A Highly Selective Turn-On Fluorescent Probe for the Detection of Zinc
Abstract
1. Introduction
2. Results and Discussion
2.1. Selectivity of the Probe L
2.2. Competition Experiments
2.3. Fluorescence Spectroscopic Studies of L toward Zn2+
2.4. UV-Vis Absorbance Response of Probe L towards Zn2+
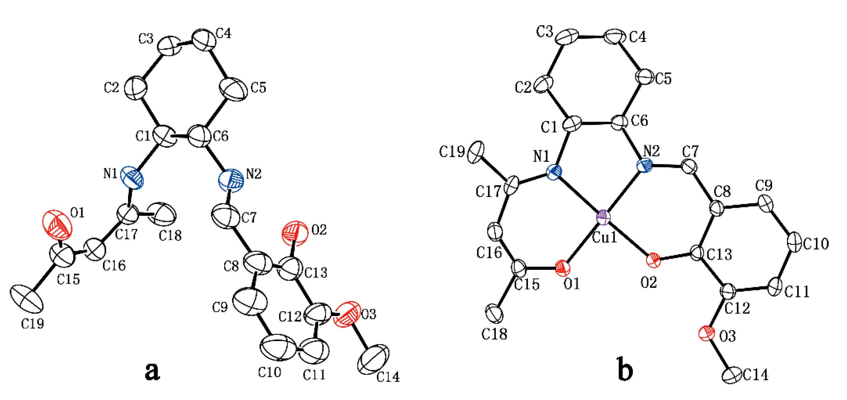
2.5. Crystal Structures of Probe L and Metal Complexes
2.6. Proposed Recognition Mechanism
3. Materials and Methods
3.1. Reagents and Equipment
3.2. Synthesis of the Fluorescent Probe L
3.3. X-ray Crystallography
3.4. General Procedure for Analysis
4. Conclusions
Supplementary Materials
Author Contributions
Funding
Data Availability Statement
Acknowledgments
Conflicts of Interest
Sample Availability
References
- Que, E.L.; Domaille, D.W.; Chang, C.J. Metals in neurobiology: Probing their chemistry and biology with molecular imaging. Chem. Rev. 2008, 108, 1517–1549. [Google Scholar] [PubMed]
- Hagimori, M.; Mizuyama, N.; Tominaga, Y.; Mukai, T.; Saji, H. A low-molecular-weight fluorescent sensor with Zn2+ dependent bathochromic shift of emission wavelength and its imaging in living cells. Dyes Pigm. 2015, 113, 205–209. [Google Scholar] [CrossRef]
- Na, Y.J.; Hwang, I.H.; Jo, H.Y.; Lee, S.A.; Park, G.J.; Kim, C. Fluorescent chemosensor based-on the combination of julolidine and furan for selective detection of zinc ion. Inorg. Chem. Commun. 2013, 35, 342–345. [Google Scholar] [CrossRef]
- Li, X.; Li, J.; Dong, X.; Gao, X.; Zhang, D.; Liu, C. A novel 3-Hydroxychromone fluorescence sensor for intracellular Zn2+ and its application in the recognition of prostate cancer cells. Sens. Actuators B Chem. 2017, 245, 129–136. [Google Scholar] [CrossRef]
- Falchuk, K.H. The molecular basis for the role of zinc in developmental biology. Mol. Cell. Biochem. 1998, 188, 41–48. [Google Scholar] [CrossRef]
- Outten, E.C.; Ohalloran, T.V. Femtomolar sensitivity of metalloregulatory proteins controlling zinc homeostasis. Science 2001, 292, 2488–2492. [Google Scholar] [CrossRef] [PubMed]
- Sirangelo, I.; Iannuzzi, C. The role of metal binding in the amyotrophic lateral sclerosis-related aggregation of copper-zinc superoxide dismutase. Molecules 2017, 22, 1429. [Google Scholar] [CrossRef]
- Kim, S.K.; Lee, D.H.; Hong, J.I.; Yoon, J. Chemosensors for Pyrophosphate. Acc. Chem. Res. 2009, 42, 23. [Google Scholar] [CrossRef]
- Nikura, K.; Anslyn, E.V. Chemosensor ensemble with selectivity for inositol-trisphosphate. J. Am. Chem. Soc. 1998, 120, 8533. [Google Scholar] [CrossRef]
- Mathews, C.P.; van Holde, K.E. Biochemistry; Benjamin/Cummings Publishing Company, Inc.: Redwood City, CA, USA, 1990. [Google Scholar]
- Guo, Z.; Park, S.; Yoon, J.; Shin, I. Recent progress in the development of near-infrared fluorescent probes for bioimaging applications. Chem. Soc. Rev. 2014, 43, 16–29. [Google Scholar] [CrossRef]
- Li, Y.; Zhao, Q.; Yang, H.; Liu, S.-J.; Liu, X.-M.; Zhang, Y.; Hu, T.; Chen, J.; Chang, Z.; Bu, X. A new ditopic ratiometric receptor for detecting zinc and fluoride ions in living cells. Analyst 2013, 138, 5486–5494. [Google Scholar] [CrossRef]
