Thermochemical and Toxic Element Behavior during Co-Combustion of Coal and Municipal Sludge
Abstract
:Highlights
- (1)
- The thermal reactivity of co-combustion of coal can be improved by adding municipal sludge.
- (2)
- The kinetic properties and optimum conditions were obtained.
- (3)
- The volatilization rate of toxic elements in burned samples was reduced by adding municipal sludge.
1. Introduction
2. Materials and Methods
2.1. Ultimate and Proximate Analysis and Samples
2.2. Thermogravimetric Analysis
2.3. Kinetic Analysis
2.4. Toxic Element Analysis
3. Results and Discussion
3.1. The Coal and Minicipal Sludge Properties
3.2. Thermal Behaviors of Coal, Municipal Sludge and Their Blends
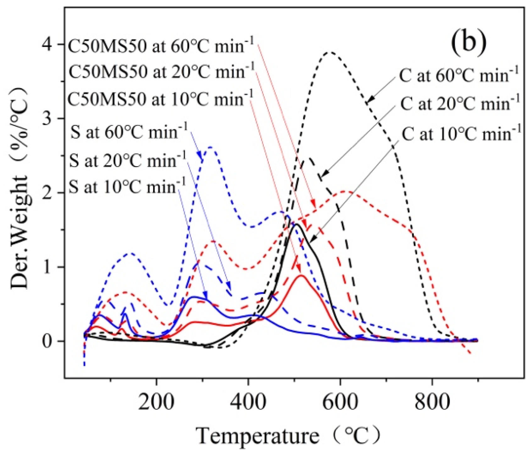
3.3. Effect of Heating Rate on Thermal Characteristics
3.4. Kinetic Parameters of Coal, Sludge and Their Blends
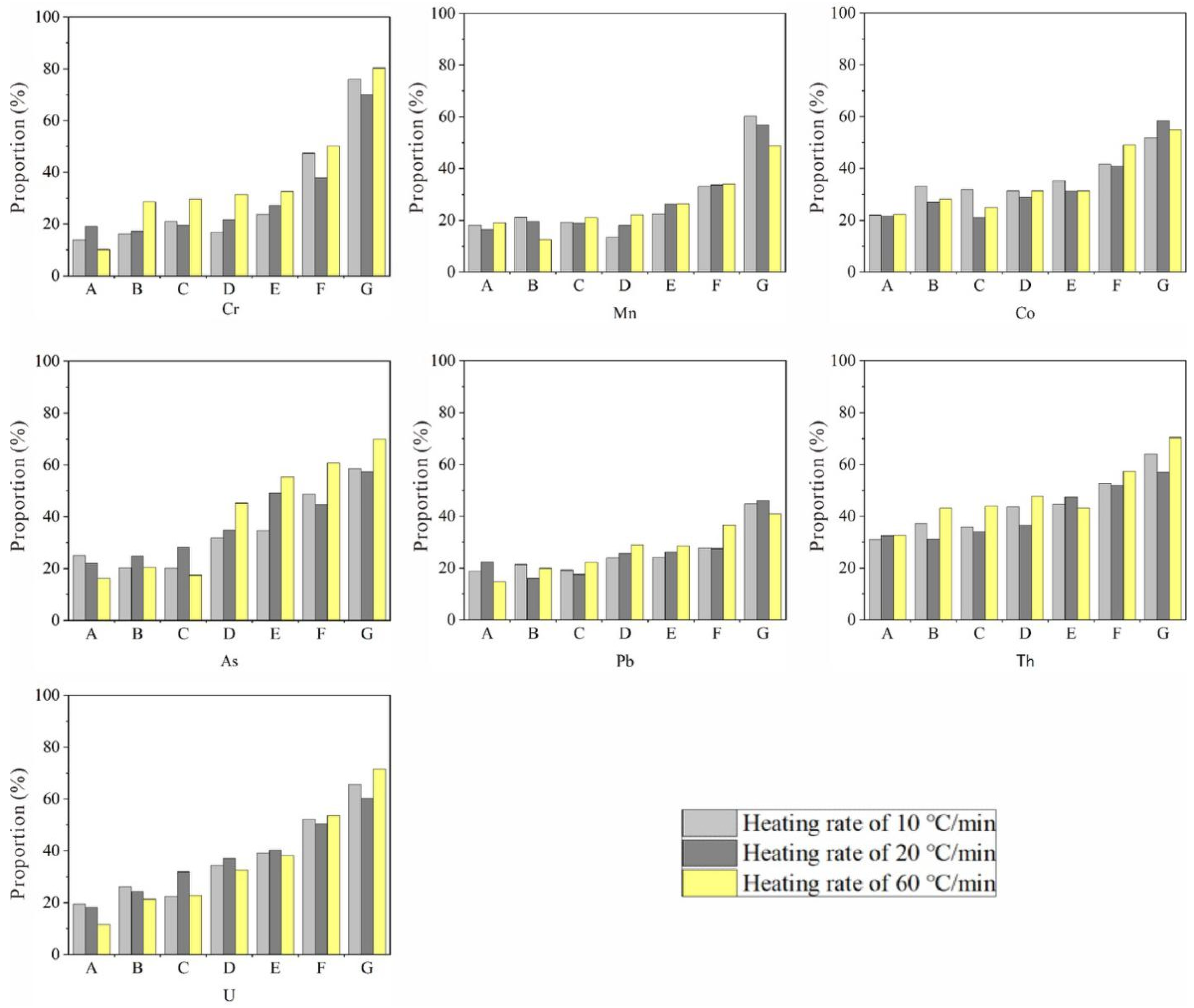
3.5. Retention Behavior of Toxic Elements during Co-Combustion of Coal with Sludge
4. Conclusions
Supplementary Materials
Author Contributions
Funding
Acknowledgments
Conflicts of Interest
Sample Availability
References
- Duan, F.; Zhang, L.; Sun, X.; Huang, Y. Comparison of thermal behavior for modified calcium magnesium acetate blended separately with peanut shell and sewage sludge at different atmospheres. J. Therm. Anal. Calorim. 2017, 127, 2417–2425. [Google Scholar] [CrossRef]
- Yang, G.; Zhang, G.H.; Wang, H.C. Current state of sludge production, management, treatment and disposal in China. Water Res. 2015, 78, 60–73. [Google Scholar] [CrossRef]
- Kelessidis, A.; Stasinakis, A.S. Comparative study of the methods used for treatment and final disposal of sewage sludge in european countries. Waste Manag. 2012, 32, 1186–1195. [Google Scholar] [CrossRef]
- Kijo-Kleczkowska, A.; Środa, K.; Kosowska-Golachowska, M.; Musiał, T.; Wolski, K. Combustion of pelleted sewage sludge with reference to coal and biomass. Fuel 2016, 170, 141–160. [Google Scholar] [CrossRef]
- Zhang, S.; Jiang, X.; Lv, G.; Liu, B.; Jin, Y.; Yan, J. SO2, SO2, NOx, HF, HCl and PCDD/Fs emissions during co-combustion of bituminous coal and pickling sludge in a drop tube furnace. Fuel 2016, 186, 91–99. [Google Scholar] [CrossRef]
- Xie, Z.Q.; Ma, X.Q. The thermal behaviour of the co-combustion between paper sludge and rice straw. Bioresour. Technol. 2013, 146, 611–618. [Google Scholar] [CrossRef]
