Influence of the Phenological Stage and Harvest Date on the Bioactive Compounds Content of Green Pepper Fruit
Abstract
1. Introduction
2. Results and Discussion
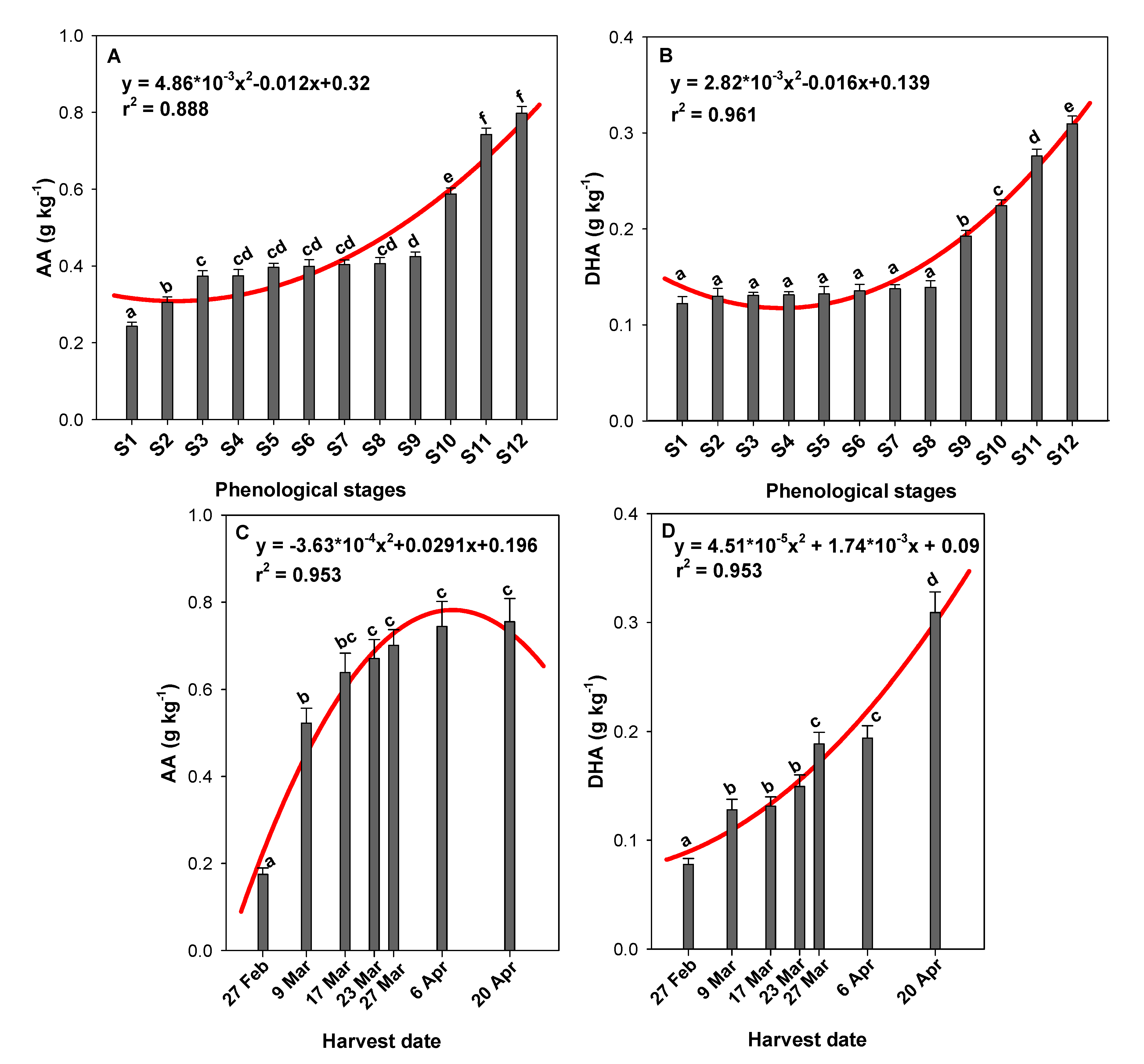
2.1. Effect of the Phenological Stage and Harvest Date on Ascorbic Acid (AA) and Dehydroascorbic Acid (DHA) Content
2.2. Effect of the Phenological Stage and Harvest Date on Total Phenol Content and the Total Hydrophilic (TAA-H) and Lipophilic (TAA-L) Antioxidant Activity
2.3. Evolution of Functional Parameters during Postharvest Storage
2.4. The Effect of the Phenological Stage, Harvest Date, and Postharvest Storage on Total Soluble Solids (TSS) and Total Acidity (TA)
2.5. The Effect of Harvest Date and Postharvest Storage on Individual Sugars and Organic Acid Content
3. Materials and Methods
3.1. Green Pepper Fruit Cultivar and Growing Conditions
3.2. Experimental Postharvest Storage Design
3.3. Ascorbic Acid (AA) and Dehydroascorbic Acid (DHA)
3.4. Total Phenolic Content and Total Hydrophilic (H-TAA) and Lipophilic (L-TAA) Antioxidant Activity
3.5. Total Soluble Solids (TSS) and Total Acidity (TA)
3.6. Individual Sugars and Organic Acids
3.7. Statistical Analysis
4. Conclusions
Supplementary Materials
Author Contributions
Funding
Data Availability Statement
Acknowledgments
Conflicts of Interest
References
- Cisternas-Jamet, J.; Salvatierra-Martínez, R.; Vega-Gálvez, A.; Stoll, A.; Uribe, E.; Goñi, M.G. Biochemical composition as a function of fruit maturity stage of bell pepper (Capsicum annum) inoculated with Bacillus amyloliquefaciens. Sci. Hortic. 2020, 263. [Google Scholar] [CrossRef]
- Blanco-Ríos, A.K.; Medina-Juárez, L.A.; González-Aguilar, G.A.; Gámez-Meza, N. Antioxidant activity of the phenolic and oily fractions of different sweet peppers. J. Mex. Chem. Soc. 2013, 57, 137–143. [Google Scholar] [CrossRef]
- Cortés-Estrada, C.E.; Gallardo-Velázquez, T.; Osorio-Revilla, G.; Castañeda-Pérez, E.; Meza-Márquez, O.G.; López-Cortez, M.S.; Hernández-Martínez, D.M. Prediction of total phenolics, ascorbic acid, antioxidant capacities, and total soluble solids of Capsicum annuum L. (bell pepper) juice by FT-MIR and multivariate analysis. LWT 2020, 126. [Google Scholar] [CrossRef]
- Loizzo, M.R.; Pugliese, A.; Bonesi, M.; Menichini, F.; Tundis, R. Evaluation of chemical profile and antioxidant activity of twenty cultivars from Capsicum annuum, Capsicum baccatum, Capsicum chacoense and Capsicum chinense: A comparison between fresh and processed peppers. LWT Food Sci. Technol. 2015, 64, 623–631. [Google Scholar] [CrossRef]
- Alvarez-Parrilla, E.; de la Rosa, L.A.; Amarowicz, R.; Shahidi, F. Antioxidant Activity of Fresh and Processed Jalapeño and Serrano Peppers. J. Agric. Food Chem. 2011, 59, 163–173. [Google Scholar] [CrossRef]
- Shotorbani, N.Y.; Jamei, R.; Heidari, R. Antioxidant activities of two sweet pepper Capsicum annuum L. varieties phenolics extracts and the effects of thermal treatment. Avicenna J. Phytomed. 2013, 3, 25–34. [Google Scholar] [CrossRef]
