Antiepileptic Drug Tiagabine Does Not Directly Target Key Cardiac Ion Channels Kv11.1, Nav1.5 and Cav1.2
Abstract
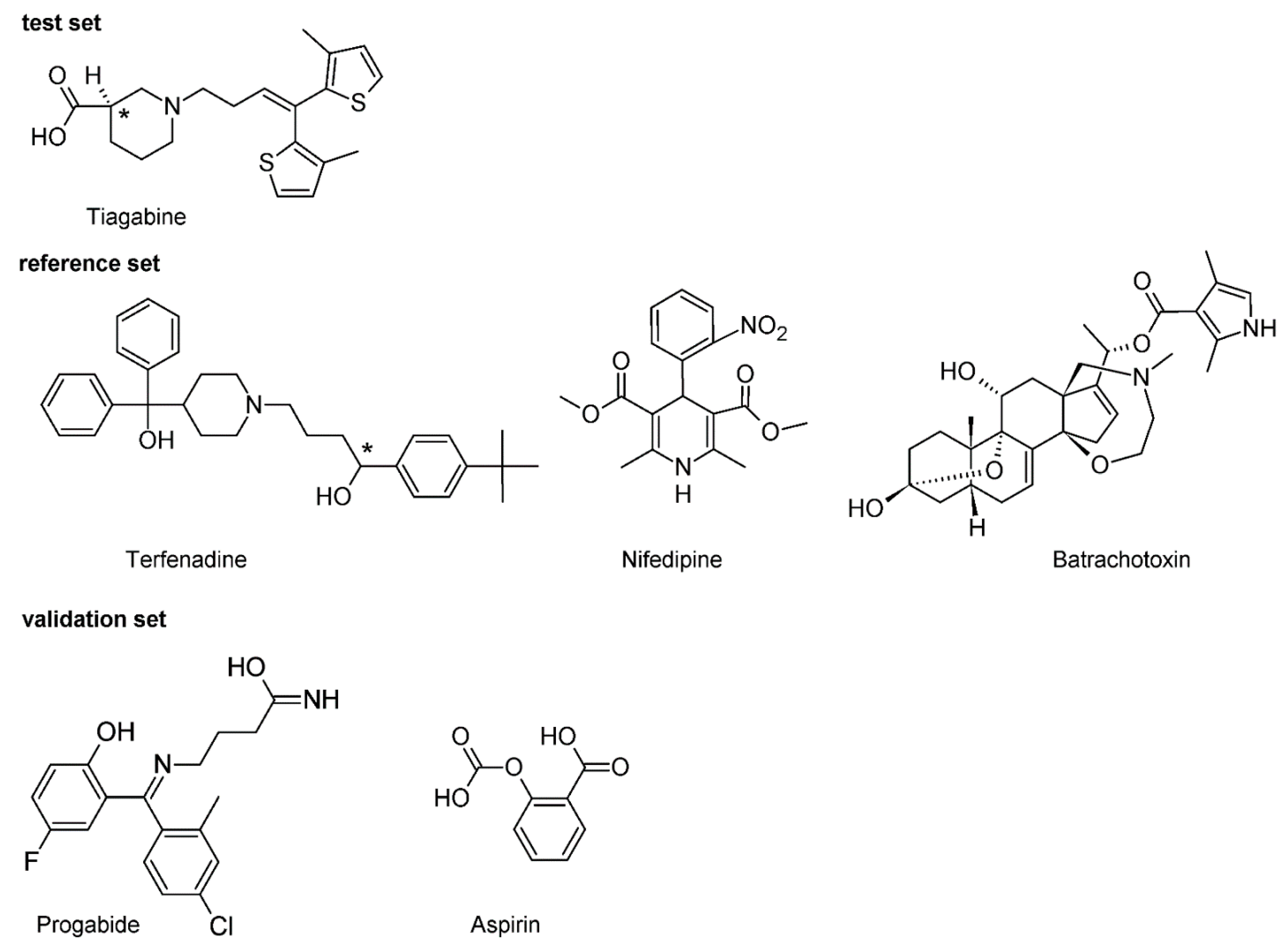
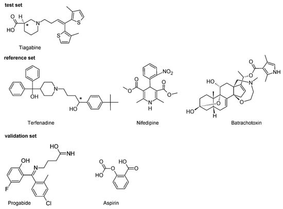
1. Introduction
2. Results
2.1. Pharmacological Part
2.1.1. The Effect on Normal Electrocardiogram
2.1.2. Voltage-Dependent Calcium Channels
2.2. Molecular Docking Studies
2.2.1. Terfenadine
2.2.2. Nifedipine
2.2.3. Batrachotoxin
2.2.4. Tiagabine
2.3. Validation Experiment
3. Discussion
4. Methods
4.1. Pharmacological Studies General Information
4.1.1. Voltage-Dependent Calcium Channels—Functional Assays
4.1.2. The Effect on Normal Electrocardiogram
4.2. In Silico Studies
4.2.1. Ligand Preparation
4.2.2. Voltage-Gated Ion Channels Preparation
- hNav1.5 preparation:
- hCav1.2 preparation
- hKv11.1 preparation:
4.2.3. Molecular Docking
Supplementary Materials
Author Contributions
Funding
Institutional Review Board Statement
Informed Consent Statement
Data Availability Statement
Conflicts of Interest
Sample Availability
Abbreviations
| AP | Cardiac action potential |
| (R/S)-TGB | (R/S)-Tiagabine |
| (R/S)-TEF | ((R/S)-Terfenadine |
| NFD | Nifedipine |
| BTX | Batrachotoxin |
| # | Hydrogen bond components: from the protein |
| % | Hydrogen bond components: from the ligand |
| Acc | Hydrogen bond acceptor |
| EB | Complex energy binding |
| EHB | Hydrogen bond energy |
| θ | Hydrogen bond angle |
| VGICs | Voltage-Gated Ion Channels |
| VGKCs | Voltage-Gated Potassium. Channels |
| VGNaCs | Voltage-Gated Sodium Channels |
| VGCaCs | Voltage-Gated Calcium Channels |
| KV11.1 (hERG) | Cardiac Voltage-Gated Potassium Channels |
| NaV1.5 | Cardiac Voltage-Gated Sodium Channels |
| CaV1.2 | Cardiac Voltage-Gated Calcium Channels |
References
- Shmuely, S.; Van der Lende, M.; Lamberts, R.J.; Sander, J.W.; Thijs, R.D. The heart of epilepsy: Current views and future concepts. Seizure 2017, 44, 176–183. [Google Scholar] [CrossRef]
- Shah, R.R. Cardiac Effects of Antiepileptic Drugs. In Atlas of Epilepsies; Springer: London, UK, 2010; pp. 1479–1486. [Google Scholar]
- Alberts, B.; Johnson, A.; Lewis, J.; Raff, M.; Roberts, K.; Walter, P. Molecular Biology of the Cell, 4th ed.; Garland Science: New York, NY, USA, 2015. [Google Scholar]
- Fermini, B.; Hancox, J.C.; Abi-Gerges, N.; Bridgland-Taylor, M.; Chaudhary, K.W.; Colatsky, T.; Correll, K.; Crumb, W.; Damiano, B.; Erdemli, G. A new perspective in the field of cardiac safety testing through the comprehensive in vitro proarrhythmia assay paradigm. J. Biomol. Screen. 2016, 21, 1–11. [Google Scholar] [CrossRef]
- Cheung, S.; Parkinson, J.; Wählby-Hamrén, U.; Dota, C.; Kragh, Å.; Bergenholm, L.; Vik, T.; Collins, T.; Arfvidsson, C.; Pollard, C. A tutorial on model informed approaches to cardiovascular safety with focus on cardiac repolarisation. J. Pharmacokinet. Pharmacodyn. 2018, 45, 365–381. [Google Scholar] [CrossRef]
- Obejero-Paz, C.A.; Bruening-Wright, A.; Kramer, J.; Hawryluk, P.; Tatalovic, M.; Dittrich, H.C.; Brown, A.M. Quantitative profiling of the effects of vanoxerine on human cardiac ion channels and its application to cardiac risk. Sci. Rep. 2015, 5, 1–15. [Google Scholar] [CrossRef]
- Crumb, W.J., Jr.; Vicente, J.; Johannesen, L.; Strauss, D.G. An evaluation of 30 clinical drugs against the comprehensive in vitro proarrhythmia assay (CiPA) proposed ion channel panel. J. Pharmacol. Toxicol. Methods 2016, 81, 251–262. [Google Scholar] [CrossRef]
