Synthesis and Characterization of 1,10-Phenanthroline-mono-N-oxides
Abstract
1. Introduction
2. Results and Discussion
2.1. Synthesis of the N-oxides
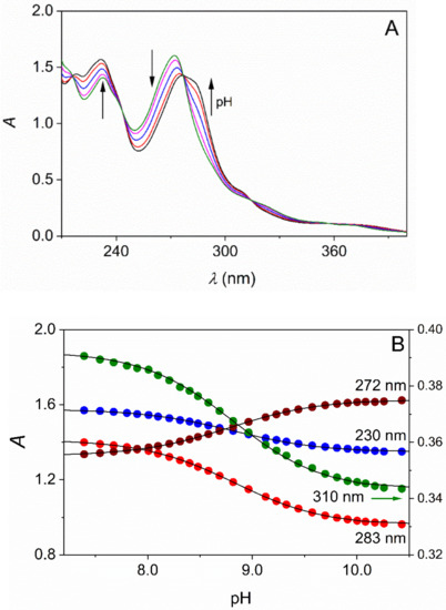
2.2. The Acid Dissociation Constants of Substituted Mono-N-oxide Derivatives
2.3. X-ray Structures of 1,10-Phenanthroline-1-N-oxide Derivatives
2.4. DFT Calculations
3. Materials and Methods
3.1. General Information
3.2. The Preparation of 1,10-Phenanthroline-1-N-oxides
3.3. X-ray Structures of 1,10-Phenatroline-1-N-oxide Derivatives
3.4. DFT and TD-DFT Calculations
4. Conclusions
Supplementary Materials
Author Contributions
Funding
Institutional Review Board Statement
Informed Consent Statement
Acknowledgments
Conflicts of Interest
Abbreviations
| phenO | 1:10-phenanthroline-1-N-oxide |
| DMPO | 2,9-dimethyl-1,10-phenanthroline-1-N-oxide |
| TMPO | 3,4,7,8-tetramethyl-1,10-phenanthroline-1-N-oxide |
| 5MPO | 5-methyl-1,10-phenanthroline-1-N-oxide |
| 6MPO | 6-methyl-1,10-phenanthroline-1-N-oxide |
| 5NPO | 5-nitro-1,10-phenanthroline-1-N-oxide |
| 6NPO | 6-nitro-1,10-phenanthroline-1-N-oxide |
| 5CPO | 5-chloro-1,10-phenanthroline-1-N-oxide |
| 6CPO | 6-chloro-1,10-phenanthroline-1-N-oxide |
| 4MPO | 4-methyl-1,10-phenanthroline-1-N-oxide |
| 7MPO | 7-methyl-1,10-phenanthroline-1-N-oxide |
References
- Bentley, K.W.; Wolf, C. Comprehensive chirality censing: Development of stereodynamic probes with a dual (chir)optical response. J. Org. Chem. 2014, 79, 6517–6531. [Google Scholar] [CrossRef]
- Yang, W.; Zhang, R.; Yi, F.; Cai, M. A heterogeneous gold(I)-catalyzed [2+2+1] annulation of terminal alkynes, nitriles, and oxygen atoms leading to 2,5-disubstituted oxazoles. J. Org. Chem. 2017, 82, 5204–5211. [Google Scholar] [CrossRef]
- Schütznerová, E.; Krchňák, V. N-Oxide as an intramolecular oxidant in the Baeyer–Villiger oxidation: Synthesis of 2-alkyl-2H-indazol-3-yl benzoates and 2-alkyl-1,2-dihydro-3H-indazol-3-ones. J. Org. Chem. 2016, 81, 3585–3596. [Google Scholar] [CrossRef]
- Su, Y.; Zhou, X.; He, C.; Zhang, W.; Ling, X.; Xiao, X. In situ generated hypoIodite activator for the C2 sulfonylation of heteroaromatic N-oxides. J. Org. Chem. 2016, 81, 4981–4987. [Google Scholar] [CrossRef]
- Wang, Y.; Yin, H.; Tang, X.; Wu, Y.; Meng, Q.; Gao, Z. A series of cinchona-derived N-oxide phase-transfer catalysts: Application to the photo-organocatalytic enantioselective α-hydroxylation of β-dicarbonyl compounds. J. Org. Chem. 2016, 81, 7042–7050. [Google Scholar] [CrossRef]
- Odani, R.; Hirano, K.; Satoh, T.; Miura, M. Copper-mediated formally dehydrative biaryl coupling of azine N-oxides and oxazoles. J. Org. Chem. 2015, 80, 2384–2391. [Google Scholar] [CrossRef]
