Solubility Determination, Hansen Solubility Parameters and Thermodynamic Evaluation of Thymoquinone in (Isopropanol + Water) Compositions
Abstract
1. Introduction
2. Results and Discussion
2.1. TQ Solubility Determination
2.2. Computation of Hansen Solubility Parameters (HSPs)
2.3. Determination of Ideal Solubility and Activity Coefficients
2.4. Apparent Thermodynamic Analysis of TQ Solution
2.5. Modeling of TQ Solubility
3. Materials and Methods
3.1. Materials
3.2. Preparation of Solvent Mixtures
3.3. TQ Solubility Evaluation
3.4. Estimation of HSPs
3.5. Determination of Ideal Solubility and Activity Coefficients
3.6. Apparent Thermodynamic Analysis of TQ Solution
3.7. Solubility Correlation With Theoretical/Computational Models
3.8. Statistical Evaluation
4. Conclusions
Author Contributions
Funding
Institutional Review Board Statement
Informed Consent Statement
Acknowledgments
Conflicts of Interest
References
- Pagola, S.; Benavente, A.; Raschi, A.; Romano, E.; Molina, M.A.A.; Stephens, P.W. Crystal structure determination of thymoquinone by high-resolution X-ray powder diffraction. AAPS PharmSciTech 2003, 5, E28. [Google Scholar] [CrossRef]
- Sayed, M.D. Traditional medicine in health care. J. Ethnopharmacol. 1980, 2, 19–22. [Google Scholar] [CrossRef]
- Ahmad, A.; Alkharfy, K.M.; Khan, R.M.A. Effects of selected bioactive natural products on the vasculature. J. Cardiovasc. Pharmacol. 2013, 62, 111–121. [Google Scholar] [CrossRef]
- Farkhondeh, T.; Samarghandian, S.; Shahri, A.M.P.; Samini, F. The neuroprotective effects of thymoquinone: A review. Dose Resp. 2018, 16, 1–11. [Google Scholar] [CrossRef] [PubMed]
- Al-Logmani, A.; Zari, T. Long-term effects of Nigella sativa L. oil on some physiological parameters in normal and streptozotocin-induced diabetic rats. J. Diab. Mell. 2011, 46, 46–53. [Google Scholar] [CrossRef][Green Version]
- Woo, C.C.; Kumar, A.P.; Sethi, G.; Tan, K.H. Thymoquinone: Potential cure for inflammatory disorders and cancer. Biochem. Pharmacol. 2012, 83, 443–451. [Google Scholar] [CrossRef]
- Kalam, M.A.; Raish, M.; Ahmed, A.; Alkharfy, K.M.; Mohsin, K.; Alshamsan, A.; Al-Jenoobi, F.I.; Al-Mohizea, A.M.; Shakeel, F. Oral bioavailability enhancement and hepatoprotective effects of thymoquinone by self-nanoemulsifying drug delivery system. Mater. Sci. Eng. C 2017, 76, 319–329. [Google Scholar] [CrossRef] [PubMed]
- Elmowafy, M.; Samy, A.; Raslan, M.A.; Salama, A.; Said, R.A.; Abdelaziz, A.E.; El-Eraky, W.; El-Awdan, S.; Vitala, T. Enhancement of bioavailability and pharmacokinetic effects of thymoquinone via nanostructured lipid carrier (NLC) formulation. AAPS PharmSciTech 2016, 17, 663–672. [Google Scholar] [CrossRef]
- Shakeel, F.; Haq, N.; Siddiqui, N.A. Thermodynamic solubility and solvation behavior of ferulic acid in different (PEG-400 + water) binary solvent mixtures. Drug Dev. Ind. Pharm. 2019, 45, 1468–1476. [Google Scholar] [CrossRef]
- Haq, N.; Siddiqui, N.A.; Shakeel, F. Solubility and molecular interactions of ferulic acid in various (isopropanol + water) mixtures. J. Pharm. Pharmacol. 2017, 69, 1485–1494. [Google Scholar] [CrossRef]