- Li, Z.; Dutta, S.; Sheng, J.; Tran, P.N.; Wu, W.; Chang, K.; Mdluli, T.; Strauss, D.G.; Colatsky, T. Improving the in silico assessment of proarrhythmia risk by combining hERG (human ether-à-go-go-related gene) channel–drug binding kinetics and multichannel pharmacology. Circ. Arrhythmia Electrophysiol. 2017, 10, e004628. [Google Scholar] [CrossRef] [PubMed]
- Kramer, J.; Obejero-Paz, C.A.; Myatt, G.; Kuryshev, Y.A.; Bruening-Wright, A.; Verducci, J.S.; Brown, A.M. MICE models: Superior to the HERG model in predicting Torsade de Pointes. Sci. Rep. 2013, 3, 2100. [Google Scholar] [CrossRef]
- Nowaczyk, A.; Fijałkowski, Ł.; Zaręba, P.; Sałat, K. Selective neuronal and astrocytic inhibition of human GABA transporter isoform 1 (hGAT1) inhibitors in the mechanism of epilepsy and pain-molecular docking and pharmacodynamics studies, part I. JMGM 2018, 85, 171–181. [Google Scholar]
- Nowaczyk, A.; Fijałkowski, Ł.; Kowalska, M.; Podkowa, A.; Sałat, K. Studies on the activity of selected highly lipophilic compounds toward hGAT1 inhibition: Part II. ACS Chem. Neurosci. 2019, 10, 337–347. [Google Scholar] [CrossRef] [PubMed]
- Fijałkowski, Ł.; Sałat, K.; Podkowa, A.; Zaręba, P.; Nowaczyk, A. Potential role of selected antiepileptics used in neuropathic pain as human GABA transporter isoform 1 (GAT1) inhibitors—Molecular docking and pharmacodynamic studies. Eur. J. Pharm. Sci. 2017, 96, 362–372. [Google Scholar] [CrossRef]
- Kirsch, G.E.; Kramer, J.; Bruening-Wright, A.; Obejero-Paz, C.; Brown, A.M. The Comprehensive In Vitro Proarrhythmia Assay (CiPA) Guide: A New Approach to Cardiac Risk Assessment; Charles River Laboratories International: Wilmington, MA, USA, 2016. [Google Scholar]
- Raj, S.R.; Stein, C.M.; Saavedra, P.J.; Roden, D.M. Cardiovascular effects of noncardiovascular drugs. Circulation 2009, 120, 1123–1132. [Google Scholar] [CrossRef]
- Schwartz, T.L.; Nihalani, N. Tiagabine in anxiety disorders. Expert Opin. Pharmacother. 2006, 7, 1977–1987. [Google Scholar] [CrossRef]
- Sałat, K.; Podkowa, A.; Kowalczyk, P.; Kulig, K.; Dziubina, A.; Filipek, B.; Librowski, T. Anticonvulsant active inhibitor of GABA transporter subtype 1, tiagabine, with activity in mouse models of anxiety, pain and depression. Pharmacol. Rep. 2015, 67, 465–472. [Google Scholar] [CrossRef] [PubMed]
- Brodie, M.J. Tiagabine pharmacology in profile. Epilepsia 1995, 36, S7–S9. [Google Scholar] [CrossRef] [PubMed]
- Spiller, H.; Wiles, D.; Russell, J.; Casavant, M. Review of toxicity and trends in the use of tiagabine as reported to US poison centers from 2000 to 2012. Hum. Exp. Toxicol. 2016, 35, 109–113. [Google Scholar] [CrossRef] [PubMed]
- Schachter, S.C. Tiagabine. In Antiepileptic Drugs Pharmacology and Therapeutics; Springer: New York, NY, USA, 1999; pp. 447–463. [Google Scholar]
- Braestrup, C.; Nielsen, E.B.; Sonnewald, U.; Knutsen, L.J.; Andersen, K.E.; Jansen, J.A.; Frederiksen, K.; Andersen, P.H.; Mortensen, A.; Suzdak, P.D. (R)-N-[4, 4-bis (3-methyl-2-thienyl) but-3-en-1-yl] nipecotic acid binds with high affinity to the brain γ-aminobutyric acid uptake carrier. J. Neurochem. 1990, 54, 639–647. [Google Scholar] [CrossRef] [PubMed]
- Khouzam, H.R. A Review of Anticonvulsants use in Psychiatric Conditions. EC Neurol. 2019, 11, 579–591. [Google Scholar]
- Spiller, H.A.; Winter, M.L.; Ryan, M.; Krenzelok, E.P.; Anderson, D.L.; Thompson, M.; Kumar, S. Retrospective evaluation of tiagabine overdose. Clin. Toxicol. 2005, 43, 855–859. [Google Scholar] [CrossRef]
