New Constituents from the Leaves of Date Palm (Phoenix dactylifera L.) of Saudi Origin
Abstract
:1. Introduction
2. Results and Discussion
2.1. Fatty Acid Mixture
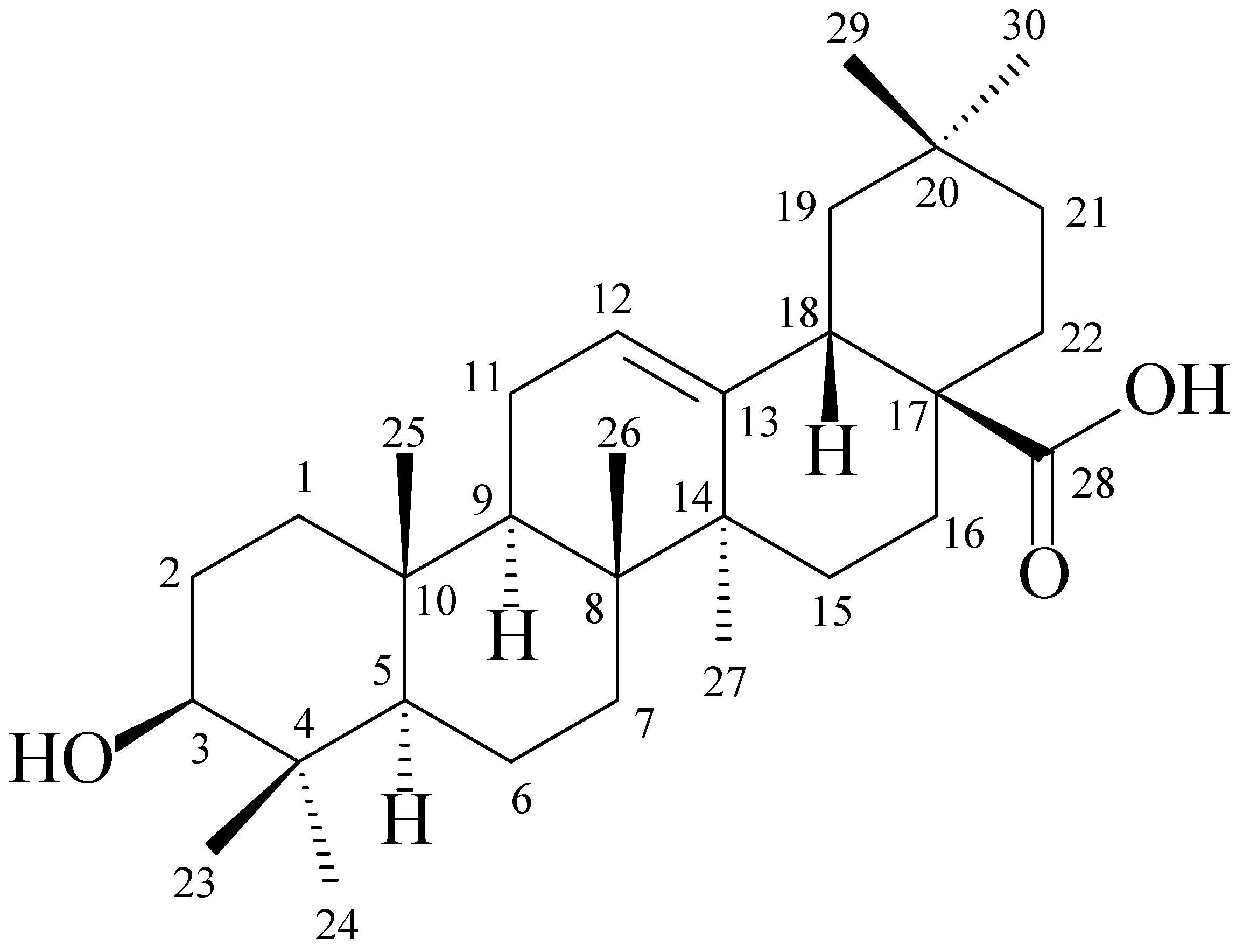
2.2. Oleanolic Acid (1)
2.3. Vanillyl Alcohol (2)
2.4. β-Sitosterol-3-O-β-d-Glucoside (3)
3. Materials and Methods
3.1. Chemicals
3.2. Plant Material
3.3. Butanol Extraction and Isolation
3.4. NMR Spectroscopy
3.5. GC–MS Parameters
3.6. LC–MS Parameters
4. Conclusions
Supplementary Materials
Author Contributions
Funding
Institutional Review Board Statement
Informed Consent Statement
Data Availability Statement
Acknowledgments
Conflicts of Interest
Sample Availability
References
- Hifnawy, M.; Mahrous, A.; Ashour, R. Phytochemical investigation of Phoenix canariensis Hort. ex Chabaud leaves and pollen grains and spathe volatile analysis. J. Appl. Pharm. Sci. 2016, 103–109. [Google Scholar] [CrossRef] [Green Version]
- Ali, H.; Al-Khalifa, A.R.; Farouk, A.; Shaheen, M. Effect of Maturation Stages on Flavor Profile and Antioxidant Activity of Date Palm Fruits (Phoenix dactylifera) Grown in Saudi Arabia. Int. J. Pharmacol. 2018, 14, 407–414. [Google Scholar] [CrossRef] [Green Version]
- Vyawahare, N.; Pujari, R.; Khsirsagar, A.; Ingawale, D.; Patil, M.; Kagathara, V. Phoenix dactylifera: An update of its indegenous uses, phytochemistry and pharmacology. Internet J. Pharmacol. 2009, 7. [Google Scholar] [CrossRef]
- Al-Alawi, R.A.; Al-Mashiqri, J.H.; Al-Nadabi, J.S.M.; Al-Shihi, B.I.; Baqi, Y. Date Palm Tree (Phoenix dactylifera L.): Natural Products and Therapeutic Options. Front. Plant Sci. 2017, 8. [Google Scholar] [CrossRef] [Green Version]
- Alshwyeh, H.A. Phenolic profiling and antibacterial potential of Saudi Arabian native date palm (Phoenix dactylifera) cultivars. Int. J. Food Prop. 2020, 23, 627–638. [Google Scholar] [CrossRef] [Green Version]
- Arif, Y.; Lombarkia, N. Variability Influence of the Volatile Compounds of Three Algerian Date Cultivars (Phoenix dactylifera L.) on Infestation Rates of the Date Moth [(Ectomyelois ceratoniae Zell. (Lepidoptera: Pyralidae)]. Cercet. Agron. Mold. 2018, 51, 111–124. [Google Scholar] [CrossRef] [Green Version]
- Abu-Reidah, I.M.; Gil-Izquierdo, Á.; Medina, S.; Ferreres, F. Phenolic composition profiling of different edible parts and by-products of date palm (Phoenix dactylifera L.) by using HPLC-DAD-ESI/MSn. Food Res. Int. 2017, 100, 494–500. [Google Scholar] [CrossRef] [PubMed]
