High-Throughput Identification of Organic Compounds from Polygoni Multiflori Radix Praeparata (Zhiheshouwu) by UHPLC-Q-Exactive Orbitrap-MS
Abstract
:1. Introduction
2. Results and Discussion
2.1. Optimization of LC and MS Conditions
2.2. Identification of the Chemical Constituents in PMRP
2.2.1. Identification of Anthraquinones and Derivatives
2.2.2. Identification of Stilbenes and Derivatives
2.2.3. Identification of Flavonoids and Derivatives
2.2.4. Identification of Phenolic Acids and Derivatives
2.2.5. Identification of Other Compounds
2.2.6. Comparison of Chemical Constituents Between PMRPE and PMRPW
3. Materials and Methods
3.1. Materials and Chemicals
3.2. Standard Solutions and Sample Preparation
3.3. LC System and Mass Spectrometry
4. Conclusions
Supplementary Materials
Author Contributions
Funding
Institutional Review Board Statement
Informed Consent Statement
Conflicts of Interest
Sample Availability
References
- Li, H.L.; Wang, X.B.; Liu, Y.; Pan, D.; Ye, W.; Nian, Y.; Xiang, L.C.; Cai, X.J.; Feng, Y.B. Hepatoprotection and hepatotoxicity of Heshouwu, a Chinese medicinal herb: Context of the paradoxical effect. Food Chem. Toxicol. 2017, 108, 407–418. [Google Scholar] [CrossRef] [PubMed]
- Lin, L.F.; Ni, B.R.; Lin, H.M.; Zhang, M.; Li, X.; Yin, X.; Qu, C.; Ni, J. Traditional usages, botany, phytochemistry, pharmacology and toxicology of Polygonum multiflorum Thunb.: A review. J. Ethnopharmacol. 2015, 159, 158–183. [Google Scholar] [CrossRef]
- Chen, Q.; Zhang, S.Z.; Ying, H.Z.; Dai, X.Y.; Li, X.-x.; Yu, C.-h.; Ye, H.-c. Chemical characterization and immunostimulatory effects of a polysaccharide from Polygoni Multiflori Radix Praeparata in cyclophosphamide-induced anemic mice. Carbohydr. Polym. 2012, 88, 1476–1482. [Google Scholar] [CrossRef]
- Thiruvengadam, M.; Praveen, N.; Kim, E.-H.; Kim, S.-H.; Chung, I.-M. Production of anthraquinones, phenolic compounds and biological activities from hairy root cultures of Polygonum multiflorum Thunb. Protoplasma 2014, 251, 555–566. [Google Scholar] [CrossRef] [PubMed]
- Chen, L.L.; Huang, X.J.; Li, M.M.; Ou, G.M.; Zhao, B.-X.; Chen, M.-F.; Zhang, Q.-W.; Wang, Y.; Ye, W.-C. Polygonflavanol A, a novel flavonostilbene glycoside from the roots of Polygonum multiflorum. Phytochem. Lett. 2012, 5, 756–760. [Google Scholar] [CrossRef]
- Yang, J.B.; Li, L.; Zhong, D.; Yu, W.; Xing-Chao, G.; Bo, L.; Shuang-Cheng, M.; Ai-Guo, W.; Ya-Lun, S. Polygonumnolides C1-C4; minor dianthrone glycosides from the roots of Polygonum multiflorum Thunb. J. Asian Nat. Prod. Res. 2016, 18, 813–822. [Google Scholar] [CrossRef] [PubMed]
- Lv, L.S.; Tang, J. Structure-activity relationship of stilbene glycoside from Polygonum multiflorum Thunb. and resveratrol. Food Mach. 2009, 25, 57–58. [Google Scholar]
- Lv, L.-S.; Gu, X.H.; Ho, C.T.; Tang, J. Stilbene glycosides from the roots of Polygonum multiflorum thunb and their in vitro antioxidant activities. J. Food Lipids 2006, 13, 131–144. [Google Scholar] [CrossRef]
- Park, S.J.; Jin, M.L.; An, H.K.; Kim, K.-S.; Ko, M.J.; Kim, C.M.; Choi, Y.W.; Lee, Y.-C. Emodin induces neurite outgrowth through PI3K/Akt/GSK-3β-mediated signaling pathways in Neuro2a cells. Neurosci. Lett. 2015, 588, 101–107. [Google Scholar] [CrossRef]
- Choi, S.G.; Kim, J.; Sung, N.D.; Son, K.-H.; Cheon, H.-G.; Kim, K.-R.; Kwon, B.-M. Anthraquinones, Cdc25B phosphatase inhibitors, isolated from the roots of Polygonum multiflorum Thunb. Nat. Prod. Res. 2007, 21, 487–493. [Google Scholar] [CrossRef] [PubMed]
- Wang, H.Y.; Song, L.X.; Feng, S.B.; Liu, Y.; Zuo, G.; Lai, F.; He, G.; Chen, M.; Huang, D. Characterization of Proanthocyanidins in Stems of Polygonum multiflorum Thunb as Strong Starch Hydrolase Inhibitors. Molecules 2013, 18, 2255–2265. [Google Scholar] [CrossRef] [Green Version]
