Atom–Diatom Reactive Scattering Collisions in Protonated Rare Gas Systems
Abstract
1. Introduction
2. Potential Energy Surfaces
2.1. Methods
2.2. Analytical PESs
3. Dynamical Studies
3.1. Methods
3.1.1. Time-Dependent Quantum Mechanical Method
3.1.2. Time-Independent Quantum Mechanical Method
3.1.3. Quasiclassical Trajectory Calculation
3.1.4. Statistical Quantum Mechanical Method
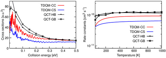
3.2. He + HeH HeH + He
3.3. He + NeH HeH + Ne
3.4. Ne + HeH NeH + He
3.5. Ne + NeH NeH + Ne
3.6. Ar + ArH ArH + Ar
4. Conclusions
Author Contributions
Funding
Acknowledgments
Conflicts of Interest
Abbreviations
| 2B | two-body |
| 3B | three-body |
| CC | Coriolis coupled |
| CS | Centrifugal sudden |
| DCS | Differential cross section |
| GB | Gaussian binning |
| HB | Histogram binning |
| ICS | Integral cross sections |
| ISM | Interstellar medium |
| PES | Potential energy surface |
| QCT | Quasi-classical trajectory |
| QM | Quantum mechanical |
| Rg | Rare gas |
| RMSE | Root mean square errors |
| SQM | Statistical quantum method |
| TD | Time dependent |
| TDWP | Time-dependent wave packet |
| TDQM | Time-dependent quantum mechanical |
| TIQM | Time-independent quantum mechanical |
| WP | Wave packet |
References
- Zygelman, B.; Stancil, P.C.; Dalgarno, A. Stimulated Radiative Association of He and H+. Astrophys. J. 1998, 508, 151–156. [Google Scholar] [CrossRef]
- Ferrière, K.M. The interstellar environment of our galaxy. Rev. Mod. Phys. 2001, 73, 1031–1066. [Google Scholar] [CrossRef]
- Lepp, S.; Stancil, P.C.; Dalgarno, A. Atomic and molecular processes in the early Universe. J. Phys. B At. Mol. Opt. Phys. 2002, 35, R57–R80. [Google Scholar] [CrossRef]
- Yao, Y.; Wang, Q.D. X-ray absorption spectroscopy of the multiphase interstellar medium: Oxygen and neon abundances. Astrophys. J. 2006, 641, 930–937. [Google Scholar] [CrossRef]
- Bochsler, P.; Petersen, L.; Möbius, E.; Schwadron, N.A.; Wurz, P.; Scheer, J.A.; Fuselier, S.A.; McComas, D.J.; Bzowski, M.; Frisch, P.C. Estimation of the Neon/Oxygen Abundance Ratio at the Heliospheric Termination Shock and in the Local Interstellar Medium from IBEX Observations. Astrophys. J. Suppl. Ser. 2012, 198, 13. [Google Scholar] [CrossRef][Green Version]
- Park, J.; Kucharek, H.; Möbius, E.; Leonard, T.; Bzowski, M.; Sokół, J.M.; Kubiak, M.A.; Fuselier, S.A.; McComas, D.J. The Ne-to-O Abundance Ratio of the Interstellar Medium from IBEX-Lo Observations. Astrophys. J. 2014, 795, 97. [Google Scholar] [CrossRef]
- Grandinetti, F. Gas-phase ion chemistry of the noble gases: Recent advances and future perspectives. Eur. J. Mass Spectrom. 2011, 17, 423–463. [Google Scholar] [CrossRef] [PubMed]
- Güsten, R.; Wiesemeyer, H.; Neufeld, D.; Menten, K.M.; Graf, U.U.; Jacobs, K.; Klein, B.; Ricken, O.; Risacher, C.; Stutzki, J. Astrophysical detection of the helium hydrude ion HeH+. Nature 2019, 568, 357–359. [Google Scholar] [CrossRef] [PubMed]
- Barlow, M.J.; Swinyard, B.M.; Owen, P.J.; Cernicharo, J.; Gomez, H.L.; Ivison, R.J.; Krause, O.; Lim, T.L.; Matsuura, M.; Miller, S.; et al. Detection of a Noble Gas Molecular Ion, 36ArH+, in the Crab Nebula. Science 2013, 342, 1343–1345. [Google Scholar] [CrossRef]