- Shakeel, F.; Haq, N.; Alanazi, F.K.; Alanazi, S.A.; Alsarra, I.A. Solubility of sinapic acid in various (carbitol + water) systems: Computational modeling and solution thermodynamics. J. Therm. Anal. Calorim. 2020, 142, 1437–1446. [Google Scholar] [CrossRef]
- Ha, E.S.; Park, H.; Lee, S.K.; Sim, W.Y.; Jeong, J.S.; Kim, M.S. Equilibrium solubility and modeling of trans-resveratrol in dichloromethane and primary alcohol solvent mixtures at different temperatures. J. Mol. Liq. 2020, 311, E113363. [Google Scholar] [CrossRef]
- Talebi, J.; Saadatjou, N.; Farajtabar, A. Hesperetin solubility in aqueous cos-solvent mixtures of methanol and ethanol: Solute descriptors, solvent effect and preferential solvation analysis. J. Sol. Chem. 2020, 49, 179–194. [Google Scholar] [CrossRef]
- Xu, R.; Cong, Y.; Zheng, M.; Chen, G.; Zhao, H. Solubility and modeling of hesperidin in cosolvent mixtures of ethanol, isopropanol, propylene glycol, and n-propanol + water. J. Chem. Eng. Data 2018, 63, 764–770. [Google Scholar] [CrossRef]
- Li, X.; Liu, Y.; Farajtabar, A.; Ding, G.; Chen, G.; Zhao, H. Equilibrium solubility determination, modeling and preferential solvation of bioactive iminodibenzyl in aqueous co-solvent mixtures at various temperatures. J. Chem. Thermodyn. 2019, 132, 206–213. [Google Scholar] [CrossRef]
- Li, W.; Zhang, N.; Farajtabar, A.; Feng, X.; Chen, G.; Li, X.; Zhao, H. Equilibrium solubility evaluation and thermodynamic analysis of quinocetone in aqueous co-solvent solutions of ethanol, isopropanol, dimethyl sulfoxide and N,N-diemthylformamide. J. Chem. Thermodyn. 2019, 131, 449–459. [Google Scholar] [CrossRef]
- Schneider-Stock, R.; Fakhoury, I.H.; Zaki, A.M.; El-Baba1, C.O.; Gali-Muhtasib, H.U. Thymoquinone: Fifty years of success in the battle against cancer models. Drug Discov. Today 2014, 19, 18–30. [Google Scholar] [CrossRef] [PubMed]
- Odeh, F.; Ismail, S.I.; Abu-Dahab, R.; Mahmoud, I.S.; Al-Bawab, A. Thymoquinone in liposomes: A study of loading efficiency and biological activity towards breast cancer. Drug Deliv. 2012, 19, 371–377. [Google Scholar] [CrossRef] [PubMed]
- Tubesha, Z.; Imam, M.U.; Mahmud, R.; Ismail, M. Study on the potential toxicity of a thymoquinone-rich fraction nanoemulsion in Sprague Dawley rats. Molecules 2013, 18, 7460–7472. [Google Scholar] [CrossRef]
- Ravindran, J.; Nair, H.B.; Sung, B.; Prasad, S.; Tekmal, R.R.; Aggarwal, B.B. Thymoquinone poly (lactide-co-glycolide) nanoparticles exhibit enhanced anti-proliferative, anti-inflammatory and chemosensitization potential. Biochem. Pharmacol. 2010, 79, 1640–1647. [Google Scholar] [CrossRef]
- Alam, S.; Khan, Z.I.; Mustafa, G.; Kumar, M.; Islam, F.; Bhatnagar, A.; Ahmad, F.J. Development and evaluation of thymoquinone-encapsulated chitosan nanoparticles for nose-to-brain targeting: A pharmacoscintigraphic study. Int. J. Nanomed. 2012, 7, 5705–5718. [Google Scholar] [CrossRef]
- Ramachandran, S.; Thangarajan, S. Thymoquinone loaded solid lipid nanoparticles counteracts 3-nitropionic acid induced motor impairments and neuroinflammation in rat model of Huntington’s disease. Metab. Brain Dis. 2018, 33, 1459–1470. [Google Scholar] [CrossRef]
- Salmani, J.M.M.; Asghar, S.; Lv, H.; Zhou, J. Aqueous solubility and degradation kinetics of the phytochemical anticancer thymoquinone; probing the effects of solvents, pH and light. Molecules 2014, 19, 5925–5939. [Google Scholar] [CrossRef]