- Howard, L.R.; Smith, R.T.; Wagner, A.B.; Villalon, B.; Burns, E.E. Provitamin A and ascorbic acid content of fresh pepper cultivars (Capsicum annuum) and processed Jalapeños. J. Food Sci. 1994, 59, 362–365. [Google Scholar] [CrossRef]
- Valero, D.; Zapata, P.J.; Martínez-Romero, D.; Guillén, F.; Castillo, S.; Serrano, M. Pre-harvest treatments of pepper plants with nitrophenolates increase crop yield and enhance nutritive and bioactive compounds in fruits at harvest and during storage. Food Sci. Technol. Int. 2014, 20, 265–274. [Google Scholar] [CrossRef]
- Manikharda, M.; Takahashi, M.; Arakaki, M.; Yonamine, K.; Hashimoto, F.; Takara, K.; Wada, K. Influence of fruit ripening on color, organic acid contents, capsaicinoids, aroma compounds and antioxidant capacity of Shimatogarashi (Capsicum frutescenes). J. Oleo Sci. 2018, 67, 113–123. [Google Scholar] [CrossRef] [PubMed]
- Hamed, M.; Kalita, D.; Bartolo, M.E.; Jayanty, S.S. Capsaicinoids, Polyphenols and Antioxidant Activities of Capsicum annuum: Comparative Study of the Effect of Ripening Stage and Cooking Methods. Antioxidants 2019, 8, 364. [Google Scholar] [CrossRef]
- Chávez-Mendoza, C.; Sanchez, E.; Muñoz-Marquez, E.; Sida-Arreola, J.P.; Flores-Cordova, M.A. Bioactive Compounds and Antioxidant Activity in Different Grafted Varieties of Bell Pepper. Antioxidants 2015, 4, 427–446. [Google Scholar] [CrossRef]
- Ghasemnezhad, M.; Sherafati, M.; Payvast, G.A. Variation in phenolic compounds, ascorbic acid and antioxidant activity of five coloured bell pepper (Capsicum annum) fruits at two different harvest times. J. Funct. Foods 2011, 3, 44–49. [Google Scholar] [CrossRef]
- Martí, M.C.; Camejo, D.; Vallejo, F.; Romojaro, F.; Bacarizo, S.; Palma, J.M.; Sevilla, F.; Jiménez, A. Influence of fruit ripening stage and harvest period on the antioxidant content of sweet pepper cultivars. Plant Food Hum. Nutr. 2011, 66, 416–423. [Google Scholar] [CrossRef]
- Howard, L.R.; Talcott, S.T.; Brenes, C.H.; Villalon, B. Changes in phytochemical and antioxidant activity of selected pepper cultivars (Capsicum species) as influenced by maturity. J. Agric. Food Chem. 2000, 48, 1713–1720. [Google Scholar] [CrossRef] [PubMed]
- Nováková, L.; Solich, P.; Solichová, D. HPLC methods for simultaneous determination of ascorbic and dehydroascorbic acids. Trends Anal. Chem. 2008, 27, 942–958. [Google Scholar] [CrossRef]
- Zhuang, Y.; Chen, L.; Sun, L.; Cao, J. Bioactive characteristics and antioxidant activities of nine peppers. J. Funct. Foods 2012, 4, 331–338. [Google Scholar] [CrossRef]
- Yahia, E.M.; Contreras-Padilla, M.; Gonzalez-Aguilar, G. Ascorbic acid content in relation to ascorbic acid oxidase activity and polyamine content in tomato and bell pepper fruits during development, maturation and senescence. Lebensm. Wiss. Technol. 2001, 34, 452–457. [Google Scholar] [CrossRef]
