Accumulation of Major, Minor and Trace Elements in Pine Needles (Pinus nigra) in Vienna (Austria)
Abstract
1. Introduction
2. Results
2.1. Analytical Methodology
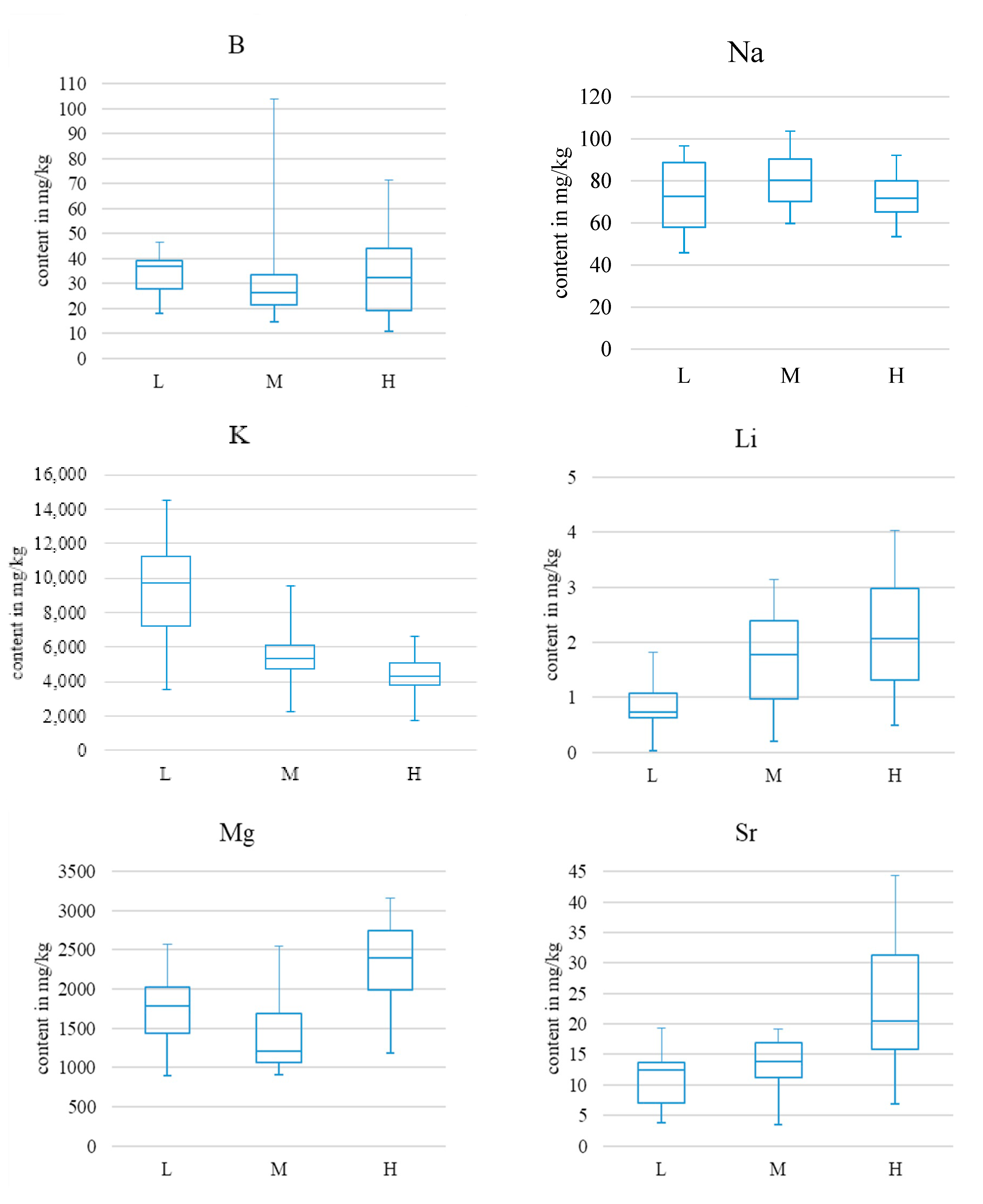
2.2. Metals and Metalloids in Pine Needles
3. Discussion
4. Materials and Methods
5. Conclusions
Supplementary Materials
Author Contributions
Funding
Institutional Review Board Statement
Informed Consent Statement
Data Availability Statement
Acknowledgments
Conflicts of Interest
References
- Duffus, J.H. Heavy Metals—A meaningless Term? (IUPAC Technical Report). Pure Appl. Chem. 2002, 74, 793–807. [Google Scholar] [CrossRef]
- Alves, S.P.; Alfaia, C.M.; Škrbić, B.D.; Živančev, J.R.; Fernandes, M.J.; Bessa, R.J.B.; Fraqueza, M.J. Creening chemical hazards of dry fermented sausages from distinct origins: Biogenic amines, polycyclic aromatic hydrocarbons and heavy elements. J. Food Compost. Anal. 2017, 59, 124–131. [Google Scholar] [CrossRef]
- Škrbić, B.; Đurišić-Mladenović, N.; Cvejanov, J. Principal Component Analysis of Trace Elements in Serbian Wheat. J. Agric. Food Chem. 2005, 53, 2171–2175. [Google Scholar] [CrossRef] [PubMed]
- Ru, Q.M.; Feng, Q.; He, J.Z. Risk assessment of heavy metals in honey consumed in Zhejiang province, southeastern China. Food Chem. Toxicol. 2013, 53, 256–262. [Google Scholar] [CrossRef]
- Alonso, M.L.; Benedito, J.L.; Miranda, M.; Castillo, C.; Hernández, J.; Shore, R.F. Arsenic, cadmium, lead, copper and zinc in cattle from Galicia, NW Spain. Sci. Total Environ. 2000, 246, 237–248. [Google Scholar] [CrossRef]
- Heinze, I.; Gross, R.; Stehle, P.; Dillon, D. Assessment of lead exposure in school children from Jakarta. Environ. Health Perspect. 1998, 106, 499–501. [Google Scholar] [CrossRef]
- Záray, G.; Óvari, M.; Salma, I.; Steffan, I.; Zeiner, M.; Caroli, S. Determination of platinum in urine and airborne particulate matter from Budapest and Vienna. Microchem. J. 2004, 76, 31–34. [Google Scholar] [CrossRef]
- Holoubek, I.; Korínek, P.; Seda, Z.; Schneiderová, E.; Holoubková, I.; Pacl, A.; Tríska, J.; Cudlín, P.; Cáslavský, J. The use of mosses and pine needles to detect persistent organic pollutants at local and regional scales. Environ. Pollut. 2000, 109, 283–292. [Google Scholar] [CrossRef]