- Otero, M.; Gómez, X.; García, A.I.; Morán, A. Effects of sewage sludge blending on the coal combustion: A thermogravimetric assessment. Chemosphere 2007, 69, 1740–1750. [Google Scholar] [CrossRef]
- Otero, M.; Calvo, L.F.; Gil, M.V.; García, A.I.; Morán, A. Co-combustion of different sewage sludge and coal: A non-isothermal thermogravimetric kinetic analysis. Bioresour. Technol. 2008, 99, 6311–6319. [Google Scholar] [CrossRef]
- Magdziarz, A.; Wilk, M. Thermogravimetric study of biomass, sewage sludge and coal combustion. Energy Convers. Manag. 2013, 75, 425–430. [Google Scholar] [CrossRef]
- Buratti, C.; Barbanera, M.; Bartocci, P.; Fantozzi, F. Thermogravimetric analysis of the behavior of sub-bituminous coal and cellulosic ethanol residue during co-combustion. Bioresour. Technol. 2015, 186, 154–162. [Google Scholar] [CrossRef]
- Zheng, L.; Liu, G.; Wang, L.; Chou, C.L. Composition and quality of coals in the huaibei coalfield, Anhui. China J. Geochem. Explor. 2008, 97, 59–68. [Google Scholar] [CrossRef]
- Sahu, S.G.; Chakraborty, N.; Sarkar, P. Coal-biomass co-combustion: An overview. Renew. Sustain. Energy Rev. 2014, 39, 575–586. [Google Scholar] [CrossRef]
- Wang, R.; Zhao, Z.; Qiu, L.; Liu, J. Experimental investigation of synergistic behaviors of lignite and wasted activated sludge during their co-combustion. Fuel Process. Technol. 2017, 156, 271–279. [Google Scholar] [CrossRef]
- Zhou, C.; Liu, G.; Cheng, S.; Fang, T.; Lam, P.K.S. Thermochemical and trace element behavior of coal gangue, agricultural biomass and their blends during co-combustion. Bioresour. Technol. 2014, 166, 243–251. [Google Scholar] [CrossRef] [PubMed]
- Coimbra, R.N.; Paniagua, S.; Escapa, C.; Calvo, L.F.; Otero, M. Combustion of primary and secondary pulp mill sludge and their respective blends with coal: A thermogravimetric assessment. Renew. Energy 2015, 83, 1050–1058. [Google Scholar] [CrossRef]
- Tan, P.; Ma, L.; Xia, J.; Fang, Q.; Zhang, C.; Chen, G. Co-firing sludge in a pulverized coal-fired utility boiler: Combustion characteristics and economic impacts. Energy 2017, 119, 392–399. [Google Scholar] [CrossRef]
- Mu, L.; Chen, J.; Yao, P.; Zhou, D.; Zhao, L.; Yin, H. Evaluation of co-pyrolysis petrochemical wastewater sludge with lignite in a thermogravimetric analyzer and a packed-bed reactor: Pyrolysis characteristics, kinetics, and products analysis. Bioresour. Technol. 2016, 221, 147–156. [Google Scholar] [CrossRef] [PubMed]
