Abstract
Catalytic [6π + 2π]-cycloaddition of N-carbocholesteroxyazepine with functionally substituted terminal alkynes and 1,4-butynediol was performed for the first time under the action of the Co(acac)2(dppe)/Zn/ZnI2 three-component catalytic system. The reaction gave previously undescribed but promising 9-azabicyclo[4.2.1]nona-2,4,7-trienes (in 79–95% yields), covalently bound to a natural metabolite, cholesterol. The structure of the synthesized azabicycles was confirmed by analysis of one- and two-dimensional (1H, 13C, DEPT 13C, COSY, NOESY, HSQC, HMBC) NMR spectra.
1. Introduction
Although some 9-azabicyclo[4.2.1]nonane derivatives were described for the first time back in the 1970s [1,2,3,4,5], they are still attracting the attention of synthetic chemists [6,7,8,9,10,11,12,13,14,15], largely related to their pronounced biological activity and high pharmacological potential [14]. The 9-azabicyclo[4.2.1]nonane cage is a key structural component of several important natural and synthetic alkaloids (anatoxin-a [6,7,8,9,10,11,12,13,14], pinnamine [13,16,17], bis-homoepibatidine [18,19], and UB-165 [20,21,22,23,24,25,26,27]), possessing properties of nicotinic acetylcholine receptor agonists in the central and vegetative nervous systems (Figure 1). Therefore, various analogues containing the 9-azabicyclo[4.2.1]nonane cage are actively being studied by pharmaceutical scientists as potential medicinal agents for the treatment of severe neurological disorders such as Parkinson’s and Alzheimer’s diseases, schizophrenia, and depression [21,22,23,24,25,26,27,28,29].
Figure 1.
Some biologically active azacycles containing the 9-azabicyclo[4.2.1]nonane skeleton.
According to previously published data, an efficient method for the synthesis of 9-azabicyclo[4.2.1]nonane cages is based on the cycloaddition reactions of N-substituted azepines catalyzed by transition metal complexes [30]. However, these reactions have been studied rather superficially, being addressed in a few publications on the photoinduced cyclo-codimerization of tricarbonyl(η6-N-carboalkoxyazepine)chromium(0) [31,32,33,34,35,36] and tricarbonyl(η6-N-cyanoazepine)chromium(0) [37] with alkenes and alkynes. Meanwhile, data on catalytic versions of these reactions are scarcely reported in the literature, except for two examples of Cr(0)-catalyzed cycloaddition of N-carbomethoxyazepine [34] and N-carbethoxyazepine [38] to ethyl acrylate (Scheme 1). Hence, the catalytic cycloaddition of N-substituted azepines is an alternative approach to the synthesis of 9-azabicyclo[4.2.1]nonanes, and therefore, these reactions require further thorough investigation.
Scheme 1.
Chromium(0)-promoted and chromium(0)-catalyzed [6π + 2π] cycloadditions of N-substituted azepines in the synthesis of 9-azabicyclo[4.2.1]nonadi(tri)enes.
We previously reported [39,40,41] the development of an efficient one-pot synthesis of some substituted 9-azabicyclo[4.2.1]nona-2,4,7-trienes and 9-azabicyclo[4.2.1]nona-2,4-dienes based on the cobalt(I)-catalyzed cycloaddition of N-carbethoxy(phenoxy)azepines to alkynes, 1,3-diynes, and 1,2-dienes (Scheme 2).
Scheme 2.
Schematic view of the goals of our investigation in comparison with previously published data.
In order to further develop the above promising trend towards new 9-azabicyclo[4.2.1]nonanes, and in view of the high relevance of the development of biologically active substances for the synthesis of new-generation pharmaceutical agents, we set ourselves the task of preparing 9-azabicyclo[4.2.1]nona-2,4,7-trienes containing a natural compound fragment in their molecules. It is well known that half of the currently existing medicinal drugs have been, and continue to be, developed on the basis of natural compounds’ skeletons and their numerous synthetic analogues. As the natural compound for the present work, we chose cholesterol, which performs very important functions in the human body [42,43,44,45,46,47,48,49,50,51]. Cholesterol is a structural component of cell membranes and provides their stability, participates in the biosynthesis of steroid sex hormones and corticosteroids, serves as a basis for the formation of bile acids and vitamin D, and also protects red blood cells from the action of hemolytic poisons. Thus, to our knowledge, the present study is the first to report on the catalytic [6π + 2π]-cycloaddition of N-carbocholesteroxyazepine to alkynes in order to access new 9-azabicyclo[4.2.1]nona-2,4,7-trienes containing, additionally, cholesterol building blocks (Scheme 2). To this end, we emphasize here the novelty of our planned investigation, since we succeeded in preparing, for the first time, an N-carbocholesteroxyazepine system.
2. Results
Keeping this task in mind, we set the goal to prepare the starting monomer, N-carbocholesteroxyazepine. First, we carried out the reaction of commercial cholesteryl chloroformate with sodium azide, providing, in quantitative yield, cholesteryl azidoformate 1 in the conditions depicted in Scheme 3. Please see the Supplementary Figures S1–S6.
Scheme 3.
Synthesis of cholesteryl azidoformate.
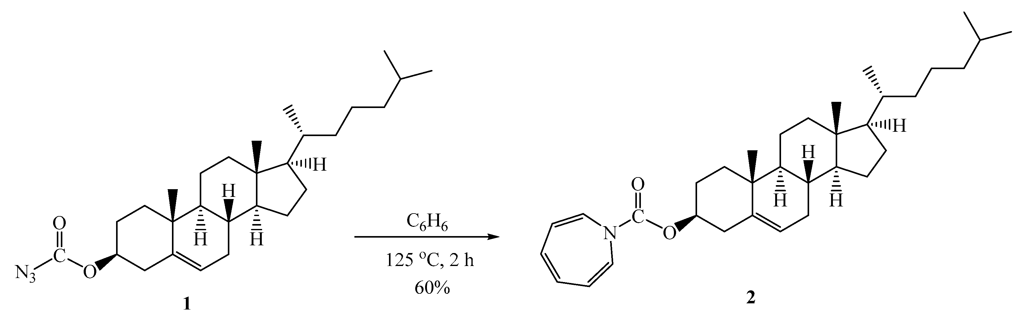
Next, thermolysis of cholesteryl azidoformate 1 in benzene at 125 °С (in an autoclave) gave the target N-carbocholesteroxyazepine 2 with a yield of 60% (Scheme 4). Please see the Supplementary Figures S7–S12.
Scheme 4.
Synthesis of N-carbocholesteroxyazepine.
With N-carbocholesteroxyazepine 2 in our hands, we investigated its cycloaddition to the terminal alkynes 3a–t. Thus, we found that the desired [6π + 2π]-cycloaddition process occurred, being catalyzed by the Co(acac)2(dppe)/Zn/ZnI2 (dppe-1,2-bis(diphenylphosphino)ethane) system [52,53,54,55,56,57] under developed conditions (10 mol% Co(acac)2(dppe), 30 mol% Zn, and 20 mol% ZnI2, in DCE (1,2-dichloroethane) as solvent, for 20 h at 60 °C) to afford substituted 9-azabicyclo[4.2.1]nona-2,4,7-trienes 4a–t with 79–95% yields (Scheme 5). The adducts were formed as two N-(CO)O-cholesteryl rotamers [33,34,39,40,41] in a 1:1 ratio, arising due to hindered rotation of the substituent around the CN bond. Please see the Supplementary Figures S13–S112.
Scheme 5.
Cycloaddition of N-carbocholesteroxyazepine to alkynes. Reaction conditions: 2 (1 mmol), 3 (1.5 mmol), Co(acac)2(dppe) (0.10 mmol), Zn (0.3 mmol), ZnI2 (0.20 mmol), DCE (3 mL), 60 °C, 20 h. Yields calculated based on effective amounts of material isolated by column chromatography. a Solvent: DCE:Trifluoroethanol 1:2 v/v.
It is well known that at elevated temperatures, the transition from one rotamer to another is accelerated. Therefore, we studied the exchange process between rotamers upon heating and calculated the energy barrier at an operating temperature of 333 K. The investigation of the temperature dependence of the NMR spectra of compound 4r in C7D8 at 333 K has shown the presence of coalescence of a number of characteristic signals in the 13C NMR spectrum—for example, the signal of the carbamide carbon atom C(10) (Figure 2). In this case, at room temperature, double signals of the carbamide carbon atom C(10) are observed with a difference of 0.05 ppm (δ) or 25 Hz in accordance with the frequency scale. The value of the energy barrier at 333 K (Tcoal.), calculated using the approximate formula or the Eyring equation (1) [58], was about 17 kcal/mol, which corresponds to the values of the barriers to hindered rotation around the amide bond. Please see the Supplementary Figures S118–S121.