- Bertolotti, G.; Gialanella, S. Review: Use of conifer needles as passive samplers of inorganic pollutants in air quality monitoring. Anal. Methods 2014, 6, 6208–6222. [Google Scholar] [CrossRef]
- Al-Alawi, M.M.; Mandiwana, K.L. The use of Aleppo pine needles as a bio-monitor of heavy metals in the atmosphere. J. Haz. Mat. 2007, 148, 43–46. [Google Scholar] [CrossRef]
- Sardans, J.; Peñuelas, J. Trace element accumulation in the moss Hypnum cupressiforme Hedw. and the trees Quercus ilex L. and Pinus halepensis Mill. in Catalonia. Chemosphere 2005, 60, 1293–1307. [Google Scholar] [CrossRef]
- Yilmaz, S.; Zengin, M. Monitoring environmental pollution in Erzurum by chemical analysis of Scots pine (Pinus sylvestris L.) needles. Environ. Int. 2004, 29, 1041–1047. [Google Scholar] [CrossRef]
- Sun, F.; Wen, D.; Kuang, Y.; Li, J.; Li, J.; Zuo, W. Concentrations of heavy metals and polycyclic aromatic hydrocarbons in needles of Masson pine (Pinus massoniana L.) growing nearby different industrial sources. J. Environ. Sci. 2010, 22, 1006–1013. [Google Scholar] [CrossRef]
- Lehndorff, E.; Schwark, L. Accumulation histories of major and trace elements on pine needles in the Cologne Conurbation as function of air quality. Atmos. Environ. 2008, 42, 833–845. [Google Scholar] [CrossRef]
- Sawidis, T.; Breuste, J.; Mitrovic, M.; Pavlovic, P.; Tsigaridas, K. Trees as bioindicator of heavy metal pollution in three European cities. Environ. Pollut. 2011, 159, 3560–3570. [Google Scholar] [CrossRef]
- Zeiner, M.; Kuhar, A.; Juranović Cindrić, I. Geographic Differences in Element Accumulation in Needles of Aleppo Pines (Pinus halepensis Mill.) Grown in Mediterranean Region. Molecules 2019, 24, 1877. [Google Scholar] [CrossRef]
- Zeiner, M.; Juranović Cindrić, I.; Konanov-Mihajlov, D.; Stingeder, G. Differences in bioaccumulation of essential and toxic elements by white and red hawthorn. Curr. Anal. Chem. 2017, 13, 299–304. [Google Scholar] [CrossRef]
- Škrbić, B.; Milovac, S.; Matavulj, M. Multielement profiles of soil, road dust, tree bark and wood-rotten fungi collected at various distances from high-frequency road in urban area. Ecol. Indic. 2012, 13, 168–177. [Google Scholar] [CrossRef]
