Abstract
Discovery of compound 1 as a Zika virus (ZIKV) inhibitor has prompted us to investigate its 7H-pyrrolo[2,3-d]pyrimidine scaffold, revealing structural features that elicit antiviral activity. Furthermore, we have demonstrated that 9H-purine or 1H-pyrazolo[3,4-d]pyrimidine can serve as an alternative core structure. Overall, we have identified 4,7-disubstituted 7H-pyrrolo[2,3-d]pyrimidines and their analogs including compounds 1, 8 and 11 as promising antiviral agents against flaviviruses ZIKV and dengue virus (DENV). While the molecular target of these compounds is yet to be elucidated, 4,7-disubstituted 7H-pyrrolo[2,3-d]pyrimidines and their analogs are new chemotypes in the design of small molecules against flaviviruses, an important group of human pathogens.
1. Introduction
The Flaviviruses are the largest genus in the Flaviviridae family and include well-known human pathogens such as dengue virus (DENV), West Nile virus (WNV), yellow fever virus (YFV), Japanese encephalitis virus (JEV) and Zika virus (ZIKV) [1]. DENV infects 390 million people, among whom 100 million exhibit disease symptoms, ranging from self-limiting dengue fever to life-threatening dengue hemorrhagic fever/shock syndrome [2]. DENV remains a focus of continued antiviral research, which has been bolstered by public–private partnerships. Promising direct-acting antiviral targets include E protein, NS2B-NS3 (protease), NS4B and NS5 (RNA-dependent RNA polymerase, RdRp) [3,4,5]. Host factors that are important for viral replication or development of symptoms have also been explored [5]. While a number of promising anti-DENV agents have been tested in advanced preclinical or clinical studies, there are no specific antiviral therapeutics approved for DENV infection [6].
ZIKV has attracted public attention due to its global outbreaks and subsequent declaration as a global public health emergency by the World Health Organization (WHO) in 2016. While ZIKV infection usually causes no or mild symptoms, its association with severe neurological disorders, including microcephaly in newborn infants and Guillain-Barré syndrome in adults, has made ZIKV a global health concern [7]. The global epidemic of ZIKV and its devastating neurological complications have spurred ZIKV vaccine development and searches for small molecule anti-ZIKV therapeutics. Efforts have been devoted to targeting the ZIKV proteins, including NS2B-NS3 and NS5, facilitated by lessons learned from drug discovery in other Flaviviridae members, such as hepatitis C virus (HCV), DENV and WNV [8,9,10]. Moreover, phenotypic screening of compound libraries and repurposing of approved drugs have been attractive approaches to discovering anti-ZIKV drugs [11], offering opportunities to identify previously unappreciated targets, particularly host factors. However, the recent rapid decline of ZIKV infection cases has led to an end to the emergency status and ZIKV has ceased to be a world-wide public health concern. Nonetheless, the current pandemic of coronavirus disease 2019 (COVID-19) has served as a warning that reemergence of ZIKV or emergence of ZIKV-like viruses cannot be excluded, calling for a continued search for novel antiviral strategies.
In our effort to discover antiviral agents against ZIKV, we screened our in-house compound library and identified compound 1 (Figure 1 and Table 1). Encouraged by its promising antiviral activity, we initiated a medicinal chemistry project to explore the substituents on positions 4 and 7 within compound 1’s 7H-pyrrolo[2,3-d]pyrimidine scaffold, leading to analogs of excellent anti-ZIKV and -DENV activity. Here we report our structure-activity relationship (SAR) studies on compound 1 and evaluation of the resulting analogs in ZIKV and DENV.
Figure 1.
Hit compound 1 and reference compounds.
Table 1.
SAR study on ring A of the 7H-pyrrolo[2,3-d]pyrimidine scaffold against ZIKV.
2. Results and Discussion
To effectively search for ZIKV inhibitors, we constructed a luciferase-expressing ZIKV (see Supplemental Information) and established a ZIKV reporter assay. Using this assay, we screened our in-house compound library (at 10 µM) for anti-ZIKV activity along with NITD008 (Figure 1, at 1 µM) [12], a flavivirus RdRp inhibitor, and NSC 12155 (Figure 1, at 10 µM) [13], a flavivirus NS5 methyltransferase (MTase) inhibitor, as reference compounds. Gratifyingly, we identified compound 1, which possessed anti-ZIKV activity without drastically compromised cell viability (Table 1). Compound 1’s EC50 (reporter assay) and CC50 values were determined to be 5.25 µM and 20.0 µM, respectively, highlighting good antiviral activity and relatively low cytotoxicity. As a result, compound 1 was evaluated in a titer-reduction assay, which revealed this compound’s strong antiviral activity (93% titer reduction) at 8.5 µM. Further dose-response analysis gave rise to an EC50 (titer-reduction) of 5.21 µM. These remarkable results suggested that compound 1 represented a promising chemical scaffold and warranted further SAR studies.
To guide our SAR studies, we established a general testing scheme. All newly synthesized compounds were first evaluated at 10 µM in the ZIKV reporter assay and those that showed about 60% viability and about 60% inhibition were tested in the gold standard titer reduction assay at 8.5 µM or at 1.5 µM for those deemed toxic at 8.5 µM. If about 90% inhibition was reached in the titer-reduction assay, dose-response experiments were performed to determine EC50 (titer-reduction) values. For active compounds, EC50 in the reporter assay and CC50 were also measured.
Compound 1 contained a 7H-pyrrolo[2,3-d]pyrimidine core structure with substituents at positions 4 and 7. Our initial SAR study focused on ring A, which was located at position 7 (Table 1). Since the nitro group in compound 1 was an electron-withdrawing group, we first chose to reduce it to the corresponding aniline donned with an electron-donating property, giving rise to compound 2. It showed enhanced cytotoxicity in the reporter assay, a finding that was further supported by the toxicity seen in the titer-reduction assay. Second, we prepared compound 3 with no substituents on ring A. While compound 3 was less toxic, the antiviral activity was also diminished. These two modifications suggested that an electron-withdrawing group like nitro was beneficial. As a result, we synthesized compounds 4 and 5, in which a nitro group was placed at the ortho and meta positions, respectively. While compound 4 was less active, compound 5 exhibited antiviral activity comparable to those of compound 1 in both assays, suggesting that the meta position was another feasible modification site. After identifying these two potential modification sites, we proceeded to prepare compounds 6–8 and 9–11. In compounds 6–8, an electron-withdrawing group including trifluoromethyl, methylsufonyl, and cyano, respectively, was placed at the para position while in 9–11 an electron-withdrawing group was appended at the meta position. Evaluation of these compounds revealed that an electron-withdrawing group at either the para or meta position generally led to good anti-ZIKV activity at levels in line with that of compound 1. Specifically, compounds 8 and 11, in which a cyano group was used, exhibited excellent antiviral ability in the titer reduction assay. Both compounds possessed an EC99 value of about 13 µM even though compound 11 was slightly more toxic than compound 8 as judged by their CC50 values. Taken together, these results showed that introducing a simple electron-withdrawing group, preferably nitro and cyano, at the para or meta position led to excellent anti-ZIKV activity, especially in terms of titer-reducing capability. Therefore, a further structural exploration of ring A was justified.
We next investigated fused and heterocyclic rings by preparing and testing compounds 12–16. Replacement of the phenyl ring in compound 1 with a 1-naphthyl or 2-naphthyl ring as seen in compound 12 or 13 led to diminished antiviral activity. Compound 14, in which a quinolone ring was used to take advantage of its electron-deficient nature, exerted complete inhibition (EC50 = 0.93 µM) but showed high cytotoxicity when tested at 10 µM in the ZIKV reporter assay. To accurately assess the activity of compound 14, it was tested at lower concentrations in the titer-reduction assay, by which the EC90 value was determined to be 2.28 µM. Given the fact that compound 14 has a CC50 value of 5.67 µM, its therapeutic window was relatively narrow. We also attempted to merge multiple structural features. For instance, a naphthyl ring was combined with a cyano group in compound 15 while a quinolone ring was used in conjunction with a chloro group in 16. Unfortunately, these two compounds displayed negligible titer-reducing capability even though they had good activity in the reporter assay. Taken together, our exploration of fused and heterocyclic rings resulted in no significant improvement in antiviral activity.
After examination of ring A, we proceeded to study ring B at position 4 by synthesizing two groups of compounds (Table 2). Because the para-nitrobenzyl moiety in compound 1 had been proved to be one of the best substituents, it was retained in the first groups (compounds 17–24) and variation of ring B was then explored. First, we prepared compound 17, which had no substitution at position 4 of the 7H-pyrrolo[2,3-d]pyrimidine core. Compound 17’s lack of antiviral activity clearly demonstrated that a substituent at position 4 was needed. A simple benzyl substituent in compound 18 resulted in higher toxicity when compared with compound 1, suggesting that substitution on the phenyl was preferred. Accordingly, a chloro group at the ortho position was explored and the resulting compound 19 showed activity comparable to that of compound 1. On the other hand, a para-chloro group in 20 gave rise to higher cytotoxicity. A combination of two chloro groups placed at different positions was also examined. Among the resultant compounds 21–23, 23 exhibited high anti-ZIKV activity not only in the reporter (EC50 = 5.70 µM) but also in the titer-reduction assay. Notably, it achieved a three-log titer reduction (EC99.9 = 12.3 µM, footnote of Table 2) and had an CC50 value of 26.8 µM. These parameters were slightly better than those of compound 8, one of the best inhibitors. However, use of a 1-naphthyl ring in compound 24 failed to improve antiviral activity. We also investigated another group of compounds 25–28, in which a para-cyanobenzyl moiety as seen in compound 8 was adopted at position 7 and variation of ring B was studied. When the chloro group in compound 8 was replaced with an electron-donating methyl group, the resulting compound 25 was more toxic than compound 8, suggesting that an electron-withdrawing group was desirable. Compounds 26–28, in which chloro groups at different positions were combined, showed no significant enhancement of antiviral activity. Collectively, these structural modifications showed that a position 4 substitution was needed and electron-withdrawing group(s) on the phenyl ring were desired for anti-ZIKV property.
Table 2.
SAR study on ring B of the 7H-pyrrolo[2,3-d]pyrimidine scaffold against ZIKV.
Besides the 7H-pyrrolo[2,3-d]pyrimidine scaffold, we also investigated 9H-purine (29 and 30) and 1H-pyrazolo[3,4-d]pyrimidine (31 and 32) as a potential core structure (Table 3). Since a para-nitro or -cyanobenzyl substituent in combination with a meta-chlorobenzylamine elicited high antiviral activity, they were retained in our new study. Compared with active inhibitors that contained a 7H-pyrrolo[2,3-d]pyrimidine core, new compounds appeared to be generally less toxic and possessed similar anti-ZIKV activity in the reporter assay. Also importantly, they exhibited good to excellent titer-reducing capacity. Among these compounds, 30 had an EC90 value of 12.4 µM in the titer reduction assay and a CC50 value of 49.3 µM, indicative of its excellent activity and relatively low cytotoxicity. Taken together, these results suggested that 9H-purine and 1H-pyrazolo[3,4-d]pyrimidine were viable replacements of the 7H-pyrrolo[2,3-d]pyrimidine scaffold.
Table 3.
SAR study on the scaffold replacement against ZIKV.
Encouraged by the high antiviral activity exhibited by the 4,7-disubstituted 7H-pyrrolo[2,3-d]pyrimidines and their analogs, selected compounds were also tested against DENV-2 with NITD008 (1 µM) and NSC12155 (8.5 µM) as reference inhibitors (Figure 2). Compounds were tested at 8.5 µM except for compound 14, which was used at 1.5 µM. All selected inhibitors showed higher anti-DENV activity than the reference NSC12155 and several compounds offered >90% protection against DENV. Interestingly, among the top inhibitors were compounds 1, 8, 11 and 23, which also exhibited the highest antiviral activity in ZIKV. These preliminary results suggested that the 4,7-disubstituted 7H-pyrrolo[2,3-d]pyrimidines and their analogs could represent a new class of antiviral agents against flaviviruses and they might work through a common mechanism of action.
Figure 2.
Inhibition of DENV by selected compounds. Huh7 cells were plated in 24 well plate. Next day, cells were inoculated with DENV (MOI = 0.05). After 2 h of infection inoculum was retired and the cells were treated with inhibitors at 8.5 µM (except for compound 14, 1.5 µM) for 72 h. Next, supernatants were assayed for viral titer by plaque assay and titers were normalized vs DMSO and expressed as % inhibition. The experiment was performed two independent times and each sample was performed in triplicate. The bars depict mean plus standard error of the mean.