- Nyren, P. Enzymatic method for continuous monitoring of DNA polymerase activity. Anal. Biochem. 1987, 167, 235–238. [Google Scholar] [CrossRef]
- Ni, X.l.; Zeng, X.; Redshaw, C.; Yamato, T. Ratiometric fluorescent receptors for both Zn2+ and H2PO4– ions based on a pyrenyl-linked triazole-modified homooxacalix[3]arene: A potential molecular traffic signal with an R-S latch logic circuit. J. Org. Chem. 2011, 76, 5696. [Google Scholar] [CrossRef] [PubMed]
- Gupta, V.K.; Mergu, N.; Singh, A.K. Fluorescent chemosensors for Zn2+ ions based on flavonol derivatives. Sens. Actuators B Chem. 2014, 202, 674–682. [Google Scholar] [CrossRef]
- Mcquade, L.E.; Lippard, S.J. Cell-trappable quinoline-derivatized fluoresceins for selective and reversible biological Zn(II) detection. Inorg. Chem. 2010, 49, 9535–9545. [Google Scholar] [CrossRef] [PubMed][Green Version]
- Park, S.Y.; Yoon, J.H.; Hong, C.S.; Souane, R.; Kim, J.S.; Matthews, S.E.; Vicens, J. A pyrenyl-appended triazole-based calix[4]arene as a fluorescent sensor for Cd2+ and Zn2+. J. Org. Chem. 2008, 73, 8212–8218. [Google Scholar] [CrossRef] [PubMed]
- Tayade, K.; Sahoo, S.K.; Bondhopadhyay, B.; Bhardwaj, V.K.; Singh, N.; Basu, A.; Bendre, R.; Kuwar, A. Highly selective turn-on fluorescent sensor for nanomolar detection of biologically important Zn2+ based on isonicotinohydrazide derivative: Application in cellular imaging. Biosens. Bioelectron. 2014, 61, 429–433. [Google Scholar] [CrossRef]
- Gulaboski, R.; Mirceski, V.; Scholz, F. An electrochemical method for determination of the standard Gibbs energy of anion transfer between water and n-octanol. Electrochem. Commun. 2002, 4, 277–283. [Google Scholar] [CrossRef]
- Ghaedi, M.; Ahmadi, F.; Shokrollahi, A. Simultaneous preconcentration and determination of copper, nickel, cobalt and lead ions content by flame atomic absorption spectrometry. J. Hazard. Mater. 2007, 142, 272–278. [Google Scholar] [CrossRef]
- Khorrami, A.R.; Fakhari, A.R.; Shamsipur, M.; Naeimi, H. Pre-concentration of ultra trace amounts of copper, zinc, cobalt and nickel in environmental water samples using modified C18 extraction disks and determination by inductively coupled plasma–optical emission spectrometry. Int. J. Environ. Anal. Chem. 2009, 89, 319–329. [Google Scholar] [CrossRef]
- Wan, J.; Duan, W.; Kai, C.; Tao, Y.; Dang, J.; Zeng, K.; Ge, Y.; Jiang, W.; Dan, L. Selective and sensitive detection of Zn(II) ion using a simple peptide-based sensor. Sens. Actuators 2018, 255, 49–56. [Google Scholar] [CrossRef]
- Kim, C.; Kim, B.; Park, K.H.; Kim, K.; Lee, D.; Yang, S.; Joo, N. Effects of short-term chromium supplementation on insulin sensitivity and body composition in overweight children: Randomized, double-blind, placebo-controlled study. J. Nutr. Biochem. 2011, 22, 1030–1034. [Google Scholar] [CrossRef] [PubMed]
- Wang, W.; Zhang, Y.; Li, Y.; Zhao, Q. Easily accessible and highly selective “Turn-on” fluorescent sensor for imaging cadmium in living cells. Chem. Res. Chin. Univ. 2013, 29, 632–637. [Google Scholar] [CrossRef]