- Grandinetti, F. Cationic Noble-Gas Hydrides: From Ion Sources to Outer Space. Front. Chem. 2020, 8, 462. [Google Scholar] [CrossRef] [PubMed]
- Stephan, C.J.; Fortenberry, R.C. The interstellar formation and spectra of the noble gas, proton-bound HeHHe+, HeHNe+ and HeHAr+ complexes. Mon. Not. R. Astron. Soc. 2017, 469, 339–346. [Google Scholar] [CrossRef]
- Fortenberry, R.C. Rovibrational Characterization and Interstellar Implications of the Proton-Bound, Noble Gas Complexes: ArHAr+, NeHNe+, and ArHNe+. ACS Earth Space Chem. 2017, 1, 60–69. [Google Scholar] [CrossRef]
- Dalgarno, A. Introductory Lecture The growth of molecular complexity in the Universe. Faraday Discuss. 2006, 133, 9–25. [Google Scholar] [CrossRef]
- Palmieri, P.; Puzzarini, C.; Aquilanti, V.; Capecchi, G.; Cavalli, S.; Fazio, D.D.; Aguilar, A.; Giménez, X.; Lucas, J.M. Ab initio dynamics of the He + H2+→ HeH+ + H reaction: A new potential energy surface and quantum mechanical cross-sections. Mol. Phys. 2000, 98, 1835–1849. [Google Scholar] [CrossRef]
- Panda, A.N.; Sathyamurthy, N. Time-dependent quantum mechanical wave packet study of the He+H2+(v,j)→ HeH++H reaction. J. Chem. Phys. 2005, 122, 054304. [Google Scholar] [CrossRef]
- Tang, X.N.; Xu, H.; Zhang, T.; Hou, Y.; Chang, C.; Ng, C.Y.; Chiu, Y.; Dressler, R.A.; Levandier, D.J. A pulsed-field ionization photoelectron secondary ion coincidence study of the H2+(X,ν+=0–15,N+=1) + He proton transfer reaction. J. Chem. Phys. 2005, 122, 164301. [Google Scholar] [CrossRef] [PubMed]
- Lv, S.J.; Zhang, P.Y.; Han, K.L.; He, G.Z. Exact Quantum Scattering Study of the Ne + H2+ Reaction on a New Ab Initio Potential Energy Surface. J. Chem. Phys. 2010, 132, 014303. [Google Scholar] [CrossRef] [PubMed]
- Zhao, J.; Luo, Y. Time-Dependent Wave Packet Quantum and Quasi-Classical Trajectory Study of He + H2+, D2+→ HeH+ + H, HeD+ + D Reaction on an Accurate FCI Potential Energy Surface. J. Phys. Chem. A 2012, 116, 2388–2393. [Google Scholar] [CrossRef] [PubMed]
- De Fazio, D.; de Castro-Vitores, M.; Aguado, A.; Aquilanti, V.; Cavalli, S. The He + H2+→ HeH+ + H reaction: Ab initio studies of the potential energy surface, benchmark time-independent quantum dynamics in an extended energy range and comparison with experiments. J. Chem. Phys. 2012, 137, 244306. [Google Scholar] [CrossRef]
- Zhang, T.; Qian, X.M.; Tang, X.N.; Ng, C.Y.; Chiu, Y.; Levandier, D.J.; Miller, J.S.; Dressler, R.A. A State-Selected Study of the H2+(X, v+ = 0–17, N+ = 1) + Ne Proton Transfer Reaction Using the Pulsed-Field Ionization-Photoelectron-Secondary Ion Coincidence Scheme. J. Chem. Phys. 2003, 119, 10175–10185. [Google Scholar] [CrossRef]
- Xiao, J.; Yang, C.L.; Tong, X.F.; Wang, M.S.; Ma, X.G. Quasi-Classical Trajectory Study of the Ne + H2+→ NeH+ + H Reaction Based on Global Potential Energy Surface. J. Phys. Chem. A 2011, 115, 1486–1492. [Google Scholar] [CrossRef]
- Gamallo, P.; Defazio, P.; González, M. Time Dependent Quantum Dynamics Study of the Ne + H2+(v0 = 0–4, j0 = 1)→NeH+ + H Proton Transfer Reaction, Including the Coriolis Coupling. A System with Oscillatory Cross Sections. J. Phys. Chem. A 2011, 115, 11525–11530. [Google Scholar] [CrossRef]