∆G‡ = 19.14Tcoаl. (9.97 + log Tcoal./δν)
Figure 2.
Fragments of temperature-dependent 13С NMR spectra of 4r in C7D8.
Our experiments clearly demonstrated the Co(acac)2(dppe)/Zn/ZnI2 three-component catalytic system [52,53,54,55,56,57] being not only tolerant but equally efficient for a large variety of the substituents (alkyl, phenyl, p-halophenyl, alcohol, nitrile, ester, sulfide, phthalimide, cycloalkane, naphthalene, and phenanthrene) in the starting alkynes.
In identical conditions, N-carbocholesteroxyazepine 2 reacted as well with symmetrical disubstituted 1,4-butynediol 5 to give the [6π + 2π]-cycloadduct, 9-azabicyclo[4.2.1]nona-2,4,7-triene 6 (80% yield) as a 1:1 mixture of two N-(CO)O-cholesteryl-rotamers (Scheme 6). Please see the Supplementary Figures S113–S117.
Scheme 6.
Cycloaddition of N-carbocholesteroxyazepine to 1,4-butynediol.
3. Materials and Methods
3.1. General Procedures
Briefly, 1Н, 13С spectra were measured in CDCl3 on a Bruker Avance-500 spectrometer (500 MHz for 1H; 125 MHz for 13C). High-resolution mass spectra (HRMS) were measured on an instrument (MaXis impact, Bruker Daltonik GmbH, Bremen, Germany) using a time-of-flight mass analyzer (TOF) with electrospray ionization (ESI). In experiments on selective collisional activation, the activation energy was set at the maximum abundance of fragment peaks. A syringe injection was used for solutions in MeCN (flow rate: 5 µL/min). Nitrogen was applied as a dry gas; the interface temperature was set at 180 °C. All solvents were dried and freshly distilled before use. All reactions were carried out under a dry argon atmosphere. Cholesteryl chloroformate, sodium azide, the terminal alkynes, alkynols, and ZnI2 were purchased from commercial sources and used without further purification. Co(acac)2(dppe), ethyl pent-4-ynoate, 5-bromopent-1-yne, and sulfanylalkynes were synthesized according to procedures described in the literature [59,60,61]. For column chromatography, silica gel from Acros Organics (Thermo Fisher Scientific, Geel, Belgium) (0.060–0.200 mm) was used.
3.2. Synthesis of Cholesteryl Azidoformate
A mixture of cholesteryl chloroformate (2.25 g, 5 mmol) and sodium azide (1.14 g, 17.5 mmol) in dry acetone (97 mL) was heated at 40 °С for 6 h with vigorous stirring. After this period, the reaction mixture was left to reach room temperature, when minerals were filtered off. The organic filtrate was concentrated under reduced pressure to dryness to provide crude сholesteryl azidoformate 1 (2.278 g, 100% yield with respect to cholesteryl chloroformate) as a white solid. This material was used as is in the next experiments without further purification.
3.3. Synthesis of N-Carbocholesteroxyazepine
A solution of cholesteryl azidoformate 1 (2.28 g, 5 mmol) in dry benzene (106 mL) was heated in an autoclave at 125 °C for 2 h with stirring, under autogenous pressure. After this period, the cooled reaction solution was stripped of benzene under reduced pressure. Chromatographic purification over silica gel (petroleum ether/ethyl acetate 20:1) afforded the target product 2 (1.517 g, 60% yield with respect to cholesteryl azidoformate) as a yellow solid.
3.4. Cycloaddition of N-Carbocholesteroxyazepine to Alkynes
Zinc powder (0.020 g, 0.3 mmol) was added to a solution of Co(acac)2(dppe) (0.066 g, 0.1 mmol) in DCE (1.5 mL) for 3a–f,h,j–l,n–p,r–t (in 1 mL DCE for 3g,i,m,q,5) in a Schlenk tube under a dry argon atmosphere, and the mixture was stirred at room temperature for 2 min. Next, N-carbocholesteroxyazepine (0.505 g, 1.0 mmol), the alkyne (1.5 mmol) in DCE (1.5 mL) for 3a–f,h,j–l,n–p,r–t (in 2 mL trifluoroethanol for 3g,i,m,q,5), and dry ZnI2 (0.064 g, 0.2 mmol) were added successively. After heating at 60 °C for 20 h, the reaction was stopped by the addition of petroleum ether and stirring in air for 10 min to deactivate the catalyst. After filtration through a short pad of silica, the volatiles were removed under vacuum. Chromatographic purification over silica gel (petroleum ether/ethyl acetate 5:1 as eluent for 4a–p,s,t,6; petroleum ether/ethyl acetate 2:1 for 4q,r) afforded the target products 4a–t, 6.
3.5. Characterization of the Products
Сholesterylazidoformate (1): Yield 100% (2.278 g), white solid, m. p. = 96–97 °С, [α]D17—30.4 (c 0.48, CHCl3). 1Н NMR (500 MHz, CDCl3): δH 5.42 (d, J = 3.5 Hz, 1Н), 4.57–4.66 (m, 1Н), 2.35–2.47 (m, 2Н), 1.80–2.08 (m, 5Н), 1.24–1.73 (m, 11Н), 1.07–1.23 (m, 7Н), 0.99–1.06 (m, 5Н), 0.93 (d, J = 6.4 Hz, 4Н), 0.88 (d, J = 6.3 Hz, 6Н), 0.70 (s, 3Н) ppm. 13С NMR (125 MHz, CDCl3): δC 156.9, 138.9, 123.4, 78.8, 56.7, 56.2, 50.0, 42.3, 39.7, 39.5, 37.8, 36.8, 36.5, 36.2, 35.8, 31.9, 31.8, 28.2, 28.0, 27.5, 24.3, 23.9, 22.8, 22.6, 21.1, 19.3, 18.7, 11.9 ppm. HRMS (ESI-TOF): calcd. for C28H45N3O2Na [M + Na]+ 478.3409, found 478.3416.
N-Carbocholesteroxyazepine (2): Yield 60% (1.517 g), yellow solid, m. p. = 124–125 °С, [α]D23—13.9 (c 0.50, CHCl3), Rf = 0.40 (petroleum ether/ethyl acetate 20:1). 1Н NMR (500 MHz, CDCl3): δH 6.07 (s, 2Н), 5.91 (s, 1Н), 5.84 (s, 1H), 5.55 (s, 1Н), 5.47 (s, 1Н), 5.40 (s, 1Н), 4.59–4.68 (m, 1Н), 2.33–2.47 (m, 2Н), 1.92–2.08 (m, 3Н), 1.80–1.91 (m, 2Н), 1.23–1.69 (m, 11Н), 1.08–1.22 (m, 7Н), 0.99–1.07 (m, 5Н), 0.93 (d, J = 6.3 Hz, 4Н), 0.88 (d, J = 6.5 Hz, 6Н), 0.69 (s, 3Н) ppm. 13С NMR (125 MHz, CDCl3): δC 153.0, 139.6, 131.0 (2C), 130.6 (2C), 122.8, 119.4, 119.0, 75.9, 56.7, 56.1, 50.0, 42.3, 39.7, 39.5, 38.4, 37.0, 36.6, 36.2, 35.8, 31.9, 31.87, 28.2, 28.1, 28.0, 24.3, 23.8, 22.8, 22.6, 21.1, 19.4, 18.7, 11.9 ppm. HRMS (ESI-TOF): calcd. for C34H51NO2Na [M + Na]+ 528.3817, found 528.3824.