- Jankovic, S.M.; Dostic, M. Choice of antiepileptic drugs for the elderly: Possible drug interactions and adverse effects. Expert Opin. Drug Metab. Toxicol. 2012, 8, 81–91. [Google Scholar] [CrossRef] [PubMed]
- Kowalska, M.; Nowaczyk, J.; Nowaczyk, A. KV11.1, NaV1.5 and CaV1.2 transporter proteins as antitarget for drug cardiotoxicity. Int. J. Mol. Sci. 2020, 21, 8099. [Google Scholar] [CrossRef]
- Passman, R.; Kadish, A. Polymorphic ventricular tachycardia, long QT syndrome and torsades de pointes. Med. Clin. N. Am. 2001, 85, 321–341. [Google Scholar] [CrossRef]
- Rosso, R.; Hochstadt, A.; Viskin, D.; Chorin, E.; Schwartz, A.L.; Tovia-Brodie, O.; Laish-Farkash, A.; Havakuk, O.; Gepstein, L.; Banai, S. Polymorphic ventricular tachycardia, ischaemic ventricular fibrillation, and torsade de pointes: Importance of the QT and the coupling interval in the differential diagnosis. Eur. Heart J. 2021. [Google Scholar] [CrossRef] [PubMed]
- Rahm, A.-K.; Lugenbiel, P.; Schweizer, P.A.; Katus, H.A.; Thomas, D. Role of ion channels in heart failure and channelopathies. Biophys. Rev. 2018, 10, 1097–1106. [Google Scholar] [CrossRef]
- Triggle, D.; Janis, R. Calcium channel ligands. Annu. Rev. Pharmacol. Toxicol. 1987, 27, 347–369. [Google Scholar] [CrossRef]
- Albuquerque, E.; Daly, J.; Witkop, B. Batrachotoxin: Chemistry and pharmacology. Science 1971, 172, 995–1002. [Google Scholar] [CrossRef] [PubMed]
- Gilchrist, J.; Olivera, B.M.; Bosmans, F. Animal toxins influence voltage-gated sodium channel function. Volt. Gated Sodium Channels 2014, 221, 203–229. [Google Scholar]
- Sorkin, E.; Clissold, S.; Brogden, R. Nifedipine. Drugs 1985, 30, 182–274. [Google Scholar] [CrossRef]
- Pensel, M.C.; Nass, R.D.; Taubøll, E.; Aurlien, D.; Surges, R. Prevention of sudden unexpected death in epilepsy: Current status and future perspectives. Expert Rev. Neurother. 2020, 20, 497–508. [Google Scholar] [CrossRef]
- Goodnick, P.J.; Parra, F.; Jerry, J. Psychotropic drugs and the ECG: Focus on the QTc interval. Expert Opin. Pharmacother. 2002, 3, 479–498. [Google Scholar] [CrossRef]
- Godfraind, T.; Miller, R.; Wibo, M. Calcium antagonism and calcium entry blockade. Pharmacol. Rev. 1986, 38, 321–416. [Google Scholar]
- Kubacka, M.; Szkaradek, N.; Mogilski, S.; Pańczyk, K.; Siwek, A.; Gryboś, A.; Filipek, B.; Żmudzki, P.; Marona, H.; Waszkielewicz, A.M. Design, synthesis and cardiovascular evaluation of some aminoisopropanoloxy derivatives of xanthone. Bioorganic Med. Chem. 2018, 26, 3773–3784. [Google Scholar] [CrossRef]
- Kubacka, M.; Mogilski, S.; Filipek, B.; Marona, H. The hypotensive activity and alpha1-adrenoceptor antagonistic properties of some aroxyalkyl derivatives of 2-methoxyphenylpiperazine. Eur. J. Pharmacol. 2013, 698, 335–344. [Google Scholar] [CrossRef] [PubMed]
- Strauss, D.G.; Gintant, G.; Li, Z.; Wu, W.; Blinova, K.; Vicente, J.; Turner, J.R.; Sager, P.T. Comprehensive in vitro proarrhythmia assay (CiPA) update from a cardiac safety research consortium/health and environmental sciences institute/FDA Meeting. Ther. Innov. Regul. Sci. 2019, 53, 519–525. [Google Scholar] [CrossRef] [PubMed]