- Gamallo, P.; Huarte-Larrañaga, F.; González, M. Resonances in the Ne + H2+→ NeH+ + H Proton-Transfer Reaction. J. Phys. Chem. A 2013, 117, 5393–5400. [Google Scholar] [CrossRef] [PubMed]
- Gamallo, P.; Martínez, R.; Sierra, J.D.; González, M. Understanding the effect of vibrational excitation in reaction dynamics: The Ne + H2+ (v = 0–17, j=1) → NeH+ + H, Ne + H+ + H proton transfer and dissociation cross sections. Phys. Chem. Chem. Phys. 2014, 16, 6641–6648. [Google Scholar] [CrossRef] [PubMed]
- Bartl, P.; Leidlmair, C.; Denifl, S.; Scheier, P.; Echt, O. Cationic Complexes of Hydrogen with Helium. ChemPhysChem 2013, 14, 227–232. [Google Scholar] [CrossRef] [PubMed]
- Hvistendahl, G.; Saastad, O.W.; Uggerud, E. Ion/molecule reactions in a mixture of Ar and H2: High pressure mass spectrometry and quantum chemical calculations. Int. J. Mass Spectrom. Ion Processes 1990, 98, 167–177. [Google Scholar] [CrossRef]
- Rosenkrantz, M.E. Ab Initio Study of ArH, ArH+, Ar2H, Ar2H+, and Ar4H+. Chem. Phys. Lett. 1990, 173, 378–383. [Google Scholar] [CrossRef]
- Milleur, M.B.; Matcha, R.L.; Hayes, E.F. Theoretical Studies of Hydrogen-Rare Gas Complexes: HenH and HenH+ Clusters. J. Chem. Phys. 1974, 60, 674–679. [Google Scholar] [CrossRef]
- Xu, W.; Zhang, P. Accurate Study on the Quantum Dynamics of the He + HeH+(X1Σ+) Reaction on A New ab Initio Potential Energy Surface for the Lowest 11A′ Electronic Singlet State. J. Phys. Chem. A 2013, 117, 1406–1412. [Google Scholar] [CrossRef]
- Matcha, R.L.; Milleur, M.B.; Meier, P.F. Theoretical Studies of Hydrogen Rare Gas Complexes. II. NenH and NenH+ Clusters. J. Chem. Phys. 1978, 68, 4748–4751. [Google Scholar] [CrossRef]
- Filippone, F.; Gianturco, F.A. Charged Chromophoric Units in Protonated Rare-Gas Clusters: A Dynamical Simulation. Europhys. Lett. 1998, 44, 585–591. [Google Scholar] [CrossRef]
- Gianturco, F.A.; Filippone, F. Structure and Dynamics of Small Protonated Rare-Gas Clusters Using Quantum and Classical Methods. Comp. Phys. Comm. 2002, 145, 78–96. [Google Scholar] [CrossRef]
- Adams, N.G.; Bohme, D.K.; Ferguson, E.E. Reactions of He2+, Ne2+, Ar2+, and Rare-Gas Hydride Ions with Hydrogen at 200 K. J. Chem. Phys. 1970, 52, 5101–5105. [Google Scholar] [CrossRef]
- Panda, A.N.; Sathyamurthy, N. Bound and Quasibound States of He2H+ and He2D+. J. Phys. Chem. A 2003, 107, 7125–7131. [Google Scholar] [CrossRef]
- Liang, J.J.; Yang, C.L.; Wang, L.Z.; Zhang, Q.G. A New Analytical Potential Energy Surface for the Singlet State of He2H+. J. Chem. Phys. 2012, 136, 094307. [Google Scholar] [CrossRef] [PubMed]
- Bhattacharya, S.; Panda, A.N. Time-Dependent Quantum Dynamics of the He + H+He Reaction. J. Phys. B Atom. Mol. Opt. Phys. 2009, 42, 085201. [Google Scholar] [CrossRef]
- Beyer, M.; Lammers, A.; Savchenko, E.V.; Niedner-Schatteburg, G.; Bondybey, V.E. Proton solvated by noble-gas atoms: Simplest case of a solvated ion. Phys. Chem. Chem. Phys. 1999, 1, 2213–2221. [Google Scholar] [CrossRef]
