 99b-meso | 82 |
| 5 | ![]() | 99c-cis/trans | 63 |
| 6 | ![]() | 99c-trans | 65 |
| 7 | ![]() | 99c-(R,R) | 68 |
| 8 | ![]() | 99c-(S,S) | 66 |
| 9 | ![]() | 99c-cis | 52 |
| 10 | ![]() | 99d-trans | 47 |
Publisher’s Note: MDPI stays neutral with regard to jurisdictional claims in published maps and institutional affiliations. |
© 2021 by the authors. Licensee MDPI, Basel, Switzerland. This article is an open access article distributed under the terms and conditions of the Creative Commons Attribution (CC BY) license (https://creativecommons.org/licenses/by/4.0/).
Share and Cite
Krasowska, D.; Karpowicz, R.; Drabowicz, J. Chiral Polythiophenes: Part I: Syntheses of Monomeric Precursors. Molecules 2021, 26, 4205. https://doi.org/10.3390/molecules26144205
Krasowska D, Karpowicz R, Drabowicz J. Chiral Polythiophenes: Part I: Syntheses of Monomeric Precursors. Molecules. 2021; 26(14):4205. https://doi.org/10.3390/molecules26144205
Chicago/Turabian StyleKrasowska, Dorota, Rafał Karpowicz, and Józef Drabowicz. 2021. "Chiral Polythiophenes: Part I: Syntheses of Monomeric Precursors" Molecules 26, no. 14: 4205. https://doi.org/10.3390/molecules26144205
APA StyleKrasowska, D., Karpowicz, R., & Drabowicz, J. (2021). Chiral Polythiophenes: Part I: Syntheses of Monomeric Precursors. Molecules, 26(14), 4205. https://doi.org/10.3390/molecules26144205