- Rouchet, J.-B.E.Y.; Schneider, C.; Fruit, C.; Hoarau, C. Regioselective decarboxylative cross-coupling of carboxy isoquinoline N-oxides. J. Org. Chem. 2015, 80, 5919–5927. [Google Scholar] [CrossRef]
- Han, Y.-P.; Li, X.-S.; Zhu, X.-Y.; Li, M.; Zhou, L.; Song, X.-R.; Liang, Y.-M. Lewis acid catalyzed dehydrogenative coupling of tertiary propargylic alcohols with quinoline N-oxides. J. Org. Chem. 2017, 82, 1697–1704. [Google Scholar] [CrossRef] [PubMed]
- Li, J.; Bauer, A.; Di Mauro, G.; Maulide, N. α-Arylation of carbonyl compounds through oxidative C−C bond activation. Angew. Chem. Int. Ed. 2019, 58, 9816–9819. [Google Scholar] [CrossRef]
- Vamos, M.; Cosford, N.D.P. 2-Aminopyridines via reaction of pyridine N-oxides and activated isocyanides. J. Org. Chem. 2014, 79, 2274–2280. [Google Scholar] [CrossRef]
- Aithagani, S.K.; Kumar, M.; Yadav, M.; Vishwakarma, R.A.; Singh, P.P. Metal-free, phosphonium salt-mediated sulfoximination of azine N-oxides: Approach for the synthesis of N-azine sulfoximines. J. Org. Chem. 2016, 81, 5886–5894. [Google Scholar] [CrossRef] [PubMed]
- Loska, R. Recent Advances in Cycloaddition Reactions of Heterocyclic N-Oxides. In Heterocyclic N-Oxides; Larionov, O.V., Ed.; Springer International Publishing: Cham, Switzerland, 2017; Volume 53, pp. 85–110. [Google Scholar] [CrossRef]
- Poole, J.S. Recent Advances in the Photochemistry of Heterocyclic N-Oxides and Their Derivatives. In Heterocyclic N-Oxides; Larionov, O.V., Ed.; Springer International Publishing: Cham, Switzerland, 2017; Volume 53, pp. 111–151. [Google Scholar] [CrossRef]
- Zhou, W.; Miura, T.; Murakami, M. Photocatalyzed ortho-alkylation of pyridine N-oxides through alkene cleavage. Angew. Chem. Int. Ed. 2018, 57, 5139–5142. [Google Scholar] [CrossRef] [PubMed]
- Koukal, P.; Ulč, J.; Nečas, D.; Kotora, M. Pyridine N-oxides and derivatives thereof in organocatalysis. In Heterocyclic N-Oxides; Larionov, O.V., Ed.; Springer International Publishing: Cham, Switzerland, 2017; Volume 53, pp. 29–58. [Google Scholar] [CrossRef]
- Staniland, S.; Adams, R.W.; McDouall, J.J.W.; Maffucci, I.; Contini, A.; Grainger, D.M.; Turner, N.J.; Clayden, J. Biocatalytic dynamic kinetic resolution for the synthesis of atropisomeric biaryl N-oxide Lewis base catalysts. Angew. Chem. Int. Ed. 2016, 55, 10755–10759. [Google Scholar] [CrossRef] [PubMed]
- Murray, J.I.; Flodén, N.J.; Bauer, A.; Fessner, N.D.; Dunklemann, D.L.; Bob-Egbe, O.; Rzepa, H.S.; Bürgi, T.; Richardson, J.; Spivey, A.C. Kinetic resolution of 2-substituted indolines by N-sulfonylation using an atropisomeric 4-DMAP-N-oxide organocatalyst. Angew. Chem. Int. Ed. 2017, 56, 5760–5764. [Google Scholar] [CrossRef]
- Speca, A.N.; Karayannis, N.M.; Pytlewski, L.L. Chromium(III) and iron(III) perchlorate with the mono-N-oxides of 2,2′-bipyridine and 1,10-phenanthroline. Inorg. Chim. Acta 1974, 9, 87–93. [Google Scholar] [CrossRef]