- Lundell, J. Density Functional Approach on Ground State RgH+ and RgHRg+ (Rg = Ar, Kr, Xe) Ions. J. Mol. Str. 1995, 355, 291–297. [Google Scholar] [CrossRef]
- Qu, J.Y.; Li, W.; Guo, R.; Zhao, X.S. A Global Potential Energy Surface of Ar2H+ Based on Ab Initio Calculations. J. Chem. Phys. 2002, 117, 2592–2598. [Google Scholar] [CrossRef]
- Kim, S.T.; Lee, J.S. Ab Initio Study of He2H+ and Ne2H+: Accurate Structure and Energetics. J. Chem. Phys. 1999, 110, 4413–4418. [Google Scholar] [CrossRef]
- Kunttu, H.; Seetula, J.; Räsänen, M.; Apkarian, V.A. Photogeneration of ions via delocalized charge transfer states. I. Xe2H+ and Xe2D+ in solid Xe. J. Chem. Phys. 1992, 96, 5630–5635. [Google Scholar] [CrossRef]
- Fridgen, T.D.; Parnis, J.M. Electron Bombardment Matrix Isolation of Rg/Rg’/Methanol Mixtures (Rg = Ar, Kr, Xe): Fourier-Transform Infrared Characterization of the Proton-Bound Dimers Kr2H+, Xe2H+, (ArHKr)+ and (ArHXe)+ in Ar Matrices and (KrHXe)+ and Xe2H+ in Kr Matrices. J. Chem. Phys. 1998, 109, 2155–2161. [Google Scholar] [CrossRef]
- Kuntz, P.J.; Roach, A.C. Ion-molecule reactions of the rare gases with hydrogen. Part 1.-Diatomics-in-molecules potential energy surface for ArH+2. J. Chem. Soc. Faraday Trans. 1972, 68, 259–280. [Google Scholar] [CrossRef]
- Vasudevan, K. An ab initio study of ground and excited states of NeH+, NeH and linear asymmetric NeH2+. Mol. Phys. 1975, 30, 437–455. [Google Scholar] [CrossRef]
- Sathyamurthy, N.; Rangarajan, R.; Raff, L.M. Reactive scattering calculations on a spline fitted ab initio surface: The He + H+2 (v = 0, 1, 2)→ HeH+ + H reaction. J. Chem. Phys. 1976, 64, 4606–4611. [Google Scholar] [CrossRef]
- McLaughlin, D.R.; Thompson, D.L. Ground- and lower excited state discrete ab initio electronic potential energy surfaces for doublet HeH2+. J. Chem. Phys. 1979, 70, 2748–2769. [Google Scholar] [CrossRef]
- Joseph, T.; Sathyamurthy, N. Dynamics of the endothermic reaction He+H2+→ HeH+ + H on an accurate ab initio potential-energy surface. J. Chem. Phys. 1987, 86, 704–714. [Google Scholar] [CrossRef]
- Pendergast, P.; Heck, J.M.; Hayes, E.F.; Jaquet, R. Fit of the Potential Energy Surface for the Reaction Ne + H2+ → NeH+ + H Using Three Different Functional Forms. J. Chem. Phys. 1993, 98, 4543–4547. [Google Scholar] [CrossRef]
- Xu, W.; Liu, X.; Luan, S.; Zhang, Q.; Zhang, P. An Ab Initio Potential Energy Surface of the He + H2+ → HeH+ + H Reaction. Chem. Phys. Lett. 2008, 464, 92–96. [Google Scholar] [CrossRef]
- Joseph, T.; Sathyamurthy, N. Three-dimensional quasiclassical trajectory study of the reaction He + H2+→ HeH+ + H on an accurate ab initio potential-energy surface. J. Chem. Phys. 1984, 80, 5332–5333. [Google Scholar] [CrossRef]
- Liu, X.; Liu, H.; Zhang, Q. An Ab Initio Potential Energy Surface and Dynamics of the Ar + H2+ → ArH+ + H Reaction. Chem. Phys. Lett. 2011, 507, 24–28. [Google Scholar] [CrossRef]
- Urban, J.; Klimo, V.; Staemmler, V.; Jaquet, R. The Reaction Ne + H2+(v = 0, 1, 2, 3, 4)→ NeH+ + H: 3D Potential Energy Surface and Quasiclassical Trajectory Calculations. Z. Phys. D Mol. Clust. 1991, 21, 329–334. [Google Scholar] [CrossRef]