- Zhou, Y.; Jung, J.Y.; Jeon, H.R.; Kim, Y.; Kim, S.-J.; Yoon, J. A novel supermolecular tetrameric vanadate-selective colorimetric and “off–on” sensor with pyrene ligand. Org. Lett. 2011, 13, 2742–2745. [Google Scholar] [CrossRef]
- Erdemir, B.S. Tabakci, Selective and sensitive fluorescein-benzothiazole based fluorescent sensor for Zn2+ ion in aqueous media. J. Fluoresc. 2017, 27, 2145–2152. [Google Scholar] [CrossRef] [PubMed]
- Tang, X.; Han, J.; Wang, Y.; Bao, X.; Ni, L.; Wang, L.; Li, L. A highly sensitive turn-on fluorescent chemosensor for recognition of Zn2+ and Hg2+ and applications. Spectrochim. Acta A 2017, 184, 177–183. [Google Scholar] [CrossRef]
- Santoro, O.; Zhang, X.; Redshaw, C. Synthesis of Biodegradable Polymers: A review on the use of Schiff-base metal complexes as catalysts for the ring opening polymerization (ROP) of cyclic esters. Catalysts 2020, 10, 800. [Google Scholar] [CrossRef]
- Epstein, D.M.; Choudhary, S.; Churchill, M.R.; Keil, K.M.; Eliseev, A.V.; Morrow, J.R. Chloroform-soluble Schiff-base Zn(II) or Cd(II) complexes from a dynamic combinatorial library. Inorg. Chem. 2001, 40, 1591–1596. [Google Scholar] [CrossRef]
- Raman, N.; Fathima, S.S.A.; Raja, J.D. Designing, synthesis and spectral characterization of Schiff base transition metal complexes: DNA cleavage and antimicrobial activity studies. J. Serb. Chem. Soc. 2008, 73, 1063–1071. [Google Scholar] [CrossRef]
- Zhao, Q.; Li, R.F.; Xing, S.K.; Liu, X.M.; Hu, T.L.; Bu, X.H. A highly selective on/off fluorescence sensor for cadmium(II). Inorg. Chem. 2011, 50, 10041–10046. [Google Scholar] [CrossRef]
- Aoki, S.; Kagata, D.; Shiro, M.; Takeda, K.; Kimura, E. Metal chelation-controlled twisted intramolecular charge transfer and its application to fluorescent sensing of metal ions and anions. J. Am. Chem. Soc. 2004, 126, 13377–13390. [Google Scholar] [CrossRef] [PubMed]
- Lim, N.C.; Schuster, J.V.; Porto, M.C. Coumarin-based chemosensors for Zinc(II): toward the determination of the design algorithm for CHEF-type and ratiometric probes. Inorg. Chem. 2005, 44, 2018–2030. [Google Scholar] [CrossRef] [PubMed]
- Parkesh, R.; Lee, T.C.; Gunnlaugsson, T. Highly selective 4-amino-1,8-naphthalimide based fluorescent photoinduced electron transfer (PET) chemosensors for Zn(ii) under physiological pH conditions. Org. Biomol. Chem. 2007, 5, 310–317. [Google Scholar] [CrossRef]
- Dong, Y.; Fan, R.; Chen, W.; Wang, P.; Yang, Y. A simple quinolone Schiff-base containing CHEF based fluorescence ‘turn-on’ chemosensor for distinguishing Zn2+ and Hg2+ with high sensitivity, selectivity and reversibility. Dalton Trans. 2017, 46, 6769–6775. [Google Scholar] [CrossRef]
- Chakraborty, S.; Lohar, S.; Dhara, K.; Ghosh, R.; Dam, S.; Zangrando, E.; Chattopadhyay, P. A new half-condensed Schiff base platform: Structures and sensing of Zn2+ and H2PO4− ions in an aqueous medium. Dalton Trans. 2020, 49, 8991–9001. [Google Scholar] [CrossRef]
- Dong, W.-K.; Akogun, S.F.; Zhang, Y.; Sun, Y.-X.; Dong, X.-Y. A reversible “turn-on” fluorescent sensor for selective detection of Zn2+. Sens. Actuators B Chem. 2017, 238, 723–734. [Google Scholar] [CrossRef]