Сholesteryl (1S*,6R*)-7-butyl-9-azabicyclo[4.2.1]nona-2,4,7-triene-9-carboxylate equivalent with Сholesteryl (1R*,6S*)-7-butyl-9-azabicyclo[4.2.1]nona-2,4,7-triene-9-carboxylate (4a): Yield 91% (0.535 g), yellowish solid, m. p. = 94–95 °С, [α]D17—17.6 (c 0.49, CHCl3), exists as two N-(CO)O-cholesteryl rotamers. Rf = 0.45 (petroleum ether/ethyl acetate 5:1). 1Н NMR (500 MHz, CDCl3): δH 6.23–6.37 (m, 4Н), 5.84–5.99 (m, 4Н), 5.33–5.39 (m, 2H), 5.20 (d, J = 11.5 Hz, 2Н), 4.94 (d, J = 5.1 Hz, 1Н), 4.88 (d, J = 5.1 Hz, 1Н), 4.77 (d, J = 3.5 Hz, 1Н), 4.73 (d, J = 3.4 Hz, 1Н), 4.43–4.52 (m, 2Н), 2.23–2.39 (m, 4Н), 2.13–2.22 (m, 4Н), 1.93–2.05 (m, 4Н), 1.76–1.89 (m, 6Н), 1.23–1.61 (m, 30Н), 1.05–1.22 (m, 14Н), 0.99–1.04 (m, 10Н), 0.93 (d, J = 6.5 Hz, 8Н), 0.90–0.92 (m, 6Н), 0.89 (d, J = 2.2 Hz, 6Н), 0.88 (d, J = 2.2 Hz, 6Н), 0.69 (s, 6Н) ppm. 13С NMR (125 MHz, CDCl3): δC 153.3 (2С), 140.0, 139.9, 138.5 (2C), 138.4 (2С), 137.7, 137.65, 124.5 (2С), 123.4 (2С), 122.4, 122.3, 115.6, 115.5, 74.34, 74.3, 62.3, 62.2, 60.3, 60.2, 56.7 (2С), 56.1 (2С), 50.0 (2С), 42.3 (2С), 39.8 (2С), 39.5 (2С), 38.6, 38.4, 37.0, 36.96, 36.5 (2C), 36.2 (2C), 35.8 (2C), 31.9 (4C), 30.4, 30.3, 28.2 (3С), 28.18, 28.0 (2С), 26.5, 26.4, 24.3 (2C), 23.9 (2C), 22.8 (2C), 22.6 (2C), 22.4, 22.3, 21.0 (2C), 19.4 (2C), 18.7 (2C), 13.9 (2C), 11.9 (2C) ppm. HRMS (ESI-TOF): calcd. for C40H61NO2Na [M + Na]+ 610.4600, found 610.4606.
Сholesteryl (1S*,6R*)-7-phenyl-9-azabicyclo[4.2.1]nona-2,4,7-triene-9-carboxylate equivalent with Сholesteryl (1R*,6S*)-7-phenyl-9-azabicyclo[4.2.1]nona-2,4,7-triene-9-carboxylate (4b): Yield 89% (0.541 g), yellowish solid, m. p. = 155–156 °С, [α]D17—18.5 (c 0.18, CHCl3), exists as two N-(CO)O-cholesteryl rotamers. Rf = 0.47 (petroleum ether/ethyl acetate 5:1). 1Н NMR (500 MHz, CDCl3): δH 7.47 (d, J = 7.4 Hz, 4Н), 7.35 (t, J = 7.5 Hz, 4Н), 7.24–7.30 (m, 2Н), 6.30–6.47 (m, 4Н), 5.88–6.02 (m, 6Н), 5.60 (d, J = 4.8 Hz, 1H), 5.53 (d, J =5.0 Hz, 1Н), 5.39 (s, 2Н), 5.01 (d, J = 2.3 Hz, 1Н), 4.97 (d, J = 2.3 Hz, 1Н), 4.47–4.62 (m, 2Н), 2.21–2.46 (m, 4Н), 1.79–2.08 (m, 10Н), 1.24–1.71 (m, 22Н), 1.08–1.23 (m, 14Н), 0.98–1.07 (m, 10Н), 0.94 (d, J = 6.4 Hz, 8Н), 0.90 (d, J = 1.3 Hz, 6Н), 0.89 (s, 6Н), 0.70 (s, 6Н) ppm. 13С NMR (125 MHz, CDCl3): δC 153.4 (2С), 139.9 (2С), 138.9 (2C), 137.2 (2С), 135.4, 135.2, 131.9, 131.7, 128.7 (2C), 128.6 (2C), 127.9 (2С), 126.8 (4C), 124.8 (2C), 124.2 (2C), 122.5, 122.4, 115.6 (2С), 74.6 (2C), 60.9 (2С), 60.7 (2С), 56.7 (2С), 56.1 (2С), 50.00 (2С), 42.3 (2С), 39.8 (2С), 39.5 (2С), 38.6, 38.5, 37.0 (2C), 36.6 (2C), 36.2 (2C), 35.8 (2C), 31.9 (4C), 28.3 (4С), 28.0 (2С), 24.3 (2C), 23.9 (2C), 22.8 (2C), 22.6 (2C), 21.1 (2C), 19.4 (2C), 18.7 (2C), 11.9 (2C) ppm. HRMS (ESI-TOF): calcd. for C42H57NO2Na [M + Na]+ 630.4287, found 630.4305.
Сholesteryl (1S*,6R*)-7-(o-tolyl)-9-azabicyclo[4.2.1]nona-2,4,7-triene-9-carboxylate equivalent with Сholesteryl (1R*,6S*)–7-(o-tolyl)-9-azabicyclo[4.2.1]nona-2,4,7-triene-9-carboxylate (4c): Yield 87% (0.541 g), yellowish solid, m. p. = 115–116 °С, [α]D18—10.4 (c 0.49, CHCl3), exists as two N-(CO)O-cholesteryl rotamers. Rf = 0.44 (petroleum ether/ethyl acetate 5:1). 1Н NMR (500 MHz, CDCl3): δH 7.13–7.28 (m, 8Н), 6.35–6.46 (m, 2Н), 6.15–6.26 (m, 2Н), 5.97–6.06 (m, 4Н), 5.52 (d, J = 1.5 Hz, 1Н), 5.49 (d, J = 2.0 Hz, 1H), 5.33–5.43 (m, 4Н), 5.01 (dd, J = 5.1 Hz, J = 2.3 Hz, 1Н), 4.96 (dd, J = 5.1 Hz, J = 2.3 Hz, 1Н), 4.48–4.57 (m, 2Н), 2.21–2.43 (m, 10Н), 1.78–2.07 (m, 10Н), 1.23–1.65 (m, 22Н), 1.07–1.22 (m, 14Н), 0.98–1.07 (m, 10Н), 0.94 (d, J = 6.5 Hz, 8Н), 0.90 (d, J = 2.1 Hz, 6Н), 0.88 (d, J = 2.1 Hz, 6Н), 0.70 (s, 6Н) ppm. 13С NMR (125 MHz, CDCl3): δC 153.4 (2С), 139.9 (2С), 138.3 (2C), 137.6 (2С), 136.8 (2C), 134.1 (2C), 132.1 (2C), 130.6, 130.56, 129.8, 129.7, 127.9, 127.8, 125.6, 125.58, 124.7 (2C), 124.2 (2C), 122.4, 122.37, 118.6 (2С), 74.6, 74.55, 62.9 (2C), 60.9, 60.7, 56.7 (2С), 56.1 (2С), 50.0 (2С), 42.3 (2С), 39.8 (2С), 39.5 (2С), 38.6, 38.5, 37.0, 36.96, 36.6 (2C), 36.2 (2C), 35.8 (2C), 31.9 (4C), 28.2 (4С), 28.0 (2С), 24.3 (2C), 23.8 (2C), 22.8 (2C), 22.6 (2C), 21.1 (2C), 20.6, 20.57, 19.4 (2C), 18.7 (2C), 11.9 (2C) ppm. HRMS (ESI-TOF): calcd. for C43H59NO2Na [M + Na]+ 644.4443, found 644.4457.
Сholesteryl (1S*,6R*)-7-(4-bromophenyl)-9-azabicyclo[4.2.1]nona-2,4,7-triene-9-carboxylate equivalent with Сholesteryl (1R*,6S*)-7-(4-bromophenyl)-9-azabicyclo[4.2.1]nona-2,4,7-triene-9-carboxylate (4d): Yield 81% (0.556 g), yellow solid, m. p. = 127–128 °С, [α]D18—19.1 (c 0.50, CHCl3), exists as two N-(CO)O-cholesteryl rotamers. Rf = 0.48 (petroleum ether/ethyl acetate 5:1). 1Н NMR (500 MHz, CDCl3): δH 7.45 (d, J = 8.3 Hz, 4Н), 7.26–7.35 (m, 4Н), 6.29–6.42 (m, 4Н), 5.92–6.01 (m, 4Н), 5.89 (d, J = 12.4 Hz, 2Н), 5.54 (d, J = 4.9 Hz, 1H), 5.47 (d, J = 5.0 Hz, 1Н), 5.37 (s, 2Н), 4.99 (d, J = 2.4 Hz, 1Н), 4.95 (dd, J = 4.7 Hz, J = 2.3 Hz, 1Н), 4.48–4.58 (m, 2Н), 2.21–2.43 (m, 4Н), 1.78–2.07 (m, 10Н), 1.23–1.64 (m, 22Н), 1.07–1.22 (m, 14Н), 1.00–1.06 (m, 10Н), 0.94 (d, J = 6.3 Hz, 8Н), 0.89 (s, 6Н), 0.88 (d, J = 1.5 Hz, 6Н), 0.69 (s, 6Н) ppm. 13С NMR (125 MHz, CDCl3): δC 153.3 (2С), 139.8 (2С), 138.6 (2C), 137.1 (2С), 134.3, 134.1, 131.8 (2C), 131.76 (2C), 130.9, 130.7, 128.3 (4C), 125.1 (2C), 124.2 (2C), 122.5, 122.4, 121.7 (2С), 116.2 (2C), 74.7, 74.65, 60.8, 60.7 (3C), 56.7 (2С), 56.1 (2С), 50.0 (2С), 42.3 (2С), 39.7 (2С), 39.5 (2С), 38.6, 38.4, 37.0 (2C), 36.6 (2C), 36.2 (2C), 35.8 (2C), 31.9 (2C), 31.88 (2C), 28.3 (3С), 28.2, 28.0 (2С), 24.3 (2C), 23.9 (2C), 22.9 (2C), 22.6 (2C), 21.1 (2C), 19.4 (2C), 18.7 (2C), 11.9 (2C) ppm. HRMS (ESI-TOF): calcd. for C42H56BrNO2Na [M + Na]+ 708.3392, found 708.3401.