- Koner, D.; Barrios, L.; González-Lezana, T.; Panda, A.N. Wave packet and statistical quantum calculations for the He + NeH+→ HeH+ + Ne reaction on the ground electronic state. J. Chem. Phys. 2014, 141, 114302. [Google Scholar] [CrossRef]
- Matcha, R.L.; Pettitt, B.M.; Meier, P.; Pendegast, P. Potential Energy Surface for the Collinear Reaction of Ne and HeH+. J. Chem. Phys. 1978, 69, 2264–2265. [Google Scholar] [CrossRef]
- Tan, J.A.; Kuo, J.L. Fermi resonance switching in KrH+Rg and XeH+Rg (Rg = Ne, Ar, Kr, and Xe). J. Chem. Phys. 2021, 154, 134302. [Google Scholar] [CrossRef] [PubMed]
- Lundell, J.; Pettersson, M.; Räsänen, M. The proton-bound rare gas compounds (RgHRg’)+ (Rg = Ar, Kr, Xe)—A computational approach. Phys. Chem. Chem. Phys. 1999, 1, 4151–4155. [Google Scholar] [CrossRef]
- Tsuge, M.; Kalinowski, J.; Gerber, R.B.; Lee, Y.P. Infrared Identification of Proton-Bound Rare-Gas Dimers (XeHXe)+, (KrHKr)+, and (KrHXe)+ and Their Deuterated Species in Solid Hydrogen. J. Phys. Chem. A 2015, 119, 2651–2660. [Google Scholar] [CrossRef] [PubMed]
- Tan, J.A.; Kuo, J.L. A theoretical study on the infrared signatures of proton-bound rare gas dimers (Rg–H+–Rg), Rg = Ne, Ar, Kr, and Xe. J. Chem. Phys. 2019, 150, 124305. [Google Scholar] [CrossRef]
- Tan, J.A.; Kuo, J.L. Structure and Vibrational Spectra of ArnH+(n=2–3). J. Phys. Chem. A 2020, 124, 7726–7734. [Google Scholar] [CrossRef]
- Lundell, J.; Kunttu, H. Structure, spectra, and stability of argon hydride ion (Ar2H+), krypton hydride ion (Kr2H+), xenon hydride ion (Xe2H+): An effective core potential approach. J. Phys. Chem. 1992, 96, 9774–9781. [Google Scholar] [CrossRef]
- Grabowski, S.J.; Ugalde, J.M.; Andrada, D.M.; Frenking, G. Comparison of Hydrogen and Gold Bonding in (XHX)−, (XAuX)−, and Isoelectronic (NgHNg)+, (NgAuNg)+ (X = Halogen, Ng = Noble Gas). Chem. A Eur. J. 2016, 22, 11317–11328. [Google Scholar] [CrossRef]
- Koner, D.; Vats, A.; Vashishta, M.; Panda, A.N. Ab initio electronic structure investigation of protonated mixed rare gas dimers [NeHHe]+, [ArHHe]+ and [ArHNe]+. Comp. Theor. Chem. 2012, 1000, 19–25. [Google Scholar] [CrossRef]
- Koner, D.; Barrios, L.; González-Lezana, T.; Panda, A.N. Quantum, Statistical, and Quasiclassical Trajectory Studies For the Ne + HeH+→ NeH+ + He Reaction on the Ground Electronic State. J. Phys. Chem. A 2015, 119, 12052–12061. [Google Scholar] [CrossRef] [PubMed]
- Koner, D.; Barrios, L.; González-Lezana, T.; Panda, A.N. State-to-State Dynamics of the Ne + HeH+(v=0,j=0)→ NeH+(v,j) + He Reaction. J. Phys. Chem. A 2016, 120, 4731–4741. [Google Scholar] [CrossRef]
- Giju, K.T.; Roszak, S.; Leszczynski, J. A theoretical study of protonated argon clusters: ArnH+(n=1–7). J. Chem. Phys. 2002, 117, 4803–4809. [Google Scholar] [CrossRef]
- Varandas, A.J.C. Intermolecular and Intramolecular Potentials: Topographical Aspects, Calculation, and Functional Representation via A Double Many-Body Expansion Method. In Advances in Chemical Physics; John Wiley & Sons, Inc.: Hoboken, NJ, USA, 2007; pp. 255–338. [Google Scholar] [CrossRef]
- Aguado, A.; Paniagua, M. A New Functional form to Obtain Analytical Potentials of Triatomic Molecules. J. Chem. Phys. 1992, 96, 1265–1275. [Google Scholar] [CrossRef]