- Lei, X.; Chen, J.; Ren, J.T.; Li, Y.; Jingbo, Z.; Wei, M.; Li, Z.; Wenke, Z.; Guihua, T.; Hongcai, S. Liver Damage Associated with Polygonum multiflorum Thunb.: A Systematic Review of Case Reports and Case Series. Evid. Based Complement. Altern. Med. Ecam 2015, 2015, 459749. [Google Scholar] [CrossRef] [PubMed] [Green Version]
- Cárdenas, A.; Restrepo, J.C.; Sierra, F.; Correa, G. Acute Hepatitis Due to Shen-Min: A Herbal Product Derived from Polygonum multiflorum. J. Clin. Gastroenterol. 2006, 40, 629–632. [Google Scholar] [CrossRef] [PubMed]
- Victor, J.; Navarro, M.D.; John, R.; Senior, M.D. Drug-Related Hepatotoxicity. N. Engl. J. Med. 2006, 354, 731–739. [Google Scholar]
- Teschke, R.; Wolff, A.; Frenzel, C.; Schulze, J. Review article: Herbal hepatotoxicity an update on traditional Chinese medicine preparations. Aliment. Pharmacol. Ther. 2014, 40, 32–50. [Google Scholar] [CrossRef] [PubMed]
- Bai, J.R.; Zhang, Y.S.; Tang, C.; Hou, Y.; Xiaopeng, A.; Xiaorui, C.; Yi, Z.; Xiaobo, W.; Xianli, M. Gallic acid: Pharmacological activities and molecular mechanisms involved in inflammation-related diseases. Biomed. Pharmacother. 2021, 133, 110985. [Google Scholar] [CrossRef] [PubMed]
- Berman, A.Y.; Motechin, R.A.; Wiesenfeld, M.Y.; Holz, M.K. The therapeutic potential of resveratrol: A review of clinical trials. NPJ Precis. Oncol. 2017, 1, 2783–2840. [Google Scholar] [CrossRef] [PubMed] [Green Version]
- Vanderperren, B.; Rizzo, M.; Angenot, L.; Haufroid, V.; Jadoul, M.; Hantson, P. Acute Liver Failure with Renal Impairment Related to the Abuse of Senna Anthraquinone Glycosides. Ann. Pharmacother. 2005, 39, 1353–1357. [Google Scholar] [CrossRef] [PubMed]
- Wang, J.B.; Zhao, Y.L.; Xiao, X.H.; Li, H.; Zhao, H.; Zhang, P.; Jin, C. Assessment of the renal protection and hepatotoxicity of rhubarb extract in rats. J. Ethnopharmacol. 2009, 124, 18–25. [Google Scholar] [CrossRef]
- Li, C.Y.; Niu, M.; Bai, Z.F.; Zhang, C.E.; Zhao, Y.L.; Li, R.; Tu, C.; Li, H.; Jing, J.; Meng, Y.; et al. Screening for main components associated with the idiosyncratic hepatotoxicity of a tonic herb, Polygonum multiflorum. Front. Med. 2017, 11, 253–265. [Google Scholar] [CrossRef] [PubMed]
- Zhang, L.; Liu, X.; Tu, C.; Li, C.; Song, D.; Zhu, J.; Zhou, Y.; Wang, X.; Li, R.; Xiao, X.; et al. Components synergy between stilbenes and emodin derivatives contributes to hepatotoxicity induced by Polygonum multiflorum. Xenobiotica 2020, 50, 515–525. [Google Scholar] [CrossRef] [PubMed]
- Yu, J.; Xie, J.; Mao, X.J.; Wang, M.J.; Li, N.; Wang, J.; Zhaori, G.-t.; Zhao, R.-h. Hepatoxicity of major constituents and extractions of Radix Polygoni Multiflori and Radix Polygoni Multiflori Praeparata. J. Ethnopharmacol. 2011, 137, 1291–1299. [Google Scholar] [CrossRef]
- Li, C.L.; Ma, J.; Zheng, L.; Li, H.; Li, P. Determination of emodin in L-02 cells and cell culture media with liquid chromatography–mass spectrometry: Application to a cellular toxicokinetic study. J. Pharm. Biomed. Anal. 2012, 71, 71–78. [Google Scholar] [CrossRef] [PubMed]
- Liu, Y.; Wang, Q.; Yang, J.B. Polygonum multiflorum Thunb.: A Review on Chemical Analysis, Processing Mechanism, Quality Evaluation, and Hepatotoxicity. Front. Pharmacol. 2018, 9, 364. [Google Scholar] [CrossRef] [PubMed] [Green Version]
- Wu, X.Q.; Chen, X.Z.; Huang, Q.C.; Fang, D.M.; Li, G.; Zhang, G. Toxicity of raw and processed roots of Polygonum multiflorum. Fitoterapia 2012, 83, 469–475. [Google Scholar] [CrossRef] [PubMed]
- Cui, Y.; Chen, L.J.; Huang, T.; Ying, J.; Li, J. The pharmacology, toxicology and therapeutic potential of anthraquinone derivative emodin. Chin. J. Nat. Med. 2020, 18, 425–435. [Google Scholar] [CrossRef]
- Lee, B.H.; Huang, Y.Y.; Duh, P.D.; Wu, S.C. Hepatoprotection of emodin and Polygonum multiflorum against CCl4-induced liver injury. Pharm. Biol. 2012, 50, 351–359. [Google Scholar] [CrossRef] [PubMed]
- Xu, X.C.; Lin, S.Z. Chinese herb Radix Polygoni Multiflori as a therapeutic drug for liver cirrhosis in mice. J. Ethnopharmacol. 2007, 114, 199–206. [Google Scholar]