Сholesteryl (1S*,6R*)-7-(4-fluorophenyl)-9-azabicyclo[4.2.1]nona-2,4,7-triene-9-carboxylate equivalent with Сholesteryl (1R*,6S*)-7-(4-fluorophenyl)-9-azabicyclo[4.2.1]nona-2,4,7-triene-9-carboxylate (4e): Yield 86% (0.538 g), yellowish solid, m. p. = 125–126 °С, [α]D18—17.7 (c 0.48, CHCl3), exists as two N-(CO)O-cholesteryl rotamers. Rf = 0.43 (petroleum ether/ethyl acetate 5:1). 1Н NMR (500 MHz, CDCl3): δH 7.40–7.46 (m, 4Н), 7.03 (t, J = 8.6 Hz, 4Н), 6.31–6.42 (m, 4Н), 5.91–6.02 (m, 4Н), 5.83 (dd, J = 13.4 Hz, J = 2.0 Hz, 2Н), 5.55 (d, J = 5.0 Hz, 1H), 5.49 (d, J = 5.1 Hz, 1Н), 5.38 (s, 2Н), 5.00 (dd, J = 5.0 Hz, J = 2.5 Hz, 1Н), 4.95 (dd, J = 5.2 Hz, J = 2.6 Hz, 1Н), 4.48–4.59 (m, 2Н), 2.21–2.43 (m, 4Н), 1.77–2.08 (m, 10Н), 1.24–1.64 (m, 22Н), 1.08–1.23 (m, 14Н), 1.00–1.07 (m, 10Н), 0.94 (d, J = 6.5 Hz, 8Н), 0.90 (d, J = 2.1 Hz, 6Н), 0.88 (d, J = 2.0 Hz, 6Н), 0.70 (s, 6Н) ppm. 13С NMR (125 MHz, CDCl3): δC 162.3 (d, J = 246.3 Hz, 2C), 153.3 (2С), 139.8 (2С), 138.8, 138.7, 137.3, 137.25, 134.4, 134.2, 128.5 (2C), 128.4 (2C), 128.1, 128.0, 125.0, 124.9, 124.1 (2C), 122.5, 122.4, 115.7, 115.69, 115.5 (4C), 74.7, 74.6, 61.0, 60.92, 60.8, 60.7, 56.7 (2С), 56.2 (2С), 50.00 (2С), 42.3 (2С), 39.8 (2С), 39.5 (2С), 38.6, 38.5, 37.0, 36.97, 36.6 (2C), 36.2 (2C), 35.8 (2C), 31.9 (2С), 31.89 (2С), 28.3 (3С), 28.2, 28.0 (2С), 24.3 (2C), 23.9 (2C), 22.8 (2C), 22.6 (2C), 21.1 (2C), 19.4 (2C), 18.7 (2C), 11.9 (2C) ppm. HRMS (ESI-TOF): calcd. for C42H56FNO2Na [M + Na]+ 648.4193, found 648.4202.
Сholesteryl (1S*,6R*)-7-(trimethylsilyl)-9-azabicyclo[4.2.1]nona-2,4,7-triene-9-carboxylate equivalent with Сholesteryl (1R*,6S*)-7-(trimethylsilyl)-9-azabicyclo[4.2.1]nona-2,4,7-triene-9-carboxylate (4f): Yield 85% (0.513 g), white solid, m. p. = 124–125 °С, [α]D18—20 (c 0.50, CHCl3), exists as two N-(CO)O-cholesteryl rotamers. Rf = 0.41 (petroleum ether/ethyl acetate 5:1). 1Н NMR (500 MHz, CDCl3): δH 6.18–6.30 (m, 4Н), 5.87–6.00 (m, 4Н), 5.52 (d, J = 7.8 Hz, 2Н), 5.34 (s, 2H), 5.00 (d, J = 5.0 Hz, 1Н), 4.91 (d, J = 5.0 Hz, 2Н), 4.86 (d, J = 3.5 Hz, 1Н), 4.41–4.50 (m, 2Н), 2.17–2.38 (m, 4Н), 1.92–2.06 (m, 4Н), 1.74–1.91 (m, 6Н), 1.22–1.62 (m, 22Н), 1.05–1.21 (m, 14Н), 0.98–1.04 (m, 10Н), 0.92 (d, J = 6.5 Hz, 8Н), 0.88 (d, J = 1.7 Hz, 6Н), 0.87 (d, J = 1.7 Hz, 6Н), 0.68 (s, 6Н), 0.13 (d, J = 4.0 Hz, 18Н) ppm. 13С NMR (125 MHz, CDCl3): δC 153.2 (2C), 139.9 (2С), 137.7 (2C), 136.2, 136.1, 135.1, 135.0, 126.6, 126.5, 124.3, 124.27, 123.7, 123.6, 122.3, 122.26, 74.3, 74.26, 63.4, 63.3, 61.5, 61.3, 56.7 (2С), 56.1 (2С), 50.0 (2С), 42.3 (2С), 39.8 (2С), 39.5 (2С), 38.6, 38.4, 37.0, 36.97, 36.5 (2C), 36.2 (2C), 35.8 (2C), 31.9 (2С), 31.88 (2С), 28.3 (3С), 28.1, 28.0 (2С), 24.3 (2C), 23.9 (2C), 22.9 (2C), 22.6 (2C), 21.1 (2C), 19.4 (2C), 18.7 (2C), 11.9 (2C), −0.6 (3C), −0.7 (3C) ppm. HRMS (ESI-TOF): calcd. for C39H61NO2SiNa [M + Na]+ 626.4369, found 626.4376.
Сholesteryl (1S*,6R*)-7-(2-hydroxyethyl)-9-azabicyclo[4.2.1]nona-2,4,7-triene-9-carboxylate equivalent with Сholesteryl (1R*,6S*)-7-(2-hydroxyethyl)-9-azabicyclo[4.2.1]nona-2,4,7-triene-9-carboxylate (4g): Yield 79% (0.455 g), yellowish solid, m. p. = 134–135 °С, [α]D18—16.9 (c 0.49, CHCl3), exists as two N-(CO)O-cholesteryl rotamers. Rf = 0.50 (petroleum ether/ethyl acetate 5:1). 1Н NMR (500 MHz, CDCl3): δH 6.25–6.36 (m, 4Н), 5.85–6.01 (m, 4Н), 5.28–5.38 (m, 4Н), 4.95 (d, J = 5.0 Hz, 1H), 4.91 (d, J = 5.1 Hz, 1Н), 4.78 (s, 1Н), 4.75 (s, 1Н), 4.38–4.51 (m, 2Н), 3.69 (d, J = 5.8 Hz, 4Н), 2.35–2.50 (m, 4Н), 2.15–2.34 (m, 4Н), 1.91–2.04 (m, 4Н), 1.73–1.90 (m, 6Н), 1.21–1.60 (m, 22Н), 1.04–1.19 (m, 14Н), 0.97–1.03 (m, 10Н), 0.91 (d, J = 6.4 Hz, 8Н), 0.87 (d, J = 1.6 Hz, 6Н), 0.86 (s, 6Н), 0.67 (s, 6Н) ppm. 13С NMR (125 MHz, CDCl3): δC 153.3 (2C), 139.8 (2С), 138.5, 138.4, 138.1 (2C), 133.5 (2C), 124.8 (2C), 123.6, 123.55, 122.4, 122.36, 117.9, 117.6, 74.5 (2C), 62.1, 62.06, 61.1, 61.0, 60.2, 60.15, 56.7 (2С), 56.1 (2С), 50.0 (2С), 42.3 (2С), 39.7 (2С), 39.5 (2С), 38.6, 38.4, 37.0, 36.9, 36.5 (2C), 36.2 (2C), 35.8 (2С), 31.9 (2С), 31.86 (2C), 30.5, 30.4, 28.2 (3С), 28.17, 28.0 (2С), 24.3 (2C), 23.9 (2C), 22.8 (2C), 22.6 (2C), 21.0 (2C), 19.4 (2C), 18.7 (2C), 11.9 (2C) ppm. HRMS (ESI-TOF): calcd. for C38H57NO3Na [M + Na]+ 598.4236, found 598.4238.