- Press, W.H.; Teukolsky, S.A.; Vetterling, W.T.; Flannery, B.P. Numerical Recipes in Fortran 77; Cambridge University Press: New York, NY, USA, 1992. [Google Scholar]
- Koner, D.; Panda, A.N. Quantum Dynamical Study of the He + NeH+ Reaction on a New Analytical Potential Energy Surface. J. Phys. Chem. A 2013, 117, 13070–13078. [Google Scholar] [CrossRef]
- Koner, D.; Barrios, L.; González-Lezana, T.; Panda, A.N. Scattering study of the Ne + NeH+(v0=0,j0=0)→ NeH+ + Ne reaction on an ab initio based analytical potential energy surface. J. Chem. Phys. 2016, 144, 034303. [Google Scholar] [CrossRef] [PubMed]
- Koner, D. Quantum and quasiclassical dynamical simulations for the Ar2H+ on a new global analytical potential energy surface. J. Chem. Phys. 2021, 154, 054303. [Google Scholar] [CrossRef] [PubMed]
- Feit, M.D.; Fleck, J.J.A.; Steiger, A. Solution of the Schödinger Equation by a Spectral Method. J. Comp. Phys. 1982, 47, 412–433. [Google Scholar] [CrossRef]
- Gray, S.K.; Balint-Kurti, G.G. Quantum Dynamics with Real Wave Packets, Including Application to Three-Dimensional (J=0) D+H2→ HD+H Reactive Scattering. J. Chem. Phys. 1998, 108, 950–962. [Google Scholar] [CrossRef]
- Chen, R.; Guo, H. The Chebyshev propagator for quantum systems. Comp. Phys. Comm. 1999, 119, 19–31. [Google Scholar] [CrossRef]
- Zhang, J.Z.H. Theory and Application of Quantum Molecular Dynamics; World Scientific: Singapore, 1999. [Google Scholar]
- Schatz, G.C.; Kuppermann, A. Quantum mechanical reactive scattering for three-dimensional atom plus diatom systems. I. Theory. J. Chem. Phys. 1976, 65, 4642–4667. [Google Scholar] [CrossRef]
- Skouteris, D.; Castillo, J.; Manolopoulos, D. ABC: A quantum reactive scattering program. Comput. Phys. Commun. 2000, 133, 128–135. [Google Scholar] [CrossRef]
- Karplus, M.; Porter, R.N.; Sharma, R.D. Exchange Reactions with Activation Energy. I. Simple Barrier Potential for (H, H2). J. Chem. Phys. 1965, 43, 3259–3287. [Google Scholar] [CrossRef]
- Truhlar, D.G.; Muckerman, J.T. Reactive Scattering Cross Sections III: Quasiclassical and Semiclassical Methods. In Atom—Molecule Collision Theory; Bernstein, R.B., Ed.; Springer: Berlin/Heidelberg, Germany, 1979; pp. 505–566. [Google Scholar]
- Henriksen, N.E.; Hansen, F.Y. Theories of Molecular Reaction Dynamics; Oxford University Press: Oxford, UK, 2011. [Google Scholar]
- Koner, D. Scattering Studies of Proton Transfer Reactions between Rare Gas Atoms. Ph.D. Thesis, Indian Institute of Technology Guwahati, Guwahati, India, 2016. [Google Scholar]
- Koner, D.; Bemish, R.J.; Meuwly, M. The C(3P) + NO(X2Π) → O(3P) + CN(X2Σ+), N(2D)/N(4S) + CO(X1Σ+) reaction: Rates, branching ratios, and final states from 15 K to 20,000 K. J. Chem. Phys. 2018, 149, 094305. [Google Scholar] [CrossRef] [PubMed]
- Colbert, D.T.; Miller, W.H. A Novel Discrete Variable Representation for Quantum Mechanical Reactive Scattering via the S-Matrix Kohn Method. J. Chem. Phys. 1992, 96, 1982–1991. [Google Scholar] [CrossRef]