- Carr, A.C.; Frei, B. Toward a new recommended dietary allowance for vitamin C based on antioxidant and health effects in humans. Am. J. Clin. Nutr. 1999, 69, 1086–1107. [Google Scholar] [CrossRef]
- Navarro, J.M.; Flores, P.; Garrido, C.; Martinez, V. Changes in the contents of antioxidant compounds in pepper fruits at different ripening stages, as affected by salinity. Food Chem. 2006, 96, 66–73. [Google Scholar] [CrossRef]
- Márkus, F.; Daood, H.G.; Kapitany, J.; Biacs, P.A. Change in the carotenoid and antioxidant content of spice red pepper (paprika) as a function of ripening and some technological factors. J. Agric. Food Chem. 1999, 47, 100–107. [Google Scholar] [CrossRef]
- Marín, A.; Ferreres, F.; Tomás-Barberán, F.; Gil, M.I. Characterization and quantification of antioxidant constituents of sweet pepper. J. Agric. Food Chem. 2004, 52, 3861–3869. [Google Scholar] [CrossRef] [PubMed]
- Mozafar, A. Plant Vitamins: Agronomic, Physiological and Nutritional Aspects; CRC Press: Boca Raton, FL, USA, 1994. [Google Scholar]
- Martí, M.C.; Camejo, D.; Olmos, E.; Sandalio, L.M.; Fernández-García, N.; Jiménez, A.; Sevilla, F. Characterization and changes in the antioxidant system of chloroplasts and chromoplasts isolated from green and mature pepper fruits. Plant Biol. 2009, 11, 613–624. [Google Scholar] [CrossRef]
- Jiménez, A.; Creissen, G.; Kular, B.; Firmin, J.; Robinson, S.; Verhoeyen, M.; Mullineaux, P. Changes in oxidative processes and components of the antioxidant system during tomato fruit ripening. Planta 2002, 214, 751–758. [Google Scholar] [CrossRef]
- Lee, S.K.; Kader, A.A. Preharvest and postharvest factors influencing vitamin C content of horticultural crops. Postharvest Biol. Technol. 2000, 20, 207–220. [Google Scholar] [CrossRef]
- Serna-Escolano, V.; Valverde, J.M.; García-Pastor, M.E.; Valero, D.; Castillo, S.; Guillén, F.; Martínez-Romero, D.; Zapata, P.J.; Serrano, M. Pre-harvest methyl jasmonate treatments increase antioxidant systems in lemon fruit without affecting yield or other fruit quality parameters. J. Sci. Food Agric. 2019, 99, 5035–5043. [Google Scholar] [CrossRef] [PubMed]
- Belwal, T.; Pandey, A.; Bhatt, I.D.; Rawal, R.S.; Luo, Z.S. Trends of polyphenolics and anthocyanins accumulation along ripening stages of wild edible fruits of Indian Himalayan region. Sci. Rep. 2019, 9, 5894. [Google Scholar] [CrossRef]
- Singh, R.; Rastogi, S.; Dwivedi, U.N. Phenylpropanoid Metabolism in Ripening Fruits. Compr. Rev. Food Sci. Food Saf. 2010, 9, 398–416. [Google Scholar] [CrossRef] [PubMed]
- Pérez-Gálvez, A.; Viera, I.; Roca, M. Carotenoids and Chlorophylls as Antioxidants. Antioxidants 2020, 9, 505. [Google Scholar] [CrossRef] [PubMed]
- Ribeiro, B.; Rangel, J.; Valentão, P.C.; Andrade, P.B.; Pereira, J.A.; Bölke, H.; Seabra, R.M. Organic acids in two Portuguese chestnut (Castanea sativa Miller) varieties. Food Chem. 2007, 100, 504–508. [Google Scholar] [CrossRef]