- De Andrade, A.C.M.; de Brito, M.A.; Coelho, A.L.; de Sá, G.F. 1,10-phenanthroline N-oxide complex with europium(III). Inorg. Chim. Acta 1976, 19, L19–L20. [Google Scholar] [CrossRef]
- Karayannis, N.M.; Speca, A.N.; Chasan, D.E.; Pytlewski, L.L. Coordination complexes of the N-oxides of aromatic diimines and diazines. Coord. Chem. Rev. 1976, 20, 37–80. [Google Scholar] [CrossRef]
- Speca, A.N.; Pytlewski, L.L.; Karayannis, N.M. Transition metal chloride chelates with 1,10-phenanthroline N-oxide. Z. Anorg. Allg. Chem. 1976, 422, 182–192. [Google Scholar] [CrossRef]
- Speca, A.N.; Pytlewski, L.L.; Owens, C.; Karayannis, N.M. 2,2′-bipyridine- and 1,10-phenanthroline-N-oxide chelates with chromium(III) and iron(III) nitrates[1]. J. Inorg. Nucl. Chem. 1976, 38, 1119–1124. [Google Scholar] [CrossRef]
- Agarwal, R.K.; Jain, P.C.; Kapur, V.; Sharma, S.; Srivastava, A.K. Thorium(IV) and zirconium complexes of oxygen donor ligands. 12. Thorium complexes of mono-N-oxides of 2,2’ bipyridine and 1,10 phenanthroline. Transition Met. Chem. 1980, 5, 237–239. [Google Scholar] [CrossRef]
- Owens, C.; Filo, A.K.; Woods, J.M.; Pytlewski, L.L.; Speca, A.N.; Karayannis, N.M. Labile 1,10-phenanthroline N-oxide complexes with tin(II) and (IV) halides. Inorg. Chim. Acta Lett. 1980, 45, L27–L30. [Google Scholar] [CrossRef]
- Chassapis, C.; Pneumatikakis, G. 1,10-phenanthroline-N-oxide chelates with rare-earth nitrates. Inorg. Chim. Acta Art. 1982, 59, 49–52. [Google Scholar] [CrossRef]
- Prakash, D.; Singh, S.P. Alkali-metal complexes-adducts of alkali-metal salts of some organic-acids with I,10-phenanthroline-mono-N-oxide. J. Indian Chem. Soc. 1987, 64, 182–183. [Google Scholar]
- Goel, N. A uranium (VI) complex: Synthesis, structural and thermal kinetic analysis. J. Mol. Struct. 2016, 1117, 147–152. [Google Scholar] [CrossRef]
- Zhang, L.J.; Zhu, H.W.; Guo, Y.; Zhou, Y.S.; Yue, Q.; Shi, Z.H. Synthesis, structures and photoluminescence of a series of 3D lanthanide-organic coordination polymers constructed from versatile 2,2‘-bipyridine-3,3‘-dicarboxylic acid 1,1‘-dioxide and oxalic acid. Crystengcomm 2015, 17, 4150–4160. [Google Scholar] [CrossRef]
- Moustafa, M.E.; Boyle, P.D.; Puddephatt, R.J. Carbon–hydrogen versus nitrogen–oxygen bond activation in reactions of N-oxide derivatives of 2,2′-bipyridine and 1,10-phenanthroline with a dimethylplatinum(II) complex. Organometallics 2014, 33, 5402–5413. [Google Scholar] [CrossRef]
- Linsker, F.; Evans, R.L. Phenanthroline di-N-oxides. J. Am. Chem. Soc. 1946, 68, 403-403. [Google Scholar] [CrossRef]
- Maerker, G.; Case, F.H. The synthesis of some 4,4’-disubstituted 2,2’-bipyridines. J. Am. Chem. Soc. 1958, 80, 2745–2748. [Google Scholar] [CrossRef]