- Bonnet, L.; Rayez, J.C. Quasiclassical Trajectory Method for Molecular Scattering Processes: Necessity of a Weighted Binning Approach. Chem. Phys. Lett. 1997, 277, 183–190. [Google Scholar] [CrossRef]
- Bonnet, L.; Rayez, J.C. Gaussian Weighting in the Quasiclassical Trajectory Method. Chem. Phys. Lett. 2004, 397, 106–109. [Google Scholar] [CrossRef]
- Rackham, E.J.; Huarte-Larrañaga, F.; Manolopoulos, D.E. Coupled-channel statistical theory of the N(2D)+H2 and O(1D)+H2 insertion reactions. Chem. Phys. Lett. 2001, 343, 356–364. [Google Scholar] [CrossRef]
- Rackham, E.J.; González-Lezana, T.; Manolopoulos, D.E. A rigorous test of the statistical model for atom–diatom insertion reactions. J. Chem. Phys. 2003, 119, 12895. [Google Scholar] [CrossRef]
- González-Lezana, T. Statistical quantum studies on insertion atom-diatom reactions. Int. Rev. Phys. Chem. 2007, 26, 29. [Google Scholar] [CrossRef]
- Carmona-Novillo, E.; González-Lezana, T.; Roncero, O.; Honvault, P.; Launay, J.M.; Bulut, N.; Aoiz, F.J.; Bañares, L.; Trottier, A.; Wrede, E. On the dynamics of the H+ + D2(v=0,j=0)→ HD + D+ reaction: A comparison between theory and experiment. J. Chem. Phys. 2008, 128, 014304. [Google Scholar] [CrossRef]
- Dayou, F.; Larrégaray, P.; Bonnet, L.; Rayez, J.C.; Arenas, P.N.; González-Lezana, T. A comparative study of the Si + O2→ SiO + O reaction dynamics from quasiclassical trajectory and statistical based methods. J. Chem. Phys. 2008, 128, 174307. [Google Scholar] [CrossRef]
- Bargueño, P.; González-Lezana, T.; Larrégaray, P.; Bonnet, L.; Rayez, J.-C.; Hankel, M.; Smith, S.C.; Meijer, A.J.H.M. Study of the H + O2 reaction by means of quantum mechanical and statistical approaches: The dynamics on two different potential energy surfaces. J. Chem. Phys. 2008, 128, 244308. [Google Scholar] [CrossRef] [PubMed]
- Rivero-Santamaría, A.; González-Martínez, M.L.; González-Lezana, T.; Rubayo-Soneira, J.; Bonnet, L.; Larrégaray, P. The O(1D) + H2 (X1Σ+,v,j)→ OH(X2Π,v′,j′) + H(2S) reaction at low collision energy: When a simple statistical description of the dynamics works. Phys. Chem. Chem. Phys. 2011, 13, 8136–8139. [Google Scholar] [CrossRef][Green Version]
- González-Lezana, T.; Honvault, P. The H+ + H2 reaction. Int. Rev. Phys. Chem. 2014, 33, 371–395. [Google Scholar] [CrossRef]
- Nuñez Reyes, D.; Hickson, K.M.; Larrégaray, P.; Bonnet, L.; González-Lezana, T.; Suleimanov, Y.V. A combined theoretical and experimental investigation of the kinetics and dynamics of the O(1D) + D2 reaction at low temperature. Phys. Chem. Chem. Phys. 2018, 20, 4404–4414. [Google Scholar] [CrossRef] [PubMed]
- Pack, R.T.; Parker, G.A. Quantum reactive scattering in three dimensions using hyperspherical (APH) coordinates. Theory. J. Chem. Phys. 1987, 87, 3888–3921. [Google Scholar] [CrossRef]
- Gioumousis, G.; Stevenson, D.P. Reactions of Gaseous Molecule Ions with Gaseous Molecules. V. Theory. J. Chem. Phys. 1958, 29, 294–299. [Google Scholar] [CrossRef]
- Drake, G.W.F. Handbook of Atomic, Molecular, and Optical Physics; Springer: Berlin/Heidelberg, Germany, 2006. [Google Scholar]
- Bargueño, P.; González-Lezana, T.; Larrégaray, P.; Bonnet, L.; Claude Rayez, J. Time dependent wave packet and statistical calculations on the H + O2 reaction. Phys. Chem. Chem. Phys. 2007, 9, 1127–1137. [Google Scholar] [CrossRef] [PubMed]