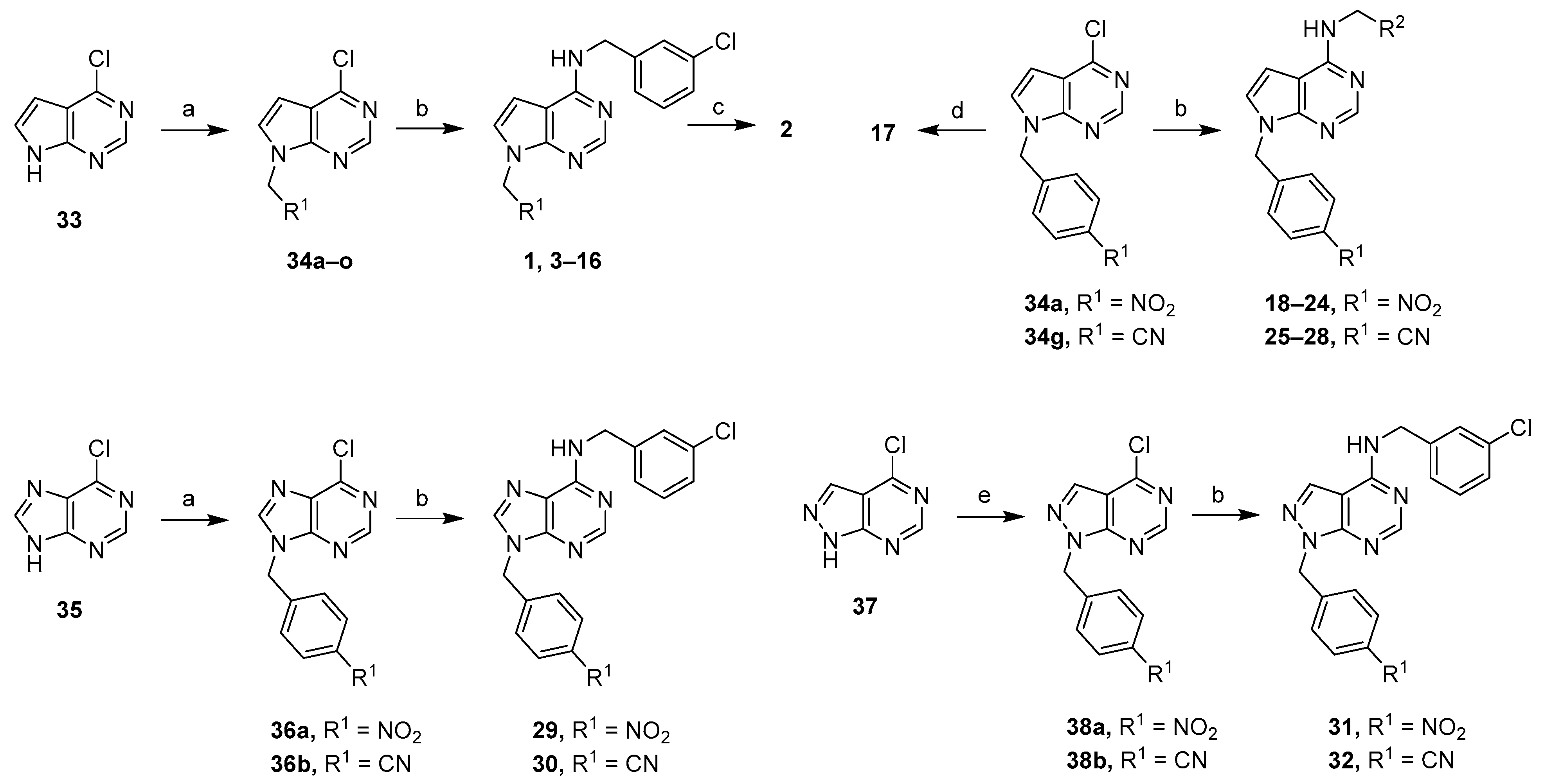
The syntheses of 4,7-disubstituted 7H-pyrrolo[2,3-d]pyrimidines and their analogs were straightforward (Scheme 1). To study the effect of ring A attached to the 7H-pyrrolo[2,3-d]pyrimidine core structure, alkylation (K2CO3 in CH3CN) of 7H-pyrrolo[2,3-d]pyrimidine (33) was accomplished generally without column purification to give chlorides 34a–o, which were subsequently treated with 3-chlorobenzylamine to afford compounds 1 and 3–16 in excellent yields. Reduction of the nitro group in compound 1 with SnCl2 gave 2. To study the effect of ring B, chloride 34a underwent aminolysis to afford compound 17 while intermediate 34a and 34g were treated with various amines to furnish compounds 18–24 and 25–28, respectively. To investigate the effect of scaffold replacement, 6-chloropurine (35) was alkylated under the same conditions as those that were used for 33. When 35 was N-alkylated with 4-nitrobenzyl bromide, the N9 alkylated isomer 36a [14] was isolated in 61% yield. This regioisomer was confirmed by a combination of ¹H-¹³C heteronuclear multiple quantum correlation (HMQC) and heteronuclear multiple bond correlation spectroscopy (HMBC) (Figure S2). Similarly, chloride 36b [15] was obtained as an N9-alkylated isomer in the presence of K2CO3. In contrast, different conditions (Et3N in DMF) were needed to ensure successful alkylation of 4-chloropyrazolo[3,4-d]pyrimidine (37) to give chlorides 38a and 38b, whose N1 substitution was also established by HMBC experiments. Upon treatment with 3-chlorobenzylamine, the resulting chlorides 36a–b and 38a–b, were converted into purines 29–30 and pyrazolo[3,4-d]pyrimidines 31–32, respectively. The substitution pattern of these regioisomers was further confirmed by a combination of HMQC and HMBC with compound 29 shown as an example in Figure S3.
Scheme 1.
Syntheses of 4,7-disubstituted 7H-pyrrolo[2,3-d]pyrimidines and their analogs. Reagents and conditions: (a) bromides, K2CO3, CH3CN, rt; (b) amines, DIPEA, 2-methoxyethan-1-ol, 100 °C; (c) SnCl2, EtOH, 70 °C; (d) NH3, H2O, 1,4-dioxane, 120 °C; (e) bromides, Et3N, DMF, rt.
3. Conclusions
Identification of compound 1 as an anti-ZIKV agent has prompted us to investigate its 7H-pyrrolo[2,3-d]pyrimidine core structure, leading to several inhibitors including compounds 1, 8 and 11 that possess promising anti-ZIKV activity, especially in the gold standard titer-reduction assay. Our SAR studies have revealed that rings A and B at positions 7 and 4, respectively, are desired. For ring A, while fused and heterocyclic rings can be tolerated, a phenyl ring decorated with an electron-withdrawing group, preferably nitro and cyano, at the para or meta position gives rise to excellent titer-reducing capability in ZIKV. For ring B, electron-withdrawing group(s) on a phenyl ring are also preferred. However, we have not been able to identify an optimal combination of electron-withdrawing groups. This could be due to the limited scope of electron-withdrawing groups explored in the current study. Furthermore, we have demonstrated that 9H-purine or 1H-pyrazolo[3,4-d]pyrimidine can serve as an alternative scaffold, generally leading to reduced cytotoxicity. We propose a general pharmacophore model in which the central 7H-pyrrolo[2,3-d]pyrimidine ring organizes rings A and B (preferably donned with electro-withdrawing groups) into an orientation that elicits antiviral activity. In addition, 7H-pyrrolo[2,3-d]pyrimidine can be replaced by 9H-purine or 1H-pyrazolo[3,4-d]pyrimidine, which supports a future study on scaffold-hopping. Furthermore, selected compounds also inhibit DENV-2. To our best knowledge, no similar compounds built on a 7H-pyrrolo[2,3-d]pyrimidine, 9H-purine, or 1H-pyrazolo[3,4-d]pyrimidine core structure has been reported as flavivirus inhibitors. Therefore, 4,7-disubstituted 7H-pyrrolo[2,3-d]pyrimidines and their analogs hold promise as new chemotypes in the design of antiviral agents against flaviviruses, an important group of human pathogens. Nonetheless, the compounds we have discovered suffer from relatively low therapeutic indices, a critical issue that will be addressed in our future studies.
The molecular target of these antiviral agents is yet to be elucidated. One possible viral target is the ZIKV NS5 MTase, which is required for generating the type I 5′ cap through sequential N7 and 2′-O methylation of the viral RNA cap using S-adenosylmethionine as a methyl donor and releasing S-adenosylhomocysteine as a byproduct. Studies have shown that N7 methylation is crucial for viral replication [16,17]and 2′-O methylation helps viruses evade the host innate immune response.[18] Unfortunately, compound 1 was inactive (IC50 > 100 µM) against ZIKV NS5 MTase in our biochemical assay, suggesting that NS5 MTase was unlikely the molecular target of these antiviral compounds. It is also possible that they target a host factor that is essential for virus replication. While identifying the target of a small molecule remains challenging, activity-based protein profiling (ABPP) [19] holds promise because it offers an unbiased approach to identify the molecular target of a wide range of small molecules [20,21,22]. ABPP requires design and synthesis of an ABPP probe, a task that will be facilitated by our experience[23] with this proteomic approach and the SAR information obtained from the current study. In summary, 4,7-disubstituted 7H-pyrrolo[2,3-d]pyrimidines and their analogs are promising antiviral agents against flaviviruses ZIKV and DENV. Further exploration of the core structures and appended rings and elucidation of the molecular target are warranted.
4. Experimental Section
4.1. General Procedures
All commercial reagents were used as provided unless otherwise indicated. An anhydrous solvent dispensing system (J. C. Meyer, Laguna Beach, CA, USA) using two packed columns of neutral alumina was used for drying THF, Et2O, and CH2Cl2, whereas two packed columns of molecular sieves were used to dry DMF. Solvents were dispensed under argon. Flash chromatography was performed with RediSep Rf silica gel columns (Teledyne ISCO, Lincoln, NE, USA) on a CombiFlash® Rf system (Teledyne ISCO, Lincoln, NE, USA) using the solvents as indicated. Nuclear magnetic resonance spectra were recorded on a Varian 600 MHz (Palo Alto, CA, USA) or Bruker 400 MHz (Billerica, MA, USA) spectrometer with Me4Si or signals from residual solvent as the internal standard for 1H or 13C. Chemical shifts are reported in ppm, and signals are described as s (singlet), d (doublet), t (triplet), q (quartet), m (multiplet), br s (broad singlet), and dd (double doublet). Values given for coupling constants are first order. High resolution mass spectra were recorded on an TOF II TOF/MS instrument (Agilent, Santa Clara, CA, USA) equipped with either an ESI or APCI interface at the University of Minnesota Center for Drug Design.
4.2. Chemistry
4-Chloro-7-(4-nitrobenzyl)-7H-pyrrolo[2,3-d]pyrimidine (34a). To a suspension of 4-chloro-7H-pyrrolo[2,3-d]pyrimidine (33, 614 mg, 4.00 mmol) in anhydrous CH3CN (40 mL) were added K2CO3 (1.67 g, 12.1 mmol) and 4-nitrobenzyl bromide (1.04 g, 4.81 mmol). The resulting mixture was allowed to stir at rt for 20 h and concentrated. The residue was suspended in MeOH (20 mL) and poured into stirring water (120 mL). The precipitate was filtered, washed with water and hexanes, dried in vacuo to give compound 34a as a pale fluffy solid (1.11 g, 96%). 1H-NMR (400 MHz, CDCl3) δ 8.67 (s, 1H), 8.18 (d, J = 8.7 Hz, 2H), 7.35 (d, J = 8.7 Hz, 2H), 7.24 (d, J = 3.6 Hz, 1H), 6.69 (d, J = 3.6 Hz, 1H), 5.57 (s, 2H); 13C-NMR (100 MHz, CDCl3) δ 152.8, 151.4, 151.3, 147.9, 143.6, 128.9, 128.3, 124.4, 117.7, 100.9, 48.0. HRMS (ESI+) m/z calcd. for C13H10ClN4O2 [M + H]+ 289.0487, found 289.0487.
7-Benzyl-4-chloro-7H-pyrrolo[2,3-d]pyrimidine (34b). Compound 34b was prepared from 33 (154 mg, 1.00 mmol) and benzyl bromide (143 µL, 1.20 mmol) in a fashion similar to the one described for compound 34a [24]. Brownish syrup, 251 mg, quantitative yield. 1H-NMR (400 MHz, CDCl3) δ 8.72 (s, 1H), 7.34–7.22 (m, 6H), 6.66 (d, J = 3.6 Hz, 1H), 5.48 (s, 2H); 13C-NMR (100 MHz, CDCl3) δ 151.0, 149.7, 145.1, 135.9, 130.2, 129.1, 128.4, 127.8, 117.5, 100.5, 48.8. HRMS (ESI+) m/z calcd. for C13H11ClN3 [M + H]+ 244.0636, found 244.0636.
4-Chloro-7-(2-nitrobenzyl)-7H-pyrrolo[2,3-d]pyrimidine (34c). Compound 34c was prepared from 33 (154 mg, 1.00 mmol) and 2-nitrobenzyl bromide (260 mg, 1.20 mmol) in a fashion similar to the one described for compound 34a. Yellowish solid, 280 mg, yield 97%. 1H-NMR (400 MHz, CDCl3) δ 8.63 (s, 1H), 8.15 (dd, J = 8.0, 1.2 Hz, 1H), 7.53–7.47 (m, 2H), 7.33 (d, J = 3.6 Hz, 1H), 6.86 (dd, J = 7.8, 1.2 Hz, 1H), 6.71 (d, J = 3.6 Hz, 1H), 5.49 (s, 2H); 13C-NMR (100 MHz, CDCl3) δ 152.7, 151.6, 151.3, 147.7, 134.3, 132.4, 129.7, 129.4, 129.2, 125.6, 117.8, 100.7, 46.0. HRMS (ESI+) m/z calcd. for C13H10ClN4O2 [M + H]+ 289.0487, found 289.0487.