- Corey, E.J.; Borror, A.L.; Foglia, T. Transformations in the 1,10-Phenanthroline Series. J. Org. Chem. 1965, 30, 288–290. [Google Scholar] [CrossRef]
- Wenkert, D.; Woodward, R.B. Studies of 2,2’-bipyridyl N,N’-dioxides. J. Org. Chem. 1983, 48, 283–289. [Google Scholar] [CrossRef]
- Balicki, R.; Golinski, J. A simple and efficient method for the preparation of N-heteroaromatic N-oxides. Synth. Commun. 2000, 30, 1529–1534. [Google Scholar] [CrossRef]
- Rozen, S.; Dayan, S. At last, 1,10-phenanthroline-N,N′-dioxide, a new Type of helicene, has been synthesized using HOF⋅CH3CN. Angew. Chem. Int. Ed. 1999, 38, 3471–3473. [Google Scholar] [CrossRef]
- Bellér, G.; Szabó, M.; Lente, G.; Fábián, I. Formation of 1,10-phenanthroline-N,N′-dioxide under mild conditions: The kinetics and mechanism of the oxidation of 1,10-phenanthroline by peroxomonosulfate ion (Oxone). J. Org. Chem. 2016, 81, 5345–5353. [Google Scholar] [CrossRef]
- Najóczki, F.; Bellér, G.; Szabó, M.; Fábián, I. Substituent effect on the N-oxidation of 1,10-phenanthroline derivatives by peroxomonosulfate ion. New J. Chem. 2017, 41, 9947–9953. [Google Scholar] [CrossRef]
- Newkome, G.R.; Theriot, K.J.; Gupta, V.K.; Fronczek, F.R.; Baker, G.R. Chemistry of heterocyclic compounds. 124. Mono-.alpha.-functionalization of 2,9-dimethyl-1,10-phenanthroline. J. Org. Chem. 1989, 54, 1766–1769. [Google Scholar] [CrossRef]
- Szabó, K.; Nagypál, I.; Fábián, I. Unexpected dependence of the protonation constant of 2,2’-bipyridyl on ionic strength. Talanta 1983, 30, 801–804. [Google Scholar] [CrossRef]
- Simon, A.; Ballai, C.; Lente, G.; Fábián, I. Structure–reactivity relationships and substituent effect additivity in the aqueous oxidation of chlorophenols by cerium(iv). New J. Chem. 2011, 35, 235–241. [Google Scholar] [CrossRef]
- Kutyła, S.E.; Stępień, D.K.; Jarzembska, K.N.; Kamiński, R.; Dobrzycki, Ł.; Ciesielski, A.; Boese, R.; Młochowski, J.; Cyrański, M.K. Structural and stability studies of a series of para-phenylenediboronic and para-hydroxyphenylboronic acid cocrystals with selected aromatic N-Oxides. Cryst. Growth Des. 2016, 16, 7037–7050. [Google Scholar] [CrossRef]
- Covington, A.K. Definition of pH Scales, Standard reference values, measurement of pH and related terminology. Pure Appl. Chem. 1983, 55, 1467–1476. [Google Scholar] [CrossRef]
- Irving, H.M.; Miles, M.G.; Pettit, L.D. A study of some problems in determining the stoicheiometric proton dissociation constants of complexes by potentiometric titrations using a glass electrode. Anal. Chim. Acta 1967, 38, 475–488. [Google Scholar] [CrossRef]
- Scientist, Version 2.0; Micromath Scientific Software: Salt Lake City, UT, USA, 1995.
- Bruker. APEX3 (version: 6.2.6), SAINT (version: 8.38A), SADABS (version: 2016/2), Bruker AXS Inc.: Madison, WI, USA, 2017.