- Barzegar, T.; Fateh, M.; Razavi, F. Enhancement of postharvest sensory quality and antioxidant capacity of sweet pepper fruits by foliar applying calcium lactate and ascorbic acid. Sci. Hortic. 2018, 241, 293–303. [Google Scholar] [CrossRef]
- Maccarrone, M.; D′Andrea, G.; Salucci, M.L.; Avigliano, L.; Finazzi-Agrò, A. Temperature, pH and UV irradiation effects on ascorbate oxidase. Phytochemistry 1993, 34, 795–798. [Google Scholar] [CrossRef]
- Tiwari, U.; Cummins, E. Factors influencing levels of phytochemicals in selected fruit and vegetables during pre- and post-harvest food processing operations. Food Res. Int. 2013, 50, 497–506. [Google Scholar] [CrossRef]
- Barbagallo, R.N.; Chisari, M.; Patané, C. Polyphenol oxidase, total phenolics and ascorbic acid changes during storage of minimally processed ‘California Wonder’ and ‘Quadrato d’Asti’ sweet peppers. LWT 2012, 49, 192–196. [Google Scholar] [CrossRef]
- Raffo, A.; Baiamonte, I.; Paoletti, F. Changes in antioxidants and taste-related compounds content during cold storage of fresh-cut red sweet peppers. Eur. Food Res. Technol. 2008, 226, 1167–1174. [Google Scholar] [CrossRef]
- Mashabela, M.N.; Selahle, K.M.; Soundy, P.; Crosby, K.M.; Sivakumar, D. Bioactive Compounds and Fruit Quality of Green Sweet Pepper Grown under Different Colored Shade Netting during Postharvest Storage. J. Food Sci. 2015, 80, H2612-8. [Google Scholar] [CrossRef]
- Serrano, M.; Zapata, P.J.; Castillo, S.; Guillén, F.; Martinez-Romero, D.; Valero, D. Antioxidant and nutritive constituents during sweet pepper development and ripening are enhanced by nitrophenolate treatments. Food Chem. 2010, 118, 497–503. [Google Scholar] [CrossRef]
- Hernández-López, G.; Ventura-Aguilar, R.I.; Correa-Pacheco, Z.N.; Bautista-Baños, S.; Barrera-Necha, L.L. Nanostructured chitosan edible coating loaded with α-pinene for the preservation of the postharvest quality of Capsicum annuum L. and Alternaria alternata control. Int. J. Biol. Macromol. 2020, 165, 1881–1888. [Google Scholar] [CrossRef]
- Samira, A.; Woldetsadik, K.; Workneh, T.S. Postharvest quality and shelf life of some hot pepper varieties. J. Food Sci. Technol. 2013, 50, 842–855. [Google Scholar] [CrossRef] [PubMed]
- Castro, J.M.; Avila, V.C.M.; Rocha, F.M.; Ochoa, M.A.; Gallegos, I.A. Effect of controlled atmospheres on quality of green pepper poblano (ancho). In Proceedings of the 16th International Pepper Conference, Tamaulipas, Mexico, 10–12 November 2002. [Google Scholar]
- Medlicott, A.P.; Thompson, A.K. Analysis of sugars and organic acids in ripening fruits by high performance liquid chromatography. J. Sci. Food Agric. 1985, 36, 561–566. [Google Scholar] [CrossRef]
- Mizrach, A.; Filtsanov, U.; Fuchs, V. An ultrasonic nondestructive method for measuring maturity of fruit. Trans Asae 1997, 40, 1107–1111. [Google Scholar] [CrossRef]