- Xu, X.C.; Lin, S.Z. Experimental advance of applying emodin for prevention and treatment of liver diseases. Chin. J. Integr. Tradit. West. Med. 2008, 28, 91–93. [Google Scholar]
- He, Y.R.; Song, M.Z.; Wang, W.G.; Lin, P.; Li, Y.; Gu, W.; Yu, J.; Zhao, R. Chronic toxicity of both raw and processed Polygoni Multiflori Radix on rats. J. Chin. Pharm. Sci. 2016, 25, 46–56. [Google Scholar]
- Lin, L.F.; Lin, H.M.; Zhang, M.; Ni, B.R.; Yin, X.B.; Qu, C.H.; Jian, N. A novel method to analyze hepatotoxic components in Polygonum multiflorum using ultra-performance liquid chromatography-quadrupole time-of-flight mass spectrometry. J. Hazard. Mater. 2015, 299. [Google Scholar] [CrossRef] [PubMed]
- Büchter, C.; Zhao, L.; Havermann, S.; Honnen, S.; Fritz, G.; Proksch, P.; Wätje, W. TSG (2,3,5,4′-Tetrahydroxystilbene-2-O-β-d-glucoside) from the Chinese Herb Polygonum multiflorum Increases Life Span and Stress Resistance of Caenorhabditis elegans. Perspect. Vasc. Surg. Endovasc. Ther. 2015, 2015. [Google Scholar]
- Qiao, S.Y.; Zhang, C.P.; Gao, X.Q.; Qiao, X.H.; Huang, L.Z. Effects of 2,3,5,4′-tetrahydroxystilbene-2-O-β-d-glucoside on the expression of NF-κB/IκB and apoptosis of HUVECs induced by H2O2. Chin. Pharmacol. Bull. 2011, 27, 1353–1357. [Google Scholar]
- Hu, X.; Gao, J.; Li, Y.; Wang, J.; Wang, L. Effects of Stilbene Glucoside From Polygonum Multiflorum Thunb. on Hepatic Enzymes and Serum Albumin of Rats. Liaoning J. Tradit. Chin. Med. 2011, 38, 988–990. [Google Scholar]
- Li, J.K.; Jiang, Z.Y.; Li, R.; Tan, J. Investigation of antioxidant activities and free radical scavenging of flavonoids in leaves of polygonum multiflorum thumb. China Food Addit. 2012, 69–74. [Google Scholar]
- Wang, R.; Zhang, H.; Wang, Y.; Song, F.; Yuan, Y. Inhibitory effects of quercetin on the progression of liver fibrosis through the regulation of NF-κB/IκBα, p38 MAPK, and Bcl-2/Bax signaling. Int. Immunopharmacol. 2017, 47, 126–133. [Google Scholar] [CrossRef] [PubMed]
- Yang, J.B.; Tian, J.Y.; Dai, Z.; Ye, F.; Ma, S.; Wang, A. a -Glucosidase inhibitors extracted from the roots of Polygonum multiflorum Thunb. Fitoterapia 2017, 117, 65–70. [Google Scholar] [CrossRef] [PubMed]
- Quan, Z.Y.; Li, D.K.; Li, Y.Q.; Wang, C.Y.; Zhou, M.; Hu, Y.H.; Sun, Z.X. CYP1A2 Depletion by shRNA Enhances Hepatotoxicity of Extract of Polygoni Multiflori Radix and Related Monomer Compositions. Chin. J. Pharmacovigil. 2021, 18, 213–219. [Google Scholar]
- Yessica, Z.C.; Andonegui-Elguera, M.A.; Ariadna, A.J.; Edson, A.S.; Karina, M.F.; Erika, R.P.; Cristina, V.M.; Clemente, I.; Valentín, M.L.; Marwin, G.; et al. The enzymatic poly(gallic acid) reduces pro-inflammatory cytokines in vitro, a potential application in inflammatory diseases. Inflammation 2020, 44, 174–185. [Google Scholar]
- Xue, X.Y.; Quan, Y.Y.; Gong, L.H.; Gong, X.H.; Li, Y. A review of the processed Polygonum multiflorum (Thunb.) for hepatoprotection: Clinical use, pharmacology and toxicology. J. Ethnopharmacol. 2020, 261. [Google Scholar] [CrossRef]
- Ruan, L.; Li, M.; Xing, Y.; Hong, W.; Chen, C.; Chen, J.; Xu, H.; Zhao, W.-L.; Wang, J.-S. Hepatotoxicity and hepatoprotection of Polygonum multiflorum Thund. as two sides of the same biological coin. J. Ethnopharmacol. 2019, 230, 81–94. [Google Scholar] [CrossRef] [PubMed]











| NO. | RT (min) | Identification | Molecular Formula | Measured Mass [M−H]− | Accuracy Mass[M−H]− | Error (ppm) | Characteristic Fragment Ions | Source |
|---|---|---|---|---|---|---|---|---|
| Anthraquinones and derivatives | ||||||||
| 30 | 5.88 | Physcion-8-O-(6’-O- malonyl)-hexose | C26H26O12 | 529.13391 | 529.13405 | −0.269 | 366.07205[M-H-C6H11O5]− 348.06122[M-H-C6H11O5-H2O]− 320.06482[M-H-C6H11O5-H2O-CO]− | PMRPW, PMRPE |
| 33 | 6.09 | Rumejaposide D a | C21H22O11 | 449.10751 | 449.10784 | −0.730 | 287.04864[M-H-C6H10O5]− 269.04453[M-H-C6H10O5-H2O]− 259.06021[M-H-C6H10O5-CO]− | PMRPW, PMRPE |