- Ahmad, A.; Raish, M.; Alkharfy, K.M.; Alsarra, I.A.; Khan, A.; Ahad, A.; Jan, B.L.; Shakeel, F. Solubility, solubility parameters and solution thermodynamics of thymoquinone in different mono solvents. J. Mol. Liq. 2018, 272, 912–918. [Google Scholar] [CrossRef]
- Kalam, M.A.; Alshehri, S.; Alshamsan, A.; Alkholief, M.; Ali, R.; Shakeel, F. Solubility measurement, Hansen solubility parameters and solution thermodynamics of gemfibrozil in different pharmaceutically used solvents. Drug Dev. Ind. Pharm. 2019, 45, 1258–1264. [Google Scholar] [CrossRef]
- Shakeel, F.; Haq, N.; Alsarra, I.A.; Alshehri, S. Solubility, Hansen solubility parameters and thermodynamic behavior of emtricitabine in various (polyethylene glycol-400 + water) mixtures: Computational modeling and thermodynamics. Molecules 2020, 25, 1559. [Google Scholar] [CrossRef]
- Apelblat, A.; Manzurola, E. Solubilities of o-acetylsalicylic, 4-aminosalicylic, 3,5-dinitrosalicylic and p-toluic acid and magnesium-DL-aspartate in water from T = (278–348) K. J. Chem. Thermodyn. 1999, 31, 85–91. [Google Scholar] [CrossRef]
- Manzurola, E.; Apelblat, A. Solubilities of L-glutamic acid, 3-nitrobenzoic acid, acetylsalicylic, p-toluic acid, calcium-L-lactate, calcium gluconate, magnesium-DL-aspartate, and magnesium-L-lactate in water. J. Chem. Thermodyn. 2002, 34, 1127–1136. [Google Scholar] [CrossRef]
- Yalkowsky, S.H.; Roseman, T.J. Solubilization of drugs by cosolvents. In Techniques of Solubilization of Drugs; Yalkowsky, S.H., Ed.; Marcel Dekker Inc.: New York, NY, USA, 1981; pp. 91–134. [Google Scholar]
- Ksiazczak, A.; Moorthi, K.; Nagata, I. Solid-solid transition and solubility of even n-alkanes. Fluid Phase Equilib. 1994, 95, 15–29. [Google Scholar] [CrossRef]
- Tong, Y.; Wang, Z.; Yang, E.; Pan, B.; Jiang, J.; Dang, P.; Wei, H. Determination and correlation of solubility and solution thermodynamics of ethenzamide in different pure solvents. Fluid Phase Equilib. 2016, 427, 549–556. [Google Scholar] [CrossRef]
- Jouyban, A. Review of the cosolvency models for predicting solubility of drugs in water-cosolvent mixtures. J. Pharm. Pharm. Sci. 2008, 11, 32–58. [Google Scholar] [CrossRef]
- Sotomayor, R.G.; Holguín, A.R.; Romdhani, A.; Martinez, F.; Jouyban, A. Solution thermodynamics of piroxicam in some ethanol + water mixtures and correlation with the Jouyban–Acree model. J. Sol. Chem. 2013, 42, 358–371. [Google Scholar] [CrossRef]
- Babaei, M.; Shayanfar, A.; Rahimpour, E.; Barzegar-Jalali, M.; Martinez, F.; Jouyban, A. Solubility of bosentan in {propylene glycol + water} mixtures at various temperatures: Experimental data and mathematical modeling. Phys. Chem. Liq. 2019, 57, 338–348. [Google Scholar] [CrossRef]
- Jouyban, A.; Chan, H.K.; Chew, N.Y.K.; Khoubnasabjafari, M.; Acree, W.E., Jr. Solubility prediction of paracetamol in binary and ternary solvent mixtures using Jouyban-Acree model. Chem. Pharm. Bull. 2006, 54, 428–431. [Google Scholar] [CrossRef]
- Jouyban, A.; Acree, W.E., Jr. In silico prediction of drug solubility in water-ethanol mixtures using Jouyban-Acree model. J. Pharm. Pharm. Sci. 2006, 9, 262–269. [Google Scholar]