- Orvos, P.; Kohajda, Z.; Szlovák, J.; Gazdag, P.; Árpádffy-Lovas, T.; Tóth, D.; Geramipour, A.; Tálosi, L.; Jost, N.; Varró, A. Evaluation of Possible Proarrhythmic Potency: Comparison of the Effect of Dofetilide, Cisapride, Sotalol, Terfenadine, and Verapamil on hERG and Native I Kr Currents and on Cardiac Action Potential. Toxicol. Sci. 2019, 168, 365–380. [Google Scholar] [CrossRef] [PubMed]
- Balasubramanian, B.; Imredy, J.P.; Kim, D.; Penniman, J.; Lagrutta, A.; Salata, J.J. Optimization of Cav1. 2 screening with an automated planar patch clamp platform. J. Pharmacol. Toxicol. Methods 2009, 59, 62–72. [Google Scholar] [CrossRef] [PubMed]
- Khan, K.M.; Schaefer, T.J. Nifedipine. In StatPearls [Internet]; StatPearls Publishing: Treasure Island, FL, USA, 2019. Available online: https://www.ncbi.nlm.nih.gov/books/NBK537052/ (accessed on 22 April 2019).
- Kosower, E.M. A hypothesis for the mechanism of sodium channel opening by batrachotoxin and related toxins. FEBS Lett. 1983, 163, 161–164. [Google Scholar] [CrossRef]
- Du, Y.; Garden, D.P.; Wang, L.; Zhorov, B.S.; Dong, K. Identification of New Batrachotoxin-sensing Residues in Segment IIIS6 of the Sodium Channel. J. Biol. Chem. 2011, 286, 13151–13160. [Google Scholar] [CrossRef]
- Tokuyama, T.; Daly, J.; Witkop, B.; Karle, I.L.; Karle, J. The structure of batrachotoxinin A, a novel steroidal alkaloid from the Columbian arrow poison frog, Phyllobates aurotaenia. J. Am. Chem. Soc. 1968, 90, 1917–1918. [Google Scholar] [CrossRef]
- Khodorov, B.I.; Yelin, E.A.; Zaborovskaya, L.D.; Maksudov, M.Z.; Tikhomirova, O.B.; Leonov, V.N. Comparative analysis of the effects of synthetic derivatives of batrachotoxin on sodium currents in frog node of Ranvier. Cell. Mol. Neurobiol. 1992, 12, 59–81. [Google Scholar] [CrossRef]
- Tikhonov, D.B.; Zhorov, B.S. Sodium channel activators: Model of binding inside the pore and a possible mechanism of action. FEBS Lett. 2005, 579, 4207–4212. [Google Scholar] [CrossRef]
- Wang, S.-Y.; Tikhonov, D.B.; Mitchell, J.; Zhorov, B.; Wang, G.K. Irreversible block of cardiac mutant Na+ channels by batrachotoxin. Channels 2007, 1, 179–188. [Google Scholar] [CrossRef]
- Toma, T.; Logan, M.M.; Menard, F.; Devlin, A.S.; Du Bois, J. Inhibition of sodium ion channel function with truncated forms of batrachotoxin. ACS Chem. Neurosci. 2016, 7, 1463–1468. [Google Scholar] [CrossRef] [PubMed]
- Vossler, D.G.; Morris, G.L.; Harden, C.L.; Montouris, G.; Faught, E.; Kanner, A.M.; Fix, A.; French, J.A. The Postmarketing Antiepileptic Drug Survey (PADS) group study investigators. Tiagabine in clinical practice: Effects on seizure control and behavior. Epilepsy Behav. 2013, 28, 211–216. [Google Scholar] [CrossRef] [PubMed]
- Masuda, N.; Peng, Q.; Li, Q.; Jiang, M.; Liang, Y.; Wang, X.; Zhao, M.; Wang, W.; Ross, C.A.; Duan, W. Tiagabine is neuroprotective in the N171-82Q and R6/2 mouse models of Huntington’s disease. Neurobiol. Dis. 2008, 30, 293–302. [Google Scholar] [CrossRef]
- Davydov, O. Antiepileptic Drugs Beyond Epilepsy (use of anticonvulsants in the treatment of pain syndromes). Neurosci. Behav. Physiol. 2014, 44, 772–778. [Google Scholar] [CrossRef]
- Pack, A.M. Epilepsy Overview and Revised Classification of Seizures and Epilepsies. Contin. Lifelong Learn. Neurol. 2016, 25, 306–321. [Google Scholar] [CrossRef] [PubMed]
- Desborough, M.J.; Keeling, D.M. The aspirin story–from willow to wonder drug. Br. J. Haematol. 2017, 177, 674–683. [Google Scholar] [CrossRef]
- ATC Anatomical Therapeutic Chemical Classification System. Available online: http://www.atccode.com/ (accessed on 22 April 2019).