- Abdullah, H.M.; Abdul Latif, M.H.; Attiya, H.G. Characterization and determination of lignin in different types of Iraqi phoenix date palm pruning woods. Int. J. Biol. Macromol. 2013, 61, 340–346. [Google Scholar] [CrossRef] [PubMed]
- Alturki, S.; Shahba, M.; Stushnoff, C. Diversity of antioxidant properties and phenolic content of date palm (Phoenix dactylifera L.) fruits as affected by cultivar and location. J. Food Agric. Environ. 2010, 8, 253–260. [Google Scholar]
- Al-Farsi, M.; Morris, A.; Baron, M. Functional Properties of Omani Dates (Phoenix dactylifera L.). Acta Hortic. 2007, 479–487. [Google Scholar] [CrossRef]
- Nasser, R.; Salem, M.; Hiziroglu, S.; Al-Mefarrej, H.; Mohareb, A.; Alam, M.; Aref, I. Chemical Analysis of Different Parts of Date Palm (Phoenix dactylifera L.) Using Ultimate, Proximate and Thermo-Gravimetric Techniques for Energy Production. Energies 2016, 9, 374. [Google Scholar] [CrossRef] [Green Version]
- Jonoobi, M.; Shafie, M.; Shirmohammadli, Y.; Ashori, A.; Zarea-Hosseinabadi, H.; Mekonnen, T. A Review on Date Palm Tree: Properties, Characterization and Its Potential Applications. J. Renew. Mater. 2019, 7, 1055–1075. [Google Scholar] [CrossRef] [Green Version]
- Umoren, S.A.; Solomon, M.M.; Obot, I.B.; Suleiman, R.K. Comparative studies on the corrosion inhibition efficacy of ethanolic extracts of date palm leaves and seeds on carbon steel corrosion in 15% HCl solution. J. Adhes. Sci. Technol. 2018, 32, 1934–1951. [Google Scholar] [CrossRef]
- Umoren, S.A.; Solomon, M.M.; Obot, I.B.; Suleiman, R.K. Date palm leaves extract as a green and sustainable corrosion inhibitor for low carbon steel in 15 wt.% HCl solution: The role of extraction solvent on inhibition effect. Environ. Sci. Pollut. Res. 2021. [Google Scholar] [CrossRef]
- Umoren, S.A.; Solomon, M.M.; Obot, I.B.; Suleiman, R.K. Effect of Intensifier Additives on the Performance of Butanolic Extract of Date Palm Leaves against the Corrosion of API 5L X60 Carbon Steel in 15 wt.% HCl Solution. Sustainability 2021, 13, 5569. [Google Scholar] [CrossRef]
- Umoren, S.A.; Gasem, Z.M.; Obot, I.B. Natural Products for Material Protection: Inhibition of Mild Steel Corrosion by Date Palm Seed Extracts in Acidic Media. Ind. Eng. Chem. Res. 2013, 52, 14855–14865. [Google Scholar] [CrossRef]