- Higuchi, T.; Connors, K.A. Phase-solubility techniques. Adv. Anal. Chem. Instr. 1965, 4, 117–122. [Google Scholar]
- Alkharfy, K.M.; Ahmad, A.; Khan, R.M.; Al-Asmari, M. High-performance liquid chromatography of thymoquinone in rabbit plasma and its application to pharmacokinetics. J. Liq. Chromatogr. Relat. Technol. 2013, 36, 2242–2250. [Google Scholar] [CrossRef]
- Zhu, Q.N.; Wang, Q.; Hu, Y.B.; Abliz, X. Practical determination of the solubility parameters of 1-alkyl-3-methylimidazolium bromide ([CnC1im]Br, n = 5, 6, 7, 8) ionic liquids by inverse gas chromatography and the Hansen solubility parameter. Molecules 2019, 24, 1346. [Google Scholar] [CrossRef]
- Wan, Y.; He, H.; Huang, Z.; Zhang, P.; Sha, J.; Li, T.; Ren, B. Solubility, thermodynamic modeling and Hansen solubility parameter of 5-norbornene-2,3-dicarboximide in three binary solvents (methanol, ethanol, ethyl acetate + DMF) from 278.15 K to 323.15 K. J. Mol. Liq. 2020, 300, 112097. [Google Scholar] [CrossRef]
- Ruidiaz, M.A.; Delgado, D.R.; Martínez, F.; Marcus, Y. Solubility and preferential solvation of indomethacin in 1,4-dioxane + water solvent mixtures. Fluid Phase Equilib. 2010, 299, 259–265. [Google Scholar] [CrossRef]
- Wang, J.; Xie, C.; Yin, Q.; Tao, L.; Lv, J.; Wang, Y.; He, F.; Hao, H. Measurement and correlation of solubility of cefmenoxime hydrochloride in pure solvents and binary solvent mixtures. J. Chem. Thermodyn. 2016, 95, 63–71. [Google Scholar] [CrossRef]
- Zaho, K.; Yang, P.; Du, S.; Li, K.; Li, X.; Li, Z.; Liu, Y.; Lin, L.; Hou, B. Measurement and correlation of solubility and thermodynamics of mixing of 4-aminobutyric acid in mono-solvents and binary solvent mixtures. J. Chem. Thermodyn. 2016, 102, 276–286. [Google Scholar] [CrossRef]
- Holguín, A.R.; Rodríguez, G.A.; Cristancho, D.M.; Delgado, D.R.; Martinez, F. Solution thermodynamics of indomethacin in propylene glycol + water mixtures. Fluid Phase Equilib. 2012, 324, 134–139. [Google Scholar] [CrossRef]
- Krug, R.R.; Hunter, W.G.; Grieger, R.A. Enthalpy-entropy compensation. 2. Separation of the chemical from the statistic effect. J. Phys. Chem. 1976, 80, 2341–2351. [Google Scholar] [CrossRef]
- Khoubnasabjafari, M.; Shayanfar, A.; Martínez, F.; Acree, W.E., Jr.; Jouyban, A. Generally trained models to predict solubility of drugs in carbitol + water mixtures at various temperatures. J. Mol. Liq. 2016, 219, 435–438. [Google Scholar] [CrossRef]
- Jouyban, A.; Acree, W.E., Jr. Mathematical derivation of the Jouyban-Acree model to represent solute solubility data in mixed solvents at various temperatures. J. Chem. Eng. Data 2018, 256, 541–547. [Google Scholar] [CrossRef]
- Jouyban-Gharamaleki, A.; Hanaee, J. A novel method for improvement of predictability of the CNIBS/R-K equation. Int. J. Pharm. 1997, 154, 245–247. [Google Scholar] [CrossRef]

represents the TQ experimental solubility in (A) neat H2O and (B) neat IPA, and the symbol
represents the TQ literature solubility values in (A) neat H2O and (B) neat IPA taken from reference [24].
represents the TQ experimental solubility in (A) neat H2O and (B) neat IPA, and the symbol
represents the TQ literature solubility values in (A) neat H2O and (B) neat IPA taken from reference [24].