- Asif, M. A review on antiepileptic drug and their uses, mechanism of actions, adverse effects and drug interaction. Curr. Sci. Perspect. 2016, 2, 19–38. [Google Scholar]
- Morris, G.M.; Huey, R.; Lindstrom, W.; Sanner, M.F.; Belew, R.K.; Goodsell, D.S.; Olson, A.J. AutoDock4 and AutoDockTools4: Automated docking with selective receptor flexibility. J. Comput. Chem 2009, 30, 2785–2791. [Google Scholar] [CrossRef]
- Meldrum, B.S.; Chapman, A.G. Basic Mechanisms of Gabitril (Tiagabine) and Future Potential Developments. Epilepsia 1999, 40 (Suppl. 9), S2–S6. [Google Scholar] [CrossRef]
- Flowers, C.M.; Racoosin, J.A.; Kortepeter, C. Seizure activity and off-label use of tiagabine. N. Engl. J. Med. 2006, 354, 773–774. [Google Scholar] [CrossRef]
- Yarborough, M.; Johnson, J.G. Histamine Modulators. In Essentials of Pharmacology for Anesthesia, Pain Medicine, and Critical Care; Springer: New York, NY, USA, 2015; pp. 365–379. [Google Scholar]
- Li, M.; Ramos, L.G. Drug-induced QT prolongation and torsades de pointes. Pharm. Ther. 2017, 42, 473–477. [Google Scholar]
- Woosley, R.L.; Chen, Y.; Freiman, J.P.; Gillis, R.A. Mechanism of the cardiotoxic actions of terfenadine. JAMA 1993, 269, 1532–1536. [Google Scholar] [CrossRef]
- Sorkin, E.; Heel, R. Terfenadine A review of its pharmacodynamic properties and terapeutic efficiecy. Drugs 1985, 29, 34–56. [Google Scholar] [CrossRef]
- Ajayi, F.O.; Sun, H.; Perry, J. Adverse drug reactions: A review of relevant factors. J. Clin. Pharmacol. 2000, 40, 1093–1101. [Google Scholar]
- Koch, E.; Plassmann, S. Critical Aspects of Integrated Nonclinical Drug Development: Concepts, Strategies, and Potential Pitfalls. In A Comprehensive Guide to Toxicology in Nonclinical Drug Development; Elsevier: Amsterdam, The Netherlands, 2017; pp. 7–38. [Google Scholar]
- Roy, M.-L.; Dumaine, R.; Brown, A.M. HERG, a primary human ventricular target of the nonsedating antihistamine terfenadine. Circulation 1996, 94, 817–823. [Google Scholar] [CrossRef] [PubMed]
- Pratt, P.F.; Bonnet, S.; Ludwig, L.M.; Bonnet, P.; Rusch, N.J. Upregulation of L-type Ca2+ channels in mesenteric and skeletal arteries of SHR. Hypertension 2002, 40, 214–219. [Google Scholar] [CrossRef]
- Worley, J.; French, R.J.; Krueger, B.K. Trimethyloxonium modification of single batrachotoxin-activated sodium channels in planar bilayers. Changes in unit conductance and in block by saxitoxin and calcium. J. Gen. Physiol. 1986, 87, 327–349. [Google Scholar] [CrossRef]
- Yap, Y.G.; Camm, A.J. Drug induced QT prolongation and torsades de pointes. Heart 2003, 89, 1363–1372. [Google Scholar] [CrossRef]
- Huang, H.; Pugsley, M.K.; Fermini, B.; Curtis, M.J.; Koerner, J.; Accardi, M.; Authier, S. Cardiac voltage-gated ion channels in safety pharmacology: Review of the landscape leading to the CiPA initiative. J. Pharmacol. Toxicol. Methods 2017, 87, 11–23. [Google Scholar] [CrossRef]
- Mirams, G.R.; Cui, Y.; Sher, A.; Fink, M.; Cooper, J.; Heath, B.M.; McMahon, N.C.; Gavaghan, D.J.; Noble, D. Simulation of multiple ion channel block provides improved early prediction of compounds’ clinical torsadogenic risk. Cardiovasc. Res. 2011, 91, 53–61. [Google Scholar] [CrossRef] [PubMed]
- Zhang, X.; Ai, X.; Nakayama, H.; Chen, B.; Harris, D.M.; Tang, M.; Xie, Y.; Szeto, C.; Li, Y.; Li, Y. Persistent increases in Ca2+ influx through Cav1. 2 shortens action potential and causes Ca2+ overload-induced afterdepolarizations and arrhythmias. Basic Res. Cardiol. 2016, 111, 1–16. [Google Scholar] [CrossRef] [PubMed]
- Konopelski, P.; Ufnal, M. Electrocardiography in rats: A comparison to human. Physiol. Res. 2016, 65, 717–725. [Google Scholar] [CrossRef]