- Niu, S.; Chen, M.; Li, Y.; Song, J. Co-combustion characteristics of municipal sewage sludge and bituminous coal. J. Therm. Anal. Calorim. 2018, 131, 1821–1834. [Google Scholar] [CrossRef]
- Yan, R.; Gauthier, D.; Flamant, G. Volatility and chemistry of trace elements in a coal combustor. Fuel 2001, 80, 2217–2226. [Google Scholar] [CrossRef]
- Zhou, C.; Liu, G.; Fang, T.; Lam, P.K.S. Investigation on thermal and trace element characteristics during co-combustion biomass with coal gangue. Bioresour. Technol. 2015, 175, 454–462. [Google Scholar] [CrossRef]
- Masnadi, M.S.; Habibi, R.; Kopyscinski, J.; Hill, J.M.; Bi, X.; Lim, C.J.; Ellis, N.; Grace, J.R. Fuel characterization and co-pyrolysis kinetics of biomass and fossil fuels. Fuel 2014, 117, 1204–1214. [Google Scholar] [CrossRef]
- Chen, J.; Xie, C.; Liu, J.; He, Y.; Xie, W.; Zhang, X.; Chang, K.; Kuo, J.; Sun, J.; Zheng, L.; et al. Co-combustion of sewage sludge and coffee grounds under increased O2/CO2 atmospheres: Thermodynamic characteristics, kinetics and artificial neural network modeling. Bioresour. Technol. 2018, 250, 230–238. [Google Scholar] [CrossRef]
- Aboyade, A.O.; Görgens, J.F.; Carrier, M.; Meyer, E.L.; Knoetze, J.H. Thermogravimetric study of the pyrolysis characteristics and kinetics of coal blends with corn and sugarcane residues. Fuel Process. Technol. 2013, 106, 310–320. [Google Scholar] [CrossRef]
- Goldfarb, J.L.; Ceylan, S. Second-generation sustainability: Application of the distributed activation energy model to the pyrolysis of locally sourced biomass- coal blends for use in co-firing scenarios. Fuel 2015, 160, 297–308. [Google Scholar] [CrossRef]
- Teixeira, P.; Lopes, H.; Gulyurtlu, I.; Lapa, N.; Abelha, P. Evaluation of slagging and fouling tendency during biomass co-firing with coal in a fluidized bed. Biomass. Bioenergy 2012, 39, 192–203. [Google Scholar] [CrossRef] [Green Version]
- Luo, J.; Fang, Z.; Smith, R.L. Ultrasound-enhanced conversion of biomass to biofuels. Prog. Energy Combust. Sci. 2014, 41, 56–93. [Google Scholar] [CrossRef]