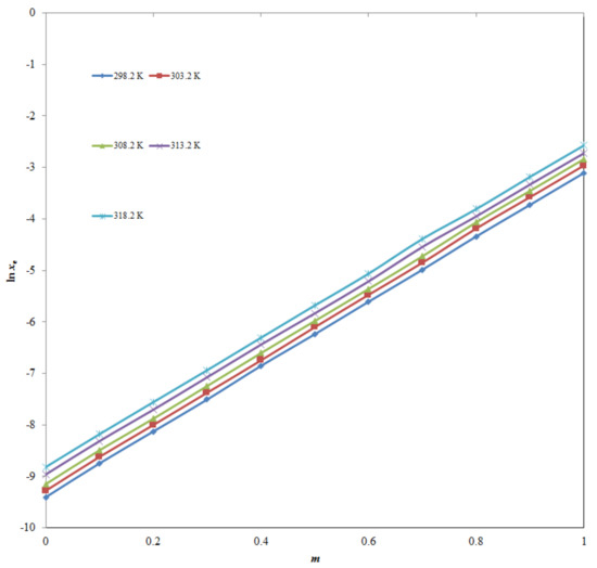
| m | xe | ||||
|---|---|---|---|---|---|
| T = 298.2 K | T = 303.2 K | T = 308.2 K | T = 313.2 K | T = 318.2 K | |
| 0.0 | 8.25 × 10−5 | 9.35 × 10−5 | 1.06 × 10−4 | 1.28 × 10−4 | 1.48 × 10−4 |
| 0.1 | 1.59 × 10−4 | 1.80 × 10−4 | 2.05 × 10−4 | 2.45 × 10−4 | 2.81 × 10−4 |
| 0.2 | 2.96 × 10−4 | 3.35 × 10−4 | 3.79 × 10−4 | 4.51 × 10−4 | 5.23 × 10−4 |
| 0.3 | 5.50 × 10−4 | 6.27 × 10−4 | 7.15 × 10−4 | 8.47 × 10−4 | 9.91 × 10−4 |
| 0.4 | 1.06 × 10−3 | 1.18 × 10−3 | 1.35 × 10−3 | 1.60 × 10−3 | 1.83 × 10−3 |
| 0.5 | 1.95 × 10−3 | 2.24 × 10−3 | 2.53 × 10−3 | 2.93 × 10−3 | 3.42 × 10−3 |
| 0.6 | 3.68 × 10−3 | 4.20 × 10−3 | 4.71 × 10−3 | 5.46 × 10−3 | 6.34 × 10−3 |
| 0.7 | 6.84 × 10−3 | 7.84 × 10−3 | 8.87 × 10−3 | 1.06 × 10−2 | 1.24 × 10−2 |
| 0.8 | 1.30 × 10−2 | 1.52 × 10−2 | 1.72 × 10−2 | 1.93 × 10−2 | 2.22 × 10−2 |
| 0.9 | 2.41 × 10−2 | 2.80 × 10−2 | 3.16 × 10−2 | 3.58 × 10−2 | 4.15 × 10−2 |
| 1.0 | 4.47 × 10−2 | 5.17 × 10−2 | 5.85 × 10−2 | 6.56 × 10−2 | 7.63 × 10−2 |
| xidl | 6.16 × 10−1 | 6.96 × 10−1 | 7.85 × 10−1 | 8.83 × 10−1 | 9.92 × 10−1 |
| m | δmix/MPa1/2 |
|---|---|
| 0.1 | 45.25 |
| 0.2 | 42.70 |
| 0.3 | 40.15 |
| 0.4 | 37.60 |
| 0.5 | 35.05 |
| 0.6 | 32.50 |
| 0.7 | 29.95 |
| 0.8 | 27.40 |
| 0.9 | 24.85 |
| m | γi | ||||
|---|---|---|---|---|---|
| T = 298.2 K | T = 303.2 K | T = 308.2 K | T = 313.2 K | T = 318.2 K | |
| 0.0 | 7350 | 7383 | 7349 | 6877 | 6702 |
| 0.1 | 3808 | 3823 | 3810 | 3598 | 3536 |
| 0.2 | 2049 | 2057 | 2064 | 1955 | 1898 |
| 0.3 | 1103 | 1099 | 1094 | 1042 | 1021 |
| 0.4 | 573.9 | 587.2 | 577.3 | 552.5 | 543.7 |
| 0.5 | 310.2 | 308.0 | 309.6 | 301.3 | 290.6 |
| 0.6 | 164.9 | 164.2 | 166.1 | 161.7 | 156.6 |
| 0.7 | 88.66 | 88.06 | 88.14 | 82.92 | 79.84 |
| 0.8 | 46.47 | 45.30 | 45.56 | 45.79 | 44.71 |
| 0.9 | 25.14 | 24.66 | 24.74 | 24.68 | 23.90 |
| 1.0 | 13.54 | 13.34 | 13.35 | 13.44 | 12.99 |
| m | ΔsolH0/kJ/mol | ΔsolG0/kJ/mol | ΔsolS0/J/mol/K | R2 |
|---|---|---|---|---|
| 0.0 | 23.47 | 23.35 | 0.36 | 0.9923 |
| 0.1 | 22.74 | 21.68 | 3.42 | 0.9942 |
| 0.2 | 22.65 | 20.10 | 8.25 | 0.9967 |
| 0.3 | 22.70 | 18.50 | 13.62 | 0.9965 |
| 0.4 | 22.10 | 16.87 | 16.99 | 0.9935 |
| 0.5 | 21.85 | 15.27 | 21.34 | 0.9962 |
| 0.6 | 21.31 | 13.67 | 24.78 | 0.9957 |
| 0.7 | 23.69 | 12.02 | 37.88 | 0.9932 |