- Chun, K.; Koenen, M.; Katus, H.A.; Zehelein, J. Expression of the IKr components KCNH2 (rERG) and KCNE2 (rMiRP1) during late rat heart development. Exp. Mol. Med. 2004, 36, 367–371. [Google Scholar] [CrossRef]
- Matus, M.; Kucerova, D.; Kruzliak, P.; Adameova, A.; Doka, G.; Turcekova, K.; Kmecova, J.; Kyselovic, J.; Krenek, P.; Kirchhefer, U. Upregulation of SERCA2a following short-term ACE inhibition (by enalaprilat) alters contractile performance and arrhythmogenicity of healthy myocardium in rat. Mol. Cell. Biochem. 2015, 403, 199–208. [Google Scholar] [CrossRef]
- De Clerck, F.; Van de Water, A.; D’Aubioul, J.; Lu, H.R.; Van Rossem, K.; Hermans, A.; Van Ammel, K. In vivo measurement of QT prolongation, dispersion and arrhythmogenesis: Application to the preclinical cardiovascular safety pharmacology of a new chemical entity. Fundam. Clin. Pharmacol. 2002, 16, 125–140. [Google Scholar] [CrossRef]
- Frisch, M.J.; Trucks, G.W.; Schlegel, H.B.; Scuseria, G.E.; Robb, M.A.; Cheeseman, J.R.; Zakrzewski, V.G.; Montgomery, J.A.; Stratmann, R.E.; Burant, S.; et al. Gaussian 09; Revision D.01; Gaussian, Inc.: Wallingford, CT, USA, 2009. [Google Scholar]
- Irwin, J.J.; Sterling, T.; Mysinger, M.M.; Bolstad, E.S.; Coleman, R.G. ZINC: A free tool to discover chemistry for biology. J. Chem. Inf. Model. 2012, 52, 1757–1768. [Google Scholar] [CrossRef] [PubMed]
- Dennington, R.; Keith, T.; Millam, J. GaussView, Version 5; Semichem Inc.: Shawnee Mission, KS, USA, 2009. [Google Scholar]
- Morris, G.M.; Goodsell, D.S.; Halliday, R.S.; Huey, R.; Hart, W.E.; Belew, R.K.; Olson, A.J. Automated docking using a Lamarckian genetic algorithm and an empirical binding free energy function. J. Comput. Chem. 1998, 19, 1639–1662. [Google Scholar] [CrossRef]
- Waterhouse, A.; Bertoni, M.; Bienert, S.; Studer, G.; Tauriello, G.; Gumienny, R.; Heer, F.T.; de Beer, T.A.P.; Rempfer, C.; Bordoli, L. SWISS-MODEL: Homology modelling of protein structures and complexes. Nucleic Acids Res. 2018, 46, W296–W303. [Google Scholar] [CrossRef]
- Bienert, S.; Waterhouse, A.; de Beer, T.A.; Tauriello, G.; Studer, G.; Bordoli, L.; Schwede, T. The SWISS-MODEL Repository—New features and functionality. Nucleic Acids Res. 2017, 45, D313–D319. [Google Scholar] [CrossRef]
- Schultz, D.; Mikala, G.; Yatani, A.; Engle, D.B.; Iles, D.E.; Segers, B.; Sinke, R.J.; Weghuis, D.O.; Klockner, U.; Wakamori, M.; et al. Cloning, chromosomal localization, and functional expression of the alpha 1 subunit of the L-type voltage-dependent calcium channel from normal human heart. Proc. Natl. Acad. Sci. USA 1993, 90, 6228–6232. [Google Scholar] [CrossRef] [PubMed]
- Cabral, J.H.M.; Lee, A.; Cohen, S.L.; Chait, B.T.; Li, M.; Mackinnon, R. Crystal Structure and Functional Analysis of the HERG Potassium Channel N Terminus: A Eukaryotic PAS Domain. Cell 1998, 95, 649–655. [Google Scholar] [CrossRef]
- Morais-Cabral, J.H.; Robertson, G.A. The enigmatic cytoplasmic regions of KCNH channels. J. Mol. Biol. 2015, 427, 67–76. [Google Scholar] [CrossRef]
- Rayevsky, A.; Samofalova, D.O.; Maximyuk, O.; Platonov, M.; Hurmach, V.; Ryabukhin, S.; Volochnyuk, D. Modelling of an autonomous Nav1. 5 channel system as a part of in silico pharmacology study. J. Mol. Model. 2021, 27, 1–9. [Google Scholar] [CrossRef] [PubMed]
- Ahmed, M.; Hasani, H.J.; Ganesan, A.; Houghton, M.; Barakat, K. Modeling the human Nav1. 5 sodium channel: Structural and mechanistic insights of ion permeation and drug blockade. Drug Des. Dev. Ther. 2017, 11, 2301. [Google Scholar] [CrossRef] [PubMed]