4-Chloro-7-(3-nitrobenzyl)-7H-pyrrolo[2,3-d]pyrimidine (34d). Compound 34d was prepared from 33 (154 mg, 1.00 mmol) and 3-nitrobenzyl bromide (260 mg, 1.20 mmol) in a fashion similar to the one described for compound 34a. Yellowish solid, 266 mg, yield 92%. 1H-NMR (400 MHz, CDCl3) δ 8.67 (s, 1H), 8.16 (dd, J = 7.5, 1.8 Hz, 1H), 8.11 (s, 1H), 7.56–7.49 (m, 2H), 7.26 (d, J = 3.6 Hz, 1H), 6.69 (d, J = 3.6 Hz, 1H), 5.57 (s, 2H); 13C-NMR (100 MHz, CDCl3) δ 152.7, 151.3 (×2), 148.7, 138.6, 133.7, 130.2, 128.8, 123.4, 122.6, 117.7, 100.9, 47.9. HRMS (ESI+) m/z calcd for C13H10ClN4O2 [M + H]+ 289.0487, found 289.0487.
4-Chloro-7-(4-(trifluoromethyl)benzyl)-7H-pyrrolo[2,3-d]pyrimidine (34e). Compound 34e was prepared from 33 (154 mg, 1.00 mmol) and 4-trifluoromethylbenzyl bromide (288 mg, 1.20 mmol) in a fashion similar to the one described for compound 34a [24]. Pale solid, 307 mg, yield 98%. 1H-NMR (400 MHz, CDCl3) δ 8.67 (s, 1H), 7.59 (d, J = 8.4 Hz, 2H), 7.31 (d, J = 8.4 Hz, 2H), 7.22 (d, J = 3.6 Hz, 1H), 6.66 (d, J = 3.6 Hz, 1H), 5.52 (s, 2H); 13C-NMR (100 MHz, CDCl3) δ 152.7, 151.4, 151.3, 140.4, 130.7 (q, JCF = 32.3 Hz), 129.0, 127.9, 126.1 (q, JCF = 3.6 Hz), 124.0 (q, JCF = 272.6 Hz), 117.7, 100.6, 48.1. HRMS (ESI+) m/z calcd. for C14H10ClF3N3 [M + H]+ 312.0510, found 312.0509.
4-Chloro-7-(4-(methylsulfonyl)benzyl)-7H-pyrrolo[2,3-d]pyrimidine (34f). Compound 34f was prepared from 33 (154 mg, 1.00 mmol) and 4-methylsulfonylbenzyl bromide (299 mg, 1.20 mmol) in a fashion similar to the one described for compound 34a. Pale solid, 305 mg, yield 95%. 1H-NMR (400 MHz, CDCl3) δ 8.67 (s, 1H), 7.89 (d, J = 8.4 Hz, 2H), 7.38 (d, J = 8.4 Hz, 2H), 7.24 (d, J = 3.6 Hz, 1H), 6.69 (d, J = 3.6 Hz, 1H), 5.56 (s, 2H), 3.02 (s, 3H); 13C-NMR (100 MHz, CDCl3) δ 152.7, 151.3 (×2), 142.6, 140.6, 129.0, 128.4, 128.3, 117.7, 100.8, 48.1, 44.6. HRMS (ESI+) m/z calcd. for C14H13ClN3O2S [M + H]+ 322.0412, found 322.0411.
4-((4-Chloro-7H-pyrrolo[2,3-d]pyrimidin-7-yl)methyl)benzonitrile (34g). Compound 34g was prepared from 33 (154 mg, 1.00 mmol) and 4-cyanobenzyl bromide (236 mg, 1.20 mmol) in a fashion similar to the one described for compound 34a [25]. White solid, 270 mg, quantitative yield. 1H-NMR (400 MHz, CDCl3) δ 8.66 (s, 1H), 7.62 (d, J = 8.4 Hz, 2H), 7.29 (d, J = 8.4 Hz, 2H), 7.22 (d, J = 3.6 Hz, 1H), 6.68 (d, J = 3.6 Hz, 1H), 5.52 (s, 2H); 13C-NMR (100 MHz, CDCl3) δ 152.8, 151.4 (×2), 141.7, 132.9, 128.9, 128.1, 118.4, 117.7, 112.4, 100.9, 48.2. HRMS (ESI+) m/z calcd. for C14H10ClN4 [M + H]+ 269.0589, found 269.0589.
4-Chloro-7-(3-(trifluoromethyl)benzyl)-7H-pyrrolo[2,3-d]pyrimidine (34h). Compound 34h was prepared from 33 (154 mg, 1.00 mmol) and 3-trifluoromethylbenzyl bromide (286 mg, 1.20 mmol) in a fashion similar to the one described for compound 34a [24]. Yellowish solid, 296 mg, yield 95%. 1H-NMR (400 MHz, CDCl3) δ 8.66 (s, 1H), 7.55 (d, J = 8.0 Hz, 1H), 7.51 (s, 1H), 7.44 (t, J = 8.0 Hz, 1H), 7.37 (d, J = 8.0 Hz, 1H), 7.22 (d, J = 3.6 Hz, 1H), 6.64 (d, J = 3.6 Hz, 1H), 5.51 (s, 2H); 13C-NMR (100 MHz, CDCl3) δ 152.6, 151.3, 151.2, 137.5, 131.5 (q, JCF = 33.9 Hz), 131.0, 129.7, 128.9, 125.3 (q, JCF = 3.4 Hz), 124.4 (q, JCF = 3.4 Hz), 123.9 (q, JCF = 273.5 Hz), 117.7, 100.6, 48.1. HRMS (ESI+) m/z calcd. for C14H10ClF3N3 [M + H]+ 312.0510, found 312.0510.
4-Chloro-7-(3-(methylsulfonyl)benzyl)-7H-pyrrolo[2,3-d]pyrimidine (34i). Compound 34i was prepared from 33 (154 mg, 1.00 mmol) and 3-methylsulfonylbenzyl bromide (300 mg, 1.20 mmol) in a fashion similar to the one described for compound 34a. Pale solid, 288 mg, yield 90%. 1H-NMR (400 MHz, CDCl3) δ 8.66 (s, 1H), 7.87 (d, J = 7.8 Hz, 1H), 7.86 (s, 1H), 7.53 (t, J = 7.8 Hz, 1H), 7.46 (d, J = 7.8 Hz, 1H), 7.25 (d, J = 3.6 Hz, 1H), 6.66 (d, J = 3.6 Hz, 1H), 5.54 (s, 2H), 3.02 (s, 3H); 13C-NMR (100 MHz, CDCl3) δ 152.7, 151.3, 151.2, 141.5, 138.3, 132.9, 130.3, 128.9, 127.3, 126.4, 117.7, 100.8, 48.0, 44.5. HRMS (ESI+) m/z calcd. for C14H13ClN3O2S [M + H]+ 322.0412, found 322.0408.
3-((4-Chloro-7H-pyrrolo[2,3-d]pyrimidin-7-yl)methyl)benzonitrile (34j). Compound 34j was prepared from 33 (154 mg, 1.00 mmol) and 3-cyanobenzyl bromide (235 mg, 1.20 mmol) in a fashion similar to the one described for compound 34a. Pale solid, 273 mg, quantitative yield. 1H-NMR (400 MHz, CDCl3) δ 8.66 (s, 1H), 7.59 (td, J = 5.0, 1.6 Hz, 1H), 7.49 (s, 1H), 7.46–7.44 (m, 2H), 7.22 (d, J = 3.6 Hz, 1H), 6.68 (d, J = 3.6 Hz, 1H), 5.49 (s, 2H); 13C-NMR (100 MHz, CDCl3) δ 152.7, 151.3 (×2), 138.1, 132.0, 131.9, 131.0, 130.0, 128.8, 118.3, 117.7, 113.4, 100.9, 47.9. HRMS (ESI+) m/z calcd. for C14H10ClN4 [M + H]+ 269.0589, found 269.0560.
4-Chloro-7-(naphthalen-1-ylmethyl)-7H-pyrrolo[2,3-d]pyrimidine (34k). Compound 34k was prepared from 33 (154 mg, 1.00 mmol) and 1-(bromomethyl)naphthalene (265 mg, 1.20 mmol) in a fashion similar to the one described for compound 34a. Yellowish solid, 298 mg, quantitative yield. 1H-NMR (400 MHz, CDCl3) δ 8.74 (s, 1H), 7.98 (d, J = 8.2 Hz, 1H), 7.89–7.85 (m, 2H), 7.52–7.41 (m, 3H), 7.27 (d, J = 8.2 Hz, 1H), 7.09 (d, J = 3.6 Hz, 1H), 6.56 (d, J = 3.6 Hz, 1H), 5.90 (s, 2H); 13C-NMR (100 MHz, CDCl3) δ 152.4, 151.2, 151.0, 134.0, 131.5, 131.3, 129.5, 129.1, 129.0, 127.2, 127.0, 126.4, 125.5, 123.0, 117.7, 100.1, 46.7. HRMS (ESI+) m/z calcd. for C17H13ClN3 [M + H]+ 294.0793, found 294.0791.
4-Chloro-7-(naphthalen-2-ylmethyl)-7H-pyrrolo[2,3-d]pyrimidine (34l). Compound 34l was prepared from 33 (154 mg, 1.00 mmol) and 2-(bromomethyl)naphthalene (265 mg, 1.20 mmol) in a fashion similar to the one described for compound 34a. Pale solid, 302 mg, quantitative yield. 1H-NMR (400 MHz, CDCl3) δ 8.70 (s, 1H), 7.80–7.75 (m, 3H), 7.66 (s, 1H), 7.49–7.45 (m, 2H), 7.30 (dd, J = 8.2, 1.6 Hz, 1H), 7.24 (d, J = 3.6 Hz, 1H), 6.63 (d, J = 3.6 Hz, 1H), 5.60 (s, 2H); 13C-NMR (100 MHz, CDCl3) δ 152.0, 151.3, 150.7, 133.6, 133.3, 133.1, 129.5, 129.1, 127.9, 127.8, 126.8, 126.7, 126.5, 125.4, 117.6, 100.3, 48.8. HRMS (ESI+) m/z calcd. for C17H13ClN3 [M + H]+ 294.0793, found 294.0787.
4-((4-Chloro-7H-pyrrolo[2,3-d]pyrimidin-7-yl)methyl)quinolone (34m). Compound 34m was prepared from 33 (154 mg, 1.00 mmol) and 4-(bromomethyl)quinoline (266 mg, 1.20 mmol) in a fashion similar to the one described for compound 34a. Tan solid, 274 mg, yield 93%. 1H-NMR (400 MHz, CDCl3) δ 8.82 (d, J = 4.4 Hz, 1H), 8.70 (s, 1H), 8.17 (d, J = 8.2 Hz, 1H), 8.05 (d, J = 8.2 Hz, 1H), 7.77 (td, J = 8.0, 1.6 Hz, 1H), 7.61 (td, J = 8.0, 1.6 Hz, 1H), 7.21 (d, J = 3.6 Hz, 1H), 6.85 (d, J = 4.4 Hz, 1H), 6.70 (d, J = 3.6 Hz, 1H), 5.96 (s, 2H); 13C-NMR (100 MHz, CDCl3) δ 152.8, 151.4, 151.3, 150.4, 148.5, 141.5, 130.7, 130.0, 129.1, 127.7, 126.0, 122.6, 119.6, 117.7, 100.9, 45.3. HRMS (ESI+) m/z calcd. for C16H12ClN4 [M + H]+ 295.0745, found 295.0744.
4-((4-Chloro-7H-pyrrolo[2,3-d]pyrimidin-7-yl)methyl)-1-naphthonitrile (34n). Compound 34n was prepared from 33 (154 mg, 1.00 mmol) and 4-(bromomethyl)-1-naphthonitrile (295 mg, 1.20 mmol) in a fashion similar to the one described for compound 34a. Pale solid, 296 mg, yield 93%. 1H-NMR (400 MHz, CDCl3) δ 8.71 (s, 1H), 8.31 (d, J = 8.4 Hz, 1H), 8.16 (d, J = 8.4 Hz, 1H), 7.84 (d, J = 7.4 Hz, 1H), 7.74 (td, J = 7.4, 1.2 Hz, 1H), 7.67 (td, J = 7.4, 1.2 Hz, 1H), 7.17 (d, J = 3.6 Hz, 1H), 7.12 (d, J = 7.4 Hz, 1H), 6.66 (d, J = 3.6 Hz, 1H), 5.98 (s, 2H); 13C-NMR (100 MHz, CDCl3) δ 152.8, 151.3 (×2), 137.8, 132.7, 132.3, 130.7, 129.0, 128.9, 128.8, 126.4, 124.8, 123.6, 117.7, 117.5, 111.4, 100.9, 46.2. HRMS (ESI+) m/z calcd. for C18H12ClN4 [M + H]+ 319.0745, found 319.0731.