- Peña-Estévez, M.E.; Artés-Hernández, F.; Artés, F.; Aguayo, E.; Martínez-Hernández, G.B.; Galindo, A.; Gómez, P.A. Quality changes of pomegranate arils throughout shelf life affected by deficit irrigation and pre-processing storage. Food Chem. 2016, 209, 302–311. [Google Scholar] [CrossRef] [PubMed]
- Sayyari, M.; Babalar, M.; Kalantari, S.; Martínez-Romero, D.; Guillén, F.; Serrano, M.; Valero, D. Vapour treatments with methyl salicylate or methyl jasmonate alleviated chilling injury and enhanced antioxidant potential during postharvest storage of pomegranates. Food Chem. 2011, 124, 964–970. [Google Scholar] [CrossRef]
- García-Pastor, M.E.; Zapata, P.J.; Castillo, S.; Martínez-Romero, D.; Guillén, F.; Valero, D.; Serrano, M. The Effects of Salicylic Acid and Its Derivatives on Increasing Pomegranate Fruit Quality and Bioactive Compounds at Harvest and during Storage. Front. Plant Sci. 2020, 11, 668. [Google Scholar] [CrossRef] [PubMed]





| 27 Feb | 9 Mar | 17 Mar | 23 Mar | 27 Mar | 6 Apr | 20 Apr | ||
|---|---|---|---|---|---|---|---|---|
| Temperature (°C) | Average | 12.90 | 16.37 | 15.06 | 12.25 | 11.15 | 12.09 | 14.24 |
| Maximum | 17.20 | 23.63 | 22.42 | 16.86 | 14.85 | 18.09 | 20.29 | |
| Minimum | 8.70 | 9.44 | 8.36 | 7.64 | 8.23 | 6.89 | 8.88 | |
| Relative Humidity (%) | Average | 75.47 | 50.65 | 69.01 | 84.53 | 85.91 | 82.01 | 81.37 |
| Hours of Sunshine/Day | Average | 8.44 | 9.50 | 8.67 | 7.14 | 5.80 | 9.09 | 9.47 |
Publisher’s Note: MDPI stays neutral with regard to jurisdictional claims in published maps and institutional affiliations. |
© 2021 by the authors. Licensee MDPI, Basel, Switzerland. This article is an open access article distributed under the terms and conditions of the Creative Commons Attribution (CC BY) license (https://creativecommons.org/licenses/by/4.0/).
Share and Cite
Dobón-Suárez, A.; Giménez, M.J.; Castillo, S.; García-Pastor, M.E.; Zapata, P.J. Influence of the Phenological Stage and Harvest Date on the Bioactive Compounds Content of Green Pepper Fruit. Molecules 2021, 26, 3099. https://doi.org/10.3390/molecules26113099
Dobón-Suárez A, Giménez MJ, Castillo S, García-Pastor ME, Zapata PJ. Influence of the Phenological Stage and Harvest Date on the Bioactive Compounds Content of Green Pepper Fruit. Molecules. 2021; 26(11):3099. https://doi.org/10.3390/molecules26113099
Chicago/Turabian StyleDobón-Suárez, Alicia, María J. Giménez, Salvador Castillo, María E. García-Pastor, and Pedro J. Zapata. 2021. "Influence of the Phenological Stage and Harvest Date on the Bioactive Compounds Content of Green Pepper Fruit" Molecules 26, no. 11: 3099. https://doi.org/10.3390/molecules26113099
APA StyleDobón-Suárez, A., Giménez, M. J., Castillo, S., García-Pastor, M. E., & Zapata, P. J. (2021). Influence of the Phenological Stage and Harvest Date on the Bioactive Compounds Content of Green Pepper Fruit. Molecules, 26(11), 3099. https://doi.org/10.3390/molecules26113099