- Juranović Cindrić, I.; Zeiner, M.; Starčević, A.; Stingeder, G. Metals in pine needles: Characterisation of bio-indicators depending on species. Int. J. Environ. Sci. Techn. 2019, 16, 4339–4346. [Google Scholar] [CrossRef]
- Juranović-Cindrić, I.; Zeiner, M.; Starčević, A.; Liber, Z.; Rusak, G.; Idžojtić, M.; Stingeder, G. Influence of F1 hybridization on the metal uptake behaviour of pine trees (Pinus nigra x Pinus thunbergiana; Pinus thunbergiana x Pinus nigra). J. Trace. Elem. Med. Biol. 2018, 48, 190–195. [Google Scholar] [CrossRef] [PubMed]
- Turkyilmaz, A.; Sevik, H.; Cetin, M. The use of perennial needles as biomonitors for recently accumulated heavy metals. Landsc. Ecol. Eng. 2018, 14, 115–120. [Google Scholar] [CrossRef]
- Giertych, M.J.; Karolewski, P.; de Temmerman, L.O. Foliage age and pollution alter content of phenolic compounds and chemical elements in Pinus nigra needles. Water Air Soil Poll. 1999, 110, 363–377. [Google Scholar] [CrossRef]
- General Information on Pinus nigra. Available online: https://www.schwarzfoehre.at/ (accessed on 29 May 2019).
- Kohlross, H. Die Schwarzföhre in Österreich: Ihre außergewöhnliche Bedeutung für Natur, Wirtschaft und Kultur; Eigenverlag: Gutenstein, Austria, 2006. [Google Scholar]
- Onno, M. Die Schwarzföhre im Lainzer Tiergarten bei Wien. Plant Syst. Evol. 1936, 85, 116–125. [Google Scholar] [CrossRef]
- Kaaraslan, N.M.; Yaman, M. Seasonal changes in copper and cobalt concentrations of Pinus nigra L., Cedrus libani and Cupressus arizonica leaves to monitor the effects of pollution in Elazig (Turkey). Spectrosc. Spect Anal. 2013, 33, 1331–1337. [Google Scholar]
- Kastratović, V.; Krivokapić, S.; Đurović, D.; Blagojević, N. Seasonal changes in metal accumulation and distribution in the organs of Phragmites australis (common reed) from Lake Skadar, Montenegro. J. Serb. Chem. Soc. 2013, 78, 1241–1258. [Google Scholar] [CrossRef]
- Mertens, J.; Vervaeke, P.; Meers, E.; Tack, F.M.G. Seasonal Changes of Metals in Willow (Salix sp.) Stands for Phytoremediation on Dredged Sediment. Environ. Sci. Technol. 2006, 40, 1962–1968. [Google Scholar] [CrossRef]
- Zeiner, M.; Juranović-Cindrić, I.; Požgaj, M.; Pirkl, R.; Šilić, T.; Stingeder, G. Influence of soil composition on the major, minor and trace metal content of Velebit biomedical plants. J. Pharm. Biomed. Anal. 2015, 106, 153–158. [Google Scholar] [CrossRef]