| 57 | 8.41 | Di-emodin-Di-glucoside a | C42H42O18 | 833.22919 | 833.22874 | 0.539 | 671.17426[M-H-C6H10O5]− 509.12094[M-H-2C6H10O5]− 253.04974[M-H-2C6H10O5-C15H12O4]− | PMRPW |
| 58 | 8.86 | Isomer emodin-8-O-(6’-O-acetyl)-β-d- glucoside | C23H22O11 | 473.10638 | 473.10784 | −3.081 | 311.05423[M-H-C6H10O5]− 283.06085[M-H-C6H10O5-CO]− 255.06544[M-H-C6H10O5-2CO]− | PMRPW, PMRPE |
| 77 | 10.83 | Citreorosein-O-glucoside a | C21H20O11 | 447.09048 | 447.09219 | −3.820 | 300.02811[M-H-C6H10O4]− 268.03757[M-H-C6H10O4-2O]− 240.04250[M-H-C6H10O4-CO]− | PMRPW, PMRPE |
| 78 | 10.95 | Chrysophanol b | C15H10O4 | 253.05020 | 253.04954 | 2.627 | 225.05373[M-H-CO]− 197.56078[M-H-2CO]− 181.06459[M-H-CO2-CO]− | PMRPW, PMRPE |
| 84 | 11.97 | 2-Acetylemodin-8-O-β-d-glucoside | C23H22O11 | 473.10583 | 473.10784 | −4.424 | 311.05438[M-H-C6H10O5]− 269.04575[M-H-C6H10O5-C2H2O]− 241.04889[M-H-C6H10O5-C2H2O-CO]− | PMRPW, PMRPE |
| 85 | 12.12 | Emodin-8-O-β-d-glucoside b | C21H20O10 | 431.09637 | 431.09727 | −2.095 | 269.04520[M-H-C6H10O5]− 241.04926[M-H-C6H10O5-CO]− 225.05426[M-H-C6H10O5-CO2]− | PMRPW, PMRPE |
| 86 | 12.35 | Emodin-O-glucoside-gallate a | C28H24O14 | 583.10736 | 583.10823 | −0.872 | 269.04562[M-H-C6H10O5-C7H4O4]− 225.05466[M-H-C6H10O5-C7H4O4-CO2]− | PMRPE |
| 87 | 13.00 | 6-Carboxyl emodin a | C16H10O7 | 313.03448 | 313.03428 | 0.642 | 269.04544[M-H-CO2]− 241.05034[M-H-CO2-CO]− 225.95458[M-H-2CO2]− | PMRPW, PMRPE |
| 89 | 13.54 | Physcion-8-O-β-d-glucoside | C22H22O10 | 445.11273 | 445.11292 | −0.434 | 283.06104[M-H-C6H10O5]− 255.06458[M-H-C6H10O5-CO]− 239.06963[M-H-C6H10O5-CO2]− | PMRPW, PMRPE |
| 90 | 13.65 | Physcion b | C16H12O5 | 283.06113 | 283.06010 | 3.639 | 268.03760[M-H-CH3]− 240.04179[M-H-CH3-CO]− 212.04668[M-H-CH3-2CO]− | PMRPW, PMRPE |
| 91 | 14.09 | Citreorosein | C15H10O6 | 285.04041 | 285.03936 | 3.668 | 257.04422[M-H-CO]− 241.04965[M-H-CO2]− 227[M-H-CO-CH2O]− | PMRPW, PMRPE |
| 92 | 14.59 | Chrysophanol anthrone a | C15H12O3 | 239.07027 | 239.06989 | −1.593 | 210.89307[M-H-CO]− 182.89648[M-H-2CO]− | PMRPE |
| 93 | 14.69 | Questinol | C16H12O6 | 299.05493 | 299.05501 | −0.283 | 268.03696[M-H-CH3O]− 253.04982[M-H-CH3O-CH3]− 240.04204[M-H-CH3O-CO]− | PMRPW, PMRPE |
| 94 | 14.87 | Hydroxyl-rhein a | C15H8O7 | 299.01867 | 299.01863 | 0.070 | 255.02777[M-H-CO2]− 227.03313[M-H-CO2-CO]− 199.03928[M-H-CO2-2CO]− | PMRPW, PMRPE |
| 95 | 15.94 | Digitolutein a | C16H12O4 | 267.06601 | 267.06519 | 3.088 | 224.04675[M-H-CO-CH3]− 220.53163[M-H-CO-H2O]− 149.02373[M-H-2CO-CH2O-CH2-H2O]− | PMRPE |
| 96 | 16.13 | Isomer Citreorosein | C15H10O6 | 285.04041 | 285.03936 | 3.668 | 257.04462[M-H-CO]− 241.04955[M-H-CO2]− 211.03883[M-H-CO2-CH2O]− | PMRPW, PMRPE |
| 98 | 17.02 | Emodin anthrone a | C15H12O4 | 255.06572 | 255.06519 | 2.096 | 240.04176[M-H-CH3]− 225.05334[M-H-CH2O]− 212.04684[M-H-CH3-CO]− | PMRPW, PMRPE |
| 99 | 17.05 | Isomer physcion | C16H12O5 | 283.06067 | 283.06010 | 2.014 | 240.04173[M-H-CH3-CO]− 268.03635[M-H-CH3]− | PMRPW, PMRPE |
| 100 | 18.20 | Emodin-3- ethyl ether | C17H14O5 | 297.07452 | 297.07575 | 0.606 | 282.05472[M-H-CH3]− 269.08282[M-H-CO]− 254.05786[M-H-C2H5-CH2]− | PMRPW, PMRPE |
| 101 | 18.86 | 2-Acetylemodin | C17H12O6 | 311.05408 | 311.05501 | −3.004 | 296.03165[M-H-CH3]− 283.06100[M-H-CO]− 269.04504[M-H-C2H2O]− | PMRPW, PMRPE |
| 102 | 19.52 | Isomer 2-acetylemodin | C17H12O6 | 311.05426 | 311.05501 | −2.426 | 283.06119[M-H-CO]− 269.06583[M-H-C2H2O]− 240.04160[M-H-2CO-CH3]− | PMRPW, PMRPE |
| 103 | 20.37 | Emodin b | C15H10O5 | 269.04514 | 269.04445 | 2.565 | 241.04941[M-H-CO]− 213.05467[M-H-2CO]− 225.05450[M-H-CO2]− | PMRPW, PMRPE |
| Stilbenes and derivatives | ||||||||
| 29 | 5.24 | Polygonumosides C | C40H44O19 | 827.23828 | 827.23931 | −1.239 | 421.11276[M-H-C20H22O9]− 259.06009[M-H-C20H22O9-C6H10O5]− 241.04927[M-H-C20H22O9- C6H10O5-H2O]− | PMRPW |
| 37 | 6.69 | Isomer 3,4,5,4’-tetrahydroxystilbene | C14H12O4 | 243.06465 | 243.06519 | −2.202 | 225.05467[M-H-H2O]− 215.06952[M-H-CO]− 197.05991[M-H-H2O-CO]− | PMRPW, PMRPE |