2-Chloro-6-((4-chloro-7H-pyrrolo[2,3-d]pyrimidin-7-yl)methyl)quinolone (34o). Compound 34o was prepared from 33 (154 mg, 1.00 mmol) and 6-(bromomethyl)-2-chloroquinoline (307 mg, 1.20 mmol) in a fashion similar to the one described for compound 34a. Pale solid, 329 mg, quantitative yield. 1H-NMR (400 MHz, CDCl3) δ 8.68 (s, 1H), 8.03 (d, J = 8.7 Hz, 1H), 7.98 (d, J = 8.7 Hz, 1H), 7.61–7.58 (m, 2H), 7.39 (d, J = 8.6 Hz, 1H), 7.27 (d, J = 3.6 Hz, 1H), 6.67 (d, J = 3.6 Hz, 1H), 5.64 (s, 2H); 13C-NMR (100 MHz, CDCl3) δ 152.7, 151.4 (×2), 151.3, 147.6, 138.8, 135.4, 130.0, 129.7, 129.1, 126.9, 126.1, 123.2, 117.7, 100.6, 48.4. HRMS (ESI+) m/z calcd. for C16H11Cl2N4 [M + H]+ 329.0355, found 329.0342.
N-(3-Chlorobenzyl)-7-(4-nitrobenzyl)-7H-pyrrolo [2,3-d]pyrimidin-4-amine (1). A mixture of 34a (289 mg, 1.00 mmol), DIPEA (0.35 mL, 2.01 mmol) and 3-chlorobenzylamine (244 µL, 2.00 mmol) in anhydrous 2-methoxyethan-1-ol (10 mL) was heated at 100 °C for 20 h. Additional 3-chlorobenzylamine (244 µL, 2.00 mmol) was added and the resulting mixture was heated at 100 °C for 10 h. After being allowed to cool to rt, the reaction mixture was concentrated and the residue was partitioned between EtOAc (20 mL) and water (40 mL). After separation, the aqueous layer was extracted with EtOAc (20 mL). The combined organic layer was concentrated and the residue was purified by flash column chromatography (30%–90% EtOAc/hexanes) to afford compound 1 as a brownish syrup (370 mg, 94%). 1H-NMR (400 MHz, CDCl3) δ 8.39 (s, 1H), 8.15 (d, J = 8.6 Hz, 2H), 7.38 (s, 1H), 7.30 (d, J = 8.6 Hz, 2H), 7.27–7.25 (m, 3H), 6.92 (d, J = 3.6 Hz, 1H), 6.40 (d, J = 3.6 Hz, 1H), 5.49 (s, 2H), 5.43 (t, J = 6.0 Hz, 1H), 4.84 (d, J = 6.0 Hz, 2H); 13C-NMR (100 MHz, CDCl3) δ 156.4, 152.6, 150.4, 147.7, 144.8, 141.1, 134.8, 130.1, 128.1, 127.8 (×2), 125.9, 124.2, 124.1, 103.1, 98.7, 47.5, 44.6. HRMS (ESI+) m/z calcd. for C20H17ClN5O2 [M + H]+ 394.1065, found 394.1065.
7-(4-Aminobenzyl)-N-(3-chlorobenzyl)-7H-pyrrolo[2,3-d]pyrimidin-4-amine (2). A mixture of compound 1 (173 mg, 0.439 mmol) and SnCl2 (583 mg, 3.07 mmol) in anhydrous EtOH (6 mL) was heated at 70 °C for 21 h. After being allowed to cool to rt, the reaction mixture was diluted with EtOAc (15 mL) and saturated NaHCO3 (8 mL) and water (2 mL) were added. The resulting mixture was filtered through a pad of Celite. The organic layer of the filtrate was separated, washed with brine (20 mL) and dried over Na2SO4. After filtration, the filtrate was concentrated and the residue was purified by flash column chromatography using (0%–10% MeOH/CH2Cl2) to afford compound 2 as a pale solid (94 mg, 59%). 1H-NMR (400 MHz, CDCl3) δ 8.42 (s, 1H), 7.37 (s, 1H), 7.26–7.24 (m, 3H), 7.05 (d, J = 8.6 Hz, 2H), 6.87 (d, J = 3.6 Hz, 1H), 6.61 (d, J = 8.6 Hz, 2H), 6.29 (d, J = 3.6 Hz, 1H), 5.32 (t, J = 6.0 Hz, 1H), 5.25 (s, 2H), 4.83 (d, J = 6.0 Hz, 2H), 3.66 (s, 2H); 13C-NMR (100 MHz, CDCl3) δ 156.3, 152.1, 150.2, 146.2, 141.3, 134.7, 130.1, 129.2, 127.8, 127.7, 127.2, 125.9, 124.3, 115.4, 103.1, 97.6, 47.8, 44.6. HRMS (ESI+) m/z calcd. for C20H19ClN5 [M + H]+ 364.1323, found 364.1322.
7-Benzyl-N-(3-chlorobenzyl)-7H-pyrrolo[2,3-d]pyrimidin-4-amine (3). A mixture of 34b (74 mg, 0.30 mmol), DIPEA (0.21 mL, 1.2 mmol) and 3-chlorobenzylamine (0.15 mL, 1.2 mmol) in anhydrous 2-methoxyethan-1-ol (3 mL) was heated at 100 °C for 24 h. After being allowed to cool to rt, the reaction mixture was concentrated and the residue was partitioned between EtOAc (10 mL) and water (10 mL). After separation, the organic layer was concentrated and the residue was purified by flash column chromatography (10%–80% EtOAc/hexanes) to afford compound 3 as a yellowish solid (79 mg, 74%). 1H-NMR (400 MHz, CDCl3) δ 8.42 (s, 1H), 7.38 (s, 1H), 7.33–7.25 (m, 8H), 7.22–7.18 (m, 2H), 6.89 (d, J = 3.6 Hz, 1H), 6.33 (d, J = 3.6 Hz, 1H), 5.39 (s, 2H), 5.36 (s, 1H), 4.83 (d, J = 6.0 Hz, 2H); 13C-NMR (100 MHz, CDCl3) δ 156.3, 152.2, 150.4, 141.3, 137.4, 134.7, 130.1, 128.9, 127.9, 127.8, 127.7, 127.6, 125.9, 124.5, 103.0, 97.9, 48.1, 44.7. HRMS (ESI+) m/z calcd. for C20H18ClN4 [M + H]+ 349.1215, found 349.1214.
N-(3-Chlorobenzyl)-7-(2-nitrobenzyl)-7H-pyrrolo[2,3-d]pyrimidin-4-amine (4). Compound 4 was prepared from 34c (80 mg, 0.28 mmol) and 3-chlorobenzylamine (135 µL, 1.10 mmol) in a fashion similar to the one described for compound 3. Yellow solid, 95 mg, yield 87%. 1H-NMR (400 MHz, CDCl3) δ 8.37 (s, 1H), 8.13 (dd, J = 8.1, 1.6 Hz, 1H), 7.49–7.39 (m, 3H), 7.30–7.26 (m, 3H), 6.99 (d, J = 3.6 Hz, 1H), 6.76 (dd, J = 8.1, 1.6 Hz, 1H), 6.43 (d, J = 3.6 Hz, 1H), 5.82 (s, 2H), 5.41 (t, J = 6.0 Hz, 1H), 4.84 (d, J = 6.0 Hz, 2H); 13C-NMR (100 MHz, CDCl3) δ 156.4, 152.6, 150.6, 147.5, 141.2, 134.7, 134.2, 133.7, 130.2, 129.9, 128.6, 127.9, 127.8, 125.9, 125.4, 124.9, 103.2, 98.6, 45.7, 44.7. HRMS (ESI+) m/z calcd. for C20H17ClN5O2 [M + H]+ 394.1065, found 394.1068.
N-(3-Chlorobenzyl)-7-(3-nitrobenzyl)-7H-pyrrolo[2,3-d]pyrimidin-4-amine (5). Compound 5 was prepared from 34d (80 mg, 0.28 mmol) and 3-chlorobenzylamine (135 µL, 1.10 mmol) in a fashion similar to the one described for compound 3. Yellow solid, 103 mg, yield 94%. 1H-NMR (400 MHz, CDCl3) δ 8.40 (s, 1H), 8.12 (ddd, J = 7.8, 3.8, 1.8 Hz, 1H), 8.05 (s, 1H), 7.53–7.46 (m, 2H), 7.38 (s, 1H), 7.28–7.25 (m, 3H), 6.94 (d, J = 3.6 Hz, 1H), 6.41 (d, J = 3.6 Hz, 1H), 5.49 (s, 2H), 5.46 (t, J = 6.0 Hz, 1H), 4.84 (d, J = 6.0 Hz, 2H); 13C-NMR (100 MHz, CDCl3) δ 156.4, 152.6, 150.3, 148.6, 141.1, 139.7, 134.7, 133.5, 130.1, 129.9, 127.8, 127.7, 125.9, 124.0, 123.0, 122.3, 103.1, 98.7, 47.4, 44.6. HRMS (ESI+) m/z calcd. for C20H17ClN5O2 [M + H]+ 394.1065, found 394.1065.
N-(3-Chlorobenzyl)-7-(4-(trifluoromethyl)benzyl)-7H-pyrrolo[2,3-d]pyrimidin-4-amine (6). Compound 6 was prepared from 34e (62 mg, 0.20 mmol) and 3-chlorobenzylamine (98 µL, 0.80 mmol) in a fashion similar to the one described for compound 3. Yellow syrup, 74 mg, yield 89%. 1H-NMR (400 MHz, CDCl3) δ 8.41 (s, 1H), 7.56 (d, J = 8.2 Hz, 2H), 7.39 (s, 1H), 7.30–7.27 (m, 5H), 6.91 (d, J = 3.6 Hz, 1H), 6.37 (d, J = 3.6 Hz, 1H), 5.45 (s, 2H), 5.33 (t, J = 6.0 Hz, 1H), 4.85 (d, J = 6.0 Hz, 2H); 13C-NMR (100 MHz, CDCl3) δ 156.4, 152.5, 150.4, 141.5, 141.2, 134.7, 130.2 (q, JCF = 32.5 Hz), 130.1, 127.9, 127.8, 127.7, 125.9 (q, JCF = 3.6 Hz), 125.9, 124.2, 124.1 (q, JCF = 273.8 Hz), 103.1, 98.3, 47.7, 44.7. HRMS (ESI+) m/z calcd. for C21H17ClF3N5 [M + H]+ 431.1119, found 431.1112.
N-(3-Chlorobenzyl)-7-(4-(methylsulfonyl)benzyl)-7H-pyrrolo[2,3-d]pyrimidin-4-amine (7). Compound 7 was prepared from 34f (64 mg, 0.20 mmol) and 3-chlorobenzylamine (98 µL, 0.80 mmol) in a fashion similar to the one described for compound 3. Pale solid, 82 mg, yield 96%. 1H-NMR (400 MHz, CDCl3) δ 8.40 (s, 1H), 7.87 (d, J = 8.4 Hz, 2H), 7.38 (s, 1H), 7.34 (d, J = 8.4 Hz, 2H), 7.29–7.26 (m, 3H), 6.92 (d, J = 3.6 Hz, 1H), 6.40 (d, J = 3.6 Hz, 1H), 5.49 (s, 2H), 5.39 (t, J = 6.0 Hz, 1H), 4.84 (d, J = 6.0 Hz, 2H), 3.01 (s, 3H); 13C-NMR (100 MHz, CDCl3) δ 156.4, 152.6, 150.4, 143.8, 141.2, 140.1, 134.7, 130.1, 128.2, 128.1, 127.8 (×2), 125.9, 124.2, 103.1, 98.6, 47.6, 44.6 (×2). HRMS (ESI+) m/z calcd. for C21H20ClN4O2S [M + H]+ 427.0990, found 427.0993.
4-((4-((3-Chlorobenzyl)amino)-7H-pyrrolo[2,3-d]pyrimidin-7-yl)methyl)benzonitrile (8). Compound 8 was prepared from 34g (54 mg, 0.20 mmol) and 3-chlorobenzylamine (98 µL, 0.80 mmol) in a fashion similar to the one described for compound 3. Yellow syrup, 70 mg, yield 93%. 1H-NMR (400 MHz, CDCl3) δ 8.41 (s, 1H), 7.60 (d, J = 8.6 Hz, 2H), 7.40 (s, 1H), 7.31–7.27 (m, 5H), 6.92 (d, J = 3.6 Hz, 1H), 6.41 (d, J = 3.6 Hz, 1H), 5.47 (s, 2H), 5.43 (t, J = 6.0 Hz, 1H), 4.86 (d, J = 6.0 Hz, 2H); 13C-NMR (100 MHz, CDCl3) δ 156.4, 152.5, 150.4, 142.9, 141.1, 134.7, 132.7, 130.1, 127.9, 127.8 (×2), 125.9, 124.1, 118.7, 111.8, 103.1, 98.6, 47.7, 44.6. HRMS (ESI+) m/z calcd. for C21H17ClN5 [M + H]+ 374.1167, found 374.1174.