Сholesteryl (1S*,6R*)-7-(3-hydroxypropyl)-9-azabicyclo[4.2.1]nona-2,4,7-triene-9-carboxylate equivalent with Сholesteryl (1R*,6S*)-7-(3-hydroxypropyl)-9-azabicyclo[4.2.1]nona-2,4,7-triene-9-carboxylate (4h): Yield 89% (0.525 g), yellowish solid, m. p. = 142–143 °С, [α]D18—17.2 (c 0.49, CHCl3), exists as two N-(CO)O-cholesteryl rotamers. Rf = 0.52 (petroleum ether/ethyl acetate 5:1). 1Н NMR (500 MHz, CDCl3): δH 6.20–6.35 (m, 4Н), 5.82–5.98 (m, 4Н), 5.34 (s, 2Н), 5.22 (d, J = 9.0 Hz, 2H), 4.92 (d, J = 4.8 Hz, 1H), 4.88 (d, J = 4.9 Hz, 1Н), 4.75 (d, J = 2.8 Hz, 1Н), 4.72 (s, 1Н), 4.39–4.50 (m, 2Н), 3.60 (s, 4Н), 2.10–2.37 (m, 8Н), 1.91–2.04 (m, 4Н), 1.65–1.90 (m, 10Н), 1.21–1.60 (m, 22Н), 1.04–1.19 (m, 14Н), 0.97–1.03 (m, 10Н), 0.91 (d, J = 6.4 Hz, 8Н), 0.87 (d, J = 1.4 Hz, 6Н), 0.86 (d, J = 1.2 Hz, 6Н), 0.67 (s, 6Н) ppm. 13С NMR (125 MHz, CDCl3): δC 153.4 (2C), 139.8 (2С), 138.4 (2С), 138.2 (2С), 136.8, 136.7, 124.7 (2C), 123.5 (2С), 122.4, 122.3, 116.0, 115.8, 74.5 (2C), 62.3 (2С), 62.0, 61.9, 60.3, 60.2, 56.7 (2С), 56.1 (2С), 50.0 (2С), 42.3 (2С), 39.7 (2С), 39.5 (2С), 38.6, 38.4, 37.0, 36.9, 36.5 (2C), 36.2 (2C), 35.8 (2С), 31.9 (2С), 31.86 (2C), 31.0 (2C), 28.2 (4С), 28.0 (2С), 24.3 (2C), 23.8 (2C), 23.1, 23.0, 22.8 (2C), 22.6 (2C), 21.0 (2C), 19.4 (2C), 18.7 (2C), 11.9 (2C) ppm. HRMS (ESI-TOF): calcd for C39H59NO3Na [M + Na]+ 612.4392, found 612.4389.
Сholesteryl(1S*,6R*)-7-(2-cyanoethyl)-9-azabicyclo[4.2.1]nona-2,4,7-triene-9-carboxylate equivalent with Сholesteryl (1R*,6S*)-7-(2-cyanoethyl)-9-azabicyclo[4.2.1]nona-2,4,7-triene-9-carboxylate (4i): Yield 86% (0.503 g), white solid, m. p. = 168–169 °С, [α]D23—23 (c 0.51, CHCl3), exists as two N-(CO)O-cholesteryl rotamers. Rf = 0.48 (petroleum ether/ethyl acetate 5:1). 1Н NMR (500 MHz, CDCl3): δH 6.24–6.37 (m, 4Н), 5.89–6.04 (m, 4Н), 5.33–5.41 (m, 4Н), 4.96 (d, J = 5.1 Hz, 1H), 4.93 (d, J = 5.1 Hz, 1Н), 4.83 (d, J = 3.4 Hz, 1Н), 4.79 (d, J = 3.3 Hz, 1Н), 4.42–4.52 (m, 2Н), 2.55 (d, J = 6.7 Hz, 4Н), 2.50 (dd, J = 10.9 Hz, J = 4.2 Hz, 4Н), 2.17–2.39 (m, 4Н), 1.92–2.05 (m, 4Н), 1.74–1.91 (m, 6Н), 1.22–1.62 (m, 22Н), 1.05–1.20 (m, 14Н), 0.98–1.04 (m, 10Н), 0.92 (d, J = 6.5 Hz, 8Н), 0.88 (d, J = 2.1 Hz, 6Н), 0.87 (d, J = 2.1 Hz, 6Н), 0.68 (s, 6Н) ppm. 13С NMR (125 MHz, CDCl3): δC 153.2 (2C), 139.8 (2С), 138.2, 138.15, 137.4 (2C), 132.8, 132.6, 125.6 (2C), 123.9 (2С), 122.5, 122.4, 118.8, 118.7, 117.9, 117.6, 74.6 (2C), 61.8 (2C), 60.2, 60.1, 56.7 (2С), 56.1 (2С), 50.0 (2С), 42.3 (2С), 39.7 (2С), 39.5 (2С), 38.6, 38.4, 37.0, 36.9, 36.5 (2C), 36.2 (2C), 35.8 (2С), 31.9 (2С), 31.87 (2C), 28.2 (3С), 28.1, 28.0 (2С), 24.3 (2C), 23.8 (2C), 22.9, 22.8 (3C), 22.6 (2C), 21.0 (2C), 19.4 (2C), 18.7 (2C), 16.53, 16.5, 11.9 (2C) ppm. HRMS (ESI-TOF): calcd. for C39H56N2O2Na [M + Na]+ 607.4239, found 607.4238.
Сholesteryl (1S*,6R*)-7-(3-cyanopropyl)-9-azabicyclo[4.2.1]nona-2,4,7-triene-9-carboxylate equivalent with Сholesteryl (1R*,6S*)-7-(3-cyanopropyl)-9-azabicyclo[4.2.1]nona-2,4,7-triene-9-carboxylate (4j): Yield 92% (0.551 g), yellowish solid, m. p. = 162–163 °С, [α]D23—27.6 (c 0.49, CHCl3), exists as two N-(CO)O-cholesteryl rotamers. Rf = 0.50 (petroleum ether/ethyl acetate 5:1). 1Н NMR (500 MHz, CDCl3): δH 6.23–6.38 (m, 4Н), 5.87–6.02 (m, 4Н), 5.36 (d, J = 5.0 Hz, 2Н), 5.29 (s, 2H), 4.92 (d, J = 5.1 Hz, 1Н), 4.88 (d, J = 5.1 Hz, 1Н), 4.80 (d, J = 3.5 Hz, 1Н), 4.76 (d, J = 3.4 Hz, 1Н), 4.42–4.51 (m, 2Н), 2.18–2.42 (m, 12Н), 1.92–2.05 (m, 4Н), 1.75–1.91 (m, 10Н), 1.22–1.62 (m, 22Н), 1.06–1.21 (m, 14Н), 0.99–1.05 (m, 10Н), 0.92 (d, J = 6.4 Hz, 8Н), 0.88 (d, J = 2.0 Hz, 6Н), 0.87 (d, J = 2.1 Hz, 6Н), 0.68 (s, 6Н) ppm. 13С NMR (125 MHz, CDCl3): δC 153.2 (2C), 139.8 (2С), 138.4 (2С), 137.8 (2С), 134.4, 134.2, 125.1 (2C), 123.6 (2С), 122.4, 122.37, 119.2 (2С), 117.5, 117.2, 74.5 (2C), 62.0, 61.9, 60.2, 60.1, 56.7 (2С), 56.1 (2С), 50.0 (2С), 42.3 (2С), 39.7 (2С), 39.5 (2С), 38.6, 38.4, 37.0, 36.9, 36.5 (2C), 36.2 (2C), 35.8 (2С), 31.9 (2С), 31.87 (2C), 28.2 (3С), 28.1, 28.0 (2С), 25.6, 25.5, 24.3 (2C), 24.1, 24.07, 23.8 (2C), 22.8 (2C), 22.6 (2C), 21.0 (2C), 19.4 (2C), 18.7 (2C), 16.4, 16.3, 11.9 (2C) ppm. HRMS (ESI-TOF): calcd. for C40H58N2O2Na [M + Na]+ 621.4396, found 621.4406.