| 41 | 7.07 | Rhapontin a | C21H24O9 | 419.13242 | 419.13366 | −2.955 | 257.07297[M-H-C6H10O5]− 239.03387[M-H-C6H10O5-H2O]− 227.03279[M-H-C6H10O5-CH2O]− | PMRPW, PMRPE |
| 44 | 7.31 | Tetrahydroxystilbene-O-di-glucoside | C26H32O14 | 567.17004 | 567.17083 | −1.396 | 243.06516[M-H-2C6H10O5]− 225.05428[M-H-2C6H10O5-H2O]− 197.06007[M-H-2C6H10O5-H2O-CO]− | PMRPW, PMRPE |
| 45 | 7.38 | β-d-glucoside,4-[2,3-dihydro-3-(hydroxymethyl)-5-(3-hydroxypropyl)-7-methoxy-2-yl]-2-methoxyphenyl a | C26H34O11 | 521.20062 | 521.20174 | −2.145 | 359.147229[M-H-C6H10O5]− 313.10608[M-H-C6H10O5-H2O-CO]− | PMRPW, PMRPE |
| 47 | 7.76 | Resveratrol a | C14H12O3 | 227.07057 | 227.07027 | 1.318 | 185.05931[M-H-H2O-CH2]− 170.97986[M-H-H2O-2CH2]− 143.04947[M-H-C4H4O2]− | PMRPW, PMRPE |
| 48 | 7.67 | Isomer Tetrahydroxystilbene-O-di-glucoside | C26H32O14 | 567.17059 | 567.17083 | −0.427 | 243.06509[M-H-2C6H10O5]− 225.05261[M-H-2C6H10O5-H2O]− | PMRPW, PMRPE |
| 50 | 7.89 | 3,4,5,4’-Tetrahydroxystilbene | C14H12O4 | 243.06517 | 243.06519 | −0.063 | 225.05469[M-H-H2O]− 197.05965[M-H-H2O-CO]− 169.06514[M-H-H2O-2CO]− | PMRPW, PMRPE |
| 52 | 7.94 | 2, 3, 5, 4′-Tetrahydroxystilbene-2-O-β-d-glucoside b | C20H22O9 | 405.11670 | 405.11801 | −0.885 | 243.06503[M-H-C6H10O5]− 225.05450[M-H-C6H10O5-H2O]− 215.07039[M-H-C6H10O5-CO]− | PMRPW, PMRPE |
| 56 | 8.32 | Multiflorumisides A a | C40H44O18 | 811.24438 | 811.24439 | −0.013 | 649.19263[M-H-C6H10O5]− 405.11447[M-H-C20H22O9]− 243.06512[M-H-C20H22O9-C6H10O5]− | PMRPW, PMRPE |
| 61 | 9.17 | Polygonumoside A | C27H24O13 | 555.11487 | 555.11332 | 2.797 | 393.05923[M-H-C6H10O5]− 349.07019[M-H-C6H10O5-CO2]− 300.99774[M-H-C6H10O5-C6H4O]− | PMRPW, PMRPE |
| 64 | 9.53 | Isomer polygonumoside A | C27H24O13 | 555.11432 | 555.11332 | 1.807 | 393.05942[M-H-C6H10O5]− 349.06873[M-H-C6H10O5-CO2]− 300.99670[M-H-C6H10O5-C6H4O]− | PMRPW, PMRPE |
| 66 | 9.56 | 2,3,5,4′-Tetrahydroxystilbene-O-(malonyl)- β-d-glucoside | C23H24O12 | 491.11929 | 491.11840 | 1.807 | 329.09622[M-H-C6H10O5]− 313.03226[M-H-C6H10O5-H2O]− 285.04071[M-H-C6H10O5-H2O-CO]− | PMRPW, PMRPE |
| 67 | 9.57 | Tetrahydroxystilbene-O-(galloyl)-glucoside | C27H26O13 | 557.12933 | 557.12897 | 0.651 | 405.05499[M-H-C7H4O4]− 243.06503[M-H-C7H4O4-C6H10O5]− 225.05434[M-H-C7H4O4-C6H10O5-H2O]− | PMRPW, PMRPE |
| 68 | 9.87 | 2,3,5,4’-Tetrahydroxystilbene-2-O-(2”-O-acetyl)-β-d-glucoside | C22H24O10 | 447.12930 | 447.12857 | 1.625 | 243.06511[M-H-C6H10O5-C2H2O]− 225.05455[M-H-C6H10O5-C2H2O-H2O]− 284.08289[M-H-C6H11O5]− | PMRPE |
| 69 | 9.95 | Piceatannol-3-O-β-d-(6″-O-galloyl)- glucoside | C27H26O13 | 557.12817 | 557.12897 | −1.431 | 405.11728[M-H-C7H4O4]− 243.06511[M-H-C7H4O4-C6H10O5]− 225.05495[M-H-C7H4O4-C6H10O5-H2O]− | PMRPW, PMRPE |
| 73 | 10.70 | Tetrahydroxystilbene-O-(caffeoyl)-glucoside a | C29H28O12 | 567.14502 | 567.14970 | −8.256 | 243.06516[M-H-C6H10O5-C9H6O3]− | PMRPE |
| 75 | 10.81 | Polydatin a b | C20H22O8 | 389.12457 | 389.12309 | 0.984 | 227.07018[M-H-C6H10O5]− 209.05940[M-H-C6H10O5-H2O]− 199.07462[M-H-C6H10O5-CO]− | PMRPW, PMRPE |
| 76 | 10.83 | Isorhapontigenin a | C15H14O4 | 257.08127 | 257.08084 | 1.691 | 242.05462[M-H-CH3]− 187.56930[M-H-CH2-2CO]− 136.18150[M-H-C7H5O2]− | PMRPW, PMRPE |
| 81 | 11.39 | 2,3,5,4′-Tetrahydroxystilbene-2-O-β-d-(2″-O-coumaroyl)-glucoside | C29H28O11 | 551.15112 | 551.15479 | −3.668 | 389.10031[M-H-C6H10O5]− 225.05389[M-H-C6H10O5-C9H6O2-H2O]− | PMRPE |
| 88 | 13.17 | Tetrahydroxystilbene-2-(feruloyl)- glucoside | C30H30O12 | 581.16583 | 581.16535 | 0.821 | 419.11136[M-H-C6H10O5]− 405.21970[M-H-C10H8O3]− 295.05981[M-H-C6H10O5-C6H4O3]− | PMRPW, PMRPE |
| Flavonoids and derivatives | ||||||||
| 18 | 3.63 | Liquiritigenin-glucoside-xyl/ara | C26H30O13 | 549.1604 | 549.16027 | 0.023 | 387.10541[M-H-C6H10O5]− 369.09552[M-H-C6H10O5-H2O]− 279.06604[M-H-C6H10O5-C5H8O4]− | PMRPW, PMRPE |