- Hering, S.; Zangerl-Plessl, E.-M.; Beyl, S.; Hohaus, A.; Andranovits, S.; Timin, E. Calcium channel gating. Pflügers Arch. Eur. J. Physiol. 2018, 470, 1291–1309. [Google Scholar] [CrossRef]
- Findeisen, F.; Minor, J.; Daniel, L. Progress in the structural understanding of voltage-gated calcium channel (CaV) function and modulation. Channels 2010, 4, 459–474. [Google Scholar] [CrossRef]
- Al-Owais, M.; Bracey, K.; Wray, D. Role of intracellular domains in the function of the herg potassium channel. Eur. Biophys. J. 2009, 38, 569–576. [Google Scholar] [CrossRef] [PubMed]
- Stansfeld, P.J.; Gedeck, P.; Gosling, M.; Cox, B.; Mitcheson, J.S.; Sutcliffe, M.J. Drug block of the hERG potassium channel: Insight from modeling. Proteins Struct. Funct. Bioinform. 2007, 68, 568–580. [Google Scholar] [CrossRef]



| Parameters | Time of Observation (min) | |||||||
|---|---|---|---|---|---|---|---|---|
| 0 | 5 | 10 | 20 | 30 | 40 | 50 | 60 | |
| Beats/min | 288.0 ± 5.4 | 275.6 ± 7.6 | 274.2 ± 7.7 | 269.5 ± 6.6 | 268.1 ± 3.0 | 276.7 ± 4.7 | 283.7 ± 7.0 | 289.5 ± 11.3 |
| PQ (ms) | 52.6 ± 2.0 | 56.2 ± 2.0 | 56.8 ± 2.1 | 56.6 ± 18 | 57.2 ± 1.3 | 55.2 ± 2.2 | 57.2 ± 1.2 | 56.8 ± 1.3 |
| QRS (ms) | 19.2 ± 0.5 | 18.4 ± 1.1 | 19.8 ± 0.9 | 19.4 ± 0.6 | 19.4 ± 0.9 | 19.8 ± 0.5 | 19.6 ± 0.4 | 19.0 ± 0.9 |
| QT (ms) | 61.0 ± 1.0 | 60.6 ± 0.4 | 62.6 ± 1.9 | 62.8 ± 1.8 | 60.8 ± 0.8 | 63.6 ± 1.8 | 61.2 ± 0.8 | 61.6 ± 0.9 |
| QTc (ms) | 113.8 ± 3.0 | 115.6 ± 1.5 | 119.9 ±5.6 | 121.1 ±3.8 | 117.4 ± 2.0 | 121.0 ± 3.8 | 115.0 ± 2.0 | 114.8± 3.0 |
| Complex | EB | pKi | Amino Acid Residues | HB | Angle | LHB | EHB | ||
|---|---|---|---|---|---|---|---|---|---|
| Protein | Ligand | kcal/mol | donor | acc | θ | Å | kcal/mol | ||
| hNav1.5 | R-TGB | −5.01 | 3.74 | ASN927 | #CONH2 | %COO | 153.33 | 2.17 | −3.38 |
| S-TGB | −5.21 | 3.82 | ASN927 | #CONH2 | %COO | 171.54 | 2.23 | −4.05 | |
| NFD | −7.00 | 5.13 | LEU409 | %NOH | #CONH | 146.945 | 1.987 | −0.07 | |
| R-TEF | −6,83 | 5.01 | none | ||||||
| S-TEF | −7.45 | 5.46 | LEU409 | %OH | #CONH | 163.079 | 2.014 | −1.00 | |
| GLU417 | %OH | #COO | 129.495 | 2.178 | −0.04 | ||||
| BTX | −9.01 | 6.68 | SER1458 | %NH | #CONH | 156.904 | 2.179 | −3.43 | |
| hCav1.2 | R-TGB | −5.05 | 3.70 | THR1056 | %NH | #OH | 168.494 | 1.868 | −7.33 |
| SER1132 | #OH | %COO | 176.604 | 2.116 | −5.54 | ||||
| S-TGB | −4.77 | 3.50 | THR1056 | %NH | #OH | 150.676 | 2.155 | −4.06 | |
| SER1132 | #OH | %COO | 137.882 | 2.092 | −0.01 | ||||
| NFD | −10.71 | 7.85 | THR1462 | %NOH | #CONH | 124.62 | 1.68 | −3.13 | |
| TYR1508 | #PhOH | %NOH | 141.07 | 1.92 | −3.84 | ||||
| R-TEF | −4.16 | 3.05 | THR1133 | %OH | #CONH | 137.428 | 2.021 | −0.35 | |
| S-TEF | −4.75 | 3.48 | ALA1174 | %OH | #CONH | 128.006 | 1.901 | −0.35 | |
| BTX | −7.17 | 5.25 | GLN1060 | %OH | #CONH2 | 157.582 | 1.691 | −0.37 | |
| SER1132 | #OH | %OH | 141.666 | 2.221 | −3.23 | ||||
| MET1178 | %NH-pyrrole | #CONH | 156.864 | 2.028 | −4.51 | ||||
| hKv11.1 | R-TGB | −5.4 | 3.32 | none | |||||
| S-TGB | −5.2 | 3.14 | TYR652 | %NH | #CONH | 136.087 | 1.97 | −2.86 | |
| SER660 | #OH | %COO | 128.896 | 2.145 | −0.04 | ||||
| NFD | −4.42 | 3.24 | ASN658 | #CONH2 | %NO | 174.448 | 1.849 | −7.63 | |
| R-TEF | −8.4 | 6.27 | TYR652 | %OH | #PhOH | 158.395 | 2.121 | −3.63 | |
| S-TEF | −8.4 | 6,56 | none | ||||||
| BTX | −6.75 | 4.95 | PHE551 | %OH | #CONH | 171.728 | 1.933 | −0.28 | |
| THR623 | 140.298 | 1.933 | −2.24 | ||||||
| Complex | EB | pKi | Amino Acid Residues | HB | Angle | LHB | EHB | ||
|---|---|---|---|---|---|---|---|---|---|
| Protein | Ligand | donor | acc | θ | Å | kcal/mol | |||