N-(3-Chlorobenzyl)-7-(3-(trifluoromethyl)benzyl)-7H-pyrrolo[2,3-d]pyrimidin-4-amine (9). Compound 9 was prepared from 34h (79 mg, 0.25 mmol) and 3-chlorobenzylamine (122 µL, 1.00 mmol) in a fashion similar to the one described for compound 3. Pale solid, 99 mg, yield 94%. 1H-NMR (400 MHz, CDCl3) δ 8.42 (s, 1H), 7.53 (d, J = 8.0 Hz, 2H), 7.48 (s, 1H), 7.44–7.33 (m, 3H), 7.29–7.25 (m, 3H), 6.91 (d, J = 3.6 Hz, 1H), 6.37 (d, J = 3.6 Hz, 1H), 5.45 (s, 2H), 5.37 (t, J = 6.0 Hz, 1H), 4.84 (d, J = 6.0 Hz, 2H); 13C-NMR (100 MHz, CDCl3) δ 156.4, 152.5, 150.4, 141.2, 138.5, 134.7, 131.3 (q, JCF = 32.2 Hz), 130.9, 130.1, 129.5, 127.9, 127.8, 125.9, 124.8 (q, JCF = 3.8 Hz), 124.3 (q, JCF = 3.8 Hz), 124.2 124.0 (q, JCF = 273.1 Hz), 103.1, 98.4, 47.6, 44.7. HRMS (ESI+) m/z calcd. for C21H17ClF3N5 [M + H]+ 431.1119, found 431.1109.
N-(3-Chlorobenzyl)-7-(3-(methylsulfonyl)benzyl)-7H-pyrrolo[2,3-d]pyrimidin-4-amine (10). Compound 10 was prepared from 34i (80 mg, 0.25 mmol) and 3-chlorobenzylamine (122 µL, 1.00 mmol) in a fashion similar to the one described for compound 3. Pale solid, 105 mg, yield 99%. 1H-NMR (400 MHz, CDCl3) δ 8.39 (s, 1H), 7.84 (dd, J = 8.0, 1.6 Hz, 1H), 7.81 (s, 1H), 7.50 (t, J = 8.0 Hz, 1H), 7.43 (dd, J = 8.0, 1.6 Hz, 1H), 7.28–7.25 (m, 3H), 6.92 (d, J = 3.6 Hz, 1H), 6.39 (d, J = 3.6 Hz, 1H), 5.47 (s, 2H), 5.41 (t, J = 6.0 Hz, 1H), 4.84 (d, J = 6.0 Hz, 2H), 3.01 (s, 3H); 13C-NMR (100 MHz, CDCl3) δ 156.4, 152.5, 150.3, 141.2, 141.1, 139.5, 134.7, 132.7, 130.2, 130.1, 127.9, 127.8, 126.9, 126.1, 125.9, 124.1, 103.1, 98.6, 47.5, 44.6 (×2). HRMS (ESI+) m/z calcd. for C21H20ClN4O2S [M + H]+ 427.0990, found 427.0980.
3-((4-((3-Chlorobenzyl)amino)-7H-pyrrolo[2,3-d]pyrimidin-7-yl)methyl)benzonitrile (11). Compound 11 was prepared from 34j (67 mg, 0.25 mmol) and 3-chlorobenzylamine (122 µL, 1.00 mmol) in a fashion similar to the one described for compound 3. Pale solid, 93 mg, quantitative yield. 1H-NMR (400 MHz, CDCl3) δ 8.40 (s, 1H), 7.55 (dd, J = 8.2, 1.8 Hz, 1H), 7.44–7.38 (m, 4H), 7.29–7.25 (m, 3H), 6.90 (d, J = 3.6 Hz, 1H), 6.39 (d, J = 3.6 Hz, 1H), 5.42 (t, J = 6.0 Hz, 1H), 5.41 (s, 2H), 4.84 (d, J = 6.0 Hz, 2H); 13C-NMR (100 MHz, CDCl3) δ 156.4, 152.6, 150.3, 141.1, 139.2, 134.7, 131.8, 131.6, 130.8, 130.1, 129.8, 127.9, 127.8, 125.9, 124.0, 118.6, 113.1, 103.1, 98.6, 47.3, 44.6. HRMS (ESI+) m/z calcd. for C21H17ClN5 [M + H]+ 374.1167, found 374.1166.
N-(3-Chlorobenzyl)-7-(naphthalen-1-ylmethyl)-7H-pyrrolo[2,3-d]pyrimidin-4-amine (12). Compound 12 was prepared from 34k (89 mg, 0.30 mmol) and 3-chlorobenzylamine (0.15 mL, 1.2 mmol) in a fashion similar to the one described for compound 3. Yellowish solid, 91 mg, yield 75%. 1H-NMR (400 MHz, CDCl3) δ 8.45 (s, 1H), 7.81–7.75 (m, 3H), 7.65 (s, 1H), 7.48–7.44 (m, 2H), 7.39 (s, 1H), 7.33 (dd, J = 8.6, 1.8 Hz, 1H), 7.28–7.24 (m, 3H), 6.93 (d, J = 3.6 Hz, 1H), 6.34 (d, J = 3.6 Hz, 1H), 5.55 (s, 2H), 5.39 (t, J = 6.0 Hz, 1H), 4.84 (d, J = 6.0 Hz, 2H); 13C-NMR (100 MHz, CDCl3) δ 156.3, 152.3, 150.4, 141.3, 134.9, 134.7, 133.4, 133.0, 130.1, 128.3, 128.0, 127.8 (×2), 127.7, 126.5 (×2), 126.2, 125.9, 125.6, 124.5, 103.1, 98.0, 48.3, 44.7. HRMS (ESI+) m/z calcd. for C24H20ClN4 [M + H]+ 399.1371, found 399.1367.
N-(3-Chlorobenzyl)-7-(naphthalen-2-ylmethyl)-7H-pyrrolo[2,3-d]pyrimidin-4-amine (13). Compound 13 was prepared from 34l (90 mg, 0.31 mmol) and 3-chlorobenzylamine (0.15 mL, 1.2 mmol) in a fashion similar to the one described for compound 3. Pale solid, 111 mg, yield 91%. 1H-NMR (400 MHz, CDCl3) δ 8.49 (s, 1H), 8.04 (dd, J = 7.4, 1.8 Hz, 1H), 7.87 (dd, J = 7.4, 1.8 Hz, 1H), 7.83 (d, J = 8.2 Hz, 1H), 7.51–7.46 (m, 2H), 7.43 (d, J = 8.2 Hz, 1H), 7.39 (s, 1H), 7.29–7.25 (m, 3H), 7.22 (d, J = 7.4 Hz, 1H), 6.80 (d, J = 3.6 Hz, 1H), 6.29 (d, J = 3.6 Hz, 1H), 5.84 (s, 2H), 5.32 (t, J = 6.0 Hz, 1H), 4.84 (d, J = 6.0 Hz, 2H); 13C-NMR (100 MHz, CDCl3) δ 156.4, 152.3, 150.2, 141.3, 134.7, 134.0, 132.6, 131.4, 130.1, 129.1, 128.9, 127.9, 127.8, 126.9, 126.7, 126.2, 125.9, 125.5, 124.3, 123.3, 103.1, 97.8, 46.0, 44.7. HRMS (ESI+) m/z calcd. for C24H20ClN4 [M + H]+ 399.1371, found 399.1365.
N-(3-Chlorobenzyl)-7-(quinolin-4-ylmethyl)-7H-pyrrolo[2,3-d]pyrimidin-4-amine (14). Compound 14 was prepared from 34m (74 mg, 0.25 mmol) and 3-chlorobenzylamine (122 µL, 1.00 mmol) in a fashion similar to the one described for compound 3. Pale solid, 84 mg, yield 84%. 1H-NMR (400 MHz, CDCl3) δ 8.80 (d, J = 4.4 Hz, 1H), 8.44 (s, 1H), 8.15 (dd, J = 8.4, 1.2 Hz, 1H), 8.08 (dd, J = 8.4, 1.2 Hz, 1H), 7.75 (td, J = 7.8, 1.3 Hz, 1H), 7.60 (td, J = 7.8, 1.3 Hz, 1H), 7.40 (s, 1H), 7.31–7.27 (m, 3H), 6.90 (d, J = 3.6 Hz, 1H), 6.81 (d, J = 4.4 Hz, 1H), 6.41 (d, J = 3.6 Hz, 1H), 5.89 (s, 2H), 5.37 (t, J = 6.0 Hz, 1H), 4.86 (d, J = 6.0 Hz, 2H); 13C-NMR (100 MHz, CDCl3) δ 156.5, 152.6, 150.5 (×2), 148.4, 142.7, 141.2, 134.8, 130.5, 130.2, 129.8, 127.9, 127.8, 127.4, 126.2, 126.0, 124.4, 122.8, 119.4, 103.1, 98.6, 44.9, 44.7. HRMS (ESI+) m/z calcd. for C23H19ClN4 [M + H]+ 400.1323, found 400.1311.
4-((4-((3-Chlorobenzyl)amino)-7H-pyrrolo[2,3-d]pyrimidin-7-yl)methyl)-1-naphthonitrile (15). Compound 15 was prepared from 34n (80 mg, 0.25 mmol) and 3-chlorobenzylamine (122 µL, 1.00 mmol) in a fashion similar to the one described for compound 3. Pale solid, 104 mg, yield 98%. 1H-NMR (400 MHz, CDCl3) δ 8.43 (s, 1H), 8.28 (dd, J = 8.4, 1.2 Hz, 1H), 8.18 (dd, J = 8.4, 1.2 Hz, 1H), 7.81 (d, J = 7.8 Hz, 1H), 7.72 (td, J = 7.8, 1.3 Hz, 1H), 7.66 (td, J = 7.8, 1.3 Hz, 1H), 7.39 (s, 1H), 7.29–7.26 (m, 3H), 7.04 (d, J = 7.8 Hz, 1H), 6.85 (d, J = 3.6 Hz, 1H), 6.38 (d, J = 3.6 Hz, 1H), 5.90 (s, 2H), 5.42 (t, J = 6.0 Hz, 1H), 4.85 (d, J = 6.0 Hz, 2H); 13C-NMR (100 MHz, CDCl3) δ 156.5, 152.6, 150.3, 141.1, 139.0, 134.7, 132.6, 132.4, 130.7, 130.1, 128.8, 128.5, 127.9, 127.8, 126.2, 125.9, 124.4, 124.2, 123.8, 117.8, 110.8, 103.1, 98.6, 45.8, 44.7. HRMS (ESI+) m/z calcd. for C25H19ClN5 [M + H]+ 424.1323, found 424.1294.
N-(3-Chlorobenzyl)-7-((2-chloroquinolin-6-yl)methyl)-7H-pyrrolo[2,3-d]pyrimidin-4-amine (16). Compound 16 was prepared from 34o (310 mg, 0.942 mmol) and 3-chlorobenzylamine (0.46 mL, 3.78 mmol) in a fashion similar to the one described for compound 3. Pale solid, 381 mg, yield 93%. 1H-NMR (400 MHz, CDCl3) δ 8.43 (s, 1H), 8.01 (d, J = 8.6 Hz, 1H), 7.96 (d, J = 8.6 Hz, 1H), 7.60–7.56 (m, 2H), 7.39 (s, 1H), 7.36 (d, J = 8.6 Hz, 1H), 7.29–7.25 (m, 3H), 6.95 (d, J = 3.6 Hz, 1H), 6.39 (d, J = 3.6 Hz, 1H), 5.57 (s, 2H), 5.42 (t, J = 6.0 Hz, 1H), 4.85 (d, J = 6.0 Hz, 2H); 13C-NMR (100 MHz, CDCl3) δ 156.4, 152.5, 151.0, 150.4, 147.5, 141.2, 138.9, 136.5, 134.7, 130.1 (×2), 129.4, 127.8 (×2), 126.9, 125.9, 125.8, 124.3, 122.9, 103.1, 98.4, 47.8, 44.6. HRMS (ESI+) m/z calcd. for C23H18Cl2N5 [M + H]+ 434.0934, found 434.0910.
7-(4-Nitrobenzyl)-7H-pyrrolo[2,3-d]pyrimidin-4-amine (17). A mixture of compound 34a (201 mg, 0.696 mmol) in 1,4-dioxane (5.0 mL) and strong ammonia (5.0 mL) in a seal tube was heated at 120 °C for 4 h. After being allowed to cool to rt, the reaction mixture was concentrated and the residue was purified by flash column chromatography (0%–10% MeOH/CH2Cl2) to afford compound 17 as a yellow solid (109 mg, 58%). 1H-NMR (400 MHz, DMSO-d6) δ 8.16 (d, J = 8.7 Hz, 2H), 8.04 (s, 1H), 7.38 (d, J = 8.7 Hz, 2H), 7.24 (d, J = 3.6 Hz, 1H), 7.02 (s, 2H), 6.61 (d, J = 3.6 Hz, 1H), 5.47 (s, 2H); 13C-NMR (100 MHz, DMSO-d6) δ 157.7, 152.1, 149.8, 147.0, 146.2, 128.4, 124.5, 123.9, 102.6, 99.6, 46.8. HRMS (ESI+) m/z calcd. for C13H12N5O2 [M + H]+ 270.0986, found 270.0985.
N-Benzyl-7-(4-nitrobenzyl)-7H-pyrrolo[2,3-d]pyrimidin-4-amine (18). Compound 18 was prepared from 34a (58 mg, 0.20 mmol) and benzylamine (87 µL, 0.80 mmol) in a fashion similar to the one described for compound 3. Yellow solid, 68 mg, yield 95%. 1H-NMR (400 MHz, CDCl3) δ 8.40 (s, 1H), 8.15 (d, J = 8.7 Hz, 2H), 7.42–7.35 (m, 4H), 7.33–7.28 (m, 3H), 6.90 (d, J = 3.6 Hz, 1H), 6.39 (d, J = 3.6 Hz, 1H), 5.49 (s, 2H), 5.35 (t, J = 6.0 Hz, 1H), 4.86 (d, J = 6.0 Hz, 2H); 13C-NMR (100 MHz, CDCl3) δ 156.6, 152.7, 150.4, 147.7, 144.9, 138.8, 129.0, 128.1, 127.9, 127.8, 124.2, 123.9, 103.1, 98.8, 47.5, 45.4. HRMS (ESI+) m/z calcd. for C20H18N5O2 [M + H]+ 360.1455, found 360.1450.