| 0.8 | 20.51 | 10.41 | 32.76 | 0.9978 |
| 0.9 | 21.03 | 8.84 | 39.59 | 0.9980 |
| 1.0 | 20.66 | 7.27 | 43.48 | 0.9975 |
| m | a | b | R2 | RMSD (%) | Overall RMSD (%) |
|---|---|---|---|---|---|
| 0.0 | 0.02 | –2818.90 | 0.9921 | 2.09 | |
| 0.1 | 0.39 | –2731.50 | 0.9940 | 1.74 | |
| 0.2 | 0.97 | –2720.50 | 0.9926 | 1.94 | |
| 0.3 | 1.62 | –2726.90 | 0.9964 | 1.34 | |
| 0.4 | 2.03 | –2655.40 | 0.9933 | 1.76 | |
| 0.5 | 2.55 | –2624.40 | 0.9961 | 1.20 | 1.51 |
| 0.6 | 2.96 | –2559.90 | 0.9956 | 1.55 | |
| 0.7 | 4.54 | –2846.30 | 0.9930 | 1.74 | |
| 0.8 | 3.93 | –2464.00 | 0.9979 | 0.83 | |
| 0.9 | 4.74 | –2527.00 | 0.9980 | 1.28 | |
| 1.0 | 5.21 | –2482.30 | 0.9975 | 1.22 |
| m | A | B | C | R2 | RMSD (%) | Overall RMSD (%) |
|---|---|---|---|---|---|---|
| 0.0 | −423.43 | 16,530.02 | 62.93 | 0.9967 | 1.10 | |
| 0.1 | −331.45 | 12,432.20 | 49.31 | 0.9970 | 0.98 | |
| 0.2 | −446.40 | 17,720.89 | 66.49 | 0.9980 | 0.80 | |
| 0.3 | −273.39 | 9840.95 | 40.87 | 0.9984 | 0.75 | |
| 0.4 | −325.33 | 12,303.02 | 48.65 | 0.9965 | 1.11 | |
| 0.5 | −353.02 | 13,623.04 | 52.84 | 0.9997 | 0.51 | 0.84 |
| 0.6 | −361.45 | 14,091.46 | 54.16 | 0.9995 | 0.58 | |
| 0.7 | −455.99 | 18,196.27 | 68.44 | 0.9982 | 0.89 | |
| 0.8 | −47.03 | −131.00 | 7.57 | 0.9977 | 0.91 | |
| 0.9 | −160.29 | 5017.23 | 24.52 | 0.9987 | 0.76 | |
| 1.0 | −156.94 | 4929.95 | 24.09 | 0.9966 | 0.85 |
| m | Log xYal | RMSD (%) | Overall RMSD (%) | ||||
|---|---|---|---|---|---|---|---|
| T = 298.2 K | T = 303.2 K | T = 308.2 K | T = 313.2 K | T = 318.2 K | |||
| 0.1 | −3.81 | −3.75 | −3.70 | −3.62 | −3.55 | 2.40 | |
| 0.2 | −3.53 | −3.48 | −3.42 | −3.35 | −3.28 | 1.29 | |
| 0.3 | −3.26 | −3.20 | −3.15 | −3.07 | −3.01 | 1.18 | |
| 0.4 | −2.98 | −2.93 | −2.87 | −2.80 | −2.74 | 2.62 | |
| 0.5 | −2.71 | −2.65 | −2.60 | −2.53 | −2.47 | 1.71 | 2.02 |
| 0.6 | −2.44 | −2.38 | −2.32 | −2.26 | −2.20 | 1.30 | |
| 0.7 | −2.16 | −2.10 | −2.05 | −1.99 | −1.93 | 3.33 | |
| 0.8 | −1.89 | −1.83 | −1.78 | −1.72 | −1.65 | 2.87 | |
| 0.9 | −1.62 | −1.56 | −1.50 | −1.45 | −1.38 | 1.53 | |
| Samples | λ | h | RMSD (%) | Overall RMSD (%) |
|---|---|---|---|---|
| 0.1 | 7.17 | 380.55 | 2.59 | |
| 0.2 | 6.56 | 414.57 | 2.42 | |
| 0.3 | 5.93 | 459.14 | 2.89 | |
| 0.4 | 5.30 | 500.45 | 1.98 | |
| 0.5 | 4.68 | 560.08 | 1.36 | 2.43 |