- Idris, S.S.; Rahman, N.A.; Ismail, K. Combustion characteristics of Malaysian oil palm biomass, sub-bituminous coal and their respective blends via thermogravimetric analysis (TGA). Bioresour. Technol. 2012, 123, 581–591. [Google Scholar] [CrossRef]
- Parnaudeau, V.; Dignac, M.F. The organic matter composition of various wastewater sludge and their neutral detergent fractions as revealed by pyrolysis-GC/MS. J. Anal. Appl. Pyrol. 2007, 78, 140–152. [Google Scholar] [CrossRef]
- Liu, X.; Chang, F.; Wang, C.; Jin, Z.; Wu, J.; Zuo, J.; Wang, K. Pyrolysis and subsequent direct combustion of pyrolytic gases for sewage sludge treatment in China. Appl. Therm. Eng. 2018, 128, 464–470. [Google Scholar] [CrossRef]
- Merve, O.; Hanzade, H.; Serdar, Y. Co-combustion of lignite with sewage sludge and refuse-derived fuel. Environ. Prog. Sustain. Energy 2019, 103, 10–15. [Google Scholar]
- Nanda, S.; Mohanty, P.; Pant, K.K.; Naik, S.; Kozinski, J.A.; Dalai, A.K. Characterization of North American lignocellulosic biomass and biochars in terms of their candidacy for alternate renewable fuels. Bioenergy Res. 2013, 6, 663–677. [Google Scholar] [CrossRef]
- Wang, Z.; Hong, C.; Xing, Y.; Li, Y.; Feng, L.; Jia, M. Combustion behaviors and kinetics of sewage sludge blended with pulverized coal: With and without catalysts. Waste Manag. 2018, 74, 288–296. [Google Scholar] [CrossRef] [PubMed]
- Vamvuka, D.; Kakaras, E.; Kastanaki, E.; Grammelis, P. Pyrolysis characteristics and kinetics of biomass residuals mixtures with lignite. Fuel 2003, 82, 1949–1960. [Google Scholar] [CrossRef]
- Liao, Y.F.; Ma, X.Q. Thermogravimetric analysis of the co-combustion of coal and paper mill sludge. Appl. Energy 2010, 87, 3526–3532. [Google Scholar]
- Chang, F.M.; Wang, Q.B.; Wang, K.J. Thermogravimetric characteristics and kinetic analysis of co-pyrolysis of sewage sludge and coal. Huanjing Gongcheng Xuebao 2015, 9, 2412–2418. (In Chinese) [Google Scholar]
- Chen, J.C.; Liu, J.Y.; He, Y. Investigation of co-combustion characteristics of sewage sludge and coffee grounds mixtures using thermogravimetric analysis coupled to artificial neural networks modeling. Bioresour. Technol. 2015, 225, 234–245. [Google Scholar] [CrossRef]
- Gil, M.V.; Casal, D.; Pevida, C.; Pis, J.J.; Rubiera, F. Thermal behavior and kinetics of coal/biomass blends during co-combustion. Bioresour. Technol. 2010, 101, 5601–5608. [Google Scholar] [CrossRef] [Green Version]