| 28 | 4.79 | Catechin | C15H14O6 | 289.07111 | 289.07066 | 1.541 | 151.03955[M-H-C7H5O3]− 137.02376[M-H-C8H7O3]− 123.04458[M-H-C7H5O3-CO]− 109.02898[M-H-C8H7O3-C2H2O]− | PMRPW, PMRPE |
| 31 | 5.93 | Epicatechin | C15H14O6 | 289.07080 | 289.07066 | 0.468 | 151.03955[M-H-C7H5O3]− 137.02376[M-H-C8H7O3]− 123.04458[M-H-C7H5O3-CO]− 109.02898[M-H-C8H7O3-C2H2O]− | PMRPW, PMRPE |
| 35 | 6.36 | Acetyl-epicatechin-O-glucoside a | C23H26O12 | 493.13406 | 493.13405 | 0.015 | 330.07205[M-H-C6H11O5]− 255.06543[M-H-C6H10O5-C2H2O2-H2O]− 227.07016[M-H-C6H10O5-C2H2O2-H2O-CO]− | PMRPW, PMRPE |
| 39 | 7.04 | Hesperetin-7-O-glucoside a | C22H24O11 | 463.12482 | 463.12349 | 2.876 | 419.13446[M-H-CO2]− 256.07315[M-H-CO2-C6H11O5]− | PMRPW, PMRPE |
| 49 | 7.73 | Trihydroxy-dimethoxychalcone-O-glucoside | C23H26O11 | 477.13867 | 477.13914 | −0.981 | 315.08606[M-H-C6H10O5]− 297.07486[M-H-C6H10O5-H2O]− 243.06522[M-H-C6H10O5-2CO-O]− | PMRPW, PMRPE |
| 51 | 7.90 | Epicatechin-O-gallate | C22H18O10 | 441.08109 | 441.08162 | −3.706 | 289.07086[M-H-C7H5O4]− 243.06519[M-H-C7H5O4-H2O-CO]−225.05489[M-H-C7H5O4-CO2]− 169.01367[M-H-C15H13O5]− | PMRPE |
| 55 | 8.19 | Cirsimarin a | C23H24O11 | 475.12415 | 475.12349 | 1.394 | 313.06976[M-H-C6H10O5]− 285.07596[M-H-C6H10O5-CO]− 242.05670[M-H-C6H10O5-CO2-2CH2]− | PMRPW, PMRPE |
| 59 | 9.03 | Epimedium | C20H20O7 | 371.11102 | 371.11253 | −4.067 | 281.08215[M-H-C4H10O2]− 161.02383[M-H-C4H8O2-C7H4O2]− | PMRPE |
| 60 | 9.11 | Kaempferol-3-β-d-glucoside | C21H20O11 | 447.09103 | 447.09219 | −3.529 | 285.03925[M-H-C6H10O5]− 257.04456[M-H-C6H10O5-CO]− 229.04724[M-H-C6H10O5-CO]− | PMRPW, PMRPE |
| 63 | 9.49 | Quercetin | C15H10O7 | 301.03424 | 301.03428 | −0.130 | 283.03264[M-H-H2O]− 273.04050[M-H-CO]− 255.02896[M-H-CO-H2O]− | PMRPW, PMRPE |
| 65 | 9.55 | Kaempferol a | C15H10O6 | 285.04022 | 285.03936 | 3.001 | 241.04958[M-H-CO2]− 257.67783[M-H-CO]− | PMRPW, PMRPE |
| 70 | 10.27 | Kaempferol-O-glucoside-rhamnose a | C27H30O15 | 593.14893 | 593.15010 | −1.967 | 269.04529[M-H-2C6H10O5]− 225.05469[M-H-2C6H10O5-CO2]− 241.04984[M-H-2C6H10O5-CO]− | PMRPW, PMRPE |
| 74 | 10.76 | Dihydroquercetin | C15H12O7 | 303.04868 | 303.04929 | −2.109 | 151.03946[M-H-CO2-C6H4O2]− 153.01883[M-H-C8H7O3]− 125.02396[M-H-C8H7O3-CO]− | PMRPW, PMRPE |
| Phenolic acids and derivatives | ||||||||
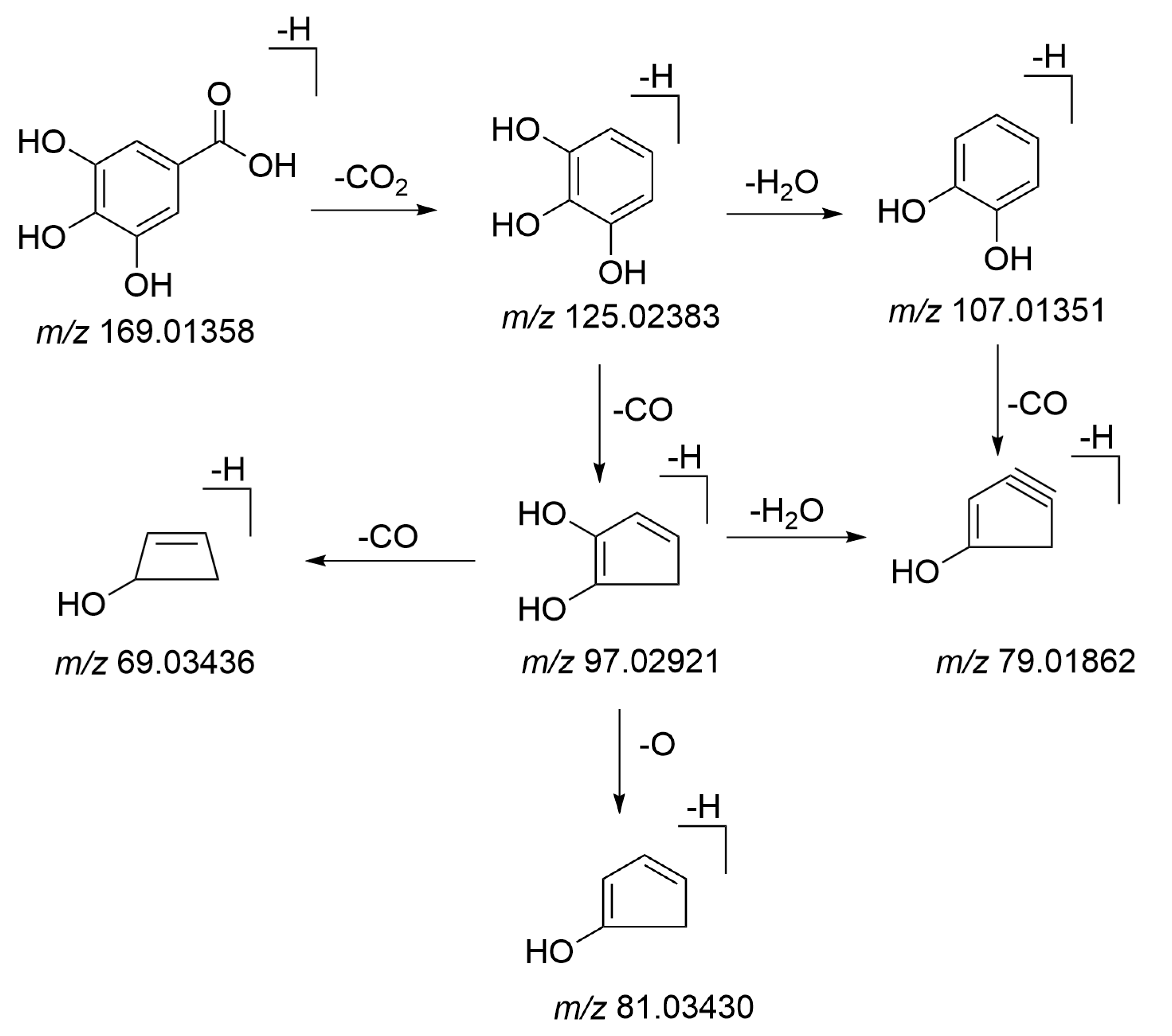
| 9 | 1.99 | Gallic acid b | C7H6O5 | 169.01358 | 169.01315 | 2.546 | 125.02383[M-H-CO2]− 107.01351[M-H-CO2-H2O]− 97.02921[M-H-CO2-CO]− | PMRPW, PMRPE |
| 10 | 2.06 | Gallic acid-O- glucoside | C13H16O10 | 331.06595 | 331.06597 | −0.070 | 169.01357[M-H-C6H10O5]− 125.02380[M-H-C6H10O5-CO2]− | PMRPW, PMRPE |
| 12 | 2.75 | Dihydroxy-benzoic acid a | C7H6O4 | 153.01859 | 153.01824 | 2.319 | 125.02429[M-H-CO]− 109.02917[M-H-CO2]− | PMRPW, PMRPE |
| 14 | 2.83 | Galloyl-glycerol a | C10H12O7 | 243.04993 | 243.04993 | 0.004 | 169.01321[M-H-C3H6O2]− 125.02386[M-H-C3H6O2-CO2]− 118.96574[M-H-C3H6O2-3O]− | PMRPW, PMRPE |
| 15 | 2.90 | Vanillic acid a | C8H8O4 | 167.03433 | 167.03389 | −0.331 | 137.02341[M-H-CH2O]− 123.04459[M-H-CO2]− | PMRPW, PMRPE |
| 16 | 3.30 | Isomer Dihydroxy- benzoic acid | C7H6O4 | 153.01859 | 153.01824 | −0.230 | 137.45282[M-H-O]− 125.02434[M-H-CO]− 109.02898[M-H-CO2]− | PMRPW, PMRPE |
| 17 | 3.34 | Protocatechuic acid-O-glucoside | C13H16O9 | 315.06995 | 315.07106 | −3.518 | 153.01865[M-H-C6H10O5]− 109.02901[M-H-C6H10O5-CO2]− | PMRPW, PMRPE |
| 19 | 3.71 | Caffeic acid a | C9H8O4 | 179.03412 | 179.03389 | 2.093 | 135.04448[M-H-CO2]− 107.04977[M-H-C3H4O2]− | PMRPW, PMRPE |
| 20 | 3.75 | 1-(5-Methylfuran-2-yl) ethanone a | C7H8O2 | 123.04462 | 123.04406 | 4.584 | 108.02116[M-H-CH3]− 95.01338[M-H-CO]− 79.05503[M-H-CO2]− | PMRPW, PMRPE |
| 21 | 4.16 | Veratric acid a | C9H10O4 | 181.05014 | 181.04954 | 2.567 | 137.02396[M-H-CO2]− 122.03658[M-H-2CH2O]− 107.04949[M-H-CO-CH2O]− | PMRPW, PMRPE |
| 25 | 4.56 | 3-Hydroxybenzoic acid | C7H6O3 | 137.02371 | 137.02332 | 2.842 | 119.01297[M-H-H2O]− 93.03405[M-H-CO2]− | PMRPW, PMRPE |