Сholesteryl (1S*,6R*)-7-(3-bromopropyl)-9-azabicyclo[4.2.1]nona-2,4,7-triene-9-carboxylate equivalent with Сholesteryl (1R*,6S*)-7-(3-bromopropyl)-9-azabicyclo[4.2.1]nona-2,4,7-triene-9-carboxylate (4k): Yield 88% (0.574 g), yellowish solid, m. p. = 106–107 °С, [α]D18—18.8 (c 0.49, CHCl3), exists as two N-(CO)O-cholesteryl rotamers. Rf = 0.50 (petroleum ether/ethyl acetate 5:1). 1Н NMR (500 MHz, CDCl3): δH 6.24–6.38 (m, 4Н), 5.87–6.01 (m, 4Н), 5.33–5.39 (m, 2Н), 5.28 (d, J = 6.1 Hz, 2H), 4.94 (d, J = 5.1 Hz, 1Н), 4.89 (d, J = 5.1 Hz, 1Н), 4.79 (d, J = 3.2 Hz, 1Н), 4.75 (d, J = 3.0 Hz, 1Н), 4.43–4.52 (m, 2Н), 3.33–3.43 (m, 4Н), 2.19–2.42 (m, 8Н), 1.93–2.07 (m, 8Н), 1.75–1.92 (m, 6Н), 1.22–1.62 (m, 22Н), 1.06–1.22 (m, 14Н), 0.99–1.05 (m, 10Н), 0.93 (d, J = 6.5 Hz, 8Н), 0.89 (d, J = 2.3 Hz, 6Н), 0.88 (d, J = 2.2 Hz, 6Н), 0.69 (s, 6Н) ppm. 13С NMR (125 MHz, CDCl3): δC 153.3 (2C), 139.9 (2С), 138.4 (2С), 138.0 (2С), 135.3, 135.1, 124.9 (2C), 123.6 (2С), 122.4, 122.35, 116.9, 116.6, 74.5 (2C), 62.2, 62.1, 60.3, 60.2, 56.7 (2С), 56.1 (2С), 50.0 (2С), 42.3 (2С), 39.7 (2С), 39.5 (2С), 38.6, 38.4, 37.0, 36.9, 36.6 (2C), 36.2 (2C), 35.8 (2С), 32.8, 32.77, 31.9 (4C), 31.2, 31.1, 28.2 (3С), 28.16, 28.0 (2С), 25.2, 25.1, 24.3 (2C), 23.8 (2C), 22.8 (2C), 22.6 (2C), 21.0 (2C), 19.4 (2C), 18.7 (2C), 11.9 (2C) ppm. HRMS (ESI-TOF): calcd. for C39H58BrNO2Na [M + Na]+ 674.3548, found 674.3558.
Сholesteryl (1S*,6R*)-7-(3-ethoxy-3-oxopropyl)-9-azabicyclo[4.2.1]nona-2,4,7-triene-9-carboxylate equivalent with Сholesteryl (1R*,6S*)-7-(3-ethoxy-3-oxopropyl)-9-azabicyclo[4.2.1]nona-2,4,7-triene-9-carboxylate (4l): Yield 90% (0.569 g), yellowish viscous oil, [α]D17—21.2 (c 0.50, CHCl3), exists as two N-(CO)O-cholesteryl rotamers. Rf = 0.45 (petroleum ether/ethyl acetate 5:1). 1Н NMR (500 MHz, CDCl3): δH 6.23–6.35 (m, 4Н), 5.84–5.99 (m, 4Н), 5.35 (d, J = 5.5 Hz, 2Н), 5.24 (d, J = 9.2 Hz, 2H), 4.94 (d, J = 5.1 Hz, 1Н), 4.89 (d, J = 5.1 Hz, 1Н), 4.77 (d, J = 3.4 Hz, 1Н), 4.73 (d, J = 3.3 Hz, 1Н), 4.42–4.51 (m, 2Н), 4.13 (qd, J = 7.1 Hz, J = 3.0 Hz, 4Н), 2.44–2.55 (m, 8Н), 2.16–2.38 (m, 4Н), 1.92–2.05 (m, 4Н), 1.73–1.91 (m, 6Н), 0.96–1.63 (m, 52Н), 0.92 (d, J = 6.4 Hz, 8Н), 0.88 (d, J = 3.1 Hz, 6Н), 0.87 (d, J = 1.8 Hz, 6Н), 0.68 (s, 6Н) ppm. 13С NMR (125 MHz, CDCl3): δC 172.6, 172.5, 153.3 (2C), 139.9 (2С), 138.3 (2С), 138.1 (2С), 135.6, 135.5, 124.9 (2C), 123.7 (2С), 122.4, 122.3, 116.3, 116.2, 74.44, 74.4, 62.2 (2C), 60.5 (2C), 60.2, 60.1, 56.7 (2С), 56.1 (2С), 50.0 (2С), 42.3 (2С), 39.7 (2С), 39.5 (2С), 38.6, 38.4, 37.0, 36.9, 36.5 (2C), 36.2 (2C), 35.8 (2С), 32.9 (2C), 31.9 (4C), 28.2 (3С), 28.16, 28.0 (2С), 24.3 (2C), 23.8 (2C), 22.8 (2C), 22.6 (2C), 22.0, 21.9, 21.0 (2C), 19.4 (2C), 18.7 (2C), 14.2 (2C), 11.8 (2C) ppm. HRMS (ESI-TOF): calcd. for C41H61NO4Na [M + Na]+ 654.4498, found 654.4515.
Сholesteryl (1S*,6R*)-7-(2-(tert-butylthio)ethyl)-9-azabicyclo[4.2.1]nona-2,4,7-triene-9-carboxylate equivalent with Сholesteryl (1R*,6S*)-7-(2-(tert-butylthio)ethyl)-9-azabicyclo[4.2.1]nona-2,4,7-triene-9-carboxylate (4m): Yield 81% (0.525 g), yellowish solid, m. p. = 149–150 °С, [α]D18—19.3 (c 0.48, CHCl3), exists as two N-(CO)O-cholesteryl rotamers. Rf = 0.51 (petroleum ether/ethyl acetate 5:1). 1Н NMR (500 MHz, CDCl3): δH 6.23–6.37 (m, 4Н), 5.86–6.00 (m, 4Н), 5.36 (dd, J = 10.6 Hz, J = 2.7 Hz, 2Н), 5.28 (d, J = 11.7 Hz, 2H), 4.99 (d, J = 5.1 Hz, 1Н), 4.92 (d, J = 5.1 Hz, 1Н), 4.79 (d, J = 3.4 Hz, 1Н), 4.75 (d, J = 3.7 Hz, 1Н), 4.43–4.52 (m, 2Н), 2.59–2.71 (m, 4Н), 2.19–2.52 (m, 8Н), 1.99 (dd, J = 25.1 Hz, J = 15.0 Hz, 4Н), 1.74–1.92 (m, 6Н), 1.40–1.62 (m, 12Н), 1.34 (d, J = 3.4 Hz, 24Н), 1.22–1.29 (m, 4Н), 1.06–1.21 (m, 14Н), 0.99–1.05 (m, 10Н), 0.93 (d, J = 6.5 Hz, 8Н), 0.88 (d, J = 2.1 Hz, 6Н), 0.87 (d, J = 1.9 Hz, 6Н), 0.69 (s, 6Н) ppm. 13С NMR (125 MHz, CDCl3): δC 153.3 (2C), 139.9 (2С), 138.3 (2С), 138.1 (2С), 135.8, 135.6, 124.9 (2C), 123.7 (2С), 122.4, 122.3, 116.6, 116.4, 74.5, 74.4, 62.0, 61.9, 60.2, 60.1, 56.7 (2С), 56.1 (2С), 50.0 (2С), 42.3 (2С), 42.2 (2C), 39.7 (2С), 39.5 (2С), 38.6, 38.4, 36.9 (2C), 36.5 (2C), 36.2 (2C), 35.8 (2С), 31.9 (4C), 31.0 (6C), 28.2 (4С), 28.0 (2С), 27.4, 27.3, 26.9 (2C), 24.3 (2C), 23.8 (2C), 22.8 (2C), 22.6 (2C), 21.0 (2C), 19.4 (2C), 18.7 (2C), 11.9 (2C) ppm. HRMS (ESI-TOF): calcd. for C42H65NO2SNa [M + Na]+ 670.4633, found 670.4639.