- Xie, W.; Wen, S.; Liu, J.; Xie, W.; Kuo, J.; Lu, X.; Sun, S.; Chang, K.; Buyukada, M.; Evrendilek, F. Comparative thermogravimetric analyses of co-combustion of textile dyeing sludge and sugarcane bagasse in carbon dioxide/oxygen and nitrogen/oxygen atmospheres: Thermal conversion characteristics, kinetics, and thermodynamics. Bioresour. Technol. 2018, 255, 88–95. [Google Scholar] [CrossRef]
- Zhou, C.; Liu, G.; Wang, X.; Qi, C. Co-combustion of bituminous coal and biomass fuel blends: Thermochemical characterization, potential utilization and environmental advantage. Bioresour. Technol. 2016, 218, 418–427. [Google Scholar] [CrossRef]
- Fu, B.; Liu, G.; Mian, M.M.; Zhou, C.; Sun, M.; Wu, D.; Liu, Y. Co-combustion of industrial coal slurry and sewage sludge: Thermochemical and emission behavior of heavy metals. Chemosphere 2019, 233, 440–451. [Google Scholar] [CrossRef] [PubMed]
- Zheng, L.; Liu, X.; Tang, Q.; Ou, J. Lead pollution and isotope tracing of surface sediments in the Huainan Panji coal mining subsidence area, Anhui, China. Bull. Environ. Contam. Toxicol. 2019, 103, 10–15. [Google Scholar] [CrossRef] [PubMed]
- Liu, J.; Xie, C.; Xie, W.; Zhang, X.; Chang, K.; Sun, J.; Kuo, J.; Xie, W.; Liu, C.; Sun, S.; et al. Arsenic partitioning behavior during sludge co-combustion: Thermodynamic equilibrium simulation. Waste. Biomass. Valorization 2019, 10, 2297–2307. [Google Scholar] [CrossRef]
- Hwang, I.H.; Ouchi, Y.; Matsuto, T. Characteristics of leachate from pyrolysis residue of sewage sludge. Chemosphere 2007, 68, 1913–1919. [Google Scholar] [CrossRef] [PubMed] [Green Version]





| Proximate analysis, db (wt.%) | M | A | VM | FC | LHV (MJ/kg) | ||
| C | 1.09 | 38.7 | 21.4 | 38.8 | 19.8 | ||
| MS | 8.02 | 50.2 | 39.6 | 2.16 | 11.5 | ||
| Ultimate analysis, db (wt.%) | C | H | O | N | S | ||
| C | 63.8 | 4.20 | 10.5 | 0.93 | 0.84 | ||
| MS | 22.9 | 3.38 | 17.1 | 3.04 | 1.11 | ||
| Ash analysis (wt.%) | SiO2 | Al2O3 | CaO | Fe2O3 | K2O | Na2O | MgO |
| C | 18.5 | 10.2 | 0.35 | 1.56 | 0.49 | 0.14 | 0.19 |
| MS | 32.8 | 9.42 | 7.76 | 4.48 | 1.36 | 0.56 | 1.29 |
| Trace element (mg/kg) | Cr | Mn | Co | As | Pb | Th | U |
| C | 14.7 | 11.1 | 1.07 | 2.08 | 1.64 | 2.15 | 2.70 |
| MS | 1.70 | 0.71 | 0.05 | 0.06 | 0.03 | 0.22 | 0.04 |
| (a) | ||||
| Sample | Stage II | Stage III | ||
| E (KJ mol−1) | R2 (%) | E (KJ mol−1) | R2 (%) | |