| 26 | 4.75 | Coumaric acid a | C9H8O3 | 163.03937 | 163.03897 | 2.4500 | 119.04978[M-H-CO2]− 134.91408[M-H-CO]− 107.04973[M-H-C2O2]− | PMRPW, PMRPE |
| 27 | 4.77 | 2-Methyl gallic acid a | C8H8O5 | 183.02893 | 183.02880 | 0.711 | 168.00560[M-H-CH3]− 139.00296[M-H-CO2]− 111.00824[M-H-CO2-CO]− | PMRPW, PMRPE |
| 34 | 6.24 | Methyl gallate a | C8H8O4 | 167.03424 | 167.03389 | 2.124 | 151.00310[M-H-CH3]− 125.02368[M-H-C2H2O]−107.01314[M-H-C2H2O2]− | PMRPW, PMRPE |
| 40 | 7.06 | Syringic acid a | C9H10O5 | 197.04417 | 197.04445 | −1.420 | 169.01370[M-H-CO]− 125.02389[M-H-CO-CO2]− | PMRPE |
| Others | ||||||||
| 1 | 0.73 | L-Arginine | C6H14N4O2 | 173.10316 | 173.10330 | −0.821 | 131.08197[M-H-CN2H2]− 114.05562[M-H-NH-CO2]− | PMRPW, PMRPE |
| 2 | 0.79 | Glucose | C6H12O6 | 179.05534 | 179.05501 | 1.818 | 161.06087[M-H-H2O]− 131.03432[M-H-H2O-CH2O]− 85.02903[M-H-CH2O-4O]− | PMRPW, PMRPE |
| 3 | 0.82 | L-Threonine | C4H9NO3 | 118.05041 | 118.04987 | 4.577 | 74.02446[M-H-CO2]− 59.01369[M-H-CO2-CH3]− | PMRPW, PMRPE |
| 4 | 0.85 | (2S)-2-Hydroxybutanedioic acid | C4H6O5 | 133.01361 | 133.01315 | 3.460 | 115.00312[M-H-H2O]− 89.02412[M-H-CO2]− 71.01358[M-H-H2O-CO2]− | PMRPW, PMRPE |
| 5 | 1.29 | Citric acid a | C6H8O7 | 191.01889 | 191.01863 | 1.366 | 129.01921[M-H-CO2-H2O]− 111.00829[M-H-CO2-2H2O]− 87.00838[M-H-2CO2-O]− | PMRPW, PMRPE |
| 6 | 1.39 | L-Tyrosine a | C9H11NO3 | 180.06575 | 180.06552 | 1.279 | 163.03926[M-H-OH]− 137.02368[M-H-NH-CO]− 119.04951[M-H-CO2-OH]− | PMRPW, PMRPE |
| 7 | 1.40 | 3-O-feruloylquinic acid a | C17H20O9 | 367.10272 | 367.10236 | 0.985 | 277.07294[M-H-COOH-CH2O-H2O]− 157.03020[M-H-C10H8O3-2OH]− | PMRPW, PMRPE |
| 8 | 1.43 | Leucine | C6H13NO2 | 130.08676 | 130.08626 | 3.881 | 85.02912[M-H-COOH]− 88.04015[M-H-3CH2]− | PMRPW, PMRPE |
| 11 | 2.50 | 3,5-Dihydroxy-2- methyl-4hydro-pyran-4-one | C6H6O4 | 141.01833 | 141.01824 | 0.673 | 112.95596[M-H-CO]− 97.02898[M-H-CO2]− 69.03445[M-H-CO2-H2O]− | PMRPW, PMRPE |
| 13 | 2.79 | 5-Hydroxymethylfurfural | C6H6O3 | 125.02386 | 125.02332 | 2.795 | 97.02918[M-H-CO]− 81.03435[M-H-CO2]− | PMRPW, PMRPE |
| 22 | 4.35 | Altechromone A a | C11H10O3 | 189.05476 | 189.05462 | 0.737 | 174.03186[M-H-CH3]− 161.06018[M-H-CO]− 146.03635[M-H-CO-CH3]− | PMRPW, PMRPE |
| 23 | 4.52 | Acetyl 1-methyl-1- acetoxyethyl peroxide a | C7H12O5 | 175.06026 | 175.06010 | 0.914 | 160.97757[M-H-CH2]− 146.96054[M-H-2CH2]− 115.03953[M-H-2CH2O]− | PMRPW, PMRPE |
| 24 | 4.56 | 2-Vinyl-1H-indole-3-carboxylic acid | C11H9NO2 | 186.05539 | 186.05496 | 2.338 | 142.06551[M-H-CO2]− 159.93617[M-H-C2H3]− 116.05013[M-H-C2H2-CO2]− | PMRPE |
| 32 | 6.01 | P-hydroxybenzal-dehyde a | C7H6O2 | 121.0289 | 121.02841 | 4.082 | 93.03405[M-H-CO]− | PMRPW, PMRPE |
| 36 | 6.54 | Vanillin a | C8H8O3 | 151.03902 | 151.03897 | 0.327 | 136.01607[M-H-CH3]− 123.04456[M-H-CO]− 107.04993[M-H-CO2]− | PMRPW, PMRPE |
| 38 | 7.03 | 6-Methoxyl-2-Acetyl-3-methyljuglone-8-O-β-d-glucoside | C20H22O10 | 421.11276 | 421.11292 | −0.388 | 259.06027[M-H-C6H10O5]− 241.04961[M-H-C6H10O5-H2O]− 213.05441[M-H-C6H10O5-H2O-CO]− | PMRPW, PMRPE |
| 42 | 7.13 | Nudiposide a | C27H36O12 | 551.21313 | 551.21230 | 1.501 | 389.15720[M-H-C6H10O5]− 359.11261[M-H-C6H10O5-2CH2O]− 341.09985[M-H-C6H10O5-2CH2O-H2O]− | PMRPW, PMRPE |
| 43 | 7.21 | (+)-lyoniresinol-2α-O-β-glucoside a | C28H38O13 | 581.22284 | 581.22287 | −0.994 | 419.16949[M-H-C6H10O5]−389.12219[M-H-C6H10O5-CH2O]−359.11096[M-H-C6H10O5-2CH2O]− | PMRPW, PMRPE |
| 46 | 7.40 | Isomer Altechromone A | C11H10O3 | 189.0547 | 189.05462 | 0.420 | 174.03166[M-H-CH3]− 161.06047[M-H-CO]− 147.04448[M-H-CO-CH2]− | PMRPW, PMRPE |
| 53 | 8.08 | Cinnamyl-galloyl-O- glucoside a | C22H22O11 | 461.10611 | 461.10784 | −3.747 | 417.11594[M-H-CO2]− 254.05766[M-H-CO2-C6H11O5]− | PMRPW, PMRPE |
| 54 | 8.11 | 2-Methyl-5-carboxymethyl-7-hydroxychromone a | C12H10O5 | 233.04443 | 233.04555 | −0.085 | 205.04994[M-H-CO]− 191.03783[M-H-CO-CH2]− 161.02485[M-H-CO-CO2]− | PMRPE |