- Sijacic-Nikolic, M.; Krstic, B.; Vilotic, D.; Stankovic, D.; Oljaca, R. Comparative research of accumulation of heavy metals in woody plants and herbs. Fresen. Environ. Bull. 2011, 20, 3095–3100. [Google Scholar]
- Avci, H.; Kaya, G.; Akdeniz, I.; Ince, M.; Yaman, M. Flame atomic absorption spectrometric determination of Nickel and Chromium in various plant leaves used as biomonitors in environmental pollution. Fresen. Environ. Bull. 2013, 22, 382–390. [Google Scholar]
- Bzour, A.F.; Khoury, H.N.; Oran, S.A. Uptake of Arsenic (As), Cadmium (Cd), Chromium (Cr),Selenium (Se), Strontium (Sr), Vanadium (V) And Uranium (U)by Wild Plants in Khan Al- Zabib Area /Central Jordan. Jordan J. Earth Environ. Sci. 2017, 8, 45–53. [Google Scholar]
- Parks, J.L.; Edwards, M. Boron in the Environment. Crit. Rev. Env. Sci. Tec. 2005, 35, 81–114. [Google Scholar] [CrossRef]
- Franzaring, J.; Schlosser, S.; Damsohn, W.; Fangmeier, A. Regional differences in plant levels and investigations on the phytotoxicity of lithium. Environ. Pollut. 2016, 216, 858–865. [Google Scholar] [CrossRef]
- Robinson, B.H.; Yalamanchali, R.; Reiser, R.; Dickinson, N.M. Lithium as an emerging environmental contaminant: Mobility in the soil-plant system. Chemosphere 2018, 197, 1–6. [Google Scholar] [CrossRef]
- Petit, D.; Véron, A.; Flament, P.; Deboudt, K.; Poirier, A. Review of pollutant lead decline in urban air and human blood: A case study from northwestern Europe. Comptes Rendus Geosci. 2015, 347, 247–256. [Google Scholar] [CrossRef]
- Cetin, M.; Cobanoglu, O. The Possibilities of Using Blue Spruce (Picea pungens Engelm) as a Biomonitor by Measuring the Recent Accumulation of Mn in Its Leaves. J. Kast. Forf. 2019, 5, 43–50. [Google Scholar]
- Straßenverkehrszählungen auf Wiener Gemeindestraßen. Available online: https://www.wien.gv.at/stadtentwicklung/projekte/verkehrsplanung/strassen/verkehrszaehlung/index.html (accessed on 12 June 2020). (In German)
- ASFINAG (Autobahnen- und Schnellstraßen-Finanzierungs-Aktiengesellschaft). Available online: https://www.asfinag.at/verkehr/verkehrszaehlung/ (accessed on 12 June 2020). (In German).
- Map of Vienna. Available online: https://www.oeamtc.at/verkehrsservice/?region=at-9&view=verkehr (accessed on 12 June 2020).