- Sheldrick, G. SHELXT - Integrated space-group and crystal-structure determination. Acta Crystallogr. A 2015, 71, 3–8. [Google Scholar] [CrossRef] [PubMed]
- Sheldrick, G. Crystal structure refinement with SHELXL. Acta Crystallogr. C 2015, 71, 3–8. [Google Scholar] [CrossRef] [PubMed]
- Dolomanov, O.V.; Bourhis, L.J.; Gildea, R.J.; Howard, J.A.K.; Puschmann, H. OLEX2: A complete structure solution, refinement and analysis program. J. Appl. Crystallogr. 2009, 42, 339–341. [Google Scholar] [CrossRef]
- Farrugia, L. WinGX and ORTEP for Windows: An update. J. Appl. Cryst. 2012, 45, 849–854. [Google Scholar] [CrossRef]
- Spek, A. CheckCIF validation ALERTS: What they mean and how to respond. Acta Crystallogr. Sect. E 2020, 76, 1–11. [Google Scholar] [CrossRef]
- Macrae, C.F.; Bruno, I.J.; Chisholm, J.A.; Edgington, P.R.; McCabe, P.; Pidcock, E.; Rodriguez-Monge, L.; Taylor, R.; van de Streek, J.; Wood, P.A. Mercury CSD 2.0 - new features for the visualization and investigation of crystal structures. J. Appl. Crystallogr. 2008, 41, 466–470. [Google Scholar] [CrossRef]
- Frisch, M.J.; Trucks, G.W.; Schlegel, H.B.; Scuseria, G.E.; Robb, M.A.; Cheeseman, J.R.; Scalmani, G.; Barone, V.; Mennucci, B.; Petersson, G.A.; et al. Gaussian 09. Gaussian, Inc.: Wallingford, CT, USA, 2009. [Google Scholar]
- Sciortino, G.; Maréchal, J.-D.; Fábián, I.; Lihi, N.; Garribba, E. Quantitative prediction of electronic absorption spectra of copper(II)–bioligand systems: Validation and applications. J. Inorg. Biochem. 2020, 204, 110953. [Google Scholar] [CrossRef]
- Tomasi, J.; Mennucci, B.; Cammi, R. Quantum Mechanical Continuum Solvation Models. Chem. Rev. 2005, 105, 2999–3094. [Google Scholar] [CrossRef]
- Yanai, T.; Tew, D.P.; Handy, N.C. A new hybrid exchange–correlation functional using the Coulomb-attenuating method (CAM-B3LYP). Chem. Phys. Lett. 2004, 393, 51–57. [Google Scholar] [CrossRef]
- Chai, J.-D.; Head-Gordon, M. Systematic optimization of long-range corrected hybrid density functionals. J. Chem. Phys. 2008, 128, 084106. [Google Scholar] [CrossRef]
- Krukau, A.V.; Vydrov, O.A.; Izmaylov, A.F.; Scuseria, G.E. Influence of the exchange screening parameter on the performance of screened hybrid functionals. J. Chem. Phys. 2006, 125, 224106. [Google Scholar] [CrossRef]
- Tao, J.; Perdew, J.P.; Staroverov, V.N.; Scuseria, G.E. Climbing the Density Functional Ladder: Nonempirical Meta-Generalized Gradient Approximation Designed for Molecules and Solids. Phys. Rev. Lett. 2003, 91, 146401. [Google Scholar] [CrossRef]
- Zhao, Y.; Truhlar, D.G. A new local density functional for main-group thermochemistry, transition metal bonding, thermochemical kinetics, and noncovalent interactions. J. Chem. Phys. 2006, 125, 194101. [Google Scholar] [CrossRef]
- Boese, A.D.; Handy, N.C. New exchange-correlation density functionals: The role of the kinetic-energy density. J. Chem. Phys. 2002, 116, 9559–9569. [Google Scholar] [CrossRef]
- Becke, A.D. Density-functional exchange-energy approximation with correct asymptotic behavior. Physical Review A 1988, 38, 3098–3100. [Google Scholar] [CrossRef]