Сholesteryl (1S*,6R*)-7-(3-(tert-butylthio)propyl)-9-azabicyclo[4.2.1]nona-2,4,7-triene-9-carboxylate equivalent with Сholesteryl (1R*,6S*)-7-(3-(tert-butylthio)propyl)-9-azabicyclo[4.2.1]nona-2,4,7-triene-9-carboxylate (4n): Yield 88% (0.583 g), yellowish solid, m. p. = 135–136 °С, [α]D18—23.5 (c 0.49, CHCl3), exists as two N-(CO)O-cholesteryl rotamers. Rf = 0.53 (petroleum ether/ethyl acetate 5:1). 1Н NMR (500 MHz, CDCl3): δH 6.22–6.38 (m, 4Н), 5.84–6.01 (m, 4Н), 5.35 (s, 2Н), 5.24 (d, J = 11.1 Hz, 2H), 4.93 (d, J = 4.8 Hz, 1Н), 4.88 (d, J = 4.9 Hz, 1Н), 4.78 (s, 1Н), 4.74 (s, 1Н), 4.42–4.52 (m, 2Н), 2.50 (dd, J = 12.0 Hz, J = 6.7 Hz, 4Н), 2.19–2.38 (m, 8Н), 1.92–2.07 (m, 4Н), 1.70–1.91 (m, 10Н), 1.41–1.63 (m, 12Н), 1.22–1.40 (m, 28Н), 1.06–1.21 (m, 14Н), 0.98–1.05 (m, 10Н), 0.93 (d, J = 6.3 Hz, 8Н), 0.88 (s, 6Н), 0.87 (s, 6Н), 0.69 (s, 6Н) ppm. 13С NMR (125 MHz, CDCl3): δC 153.3 (2C), 139.9 (2С), 138.4 (2С), 138.2 (2С), 136.3 (2C), 124.7 (2C), 123.5 (2С), 122.4, 122.3, 116.2, 116.16, 74.4 (2C), 62.2 (2C), 60.3, 60.2, 56.7 (2С), 56.1 (2С), 50.0 (2С), 42.3 (2С), 42.0 (2C), 39.7 (2С), 39.5 (2С), 38.6, 38.4, 37.0, 36.95, 36.5 (2C), 36.2 (2C), 35.8 (2С), 31.9 (4C), 31.0 (6C), 28.4, 28.37, 28.2 (4С), 28.0 (2С), 27.6 (2C), 26.2, 26.1, 24.3 (2C), 23.8 (2C), 22.8 (2C), 22.6 (2C), 21.0 (2C), 19.4 (2C), 18.7 (2C), 11.9 (2C) ppm. HRMS (ESI-TOF): calcd. for C43H67NO2SNa [M + Na]+ 684.4790, found 684.4810.
Сholesteryl (1S*,6R*)-7-cyclopentyl-9-azabicyclo[4.2.1]nona-2,4,7-triene-9-carboxylate equivalent with Сholesteryl (1R*,6S*)-7-cyclopentyl-9-azabicyclo[4.2.1]nona-2,4,7-triene-9-carboxylate (4o): Yield 85% (0.510 g), yellowish solid, m. p. = 125–126 °С, [α]D18—13.3 (c 0.50, CHCl3), exists as two N-(CO)O-cholesteryl rotamers. Rf = 0.48 (petroleum ether/ethyl acetate 5:1). 1Н NMR (500 MHz, CDCl3): δH 6.22–6.37 (m, 4Н), 5.84–5.97 (m, 4Н), 5.36 (d, J = 5.0 Hz, 2Н), 5.22 (d, J = 11.7 Hz, 2H), 4.98 (d, J = 5.1 Hz, 1Н), 4.91 (d, J = 5.1 Hz, 1Н), 4.76–4.79 (m, 1Н), 4.74 (dd, J = 4.9 Hz, J = 2.1 Hz, 1Н), 4.42–4.53 (m, 2Н), 2.56–2.66 (m, 2Н), 2.17–2.40 (m, 4Н), 1.75–2.05 (m, 14Н), 1.64–1.73 (m, 8Н), 1.22–1.63 (m, 26Н), 1.06–1.21 (m, 14Н), 0.99–1.05 (m, 10Н), 0.93 (d, J = 6.5 Hz, 8Н), 0.89 (d, J = 2.2 Hz, 6Н), 0.88 (d, J = 2.1 Hz, 6Н), 0.69 (s, 6Н) ppm. 13С NMR (125 MHz, CDCl3): δC 153.4, 153.3, 141.7 (2С), 140.0 (2С), 138.6 (2С), 138.3 (2C), 124.2 (2C), 123.5 (2С), 122.4 (2C), 114.2 (2C), 74.3 (2C), 62.0 (2C), 60.2, 60.15, 56.7 (2С), 56.1 (2С), 50.0 (2С), 42.3 (2С), 39.7 (2С), 39.5 (2С), 38.6, 38.4, 38.0, 37.9, 37.0 (2C), 36.6 (2C), 36.2 (2C), 35.8 (2С), 32.8, 32.7, 32.4, 32.2, 31.9 (4C), 28.2 (4С), 28.0 (2С), 24.9 (2C), 24.8 (2C), 24.3 (2C), 23.8 (2C), 22.8 (2C), 22.6 (2C), 21.0 (2C), 19.4 (2C), 18.7 (2C), 11.9 (2C) ppm. HRMS (ESI-TOF): calcd. for C41H61NO2Na [M + Na]+ 622.4600, found 622.4599.
Сholesteryl (1S*,6R*)-7-cyclohexyl-9-azabicyclo[4.2.1]nona-2,4,7-triene-9-carboxylate equivalent with Сholesteryl (1R*,6S*)-7-cyclohexyl-9-azabicyclo[4.2.1]nona-2,4,7-triene-9-carboxylate (4p): Yield 82% (0.503 g), yellowish solid, m. p. = 128–129 °С, [α]D18—23 (c 0.50, CHCl3), exists as two N-(CO)O-cholesteryl rotamers. Rf = 0.45 (petroleum ether/ethyl acetate 5:1). 1Н NMR (500 MHz, CDCl3): δH 6.21–6.35 (m, 4Н), 5.83–5.96 (m, 4Н), 5.36 (d, J = 4.6 Hz, 2Н), 5.19 (d, J = 11.1 Hz, 2H), 5.02 (d, J = 5.0 Hz, 1Н), 4.95 (d, J = 5.2 Hz, 1Н), 4.77 (dd, J = 5.0 Hz, J = 2.1 Hz, 1Н), 4.73 (dd, J = 5.0 Hz, J = 2.1 Hz, 1Н), 4.42–4.53 (m, 2Н), 2.12–2.40 (m, 6Н), 1.90–2.04 (m, 6Н), 1.72–1.89 (m, 14Н), 1.68 (d, J = 14.2 Hz, 2Н), 1.33–1.63 (m, 18Н), 1.06–1.32 (m, 26Н), 0.99–1.05 (m, 10Н), 0.93 (d, J = 6.5 Hz, 8Н), 0.89 (d, J = 2.1 Hz, 6Н), 0.88 (d, J = 2.1 Hz, 6Н), 0.69 (s, 6Н) ppm. 13С NMR (125 MHz, CDCl3): δC 153.4 (2C), 143.4 (2С), 140.0, 139.9, 138.6 (2С), 138.2 (2С), 124.0 (2C), 123.4 (2С), 122.3, 122.27, 113.9, 113.8, 74.3, 74.29, 61.1 (2C), 60.2, 60.1, 56.7 (2С), 56.1 (2С), 50.0 (2С), 42.3 (2С), 39.7 (2С), 39.5 (2С), 38.6, 38.4, 37.0, 36.96, 36.6 (2C), 36.2 (2C), 36.1, 35.9, 35.8 (2С), 33.1 (2C), 32.7, 32.6, 31.9 (4C), 28.2 (4С), 28.0 (2С), 26.4 (2C), 26.2, 26.16, 26.1 (2C), 24.3 (2C), 23.8 (2C), 22.8 (2C), 22.6 (2C), 21.0 (2C), 19.4 (2C), 18.7 (2C), 11.9 (2C) ppm. HRMS (ESI-TOF): calcd. for C42H63NO2Na [M + Na]+ 636.4756, found 636.4765.