- Ghnimi, S.; Umer, S.; Karim, A.; Kamal-Eldin, A. Date fruit (Phoenix dactylifera L.): An underutilized food seeking industrial valorization. NFS J. 2017, 6, 1–10. [Google Scholar] [CrossRef] [Green Version]
- Fadzil, S.R.; Yap, A.-C.; Choo, Y.-M. A New Cyclopentylidene and Other Chemical Constituents from Malaysian Crotalaria pallida. Sains Malays. 2017, 46, 1581–1586. [Google Scholar] [CrossRef]
- Samarakoon, S.R.; Ediriweera, M.K.; Wijayabandara, L.; Fernando, N.; Tharmarajah, L.; Tennekoon, K.H.; Piyathilaka, P.; Adhikari, A. Isolation of cytotoxic triterpenes from the mangrove plant, Scyphiphora hydrophyllacea C.F.Gaertn (Rubiaceae). Trop. J. Pharm. Res. 2018, 17, 475. [Google Scholar] [CrossRef]
- Liby, K.T.; Yore, M.M.; Sporn, M.B. Triterpenoids and rexinoids as multifunctional agents for the prevention and treatment of cancer. Nat. Rev. Cancer 2007, 7, 357–369. [Google Scholar] [CrossRef]
- Rezanka, T.; Olsovska, J.; Sobotka, M.; Sigler, K. The Use of APCI-MS with HPLC and Other Separation Techniques for Identification of Carotenoids and Related Compounds. Curr. Anal. Chem. 2009, 5, 1–25. [Google Scholar] [CrossRef]
- Peshin, T.; Kar, H. Isolation and Characterization of β-Sitosterol-3-O-β-D-glucoside from the Extract of the Flowers of Viola odorata. Br. J. Pharm. Res. 2017, 16, 1–8. [Google Scholar] [CrossRef] [Green Version]
- Hernández-García, E.; García, A.; Avalos-Alanís, F.G.; Rivas-Galindo, V.M.; Delgadillo-Puga, C.; del Rayo Camacho-Corona, M. Nuclear magnetic resonance spectroscopy data of isolated compounds from Acacia farnesiana (L) Willd fruits and two esterified derivatives. Data Brief 2019, 22, 255–268. [Google Scholar] [CrossRef] [PubMed]
- Lockwood, R. Dates: Production, Processing, Food, and Medicinal Values (Medicinal and Aromatic Plants—Industrial Profiles); Manickavasagan, A., Essa, M. M., Sukumar, E., Eds.; CRC Press: Boca Raton, FL, USA, 2012; pp. xviii + 415, ISBN 978-1-4398-4945-3. Exp. Agric. 2013, 49, 153. [Google Scholar] [CrossRef]





| Position | Experimental | Literature [19] | ||
|---|---|---|---|---|
| 13C | 1H | 13C | 1H | |
| C-1 | 38.5 | 1.62 (m) | 38.5 | 1.63 (m) |
| C-2 | 28.6 | 1.59 (m) | 28.1 | 1.59 (m) |
| C-3 | 77.3 | 3.20 (dd; J = 4.0; 8.0 Hz) | 79.1 | 3.20 (dd; J = 4.5; 10.0 Hz) |