| C | 79.80 | 99.70 | ||
| C90MS10 | 4.662 | 97.99 | 65.96 | 99.65 |
| C80MS20 | 38.78 | 99.50 | 57.24 | 99.32 |
| C70MS30 | 45.86 | 99.63 | 55.82 | 99.45 |
| C60MS40 | 48.05 | 99.55 | 55.44 | 98.68 |
| C50MS50 | 52.94 | 99.41 | 29.56 | 99.43 |
| MS | 41.45 | 99.82 | 58.51 | 98.36 |
| (b) | ||||
| Sample | Stage II | Stage III | ||
| E (KJ mol−1) | R2 (%) | E (KJ mol−1) | R2 (%) | |
| C | 80.05 | 99.63 | ||
| C90MS10 | 33.30 | 98.24 | 72.21 | 99.50 |
| C80MS20 | 43.43 | 99.73 | 58.21 | 99.30 |
| C70MS30 | 46.37 | 99.57 | 58.03 | 99.44 |
| C60MS40 | 47.68 | 99.82 | 56.88 | 99.49 |
| C50MS50 | 48.23 | 99.77 | 56.00 | 99.51 |
| MS | 46.09 | 99.84 | 54.53 | 98.06 |
| (c) | ||||
| Sample | Stage II | Stage III | ||
| E (KJ mol−1) | R2 (%) | E (KJ mol−1) | R2 (%) | |
| C | 87.07 | 99.44 | ||
| C90MS10 | 61.26 | 99.27 | ||
| C80MS20 | 51.33 | 99.61 | 57.77 | 99.63 |
| C70MS30 | 51.80 | 99.86 | 55.39 | 99.65 |
| C60MS40 | 52.71 | 99.69 | 54.71 | 99.58 |
| C50MS50 | 63.98 | 99.90 | 42.91 | 99.41 |
| MS | 52.63 | 99.44 | 61.21 | 98.68 |
Publisher’s Note: MDPI stays neutral with regard to jurisdictional claims in published maps and institutional affiliations. |
© 2021 by the authors. Licensee MDPI, Basel, Switzerland. This article is an open access article distributed under the terms and conditions of the Creative Commons Attribution (CC BY) license (https://creativecommons.org/licenses/by/4.0/).
Share and Cite
Chen, Y.; Gui, H.; Xia, Z.; Chen, X.; Zheng, L. Thermochemical and Toxic Element Behavior during Co-Combustion of Coal and Municipal Sludge. Molecules 2021, 26, 4170. https://doi.org/10.3390/molecules26144170
Chen Y, Gui H, Xia Z, Chen X, Zheng L. Thermochemical and Toxic Element Behavior during Co-Combustion of Coal and Municipal Sludge. Molecules. 2021; 26(14):4170. https://doi.org/10.3390/molecules26144170
Chicago/Turabian StyleChen, Yongchun, Herong Gui, Ziwei Xia, Xing Chen, and Liugen Zheng. 2021. "Thermochemical and Toxic Element Behavior during Co-Combustion of Coal and Municipal Sludge" Molecules 26, no. 14: 4170. https://doi.org/10.3390/molecules26144170
APA StyleChen, Y., Gui, H., Xia, Z., Chen, X., & Zheng, L. (2021). Thermochemical and Toxic Element Behavior during Co-Combustion of Coal and Municipal Sludge. Molecules, 26(14), 4170. https://doi.org/10.3390/molecules26144170