- Guo, W.T.; Peng, Y.D.; Zhang, Y.; Zhang, H.; Jiang, Y.L. Novel Tridentate Bisoxime Chemosensor for Selective Recognition of Cu2+ and Zn2+ with Different Mechanisms. J. Appl. Spectrosc. 2021, 88, 452–460. [Google Scholar] [CrossRef]
- Zhu, J.; Zhang, Y.; Chen, Y.; Sun, T.; Tang, Y.; Huang, Y.; Yang, Q.; Ma, D.; Wang, Y.; Wang, M. A Schiff base fluorescence probe for highly selective turn-on recognition of Zn2+. Tetrahedron Lett. 2017, 58, 365–370. [Google Scholar] [CrossRef]
- Lopez, J.; Mintz, E.A.; Hsu, F.-L.; Bu, X.R. Novel unsymmetric chiral Schiff bases possessing two different donor moieties: Unique tetradentate ligands from combination of salicylaldehyde and acetylacetone units. Tetrahedron: Asymmetry 1998, 9, 3741–3744. [Google Scholar] [CrossRef]
- Chen, X.Q.; Zhou, Y.; Peng, X.J.; Yoon, J.Y. Fluorescent and colorimetric probes for detection of thiols. Chem. Soc. Rev. 2010, 39, 2120. [Google Scholar] [CrossRef]
- An, B.K.; Kwon, S.K.; Jung, S.D.; Park, S.Y. Enhanced Emission and Its Switching in Fluorescent Organic Nanoparticles. J. Am. Chem. Soc. 2002, 124, 14410–14415. [Google Scholar] [CrossRef]
- Chung, S.K.; Tseng, Y.R.; Chen, C.Y.; Sun, S.S. A Selective Colorimetric Hg2+ Probe Featuring a Styryl Dithiaazacrown Containing Platinum(II) Terpyridine Complex through Modulation of the Relative Strength of ICT and MLCT Transitions. Inorg. Chem. 2011, 50, 2711–2713. [Google Scholar] [CrossRef]
- Ashokkumar, P.; Ramakrishnan, V.T.; Ramamurthy, P. Photoinduced Electron Transfer (PET) Based Zn2+ Fluorescent Probe: Transformation of Turn-On Sensors into Ratiometric Ones with Dual Emission in Acetonitrile. J. Phys. Chem. A 2011, 115, 14292–14299. [Google Scholar] [CrossRef]
- Liu, S.L.; Li, D.; Zhang, Z.; Prakash, G.K.S.; Conti, P.S.; Li, Z.B. Efficient synthesis of fluorescent-PET probes based on [18F]BODIPY dye. Chem. Commun. 2014, 50, 7371–7373. [Google Scholar] [CrossRef] [PubMed]
- Wu, J.S.; Liu, W.M.; Ge, J.C.; Zhang, H.Y.; Wang, P.F. New sensing mechanisms for design of fluorescent chemosensors emerging in recent years. Chem. Soc. Rev. 2011, 40, 3483–3495. [Google Scholar] [CrossRef] [PubMed]
- Wen, X.; Wang, Q.; Fan, Z. Highly selective turn-on fluorogenic chemosensor for Zn(II) detection based on aggregation-induced emission. J. Lumin. 2018, 194, 366–373. [Google Scholar] [CrossRef]
- Pasha, S.S.; Yadav, H.R.; Choudhury, A.R.; Laskar, I.R. Synthesis of an aggregation-induced emission (AIE) active salicylaldehyde based Schiff base: Study of mechanoluminescence and sensitive Zn(ii) sensing. J. Mater. Chem. C 2017, 5, 9651–9658. [Google Scholar] [CrossRef]
- Sun, Y.Q.; Wang, P.; Liu, J.; Zhang, J.Y.; Guo, W. A fluorescent turn-on probe for bisulfite based on hydrogen bond-inhibited C[double bond, length as m-dash]N isomerization mechanism. Analyst 2012, 137, 3430–3433. [Google Scholar] [CrossRef]
- Wang, P.; Liu, J.; Lv, X.; Liu, Y.L.; Zhao, Y.; Guo, W. A Naphthalimide-Based Glyoxal Hydrazone for Selective Fluorescence Turn-On Sensing of Cys and Hcy. Org. Lett. 2012, 14, 520–523. [Google Scholar] [CrossRef] [PubMed]