| C-4 | 38.5 | - | 38.8 | |
| C-5 | 55.2 | 0.66 (m) | 55.2 | 0.71 (m) |
| C-6 | 18.5 | 1.54 (m) | 18.2 | 1.54 (m) |
| C-7 | 32.9 | 1.47 (m) | 32.9 | 1.48 (m) |
| C-8 | 38.8 | - | 39.4 | |
| C-9 | 45.9 | 1.54 (m) | 47.5 | 1.54 (m) |
| C-10 | 37.1 | - | 37.0 | |
| C-11 | 23.4 | 0.93 (m) | 23.5 | 0.94 (m) |
| C-12 | 122.0 | 5.23 (m) | 125.8 | 5.23 (d; J = 22.5 Hz) |
| C-13 | 144.3 | - | 137.9 | |
| C-14 | 41.8 | - | 41.9 | |
| C-15 | 27.7 | 1.61 (m) | 27.9 | 1.61 (m) |
| C-16 | 23.8 | 0.96 (m) | 24.1 | 0.96 (m) |
| C-17 | 47.5 | - | 47.8 | |
| C-18 | 41.2 | - | 41.9 | |
| C-19 | 46.1 | - | 47.5 | |
| C-20 | 30.9 | - | 30.6 | |
| C-21 | 38.8 | 1.62 (m) | 38.8 | 1.63 (m) |
| C-22 | 33.8 | 1.31 (m) | 36.9 | 1.31 (m) |
| C-23 | 27.6 | 0.99 (s) | 28.1 | 0.96 (s) |
| C-24 | 16.5 | 0.75 (s) | 16.9 | 0.75 (s) |
| C-25 | 15.6 | 0.91 (s) | 15.4 | 0.91 (s) |
| C-26 | 17.2 | 0.76 (s) | 17.0 | 0.76 (s) |
| C-27 | 27.4 | 1.13 (s) | 27.2 | 1.06 (s) |
| C-28 | 179.0 | - | 181.2 | |
| C-29 | 33.3 | 0.90 (s) | 36.7 | 0.84 (s) |
| C-30 | 23.3 | 0.93 (s) | 23.2 | 0.93 (s) |
Publisher’s Note: MDPI stays neutral with regard to jurisdictional claims in published maps and institutional affiliations. |
© 2021 by the authors. Licensee MDPI, Basel, Switzerland. This article is an open access article distributed under the terms and conditions of the Creative Commons Attribution (CC BY) license (https://creativecommons.org/licenses/by/4.0/).
Share and Cite
Suleiman, R.K.; Iali, W.; El Ali, B.; Umoren, S.A. New Constituents from the Leaves of Date Palm (Phoenix dactylifera L.) of Saudi Origin. Molecules 2021, 26, 4192. https://doi.org/10.3390/molecules26144192
Suleiman RK, Iali W, El Ali B, Umoren SA. New Constituents from the Leaves of Date Palm (Phoenix dactylifera L.) of Saudi Origin. Molecules. 2021; 26(14):4192. https://doi.org/10.3390/molecules26144192
Chicago/Turabian StyleSuleiman, Rami K., Wissam Iali, Bassam El Ali, and Saviour A. Umoren. 2021. "New Constituents from the Leaves of Date Palm (Phoenix dactylifera L.) of Saudi Origin" Molecules 26, no. 14: 4192. https://doi.org/10.3390/molecules26144192
APA StyleSuleiman, R. K., Iali, W., El Ali, B., & Umoren, S. A. (2021). New Constituents from the Leaves of Date Palm (Phoenix dactylifera L.) of Saudi Origin. Molecules, 26(14), 4192. https://doi.org/10.3390/molecules26144192