| hNav1.5 | PRG | −3.90 | 2.86 | ASP945 | %CONH1 | #COO | 157.949 | 1.998 | −5.425 |
| ASN1474 | %CONH2 | #CO | 155.21 | 2.00 | −5.04 | ||||
| ASN1474 | #NH2 | %CO | 141.795 | 1.987 | −2.731 | ||||
| ASA | −3.29 | 2.41 | LYS1477 | #NH1 | %CO | 159.455 | 1.905 | −2.071 | |
| LYS1477 | #NH2 | %COO | 157.938 | 1.737 | −0.015 | ||||
| hCav1.2 | PRG | −3.29 | 2.41 | THR1056 | %OH | #OH | 163.88 | 1.99 | −4.82 |
| SER1132 | #OH | %CONH | 156.74 | 1.94 | −3.02 | ||||
| ASA | −2.41 | 1.77 | THR1056 | #OH | %COO | 159.14 | 1.84 | −2.30 | |
| SER1132 | #OH | %CO | 176.21 | 1.945 | −6.00 | ||||
| hKv11.1 | PRG | −3.4 | 2.50 | TYR652 | %CONH2 | #PhOH | 139.884 | 1.902 | −2.015 |
| TYR652 | %NH | #PhOH | 139.121 | 2.182 | −1.695 | ||||
| SER660 | %OH | #OH | 170.052 | 2.129 | −0.893 | ||||
| ASA | −3.26 | 2.39 | ASN658 | #CONH2 | %COO | 167.92 | 1.78 | −7.29 | |
| Protein | Intramembrane Pore-Forming Region Sequences |
|---|---|
| hNav1.5 | 358–382 (Phe, Ala, Trp, Ala, Phe, Leu, Ala, Leu, Phe, Arg, Leu, Met, Thr, Gly, Leu, Ans, Asp, Cys, Trp, Glu, Arg, Leu, Tyr, Gly, Leu, Ans, Gly, Leu, Ans, Thr, Leu) 884–904 (Phe, Phe, His, Ala, Phe, Leu, Ile, Ile, Phe, Arg, Ile, Leu, Cys, Gly, Glu, Trp, Ile, Glu, Thr, Met, Trp) 1406–1427 (Gly, Ala, Gly, Tyr, Leu, Ala, Leu, Leu, Gly, Leu, Ans, Val, Ala, Thr, Phe, Lys, Gly, Trp, Met, Asp, Ile, Met, Tyr, Ala) 1697–1719 (Phe, Ala, Ans, Ser, Met, Leu, Cys, Leu, Phe, Gly, Leu, Ans, Ile, Thr, Thr, Ser, Ala, Gly, Trp, Asp, Gly, Leu, Leu, Ser, Pro) [84,85] |
| hCav1.2 | 351–372 (Phe, Ala, Met, Leu, Thr, Val, Phe, Gly, Leu, Ans, Cys, Ile, Thr, Met, Glu, Glu, Trp, Thr, Asp, Val, Leu, Tyr, Trp, Val) 694–715 (Gly, Leu, Ans, Ser, Leu, Leu, Thr, Val, Phe, Gly, Leu, Ans, Ile, Leu, Thr, Gly, Glu, Asp, Trp, Ans, Ser, Val, Met, Tyr, Asp, Gly) 1122–1142 (Leu, Ala, Ala, Met, Met, Ala, Leu, Phe, Thr, Val, Ser, Thr, Phe, Glu, Gly, Trp, Pro, Glu, Leu, Leu, Tyr) 1453–1471 (Ala, Val, Leu, Leu, Leu, Phe, Arg, Cys, Ala, Thr, Gly, Glu, Ala, Trp, Gly, Leu, Ans, Asp, Ile, Met, Leu) [86,87] |
| hKv11.1 | 612–632 (Val, Thr, Ala, Leu, Tyr, Phe, Tphe, Ser, Ser, Leu, Thr, Ser, Val, Gly, Phe, Gly, Ans, Vsp) [88,89] |
Publisher’s Note: MDPI stays neutral with regard to jurisdictional claims in published maps and institutional affiliations. |
© 2021 by the authors. Licensee MDPI, Basel, Switzerland. This article is an open access article distributed under the terms and conditions of the Creative Commons Attribution (CC BY) license (https://creativecommons.org/licenses/by/4.0/).
Share and Cite
Kowalska, M.; Fijałkowski, Ł.; Kubacka, M.; Sałat, K.; Grześk, G.; Nowaczyk, J.; Nowaczyk, A. Antiepileptic Drug Tiagabine Does Not Directly Target Key Cardiac Ion Channels Kv11.1, Nav1.5 and Cav1.2. Molecules 2021, 26, 3522. https://doi.org/10.3390/molecules26123522
Kowalska M, Fijałkowski Ł, Kubacka M, Sałat K, Grześk G, Nowaczyk J, Nowaczyk A. Antiepileptic Drug Tiagabine Does Not Directly Target Key Cardiac Ion Channels Kv11.1, Nav1.5 and Cav1.2. Molecules. 2021; 26(12):3522. https://doi.org/10.3390/molecules26123522
Chicago/Turabian StyleKowalska, Magdalena, Łukasz Fijałkowski, Monika Kubacka, Kinga Sałat, Grzegorz Grześk, Jacek Nowaczyk, and Alicja Nowaczyk. 2021. "Antiepileptic Drug Tiagabine Does Not Directly Target Key Cardiac Ion Channels Kv11.1, Nav1.5 and Cav1.2" Molecules 26, no. 12: 3522. https://doi.org/10.3390/molecules26123522
APA StyleKowalska, M., Fijałkowski, Ł., Kubacka, M., Sałat, K., Grześk, G., Nowaczyk, J., & Nowaczyk, A. (2021). Antiepileptic Drug Tiagabine Does Not Directly Target Key Cardiac Ion Channels Kv11.1, Nav1.5 and Cav1.2. Molecules, 26(12), 3522. https://doi.org/10.3390/molecules26123522