- Jung, H.S.; Ko, K.C.; Lee, J.H.; Kim, S.H.; Bhuniya, S.; Lee, J.Y.; Kim, Y.; Kim, S.J.; Kim, J.S. Rationally Designed Fluorescence Turn-On Sensors: A New Design Strategy Based on Orbital Control. Inorg. Chem. 2010, 49, 8552–8557. [Google Scholar] [CrossRef]
- Shiraishi, Y.; Sumiya, S.; Hirai, T. Highly sensitive cyanide anion detection with a coumarin–spiropyran conjugate as a fluorescent receptor. Chem. Commun. 2011, 47, 4953–4955. [Google Scholar] [CrossRef] [PubMed]
- Tsui, Y.; Devaraj, S.; Yen, Y.-P. Azo dyes featuring with nitrobenzoxadiazole (NBD) unit: A new selective chromogenic and fluorogenic sensor for cyanide ion. Sens. Actuators B Chem. 2012, 161, 510–519. [Google Scholar] [CrossRef]
- Karmakar, M.; Chattopadhyay, S. Synthesis, structure and nitroaromatic sensing ability of a trinuclear zinc complex with a reduced Schiff base ligand: Assessment of the ability of the ligand to sense zinc ion. Polyhedron 2020, 187, 114639. [Google Scholar] [CrossRef]
- Das, A.; Jana, S.; Ghosh, A. Modulation of Nuclearity by Zn(II) and Cd(II) in Their Complexes with a Polytopic Mannich Base Ligand: A Turn-On Luminescence Sensor for Zn(II) and Detection of Nitroaromatic Explosives by Zn(II) Complexes. Cryst. Growth Des. 2018, 18, 2335–2348. [Google Scholar] [CrossRef]
- Svoboda, I.; Arici, C.; Nazir, H.; Durmus, Z.; Atakol, O.; Fuess, H. {[μ-N,N′-Bis-(salicyl-idene)-2,2′-di-methyl-1,3-propane-di-amine](piperidine)copper(II)}di-bromo-zinc(II). Acta Cryst. 2001, E57, m584–m586. [Google Scholar]
- Tatar, L.; Atakol, O.; Ülkü, D.; Aksu, M. {[μ-Bis(salicyl-idene)-1,3-propanediaminato]-copper(II)}di chlorozinc(II). Acta Cryst. 1999, C55, 923–925. [Google Scholar]
- Yu, T.Z.; Ding, X.S.; Zhao, Y.L.; Qian, L.; Fan, D.W. Study on the interaction of transition ions with a open-chain crown ether Schiff base. Imaging Sci. Photochem. 2008, 26, 109–115. [Google Scholar]
- You, Z.-L.; Ni, L.-L.; Hou, P.; Zhang, J.-C.; Wang, C. Synthesis, crystal structures, and superoxide dismutase activity of two isostructural copper(II)–zinc(II) complexes derived from N,N′-bis(4-methoxysalicylidene)cyclohexane-1,2-diamine. J. Coord. Chem. 2010, 63, 515–523. [Google Scholar] [CrossRef]
- Ülkü, D.; Kaynak, F.B.; Atakol, O.; Aksu, M. Crystal Structure of {[μ-Bis(salicylidene)-1,3-propanediaminato]-copper(II)}dibromozinc(II). Anal. Sci. 2003, 19, 799–800. [Google Scholar] [CrossRef]
- Kim, K.B.; Kim, H.; Song, E.J.; Kim, S.; Noh, I.; Kim, C. A cap-type Schiff base acting as a fluorescence sensor for zinc(ii) and a colorimetric sensor for iron(ii), copper(ii), and zinc(ii) in aqueous media. Dalton Trans. 2013, 42, 16569–16577. [Google Scholar] [CrossRef]
- Lee, H.G.; Kim, K.B.; Park, G.J.; Na, Y.J.; Jo, H.Y.; Lee, S.A.; Kim, C. An anthracene-based fluorescent sensor for sequential detection of zinc and copper ions. Inorg. Chem. Commun. 2014, 39, 61–65. [Google Scholar] [CrossRef]
- Lee, J.J.; Lee, S.A.; Kim, H.; Nguyen, L.; Noh, I.; Kim, C. A highly selective CHEF-type chemosensor for monitoring Zn2+ in aqueous solution and living cells. RSC Adv. 2015, 5, 41905–41913. [Google Scholar] [CrossRef]