| 62 | 9.24 | Trans-N-caffeoyltyramine a | C17H17NO4 | 298.10773 | 298.10738 | 1.159 | 135.04459[M-H-C9H7O3]− 178.04970[M-H-C8H8O]− 148.05200[M-H-C8H6O-OH]− | PMRPW, PMRPE |
| 71 | 10.30 | Noreugenin a | C10H8O4 | 191.03399 | 191.03389 | 0.549 | 149.02406[M-H-CO-CH2]− 147.04459[M-H-CO2]− | PMRPW, PMRPE |
| 72 | 10.61 | 1,2-Dihydroxypropane-1-(4-hydroxy-phenyl) a | C9H12O3 | 167.07063 | 167.07053 | 1.552 | 152.04729[M-H-CH3]− 138.92862[M-H-CO]− | PMRPW, PMRPE |
| 79 | 10.98 | N-trans-Feruloyl tyramine | C18H19NO4 | 312.12286 | 312.12303 | −0.559 | 190.05000[M-H-C7H6O2]− 178.05019[M-H-C8H6O2]− 148.05235[M-H-C9H10NO2]− | PMRPW, PMRPE |
| 80 | 11.34 | Trans-N-Feruloyl-3-O-methyldopamine | C19H21NO5 | 342.13211 | 342.13360 | −4.353 | 327.10962[M-H-CH3]− 178.05003[M-H-C9H8O3]− | PMRPW, PMRPE |
| 82 | 11.43 | Thunberginol C-6- O-β-d-glucoside a | C21H22O10 | 433.11395 | 433.11292 | 2.371 | 271.06082[M-H-C6H10O5]− 253.05016[M-H-C6H10O5-H2O]− 243.06531[M-H-C6H10O5-CO]− | PMRPW, PMRPE |
| 83 | 11.87 | Torachrysone a | C14H14O4 | 245.08078 | 245.08084 | −0.226 | 230.05690[M-H-CH3]− 215.03368[M-H-CH2O]− 159.04398[M-H-CH2O-CH2-C2H2O]− | PMRPE |
| 97 | 16.62 | 3,8-Dihydroxy-1- methoxyxanthone a | C14H10O5 | 257.04535 | 257.04445 | 3.502 | 239.03391[M-H-H2O]− 229.04854[M-H-CO]− 211.03917[M-H-CO-H2O]− | PMRPW, PMRPE |
| Peak No. | RT | Compound Name | Molecular Formula | Area | Percentage of the Area | Mechanisms of Hepatotoxicity | ||
|---|---|---|---|---|---|---|---|---|
| PMRPW | PMRPE | PMRPW | PMRPE | |||||
| 9 | 1.99 | Gallic acid | C7H6O5 | 4,237,639,440 * | 3,642,690,762 | 99.93% | 99.91% | CYP1A2 ↓; Caspase-3 ↑ |
| 28 | 4.79 | Catechin | C15H14O6 | 22,672,980 * | 16,781,588 | 95.54% | 96.05% | UGT1A6 ↓; UGT2B1 ↓ |
| 31 | 5.93 | Epicatechin | C15H14O6 | 10,315,546 * | 6,669,699 | 92.05% | 90.44% | Caspase-3 ↑; UGT1A6 ↑; UGT2B1 ↓ |
| 47 | 7.76 | Resveratrol | C14H12O3 | 5,525,111 | 6,868,739 * | 76.05% | 74.84% | Cyp7a1 ↑ |
| 52 | 7.94 | THSG | C20H22O9 | 32,436,422 | 49,753,744 * | 96.08% | 95.11% | Cyp7a1 ↑; Hmgcr ↑ CytP-450 ↓; UDP ↓ |
| 85 | 12.12 | EG | C21H20O10 | 5,266,457 | 10,448,815 * | 97.11% | 96.42% | UDP ↓; CYP2A ↓; UGT1A1 ↓; CYP3A4 ↓ |
| 90 | 13.65 | Physcion | C16H12O5 | 187,344,509 | 394,975,616 * | 94.04% | 95.77% | Cyp8b1 ↓; Cyp7a1 ↑ |
| 103 | 20.37 | Emodin | C15H10O5 | 4,512,341,510 | 773,950,089 * | 99.71% | 99.28% | CytP-50 ↓; Cyp8b1 ↓ Cyp7a1 ↑; CYP3A4 ↓ |
Publisher’s Note: MDPI stays neutral with regard to jurisdictional claims in published maps and institutional affiliations. |
© 2021 by the authors. Licensee MDPI, Basel, Switzerland. This article is an open access article distributed under the terms and conditions of the Creative Commons Attribution (CC BY) license (https://creativecommons.org/licenses/by/4.0/).
Share and Cite
Wang, S.; Sun, X.; An, S.; Sang, F.; Zhao, Y.; Yu, Z. High-Throughput Identification of Organic Compounds from Polygoni Multiflori Radix Praeparata (Zhiheshouwu) by UHPLC-Q-Exactive Orbitrap-MS. Molecules 2021, 26, 3977. https://doi.org/10.3390/molecules26133977
Wang S, Sun X, An S, Sang F, Zhao Y, Yu Z. High-Throughput Identification of Organic Compounds from Polygoni Multiflori Radix Praeparata (Zhiheshouwu) by UHPLC-Q-Exactive Orbitrap-MS. Molecules. 2021; 26(13):3977. https://doi.org/10.3390/molecules26133977
Chicago/Turabian StyleWang, Shaoyun, Xiaozhu Sun, Shuo An, Fang Sang, Yunli Zhao, and Zhiguo Yu. 2021. "High-Throughput Identification of Organic Compounds from Polygoni Multiflori Radix Praeparata (Zhiheshouwu) by UHPLC-Q-Exactive Orbitrap-MS" Molecules 26, no. 13: 3977. https://doi.org/10.3390/molecules26133977
APA StyleWang, S., Sun, X., An, S., Sang, F., Zhao, Y., & Yu, Z. (2021). High-Throughput Identification of Organic Compounds from Polygoni Multiflori Radix Praeparata (Zhiheshouwu) by UHPLC-Q-Exactive Orbitrap-MS. Molecules, 26(13), 3977. https://doi.org/10.3390/molecules26133977