N-(2-Chlorobenzyl)-7-(4-nitrobenzyl)-7H-pyrrolo[2,3-d]pyrimidin-4-amine (19). Compound 19 was prepared from 34a (80 mg, 0.28 mmol) and 2-chlorobenzylamine (134 µL, 1.11 mmol) in a fashion similar to the one described for compound 3. Yellow semi-solid, 108 mg, yield 99%. 1H-NMR (400 MHz, CDCl3) δ 8.39 (s, 1H), 8.14 (d, J = 8.6 Hz, 2H), 7.51–7.48 (m, 1H), 7.40–7.37 (m, 1H), 7.29 (d, J = 8.6 Hz, 2H), 7.25–7.21 (m, 2H), 6.90 (d, J = 3.6 Hz, 1H), 6.39 (d, J = 3.6 Hz, 1H), 5.52 (t, J = 6.0 Hz, 1H), 5.48 (s, 2H), 4.95 (d, J = 6.0 Hz, 2H); 13C-NMR (100 MHz, CDCl3) δ 156.5, 152.6, 150.4, 147.6, 144.8, 136.3, 133.7, 130.0, 129.7, 129.0, 128.1, 127.2, 124.2, 124.0, 103.2, 98.8, 47.8, 43.1. HRMS (ESI+) m/z calcd. for C20H17ClN5O2 [M + H]+ 394.1065, found 394.1064.
N-(4-Chlorobenzyl)-7-(4-nitrobenzyl)-7H-pyrrolo[2,3-d]pyrimidin-4-amine (20). Compound 20 was prepared from 34a (80 mg, 0.28 mmol) and 4-chlorobenzylamine (135 µL, 1.11 mmol) in a fashion similar to the one described for compound 3. Yellow solid, 109 mg, quantitative yield. 1H-NMR (400 MHz, CDCl3) δ 8.39 (s, 1H), 8.15 (d, J = 8.6 Hz, 2H), 7.33–7.29 (m, 6H), 6.91 (d, J = 3.6 Hz, 1H), 6.39 (d, J = 3.6 Hz, 1H), 5.49 (s, 2H), 5.34 (t, J = 6.0 Hz, 1H), 4.83 (d, J = 6.0 Hz, 2H); 13C-NMR (100 MHz, CDCl3) δ 156.4, 152.6, 150.4, 147.7, 144.8, 137.5, 133.5, 129.2, 129.0, 128.1, 124.2, 124.1, 103.1, 98.7, 47.5, 44.6. HRMS (ESI+) m/z calcd. for C20H17ClN5O2 [M + H]+ 394.1065, found 394.1062.
N-(2,3-Dichlorobenzyl)-7-(4-nitrobenzyl)-7H-pyrrolo[2,3-d]pyrimidin-4-amine (21). Compound 21 was prepared from 34a (58 mg, 0.20 mmol) and 2,3-dichlorobenzylamine (0.11 mL, 0.82 mmol) in a fashion similar to the one described for compound 3. Yellowish solid, 86 mg, quantitative yield. 1H-NMR (400 MHz, CDCl3) δ 8.38 (s, 1H), 8.15 (d, J = 8.6 Hz, 2H), 7.43–7.38 (m, 2H), 7.31 (d, J = 8.6 Hz, 2H), 7.17 (t, J = 7.7 Hz, 1H), 6.92 (d, J = 3.6 Hz, 1H), 6.39 (d, J = 3.6 Hz, 1H), 5.54 (t, J = 6.0 Hz, 1H), 5.48 (s, 2H), 4.96 (d, J = 6.0 Hz, 2H); 13C-NMR (100 MHz, CDCl3) δ 156.4, 152.5, 150.4, 147.7, 144.8, 138.8, 133.4, 131.8, 129.7, 128.1, 127.9, 127.5, 124.2 (×2), 103.2, 98.6, 47.5, 43.7. HRMS (ESI+) m/z calcd. for C20H16Cl2N5O2 [M + H]+ 428.0676, found 428.0660.
N-(2,5-Dichlorobenzyl)-7-(4-nitrobenzyl)-7H-pyrrolo[2,3-d]pyrimidin-4-amine (22). Compound 22 was prepared from 34a (58 mg, 0.20 mmol) and 2,5-dichlorobenzylamine (0.11 mL, 0.82 mmol) in a fashion similar to the one described for compound 3. Yellowish solid, 83 mg, yield 96%. 1H-NMR (400 MHz, CDCl3) δ 8.41 (s, 1H), 8.16 (d, J = 8.6 Hz, 2H), 7.48 (d, J = 2.4 Hz, 1H), 7.34–7.30 (m, 3H), 7.20 (dd, J = 8.4, 2.4 Hz, 1H), 6.93 (d, J = 3.6 Hz, 1H), 6.40 (d, J = 3.6 Hz, 1H), 5.51 (t, J = 6.0 Hz, 1H), 5.49 (s, 2H), 4.92 (d, J = 6.0 Hz, 2H); 13C-NMR (100 MHz, CDCl3) δ 156.3, 152.5, 150.4, 147.7, 144.7, 138.2, 133.1, 131.7, 130.8, 129.6, 128.9, 128.1, 124.2 (×2), 103.2, 98.6, 47.5, 42.7. HRMS (ESI+) m/z calcd. for C20H16Cl2N5O2 [M + H]+ 428.0676, found 428.0670.
N-(3,4-Dichlorobenzyl)-7-(4-nitrobenzyl)-7H-pyrrolo[2,3-d]pyrimidin-4-amine (23). Compound 23 was prepared from 34a (46 mg, 0.16 mmol) and 3,4-dichlorobenzylamine (115 mg, 0.653 mmol) in a fashion similar to the one described for compound 3. Yellowish solid, 65 mg, yield 95%. 1H-NMR (400 MHz, CDCl3) δ 8.39 (s, 1H), 8.16 (d, J = 8.6 Hz, 2H), 7.49 (d, J = 2.3 Hz, 1H), 7.41 (d, J = 8.2 Hz, 1H), 7.32 (d, J = 8.6 Hz, 2H), 7.14 (dd, J = 8.4, 2.3 Hz, 1H), 6.94 (d, J = 3.6 Hz, 1H), 6.40 (d, J = 3.6 Hz, 1H), 5.50 (s, 2H), 5.40 (t, J = 6.0 Hz, 1H), 4.83 (d, J = 6.0 Hz, 2H); 13C-NMR (100 MHz, CDCl3) δ 156.3, 152.5, 150.4, 147.7, 144.7, 138.1, 133.0, 132.0, 130.8, 129.6, 128.1, 127.1, 124.3, 124.2, 103.1, 98.6, 47.5, 44.1. HRMS (ESI+) m/z calcd. for C20H16Cl2N5O2 [M + H]+ 428.0676, found 428.0665.
N-(Naphthalen-1-ylmethyl)-7-(4-nitrobenzyl)-7H-pyrrolo[2,3-d]pyrimidin-4-amine (24). Compound 24 was prepared from 34a (58 mg, 0.20 mmol) and naphthalen-1-ylmethanamine (0.12 mL, 0.82 mmol) in a fashion similar to the one described for compound 3. Yellowish solid, 63 mg, yield 76%. 1H-NMR (400 MHz, CDCl3) δ 8.48 (s, 1H), 8.15 (d, J = 8.8 Hz, 2H), 8.13–8.11 (m, 1H), 7.92–7.89 (m, 1H), 7.85 (d, J = 8.2 Hz, 1H), 7.58–7.51 (m, 3H), 7.46 (dd, J = 8.2, 6.8 Hz, 1H), 7.31 (d, J = 8.8 Hz, 2H), 6.89 (d, J = 3.6 Hz, 1H), 6.32 (d, J = 3.6 Hz, 1H), 5.49 (s, 2H), 5.30–5.28 (m, 3H); 13C-NMR (100 MHz, CDCl3) δ 156.4, 152.7, 150.3, 147.7, 144.9, 134.1, 133.9, 131.7, 129.0, 128.8, 128.1, 126.8 (×2), 126.2, 125.6, 124.2, 123.9, 123.7, 103.1, 98.8, 47.5, 43.7. HRMS (ESI+) m/z calcd. for C24H20N5O2 [M + H]+ 410.1612, found 410.1611.
4-((4-((3-Methylbenzyl)amino)-7H-pyrrolo[2,3-d]pyrimidin-7-yl)methyl)benzonitrile (25). Compound 25 was prepared from 34g (45 mg, 0.17 mmol) and 3-methylbenzylamine (85 µL, 0.68 mmol) in a fashion similar to the one described for compound 3. Yellowish semi-solid, 56 mg, yield 95%. 1H-NMR (400 MHz, CDCl3) δ 8.40 (s, 1H), 7.58 (d, J = 8.4 Hz, 2H), 7.27–7.18 (m, 5H), 7.12 (d, J = 7.4 Hz, 1H), 6.88 (d, J = 3.6 Hz, 1H), 6.38 (d, J = 3.6 Hz, 1H), 5.44 (s, 2H), 5.32 (t, J = 6.0 Hz, 1H), 4.81 (d, J = 6.0 Hz, 2H), 2.35 (s, 3H); 13C-NMR (100 MHz, CDCl3) δ 156.5, 152.6, 150.3, 142.9, 138.7 (×2), 132.7, 128.8, 128.7, 128.5, 127.9, 125.0, 123.9, 118.7, 111.8, 103.0, 98.8, 47.7, 45.5, 21.5. HRMS (ESI+) m/z calcd. for C22H20N5 [M + H]+ 354.1713, found 354.1712.
4-((4-((2-Chlorobenzyl)amino)-7H-pyrrolo[2,3-d]pyrimidin-7-yl)methyl)benzonitrile (26). Compound 26 was prepared from 34g (45 mg, 0.17 mmol) and 2-chlorobenzylamine (81 µL, 0.67 mmol) in a fashion similar to the one described for compound 3. Pale solid, 55 mg, yield 88%. 1H-NMR (400 MHz, CDCl3) δ 8.39 (s, 1H), 7.58 (d, J = 8.6 Hz, 2H), 7.49 (dd, J = 7.4, 3.0 Hz, 1H), 7.39 (dd, J = 7.4, 3.0 Hz, 1H), 7.26–7.22 (m, 4H), 6.86 (d, J = 3.6 Hz, 1H), 6.38 (d, J = 3.6 Hz, 1H), 5.47 (t, J = 6.0 Hz, 1H), 5.44 (s, 2H), 4.95 (d, J = 6.0 Hz, 2H); 13C-NMR (100 MHz, CDCl3) δ 156.5, 152.6, 150.4, 142.9, 136.3, 133.7, 132.7, 130.0, 129.8, 129.0, 127.9, 127.2, 124.1, 118.7, 111.8, 103.1, 98.6, 47.7, 43.1. HRMS (ESI+) m/z calcd. for C21H17ClN5 [M + H]+ 374.1167, found 374.1167.
4-((4-((2,3-Dichlorobenzyl)amino)-7H-pyrrolo[2,3-d]pyrimidin-7-yl)methyl)benzonitrile (27). Compound 27 was prepared from 34g (45 mg, 0.17 mmol) and 2,3-dichlorobenzylamine (118 mg, 0.67 mmol) in a fashion similar to the one described for compound 3. Pale solid, 58 mg, yield 85%. 1H-NMR (400 MHz, CDCl3) δ 8.37 (s, 1H), 7.58 (d, J = 8.4 Hz, 2H), 7.40 (dd, J = 7.8, 1.7 Hz, 2H), 7.24 (d, J = 8.4 Hz, 2H), 7.16 (t, J = 7.8 Hz, 1H), 6.90 (d, J = 3.6 Hz, 1H), 6.38 (d, J = 3.6 Hz, 1H), 5.54 (t, J = 6.0 Hz, 1H), 5.44 (s, 2H), 4.96 (d, J = 6.0 Hz, 2H); 13C-NMR (100 MHz, CDCl3) δ 156.4, 152.5, 150.4, 142.8, 138.8, 133.4, 132.7, 131.8, 129.6, 128.0, 127.9, 127.6, 124.2, 118.7, 111.9, 103.2, 98.5, 47.7, 43.6. HRMS (ESI+) m/z calcd. for C21H16Cl2N5 [M + H]+ 408.0777, found 408.0777.