| Element | Sampling Site L | Sampling Site M | Sampling Site H | ||||||
|---|---|---|---|---|---|---|---|---|---|
| Min | Max | Median | Min | Max | Median | Min | Max | Median | |
| Ag | <LOQ | 0.0272 | 0.0084 | <LOQ | 0.0170 | 0.0079 | <LOQ | 0.0254 | 0.0136 |
| Al | 38.1 | 380 | 105 | 51.5 | 193 | 110 | 61.0 | 490 | 230 |
| As | <LOQ | 0.249 | 0.121 | <LOQ | 0.538 | 0.080 | <LOQ | 0.360 | 0.152 |
| B | 17.8 | 46.6 | 37.0 | 14.7 | 104 | 26.1 | 10.7 | 71.3 | 32.5 |
| Ba | 0.982 | 10.6 | 4.37 | 2.17 | 14.0 | 5.62 | 1.60 | 10.7 | 6.08 |
| Be | <LOQ | 0.0197 | 0.0101 | <LOQ | 0.0238 | 0.0084 | <LOQ | 0.0192 | 0.0063 |
| Ca | 1849 | 11658 | 6325 | 1534 | 9027 | 6292 | 3159 | 14735 | 8024 |
| Cd | 0.0044 | 0.0843 | 0.0244 | 0.0080 | 0.0807 | 0.0259 | 0.0084 | 0.0662 | 0.0334 |
| Co | 0.038 | 0.183 | 0.074 | 0.035 | 0.180 | 0.068 | 0.036 | 0.294 | 0.131 |
| Cr | 0.056 | 1.96 | 0.668 | 0.441 | 4.52 | 0.754 | 0.236 | 2.83 | 1.15 |
| Cu | 3.09 | 12.2 | 5.42 | 3.07 | 25.1 | 4.87 | 2.49 | 15.9 | 5.72 |
| Fe | 36.9 | 581 | 177 | 112 | 993 | 240 | 92.4 | 809 | 381 |
| K | 3547 | 14511 | 9697 | 2230 | 9512 | 5294 | 1690 | 6619 | 4275 |
| Li | 0.026 | 1.82 | 0.736 | 0.199 | 3.15 | 1.78 | 0.490 | 4.03 | 2.07 |
| Mg | 902 | 2571 | 1787 | 909 | 2542 | 1203 | 1185 | 3160 | 2334 |
| Mn | 10.3 | 77.7 | 26.5 | 13.4 | 92.3 | 29.4 | 12.1 | 117 | 46.4 |
| Mo | 0.176 | 0.866 | 0.343 | 0.119 | 1.79 | 0.351 | 0.145 | 1.23 | 0.290 |
| Na | 45.8 | 96.7 | 72.7 | 59.8 | 104 | 80.0 | 53.5 | 92.2 | 71.5 |
| Ni | 0.186 | 1.01 | 0.579 | 0.251 | 1.14 | 0.410 | 0.226 | 1.18 | 0.550 |
| Pb | 0.137 | 2.55 | 0.655 | 0.228 | 1.63 | 0.714 | 0.333 | 2.74 | 1.61 |
| Se | 0.019 | 0.295 | 0.096 | <LOQ | 0.488 | 0.051 | <LOQ | 0.334 | 0.094 |
| Sr | 3.85 | 19.3 | 12.4 | 3.47 | 19.1 | 13.8 | 6.82 | 44.3 | 20.5 |
| U | <LOQ | 0.027 | 0.0085 | <LOQ | 0.038 | 0.012 | <LOQ | 0.036 | 0.024 |
| V | <LOQ | 0.921 | 0.208 | 0.067 | 0.688 | 0.260 | 0.114 | 0.887 | 0.498 |
| Zn | 14.2 | 38.5 | 24.8 | 17.1 | 75.1 | 32.0 | 16.4 | 72.9 | 34.7 |
| Element | Statistically Significant Difference | ||
|---|---|---|---|
| L-M | L-H | M-H | |
| Ag | * | ||
| Al | * | * | |
| As | |||
| B | |||
| Ba | |||
| Be | |||
| Ca | * | * | |
| Cd | |||
| Co | * | * | |
| Cr | |||
| Cu | |||
| Fe | * | ||
| K | * | * | * |
| Li | * | * | * |
| Mg | * | * | * |
| Mn | * | * | |
| Mo | |||
| Na | |||
| Ni | * | ||
| Pb | * | * | |
| Se | |||
| Sr | * | * | * |
| U | * | * | |
| V | * | * | |
| Zn | * | * | |
| Element | Fresh Shoots | 1a | p-Value | Trend |
|---|---|---|---|---|
| Ag | 0.0022 | 0.013 | 0.014 | ↑ |
| Al | <LOQ | 116 | ↑ | |