- O’boyle, N.M.; Tenderholt, A.L.; Langner, K.M. Cclib: A library for package-independent computational chemistry algorithms. J. Comput. Chem. 2008, 29, 839–845. [Google Scholar] [CrossRef]







| Name | Abbrev. | R2 | R3 | R4 | R5 | R6 | R7 | R8 | R9 |
|---|---|---|---|---|---|---|---|---|---|
| 1,10-phenanthroline | phen | H | H | H | H | H | H | H | H |
| 4-methyl-1,10-phenanthroline | 4MP | H | H | Me | H | H | H | H | H |
| 5-methyl-1,10-phenanthroline | 5MP | H | H | H | Me | H | H | H | H |
| 2,9-dimethyl-1,10-phenanthroline | DMP | Me | H | H | H | H | H | H | Me |
| 3,4,7,8-tetramethyl-1,10-phenanthroline | TMP | H | Me | Me | H | H | Me | Me | H |
| 5-nitro-1,10-phenanthroline | 5NP | H | H | H | NO2 | H | H | H | H |
| 5-chloro-1,10-phenanthroline | 5CP | H | H | H | Cl | H | H | H | H |
| Product a | Reaction Time (h) | Yield (%) |
|---|---|---|
| phenO | 3.5 | 86.6 |
| DMPO | 10.0 | 91.2 |
| TMPO | 2.0 | 88.1 |
| 5MPO and 6MPO | 3.5 | 79.5 |
| 5NPO and 6NPO | 9.5 | 92.1 |
| 5CPO and 6CPO | 38.0 | 87.2 |
| 4MPO and 7MPO | 3.5 | 82.5 |
| Compound | pKa | Substrate | pKa |
|---|---|---|---|
| phen | 5.12 a | ||
| phenO | 7.10 ± 0.02 b | ||
| DMP | 5.96 a | ||
| DMPO | 8.83 ± 0.02 c | ||
| TMP | 6.53 a | ||
| TMPO | 9.03 ± 0.03 b | ||
| 5MP | 5.28 a | ||
| 5MPO | 7.40 ± 0.02 d | 6MPO | 7.50 ± 0.03 d |
| 4MP | 5.75 a | ||
| 4MPO | 7.36 ± 0.03 d | 7MPO | 7.85 ± 0.02 d |
| 5CP | 4.51 a | ||
| 5CPO | 6.40 ± 0.02 d | 6CPO | 6.14 ± 0.03 d |
| 5NP | 3.46 a | ||
| 5NPO | 5.41 ± 0.04 d | 6NPO | 5.27 ± 0.03 d |
| 5CPO×H2O | 6CPO×H2O | 6CPO | JAJBAX a | AZASEB b | |
|---|---|---|---|---|---|
| N1-O1 | 1.297(4) | 1.306(2) | 1.284(3) | 1.284 | 1.320 |
| C-Cl | 1.738(4) | 1.745(2) | 1.740(2) | – | – |
| O1-O2W | 2.870(4) | 2.863(2) | – | 2.747 | 2.819 |
| N-O2W | 3.012(5) | 2.979(3) | – | 3.479 | 2.836 |
| plate-plate | 3.494 | 3.392 | 6.667 | 3.358 |
Publisher’s Note: MDPI stays neutral with regard to jurisdictional claims in published maps and institutional affiliations. |
© 2021 by the authors. Licensee MDPI, Basel, Switzerland. This article is an open access article distributed under the terms and conditions of the Creative Commons Attribution (CC BY) license (https://creativecommons.org/licenses/by/4.0/).
Share and Cite
Najóczki, F.; Szabó, M.; Lihi, N.; Udvardy, A.; Fábián, I. Synthesis and Characterization of 1,10-Phenanthroline-mono-N-oxides. Molecules 2021, 26, 3632. https://doi.org/10.3390/molecules26123632
Najóczki F, Szabó M, Lihi N, Udvardy A, Fábián I. Synthesis and Characterization of 1,10-Phenanthroline-mono-N-oxides. Molecules. 2021; 26(12):3632. https://doi.org/10.3390/molecules26123632
Chicago/Turabian StyleNajóczki, Ferenc, Mária Szabó, Norbert Lihi, Antal Udvardy, and István Fábián. 2021. "Synthesis and Characterization of 1,10-Phenanthroline-mono-N-oxides" Molecules 26, no. 12: 3632. https://doi.org/10.3390/molecules26123632
APA StyleNajóczki, F., Szabó, M., Lihi, N., Udvardy, A., & Fábián, I. (2021). Synthesis and Characterization of 1,10-Phenanthroline-mono-N-oxides. Molecules, 26(12), 3632. https://doi.org/10.3390/molecules26123632