4-((4-((2,5-Dichlorobenzyl)amino)-7H-pyrrolo[2,3-d]pyrimidin-7-yl)methyl)benzonitrile (28). Compound 28 was prepared from 34g (45 mg, 0.17 mmol) and 2,5-dichlorobenzylamine (90 µL, 0.67 mmol) in a fashion similar to the one described for compound 3. Pale solid, 54 mg, yield 79%. 1H-NMR (400 MHz, CDCl3) δ 8.39 (s, 1H), 7.59 (d, J = 8.4 Hz, 2H), 7.48 (d, J = 2.5 Hz, 1H), 7.32 (d, J = 8.6 Hz, 1H), 7.26 (d, J = 8.4 Hz, 2H), 7.20 (dd, J = 8.6, 2.5 Hz, 1H), 6.91 (d, J = 3.6 Hz, 1H), 6.39 (d, J = 3.6 Hz, 1H), 5.48 (t, J = 6.0 Hz, 1H), 5.44 (s, 2H), 4.92 (d, J = 6.0 Hz, 2H); 13C-NMR (100 MHz, CDCl3) δ 156.3, 152.5, 150.4, 142.8, 138.3, 133.1, 132.8, 131.7, 130.8, 129.6, 128.9, 128.0, 124.3, 118.7, 111.9, 103.2, 98.5, 47.7, 42.7. HRMS (ESI+) m/z calcd. for C21H16Cl2N5 [M + H]+ 408.0777, found 408.0777.
6-Chloro-9-(4-nitrobenzyl)-9H-purine (36a). To a suspension of 6-chloropurine (35, 309 mg, 2.00 mmol) in anhydrous CH3CN (20 mL) were added K2CO3 (830 mg, 6.00 mmol) and 4-nitrobenzyl bromide (516 mg, 2.39 mmol) [14,15]. The resulting mixture was allowed to stir at rt for 22 h and concentrated. The residue was suspended in MeOH (10 mL) and poured into stirring water (60 mL). The precipitate was filtered, washed with water and dried. The residue was purified by flash column chromatography (10%–100% EtOAc/hexanes) to afford compound 36a as a white solid (354 mg, 61%). 1H-NMR (400 MHz, CDCl3) δ 8.78 (s, 1H), 8.23 (d, J = 8.8 Hz, 2H), 8.17 (s, 1H), 7.48 (d, J = 8.8 Hz, 2H), 5.58 (s, 2H); 13C-NMR (100 MHz, CDCl3) δ 152.6, 151.9, 151.8, 148.3, 144.7, 141.6, 131.7, 128.7, 124.6, 47.2. HRMS (ESI+) m/z calcd. for C12H9ClN5O2 [M + H]+ 290.0439, found 290.0437.
4-((6-Chloro-9H-purin-9-yl)methyl)benzonitrile (36b). Compound 36b was prepared from 6-chloropurine (35, 155 mg, 1.00 mmol) and 4-cyanobenzyl bromide (235 mg, 1.20 mmol) in a fashion similar to the one described for compound 36a [15]. White solid, 171 mg, yield 63%. 1H-NMR (400 MHz, CDCl3) δ 8.76 (s, 1H), 8.15 (s, 1H), 7.65 (d, J = 8.6 Hz, 2H), 7.40 (d, J = 8.8 Hz, 2H), 5.52 (s, 2H); 13C-NMR (100 MHz, CDCl3) δ 152.5, 151.9, 151.7, 144.8, 139.8, 133.1, 131.7, 128.5, 118.1, 113.1, 47.4. HRMS (ESI+) m/z calcd. for C13H9ClN5 [M + H]+ 270.0541, found 270.0543.
N-(3-Chlorobenzyl)-9-(4-nitrobenzyl)-9H-purin-6-amine (29). Compound 29 was prepared from 36a (72 mg, 0.25 mmol) and 3-chlorobenzylamine (122 µL, 1.00 mmol) in a fashion similar to the one described for compound 3. Pale solid, 93 mg, yield 95%. 1H-NMR (400 MHz, CDCl3) δ 8.42 (s, 1H), 8.20 (d, J = 8.6 Hz, 2H), 7.71 (s, 1H), 7.42 (d, J = 8.6 Hz, 2H), 7.37 (s, 1H), 7.25–7.23 (m, 3H), 6.40 (t, J = 6.0 Hz, 1H), 5.47 (s, 2H), 4.88 (s, 2H); 13C-NMR (100 MHz, CDCl3) δ 154.9, 153.8, 149.7, 148.0, 142.9, 140.8, 139.6, 134.7, 130.1, 128.5, 127.8 (×2), 125.9, 125.4, 119.8, 46.5, 44.1. HRMS (ESI+) m/z calcd. for C19H16ClN6O2 [M + H]+ 395.1018, found 395.1002.
4-((6-((3-Chlorobenzyl)amino)-9H-purin-9-yl)methyl)benzonitrile (30). Compound 30 was prepared from 36b (49 mg, 0.18 mmol) and 3-chlorobenzylamine (88 µL, 0.72 mmol) in a fashion similar to the one described for compound 3. Pale solid, 51 mg, yield 75%. 1H-NMR (400 MHz, CDCl3) δ 8.42 (s, 1H), 7.70 (s, 1H), 7.64 (d, J = 8.6 Hz, 2H), 7.37–7.35 (m, 3H), 7.25–7.23 (m, 3H), 6.36 (t, J = 6.0 Hz, 1H), 5.42 (s, 2H), 4.88 (s, 2H); 13C-NMR (100 MHz, CDCl3) δ 154.9, 153.8, 149.7, 141.0, 140.8, 139.6, 134.7, 133.0, 130.1, 128.3, 127.8 (×2), 125.9, 119.8, 118.4, 112.6, 46.8, 44.1. HRMS (ESI+) m/z calcd. for C20H16ClN6 [M + H]+ 375.1119, found 375.1119.
4-Chloro-1-(4-nitrobenzyl)-1H-pyrazolo[3,4-d]pyrimidine (38a). A mixture of 4-chloropyrazolo[3,4-d]pyrimidine (37, 155 mg, 1.00 mmol), 4-nitrobenzyl bromide (259 mg, 1.20 mmol) and Et3N (0.14 mL, 1.00 mmol) in DMF (10 mL) was allowed to stir at rt for 24 h. The volume of the reaction mixture was reduced to about 3 mL and water (30 mL) was added while stirred. The precipitate was filtered, washed with water and dried. The resulting residue was purified by flash column chromatography (5%–60% and then 80% EtOAc/hexanes) to afford compound 38a as a pale solid (77 mg, 26%). 1H-NMR (400 MHz, DMSO-d6) δ 8.92 (s, 1H), 8.58 (s, 1H), 8.18 (d, J = 8.6 Hz, 2H), 7.50 (d, J = 8.6 Hz, 2H), 5.88 (s, 2H); 13C-NMR (100 MHz, DMSO-d6) δ 155.1, 153.9, 153.1, 147.0, 143.7, 133.1, 128.8, 123.8, 113.2, 49.9. HRMS (ESI−) m/z calcd. for C12H7ClN5O2 [M − H]− 288.0294, found 288.0298.
4-((4-Chloro-1H-pyrazolo[3,4-d]pyrimidin-1-yl)methyl)benzonitrile (38b). Compound 38b was prepared from 4-chloropyrazolo[3,4-d]pyrimidine (37, 155 mg, 1.00 mmol) and 4-cyanobenzyl bromide (235 mg, 1.20 mmol) in a fashion similar to the one described for compound 38a. White solid, 69 mg, yield 26%. 1H-NMR (400 MHz, DMSO-d6) δ 8.91 (s, 1H), 8.56 (s, 1H), 7.80 (d, J = 8.6 Hz, 2H), 7.42 (d, J = 8.6 Hz, 2H), 5.82 (s, 2H); 13C-NMR (100 MHz, DMSO-d6) δ 155.0, 153.9, 153.1, 141.8, 133.0, 132.6, 128.5, 118.5, 113.2, 110.7, 50.1. HRMS (ESI−) m/z calcd. for C13H7ClN5 [M − H]− 268.0395, found 268.0405.
N-(3-Chlorobenzyl)-1-(4-nitrobenzyl)-1H-pyrazolo[3,4-d]pyrimidin-4-amine (31). Compound 31 was prepared from 38a (52 mg, 0.18 mmol) and 3-chlorobenzylamine (88 µL, 0.72 mmol) in a fashion similar to the one described for compound 3. Tan solid, 70 mg, yield 98%. 1H-NMR (400 MHz, CDCl3) δ 8.44 (s, 1H), 8.16 (d, J = 8.6 Hz, 2H), 7.89 (s, 1H), 7.46 (d, J = 8.6 Hz, 2H), 7.37 (s, 1H), 7.30–7.27 (m, 3H), 5.84 (s, 1H), 5.67 (s, 2H), 4.85 (d, J = 6.0 Hz, 2H); 13C-NMR (100 MHz, CDCl3) δ 156.5, 153.8, 147.7, 143.7, 139.7, 135.0, 131.3, 130.4, 128.9, 128.2, 128.0, 127.8, 126.0, 125.9, 124.1, 50.1, 44.5. HRMS (ESI+) m/z calcd. for C19H16ClN6O2 [M + H]+ 395.0995, found 395.0996.
4-((4-((3-Chlorobenzyl)amino)-1H-pyrazolo[3,4-d]pyrimidin-1-yl)methyl)benzonitrile (32). Compound 32 was prepared from 38b (49 mg, 0.18 mmol) and 3-chlorobenzylamine (88 µL, 0.72 mmol) in a fashion similar to the one described for compound 3. Pale solid, 65 mg, yield 95%. 1H-NMR (400 MHz, CDCl3) δ 8.43 (s, 1H), 7.88 (s, 1H), 7.59 (d, J = 8.6 Hz, 2H), 7.39 (d, J = 8.6 Hz, 2H), 7.37 (s, 1H), 7.30–7.27 (m, 3H), 5.79 (s, 1H), 5.67 (s, 2H), 4.84 (d, J = 6.0 Hz, 2H); 13C-NMR (100 MHz, CDCl3) δ 156.4, 153.8, 147.5, 141.8, 139.8, 135.0, 132.7, 130.3, 128.7, 128.2, 128.0, 127.8, 126.0, 125.8, 118.7, 112.0, 50.4, 45.1. HRMS (ESI+) m/z calcd. for C20H16ClN6 [M + H]+ 375.1119, found 375.1113.
4.3. Cell Lines and Virus Stocks
The hepatocyte-derived cellular carcinoma cell line Huh7 was used for ZIKV and DENV studies. Huh7 cells were maintained in Minimum Essential Medium (MEM) supplemented with 10% fetal bovine serum (FBS), 100 IU streptomycin/penicillin per mL, 1 mM sodium pyruvate, 1× non-essential amino acids, 1× Glutamax (Gibco Life Technologies, Grand Island, NY, USA) and 10 μg/mL plasmocin (InvivoGen, San Diego, CA, USA). Vero (African green monkey kidney) cells were used to perform plaque assays for all viruses in this study. Vero cells were maintained in Dulbeco’s Modified Eagle Medium (DMEM) supplemented with 10% FBS, 100 IU streptomycin/penicillin per mL and 10 μg/mL plasmocin (InvivoGen). DENV-2 New Guinea C strain (ATCC VR-1584) and ZIKV Asian-American strain H/PAN/2015/CDC-259359 (ATCC VR-1859) stocks were generated in C6/36 mosquito cell cultures (ATCC CRL-1660) as indicated [26].
4.4. Antiviral Assays
4.4.1. ZIKV Reporter Assay
The initial screening for ZIKV was performed using the in-house developed infectious ZIKV reporter expressing Nanoluc (ZIKV PAN1 Nluc) (see details in SI). Briefly, 1.5 × 104 Huh7 cells per well were seeded in 96 well plates. Next day, cells were inoculated with the ZIKV reporter at a multiplicity of infection (MOI) of 0.2 in infection medium (MEM medium supplemented with 1% FBS, 100 IU streptomycin/penicillin per mL, 1 mM sodium pyruvate and 10 mM HEPES). After 2 h, the inoculum was replaced with post-infection medium (MEM medium supplemented with 5% FBS, 100 IU streptomycin/penicillin per mL, 1 mM sodium pyruvate and 10 mM HEPES) containing compound of interest (10 µM). We used the flavivirus NS5 MTase inhibitor NSC1215513 (10 µM) and the NS5 RdRp inhibitor NITD00812 (1 µM) as positive controls for inhibition or 0.05% DMSO as vehicle control. Seventy-two hours post-infection (hpi), the cells were lysed with 50 µL 1× luciferase lysis buffer (Promega, Madison, WI, USA), incubated 10 min at room temp and stored at −80 °C. Thirty-five µL of lysed cells were transferred to a white 96-well plate and combined with 35 µL Nano-Glo® luciferase assay substrate (Promega) diluted 1:50 in Nano-Glo® luciferase assay buffer (Promega). The reaction was incubated for 2 min and luminescence readings were acquired using a Neo 2 plate reader (BioTek, Winooski, VT, USA). Percent inhibition was calculated in GraphPad Prism (San Diego, CA, USA) normalizing the luciferase signal to infected cells treated with DMSO (0% inhibition) and uninfected cells treated with DMSO (100% inhibition). EC50 values were calculated in GraphPad Prism using data obtained from dose-response experiments. For compounds 1 and 8, a range of concentrations between 0.05 and 15 µM were used. For compounds 11, 14, 23 and NSC12155, we used concentrations from 0.005 to 90 µM and 0.002 to 45 µM for NITD008.