| 0.6 | 4.06 | 629.23 | 3.12 | |
| 0.7 | 3.39 | 838.70 | 3.24 | |
| 0.8 | 2.80 | 878.21 | 1.68 | |
| 0.9 | 2.18 | 2527.00 | 2.67 |
| System | Jouyban–Acree | Jouyban–Acree-van’t Hoff |
|---|---|---|
| A1 5.21 B1 –2482.30 A2 0.02 B2 –2818.90 Ji 67.38 0.64 | ||
| (IPA + H2O) | Ji 73.49 | |
| RMSD (%) | 0.72 |
| Material | Molecular Formula | Molar Mass (g/mole) | CAS Registry No. | Purification Method | Mass Fraction Purity | Analysis Method | Source | |
|---|---|---|---|---|---|---|---|---|
| TQ | C10H12O2 | 164.20 | 490–91-5 | None | 0.980 | HPLC | Sigma Aldrich | |
| IPA | C3H8O | 60.10 | 67–63-0 | None | 0.997 | GC | Sigma Aldrich | |
| H2O | H2O | 18.07 | 7732–18-5 | None | - | - | Milli-Q |
Publisher’s Note: MDPI stays neutral with regard to jurisdictional claims in published maps and institutional affiliations. |
© 2021 by the authors. Licensee MDPI, Basel, Switzerland. This article is an open access article distributed under the terms and conditions of the Creative Commons Attribution (CC BY) license (https://creativecommons.org/licenses/by/4.0/).
Share and Cite
Ghazwani, M.; Begum, M.Y.; Alam, P.; Alqarni, M.H.; Yusufoglu, H.S.; Shakeel, F. Solubility Determination, Hansen Solubility Parameters and Thermodynamic Evaluation of Thymoquinone in (Isopropanol + Water) Compositions. Molecules 2021, 26, 3195. https://doi.org/10.3390/molecules26113195
Ghazwani M, Begum MY, Alam P, Alqarni MH, Yusufoglu HS, Shakeel F. Solubility Determination, Hansen Solubility Parameters and Thermodynamic Evaluation of Thymoquinone in (Isopropanol + Water) Compositions. Molecules. 2021; 26(11):3195. https://doi.org/10.3390/molecules26113195
Chicago/Turabian StyleGhazwani, Mohammed, M. Yasmin Begum, Prawez Alam, Mohammed H. Alqarni, Hasan S. Yusufoglu, and Faiyaz Shakeel. 2021. "Solubility Determination, Hansen Solubility Parameters and Thermodynamic Evaluation of Thymoquinone in (Isopropanol + Water) Compositions" Molecules 26, no. 11: 3195. https://doi.org/10.3390/molecules26113195
APA StyleGhazwani, M., Begum, M. Y., Alam, P., Alqarni, M. H., Yusufoglu, H. S., & Shakeel, F. (2021). Solubility Determination, Hansen Solubility Parameters and Thermodynamic Evaluation of Thymoquinone in (Isopropanol + Water) Compositions. Molecules, 26(11), 3195. https://doi.org/10.3390/molecules26113195