| As | 0.053 | 0.102 | 0.098 | (↑) |
| B | 18.3 | 30.4 | 0.005 | ↑ |
| Ba | 1.35 | 4.94 | 0.00033 | ↑ |
| Be | <LOQ | 0.00159 | ↑ | |
| Ca | 2268 | 7396 | 0.00049 | ↑ |
| Cd | 0.033 | 0.036 | 0.635 | |
| Co | 0.058 | 0.082 | 0.033 | ↑ |
| Cr | 0.102 | 0.727 | 0.001 | ↑ |
| Cu | 6.04 | 4.83 | 0.081 | (↓) |
| Fe | 35.9 | 214 | 0.001 | ↑ |
| K | 11577 | 7039 | 0.00018 | ↓ |
| Li | 0.129 | 1.364 | 0.002 | ↑ |
| Mg | 1466 | 1975 | 0.056 | (↑) |
| Mn | 27.7 | 38.5 | 0.181 | (↑) |
| Mo | 0.407 | 0.275 | 0.193 | (↓) |
| Na | 59.1 | 67.9 | 0.178 | (↑) |
| Ni | 0.743 | 0.406 | 0.005 | ↓ |
| Pb | 0.162 | 0.912 | 0.003 | ↑ |
| Se | 0.026 | 0.079 | 0.010 | ↑ |
| Sr | 6.23 | 19.3 | 0.006 | ↑ |
| U | 0.0018 | 0.0121 | 0.004 | ↑ |
| V | 0.027 | 0.268 | 0.002 | ↑ |
| Zn | 32.3 | 28.8 | 0.436 | (↓) |
| Parameter | ICP-OES 1 | ICP-SFMS 2 |
|---|---|---|
| Instrument | Prodigy High Dispersive ICP-AES (Teledyne Leeman, Hudson, NH, USA) | Element 2 ICP-SFMS (Thermo Fisher; Bremen, Germany) |
| Output power | 1100 W | 1300 W |
| Argon flows | Coolant:18 L min−1 Auxiliary: 0.8 L min−1 Nebuliser: 1 L min−1 | Coolant:16 L min−1 Auxiliary: 0.86 L min−1 Nebuliser: 1.06 L min−1 |
| Sample flow | 1.0 mL min−1 | 100 μL min−1 |
| Nebuliser | Pneumatic (glass concentric) | PFA microflow |
| Spray chamber | Glass cyclonic | PC 3 cyclonic quartz chamber |
| Plasma viewing | Axial | ------ |
Publisher’s Note: MDPI stays neutral with regard to jurisdictional claims in published maps and institutional affiliations. |
© 2021 by the authors. Licensee MDPI, Basel, Switzerland. This article is an open access article distributed under the terms and conditions of the Creative Commons Attribution (CC BY) license (https://creativecommons.org/licenses/by/4.0/).
Share and Cite
Zeiner, M.; Juranović Cindrić, I. Accumulation of Major, Minor and Trace Elements in Pine Needles (Pinus nigra) in Vienna (Austria). Molecules 2021, 26, 3318. https://doi.org/10.3390/molecules26113318
Zeiner M, Juranović Cindrić I. Accumulation of Major, Minor and Trace Elements in Pine Needles (Pinus nigra) in Vienna (Austria). Molecules. 2021; 26(11):3318. https://doi.org/10.3390/molecules26113318
Chicago/Turabian StyleZeiner, Michaela, and Iva Juranović Cindrić. 2021. "Accumulation of Major, Minor and Trace Elements in Pine Needles (Pinus nigra) in Vienna (Austria)" Molecules 26, no. 11: 3318. https://doi.org/10.3390/molecules26113318
APA StyleZeiner, M., & Juranović Cindrić, I. (2021). Accumulation of Major, Minor and Trace Elements in Pine Needles (Pinus nigra) in Vienna (Austria). Molecules, 26(11), 3318. https://doi.org/10.3390/molecules26113318