- Bargueño, P.; Jambrina, P.G.; Alvariño, J.M.; Hernández, M.L.; Aoiz, F.J.; Menéndez, M.; Verdasco, E.; González-Lezana, T. The Dynamics of the O(1D) + HCl → OH + Cl Reaction at a 0.26 eV Collision Energy: A Comparison between Theory and Experiment. J. Phys. Chem. A 2009, 113, 14237. [Google Scholar] [CrossRef]
- González-Lezana, T.; Honvault, P.; Scribano, Y. Dynamics of the D+ + H2→ HD + H+ reaction at the low energy regime by means of a statistical quantum method. J. Chem. Phys. 2013, 139, 054301. [Google Scholar] [CrossRef] [PubMed]
- González-Lezana, T.; Scribano, Y.; Honvault, P. The D++ H2 Reaction: Differential and Integral Cross Sections at Low Energy and Rate Constants at Low Temperature. J. Phys. Chem. A 2014, 118, 6416–6424. [Google Scholar] [CrossRef]


















| System | Ab Initio Method and Basis Set | Number of Ab Initio Energies | RMSE | Ref. |
|---|---|---|---|---|
| HeH | CCSD(T)/d-aug-cc-pVTZ | 2650 | 0.08 | [34] |
| CCSD(T)/aug-cc-pVQZ | 19,605 | 0.03 | [69] | |
| NeH | CCSD(T)/aug-cc-pVQZ | 22,537 | 0.026 | [70] |
| ArH | CCSD(T)/aug-cc-pVQZ | 13,940 | 0.057 | [71] |
| (HeH) (a) | 1.746 | |
| ∠HeHHe | 180.0° | |
| Energy (kcal/mol) | −60.319 | |
| He+HeH | (HeH) (a) | 1.466 |
| Energy (kcal/mol) | −46.935 | |
| (HeH) (a) | 1.804 | |
| (NeH) (a) | 2.102 | |
| ∠HeHNe | 180.0° | |
| Energy (kcal/mol) | −65.447 | |
| Ne+HeH | (HeH) (a) | 1.464 |
| Energy (kcal/mol) | −47.066 | |
| He+NeH | (NeH) (a) | 1.872 |
| Energy (kcal/mol) | −53.433 | |
| (NeH) (a) | 2.156 | |
| ∠NeHNe | 180.0° | |
| Energy (kcal/mol) | −70.038 | |
| Ne+NeH | (NeH) (a) | 1.872 |
| Energy (kcal/mol) | −53.433 | |
| (ArH) (a) | 2.846 | |
| ∠ArHAr | 180.0° | |
| Energy (kcal/mol) | −109.513 | |
| Ar+ArH | (ArH) (a) | 2.423 |
| Energy (kcal/mol) | −93.963 |
Publisher’s Note: MDPI stays neutral with regard to jurisdictional claims in published maps and institutional affiliations. |
© 2021 by the authors. Licensee MDPI, Basel, Switzerland. This article is an open access article distributed under the terms and conditions of the Creative Commons Attribution (CC BY) license (https://creativecommons.org/licenses/by/4.0/).
Share and Cite
Koner, D.; Barrios, L.; González-Lezana, T.; Panda, A.N. Atom–Diatom Reactive Scattering Collisions in Protonated Rare Gas Systems. Molecules 2021, 26, 4206. https://doi.org/10.3390/molecules26144206
Koner D, Barrios L, González-Lezana T, Panda AN. Atom–Diatom Reactive Scattering Collisions in Protonated Rare Gas Systems. Molecules. 2021; 26(14):4206. https://doi.org/10.3390/molecules26144206
Chicago/Turabian StyleKoner, Debasish, Lizandra Barrios, Tomás González-Lezana, and Aditya N. Panda. 2021. "Atom–Diatom Reactive Scattering Collisions in Protonated Rare Gas Systems" Molecules 26, no. 14: 4206. https://doi.org/10.3390/molecules26144206
APA StyleKoner, D., Barrios, L., González-Lezana, T., & Panda, A. N. (2021). Atom–Diatom Reactive Scattering Collisions in Protonated Rare Gas Systems. Molecules, 26(14), 4206. https://doi.org/10.3390/molecules26144206