4.4.2. ZIKV and DENV Titer-Reduction Assay
Selected compounds were validated at 8.5 µM or 1.5 µM (for compounds considered toxic at higher concentrations) using titer-reduction assays. Huh7 cells (1.5 × 105 per well) were plated in 24-well plates. Next day, the cells were inoculated with ZIKV or DENV (MOI 0.2 or 0.05, respectively) and two hours later, the inoculum was replaced with post-infection medium containing compound of interest at 8.5 µM or 1.5 µM. Seventy-two hpi, supernatants from infected and treated cells were collected and viral titers were measured by plaque assay. To visualize plaques, confluent Vero cells in 24-well plates were inoculated with 1:10 serial dilutions of supernatants. After two hours, the inoculum was retired and replaced with 800 µL of overlay medium (MEM medium containing 1.3% methylcellulose, 2% FBS, 100 IU streptomycin/penicillin per mL and 10 mM HEPES). After 5 days (7 days for DENV), cells were washed with PBS, fixed with 2% formaldehyde, and stained using 0.5% crystal violet in 25% methanol. Infectious virus titer (pfu/mL) was determined using the following formula: number of plaques × dilution factor × (1/inoculum volume (mL)). Viral titers were normalized with DMSO-treated and infected cells (0% inhibition). The limit of detection was 200 pfu/mL (100% inhibition). For NITD008, we assigned 100% inhibition because we did not detect any plaque at any dilution tested. Dose-response assays (Figure S4, Panels B and C) were performed for selected compounds using titer-reduction assays. We used a concentration range of 0.5 to 15 µM for all selected compounds except for compound 14 (range of 0.1–3 µM). Pfu/mL were normalized as mentioned for single-dose response experiment using the values for DMSO-treated and infected cells (0% inhibition) and the limit of detection value (200 pfu/mL) as 100% inhibition. Dose-response curves were built in GraphPad Prism and EC50 values were obtained from those curves.
4.5. Cell Viability Assay
Cell viability assays for non-infected Huh7 cells treated with the testing compounds (in-house library), control compounds (NITD008, RDV) and DMSO were performed in parallel with the antiviral screening. After 3 or 5 days of treatment, depending upon the experiment, cell viability was evaluated using the MTS-based tetrazolium reduction CellTiter 96 Aqueous Non-Radioactive cell proliferation assay (Promega). Treatment was retired from the wells and the cells incubated with MTS diluted 1:10 in MEM medium supplemented with 10% FBS. Absorbance was measured at 490 nm wavelength. Readings were normalized with DMSO-treated cells (100%) and expressed as % viability. For dose-response experiments, we used concentrations between 0.01 and 90 µM and dose-response curves and CC50 were calculated using GraphPad Prism.
Supplementary Materials
The following are available online: Methods. Figure S1: Luciferase activity of serial dilutions of ZIKV PAN1 Nluc, Figure S2: The 1H and 13C chemical shifts of chloride 36a and the HMBC correlations observed, Figure S3: The 1H and 13C chemical shifts of compound 29 and the HMBC correlations observed, Figure S4: Dose-response curves. Table S1: Primers and DNA sequences for pBAC ZIKV PAN1 NLuc construction Table S2: Sequence changes for pBAC-PAN1. NMR Spectra.
Author Contributions
L.C. and R.J.G. were responsible for designing the experiments and preparing the manuscript; L.C. and E.J. synthesized and characterized inhibitors; R.S.-A. performed the antiviral assays and edited manuscript; D.J.W. and L.Q. generated biological reagents used in the Zika reporter assay. All authors have read and agreed to the published version of the manuscript.
Funding
This research was funded by the National Institute of Allergy and Infectious Diseases, the National Institutes of Health, grant number R21AI151427 (to LC) and a University of Minnesota Academic Health Center Faculty Research Development Grant (to RJG).
Acknowledgments
We thank Paul D. Robbins and Fernando Santiago from the UMN Department of Biochemistry, Molecular Biology and Biophysics for the use of the Cytation One imaging system.
Conflicts of Interest
The authors declare that they have no known competing financial interests or personal relationships that could have appeared to influence the work reported in this paper.
Sample Availability
Samples of the compounds are available from the authors.
Abbreviations
ABPP, activity-based protein profiling; DENV, Dengue virus; FDA, Food and Drug Administration; HCV, hepatitis C virus; HMBC, heteronuclear multiple bond correlation spectroscopy; HMQC, heteronuclear multiple quantum correlation; JEV, Japanese encephalitis virus; MOI, multiplicity of infection; MTase, methyltransferase; RdRp, RNA-dependent RNA polymerase; SAR, structure-activity relationship; WHO, World Health Organization; WNV, West Nile virus; YFV, Yellow fever virus; ZIKV, Zika virus.
References
- Barrows, N.J.; Campos, R.K.; Liao, K.C.; Prasanth, K.R.; Soto-Acosta, R.; Yeh, S.C.; Schott-Lerner, G.; Pompon, J.; Sessions, O.M.; Bradrick, S.S.; et al. Biochemistry and molecular biology of flaviviruses. Chem. Rev. 2018, 118, 4448–4482. [Google Scholar] [CrossRef]
- Shepard, D.S.; Undurraga, E.A.; Halasa, Y.A.; Stanaway, J.D. The global economic burden of dengue: A systematic analysis. Lancet Infect. Dis. 2016, 16, 935–941. [Google Scholar] [CrossRef]
- Lim, S.P.; Wang, Q.Y.; Noble, C.G.; Chen, Y.L.; Dong, H.; Zou, B.; Yokokawa, F.; Nilar, S.; Smith, P.; Beer, D.; et al. Ten years of dengue drug discovery: Progress and prospects. Antiviral Res. 2013, 100, 500–519. [Google Scholar] [CrossRef] [PubMed]
- Boldescu, V.; Behnam, M.A.M.; Vasilakis, N.; Klein, C.D. Broad-spectrum agents for flaviviral infections: Dengue, Zika and beyond. Nat. Rev. Drug Discov. 2017, 16, 565–586. [Google Scholar] [CrossRef] [PubMed] [Green Version]
- Felicetti, T.; Manfroni, G.; Cecchetti, V.; Cannalire, R. Broad-spectrum flavivirus inhibitors: A medicinal chemistry point of view. ChemMedChem 2020, 15, 2391–2419. [Google Scholar] [CrossRef]
- Lim, S.P. Dengue drug discovery: Progress, challenges and outlook. Antiviral Res. 2019, 163, 156–178. [Google Scholar] [CrossRef] [PubMed]
- Gorshkov, K.; Shiryaev, S.A.; Fertel, S.; Lin, Y.W.; Huang, C.T.; Pinto, A.; Farhy, C.; Strongin, A.Y.; Zheng, W.; Terskikh, A.V. Zika virus: Origins, pathological action, and treatment strategies. Front. Microbiol. 2018, 9, 3252. [Google Scholar] [CrossRef] [Green Version]
- Mottin, M.; Borba, J.; Braga, R.C.; Torres, P.H.M.; Martini, M.C.; Proenca-Modena, J.L.; Judice, C.C.; Costa, F.T.M.; Ekins, S.; Perryman, A.L.; et al. The A-Z of Zika drug discovery. Drug Discov. Today 2018, 23, 1833–1847. [Google Scholar] [CrossRef]
- Wang, L.; Liang, R.; Gao, Y.; Li, Y.; Deng, X.; Xiang, R.; Zhang, Y.; Ying, T.; Jiang, S.; Yu, F. Development of small-molecule inhibitors against Zika virus infection. Front. Microbiol. 2019, 10, 2725. [Google Scholar] [CrossRef] [PubMed] [Green Version]
- Bernatchez, J.A.; Tran, L.T.; Li, J.; Luan, Y.; Siqueira-Neto, J.L.; Li, R. Drugs for the treatment of Zika virus infection. J. Med. Chem. 2020, 63, 470–489. [Google Scholar] [CrossRef] [PubMed]
- Zou, J.; Shi, P.Y. Strategies for Zika drug discovery. Curr. Opin. Virol. 2019, 35, 19–26. [Google Scholar] [CrossRef]
- Yin, Z.; Chen, Y.L.; Schul, W.; Wang, Q.Y.; Gu, F.; Duraiswamy, J.; Kondreddi, R.R.; Niyomrattanakit, P.; Lakshminarayana, S.B.; Goh, A.; et al. An adenosine nucleoside inhibitor of dengue virus. Proc. Natl. Acad. Sci. USA 2009, 106, 20435–20439. [Google Scholar] [CrossRef] [PubMed] [Green Version]
- Brecher, M.; Chen, H.; Li, Z.; Banavali, N.K.; Jones, S.A.; Zhang, J.; Kramer, L.D.; Li, H. Identification and characterization of novel broad-spectrum inhibitors of the flavivirus methyltransferase. ACS Infect. Dis. 2015, 1, 340–349. [Google Scholar] [CrossRef] [Green Version]
- Bakkestuen, A.K.; Gundersen, L.L.; Utenova, B.T. Synthesis, biological activity, and SAR of antimycobacterial 9-aryl-, 9-arylsulfonyl-, and 9-benzyl-6-(2-furyl)purines. J. Med. Chem. 2005, 48, 2710–2723. [Google Scholar] [CrossRef]
- Wang, S.B.; Deng, X.Q.; Liu, D.C.; Zhang, H.J.; Quan, Z.S. Synthesis and evaluation of anticonvulsant and antidepressant activities of 7-alkyl-7H-tetrazolo[1, 5-g]purine derivatives. Med. Chem. Res. 2014, 23, 4619–4626. [Google Scholar] [CrossRef]
- Dong, H.; Chang, D.C.; Xie, X.; Toh, Y.X.; Chung, K.Y.; Zou, G.; Lescar, J.; Lim, S.P.; Shi, P.Y. Biochemical and genetic characterization of dengue virus methyltransferase. Virology 2010, 405, 568–578. [Google Scholar] [CrossRef] [PubMed] [Green Version]
- Lim, S.P.; Sonntag, L.S.; Noble, C.; Nilar, S.H.; Ng, R.H.; Zou, G.; Monaghan, P.; Chung, K.Y.; Dong, H.; Liu, B.; et al. Small molecule inhibitors that selectively block dengue virus methyltransferase. J. Biol. Chem. 2011, 286, 6233–6240. [Google Scholar] [CrossRef] [PubMed] [Green Version]
- Daffis, S.; Szretter, K.J.; Schriewer, J.; Li, J.; Youn, S.; Errett, J.; Lin, T.Y.; Schneller, S.; Zust, R.; Dong, H.; et al. 2′-O methylation of the viral mRNA cap evades host restriction by IFIT family members. Nature 2010, 468, 452–456. [Google Scholar] [CrossRef]
- Leung, D.; Hardouin, C.; Boger, D.L.; Cravatt, B.F. Discovering potent and selective reversible inhibitors of enzymes in complex proteomes. Nat. Biotechnol. 2003, 21, 687–691. [Google Scholar] [CrossRef] [PubMed]
- Yang, P.; Liu, K. Activity-based protein profiling: Recent advances in probe development and applications. Chembiochem 2015, 16, 712–724. [Google Scholar] [CrossRef]
- Wright, M.H.; Sieber, S.A. Chemical proteomics approaches for identifying the cellular targets of natural products. Nat. Prod. Rep. 2016, 33, 681–708. [Google Scholar] [CrossRef] [Green Version]
- Ziegler, S.; Pries, V.; Hedberg, C.; Waldmann, H. Target identification for small bioactive molecules: Finding the needle in the haystack. Angew. Chem. Int. Ed. Engl. 2013, 52, 2744–2792. [Google Scholar] [CrossRef] [PubMed]
- Ai, T.; Qiu, L.; Xie, J.; Geraghty, R.J.; Chen, L. Design and synthesis of an activity-based protein profiling probe derived from cinnamic hydroxamic acid. Bioorg. Med. Chem. 2016, 24, 686–692. [Google Scholar] [CrossRef] [PubMed]
- Chakka, N.; Bregman, H.; Du, B.; Nguyen, H.N.; Buchanan, J.L.; Feric, E.; Ligutti, J.; Liu, D.; McDermott, J.S.; Zou, A.; et al. Discovery and hit-to-lead optimization of pyrrolopyrimidines as potent, state-dependent Na(v)1.7 antagonists. Bioorg. Med. Chem. Lett. 2012, 22, 2052–2062. [Google Scholar] [CrossRef] [PubMed]
- Frank, A.; Meza-Arriagada, F.; Salas, C.O.; Espinosa-Bustos, C.; Stark, H. Nature-inspired pyrrolo[2,3-d]pyrimidines targeting the histamine H3 receptor. Bioorg. Med. Chem. 2019, 27, 3194–3200. [Google Scholar] [CrossRef] [PubMed]
- Qiu, L.; Patterson, S.E.; Bonnac, L.F.; Geraghty, R.J. Nucleobases and corresponding nucleosides display potent antiviral activities against dengue virus possibly through viral lethal mutagenesis. PLoS Negl. Trop. Dis. 2018, 12, e0006421. [Google Scholar] [CrossRef]
Publisher’s Note: MDPI stays neutral with regard to jurisdictional claims in published maps and institutional affiliations. |
© 2021 by the authors. Licensee MDPI, Basel, Switzerland. This article is an open access article distributed under the terms and conditions of the Creative Commons Attribution (CC BY) license (https://creativecommons.org/licenses/by/4.0/).





