- Wu, J.; Liu, W.; Zhuang, X.; Wang, F.; Wang, P.; Tao, S.; Zhang, X.; Wu, S.; Lee, S. Fluorescence turn on of coumarin derivatives by metal cations: A new signaling mechanism based on C=N isomerization. Org. Lett. 2007, 9, 33–36. [Google Scholar] [CrossRef] [PubMed]
- Pan, S.; Tang, H.; Song, Z.; Li, J.; Guo, Y. A novel dual channel fluorescent probe for Ca2+ and Zn2+ based on a coumarin Schiff base. Chin. J. Chem. 2017, 35, 1263–1269. [Google Scholar] [CrossRef]
- Ma, Y.; Wang, F.; Kambam, S.; Chen, X. A quinoline-based fluorescent chemosensor for distinguishing cadmium from zinc ions using cysteine as an auxiliary reagent. Sens. Actuators B Chem. 2013, 188, 1116–1122. [Google Scholar] [CrossRef]
- Li, H.; Gao, S.; Xi, Z. A colorimetric and “turn-on” fluorescent chemosensor for Zn(II) based on coumarin Shiff-base derivative. Inorg. Chem. Commun. 2009, 12, 300–303. [Google Scholar] [CrossRef]
- Sheldrick, G.M. Program SADABS: Area-Detector Absorption Correction; University of Göttingen: Göttingen, Germany, 1996. [Google Scholar]
- Sheldrick, G.M. Crystal structure of 8-[7,8-bis-(4-chloro-benzo-yl)-7H-cyclo penta-[a]ace-naphthylen-9-yl]naphthalene-1-carb-oxy-lic acid. Acta Crystallogr. Sect. C Cryst. Struct. Commun. 2015, 71, 3–8. [Google Scholar] [CrossRef] [PubMed]
- Dolomanov, O.V.; Bourhis, L.J.; Gildea, R.J.; Howard, J.A.K.; Puschmann, H. OLEX2: A complete structure solution, refinement and analysis program. J. Appl. Cryst. 2009, 42, 339–341. [Google Scholar] [CrossRef]







| Compound | Solvent | Detection Limit | Ref. |
|---|---|---|---|
![]() | CH3OH/H2O | 2.84 × 10−7 M | 54 |
![]() | CH3OH | 7.74 × 10−7 M | 38 |
![]() | CH3OH/H2O | 4.80 × 10−7 M | 37 |
![]() | CH3OH | 7.69 × 10−9 M | 55 |
![]() | EtOH/HEPES buffer | 5.03 × 10−7 M | 39 |
![]() | DMSO/water | ~1.00 × 10−8 M | 35 |
![]() | EtOH | 9.53 × 10−8 M | Present work |
Publisher’s Note: MDPI stays neutral with regard to jurisdictional claims in published maps and institutional affiliations. |
© 2021 by the authors. Licensee MDPI, Basel, Switzerland. This article is an open access article distributed under the terms and conditions of the Creative Commons Attribution (CC BY) license (https://creativecommons.org/licenses/by/4.0/).
Share and Cite
Shen, L.-Y.; Chen, X.-L.; Yang, X.-J.; Xu, H.; Huang, Y.-L.; Zhang, X.; Redshaw, C.; Zhang, Q.-L. A Highly Selective Turn-On Fluorescent Probe for the Detection of Zinc. Molecules 2021, 26, 3825. https://doi.org/10.3390/molecules26133825
Shen L-Y, Chen X-L, Yang X-J, Xu H, Huang Y-L, Zhang X, Redshaw C, Zhang Q-L. A Highly Selective Turn-On Fluorescent Probe for the Detection of Zinc. Molecules. 2021; 26(13):3825. https://doi.org/10.3390/molecules26133825
Chicago/Turabian StyleShen, Ling-Yi, Xiao-Li Chen, Xian-Jiong Yang, Hong Xu, Ya-Li Huang, Xing Zhang, Carl Redshaw, and Qi-Long Zhang. 2021. "A Highly Selective Turn-On Fluorescent Probe for the Detection of Zinc" Molecules 26, no. 13: 3825. https://doi.org/10.3390/molecules26133825
APA StyleShen, L.-Y., Chen, X.-L., Yang, X.-J., Xu, H., Huang, Y.-L., Zhang, X., Redshaw, C., & Zhang, Q.-L. (2021). A Highly Selective Turn-On Fluorescent Probe for the Detection of Zinc. Molecules, 26(13), 3825. https://doi.org/10.3390/molecules26133825