Сholesteryl(1S*,6R*)-7-(2-(1,3-dioxoisoindolin-2-yl)ethyl)-9-azabicyclo[4.2.1]nona-2,4,7-triene-9-carboxylate equivalent with Сholesteryl (1R*,6S*)-7-(2-(1,3-dioxoisoindolin-2-yl)ethyl)-9-azabicyclo[4.2.1]nona-2,4,7-triene-9-carboxylate (4q): Yield 87% (0.613 g), yellowish solid, m. p. = 127–128 °С, [α]D18—18.7 (c 0.49, CHCl3), exists as two N-(CO)O-cholesteryl rotamers. Rf = 0.56 (petroleum ether/ethyl acetate 2:1). 1Н NMR (500 MHz, CDCl3): δH 7.79–7.84 (m, 4Н), 7.68–7.73 (m, 4Н), 6.19–6.30 (m, 4Н), 5.71–5.84 (m, 4Н), 5.29–5.38 (m, 4Н), 4.96 (d, J = 4.9 Hz, 1Н), 4.93 (d, J = 5.1 Hz, 1Н), 4.75 (d, J = 3.6 Hz, 1Н), 4.71 (d, J = 4.1 Hz, 1Н), 4.39–4.50 (m, 2Н), 3.73–3.89 (m, 4Н), 2.51–2.69 (m, 4Н), 2.12–2.38 (m, 4Н), 1.70–2.03 (m, 10Н), 1.20–1.60 (m, 22Н), 1.03–1.19 (m, 14Н), 0.97–1.02 (m, 10Н), 0.90 (d, J = 6.4 Hz, 8Н), 0.86 (d, J = 1.9 Hz, 6Н), 0.85 (d, J = 2.0 Hz, 6Н), 0.66 (d, J = 2.4 Hz, 6Н) ppm. 13С NMR (125 MHz, CDCl3): δC 168.1 (4C), 153.2 (2C), 139.9 (2С), 138.1 (2С), 137.8 (2С), 134.0 (2C), 133.9 (2C), 132.4, 132.3, 132.0 (4C), 125.0 (2C), 123.6 (2С), 123.2 (4C), 122.3, 122.27, 117.4, 117.3, 74.4, 74.37, 62.2, 62.0, 60.3 (2C), 56.7 (2С), 56.1 (2С), 50.0 (2С), 42.3 (2С), 39.7 (2С), 39.5 (2С), 38.6, 38.4, 37.0 (2C), 36.5 (4C), 36.2 (2C), 35.8 (2C), 31.9 (2C), 31.85 (2C), 28.2 (3С), 28.1, 28.0 (2С), 25.4, 25.3, 24.3 (2C), 23.8 (2C), 22.8 (2C), 22.6 (2C), 21.0 (2C), 19.4 (2C), 18.7 (2C), 11.9 (2C) ppm. HRMS (ESI-TOF): calcd. for C46H60N2O4Na [M + Na]+ 727.4451, found 727.4463.
Сholesteryl (1S*,6R*)-7-(4-(1,3-dioxoisoindolin-2-yl)butyl)-9-azabicyclo[4.2.1]nona-2,4,7-triene-9-carboxylate equivalent with Сholesteryl (1R*,6S*)-7-(4-(1,3-dioxoisoindolin-2-yl)butyl)-9-azabicyclo[4.2.1]nona-2,4,7-triene-9-carboxylate (4r): Yield 95% (0.696 g), yellowish solid, m. p. = 122–123 °С, [α]D18—15 (c 0.49, CHCl3), exists as two N-(CO)O-cholesteryl rotamers. Rf = 0.60 (petroleum ether/ethyl acetate 2:1). 1Н NMR (500 MHz, CDCl3): δH 7.82 (d, J = 2.7 Hz, 4Н), 7.70 (s, 4Н), 6.19–6.33 (m, 4Н), 5.81–5.94 (m, 4Н), 5.32 (s, 2Н), 5.20 (d, J = 10.0 Hz, 2Н), 4.89 (d, J = 4.7 Hz, 1Н), 4.85 (d, J = 4.9 Hz, 1Н), 4.73 (s, 1Н), 4.69 s, 1Н), 4.38–4.49 (m, 2Н), 3.67 (t, J = 6.2 Hz, 4Н), 2.13–2.37 (m, 8Н), 1.61–2.02 (m, 14Н), 1.20–1.60 (m, 26Н), 1.03–1.19 (m, 14Н), 0.93–1.02 (m, 10Н), 0.90 (d, J = 6.2 Hz, 8Н), 0.86 (s, 6Н), 0.85 (s, 6Н), 0.66 (s, 6Н) ppm. 13С NMR (125 MHz, CDCl3): δC 168.3 (4C), 153.3 (2C), 139.9 (2С), 138.4 (2С), 138.2 (2C), 136.7, 136.6, 133.9 (4C), 132.1 (4C), 124.6 (2C), 123.5 (2С), 123.2 (4C), 122.3, 122.25, 116.2, 116.0, 74.4, 74.3, 62.1 (2C), 60.2, 60.16, 56.7 (2С), 56.1 (2С), 50.0 (2С), 42.3 (2С), 39.7 (2С), 39.5 (2С), 38.6, 38.4, 37.6 (2C), 37.0 (2C), 36.5 (2C), 36.2 (2C), 35.8 (2C), 31.9 (4C), 28.2 (2С), 28.1 (4C), 28.0 (2С), 26.3, 26.2, 25.5 (2C), 24.3 (2C), 23.8 (2C), 22.8 (2C), 22.6 (2C), 21.0 (2C), 19.4 (2C), 18.7 (2C), 11.8 (2C) ppm. HRMS (ESI-TOF): calcd. for C48H64N2O4Na [M + Na]+ 755.4764, found 755.4787.
Сholesteryl (1S*,6R*)-7-(naphthalen-1-yl)-9-azabicyclo[4.2.1]nona-2,4,7-triene-9-carboxylate equivalent with Сholesteryl (1R*,6S*)-7-(naphthalen-1-yl)-9-azabicyclo[4.2.1]nona-2,4,7-triene-9-carboxylate (4s): Yield 84% (0.553 g), yellowish solid, m. p. = 123–124 °С, [α]D17—6.7 (c 0.31, CHCl3), exists as two N-(CO)O-cholesteryl rotamers. Rf = 0.55 (petroleum ether/ethyl acetate 5:1). 1Н NMR (500 MHz, CDCl3): δH 8.74 (dd, J = 8.1 Hz, J = 4.1 Hz, 2Н), 8.69 (dd, J = 8.1 Hz, J = 2.4 Hz, 2Н), 8.04 (d, J = 8.0 Hz, 2Н), 7.86 (t, J = 7.5 Hz, 2Н), 7.59–7.72 (m, 6Н), 6.48–6.59 (m, 2Н), 6.05–6.24 (m, 6Н), 5.69–5.74 (m, 2Н), 5.65 (s, 1Н), 5.55 (s, 1Н), 5.36–5.46 (m, 2Н), 5.12–5.16 (m, 1Н), 5.07–5.11 (m, 1Н), 4.59 (s, 2Н), 2.23–2.51 (m, 4Н), 1.81–2.07 (m, 10Н), 1.24–1.72 (m, 22Н), 0.99–1.23 (m, 24Н), 0.96 (s, 8Н), 0.89–0.93 (m, 12Н), 0.71 (d, J = 8.3 Hz, 6Н) ppm. 13С NMR (125 MHz, CDCl3): δC 153.5 (2C), 139.9 (2С), 138.2 (2С), 137.6 (2C), 133.2 (2C), 131.1 (2C), 130.6, 130.3, 129.2, 129.0, 128.6 (2C), 128.0 (2С), 127.0 (2С), 126.9 (2C), 126.7 (2C), 126.3 (2C), 124.8 (2C), 124.5 (2C), 123.0 (2C), 122.5 (2C), 119.4 (2C), 74.7, 74.66, 63.6 (2C), 61.0, 60.8, 56.7 (2С), 56.2 (2С), 50.0 (2С), 42.3 (2С), 39.8 (2С), 39.6 (2С), 38.7, 38.5, 37.1 (2C), 36.6 (2C), 36.2 (2C), 35.8 (2C), 31.9 (4C), 28.3 (4С), 28.1 (2С), 24.3 (2C), 23.9 (2C), 22.9 (2C), 22.6 (2C), 21.1 (2C), 19.4 (2C), 18.8 (2C), 11.9 (2C) ppm. HRMS (ESI-TOF): calcd. for C46H59NO2Na [M + Na]+ 680.4443, found 680.4451.
Сholesteryl (1S*,6R*)-7-(phenanthren-9-yl)-9-azabicyclo[4.2.1]nona-2,4,7-triene-9-carboxylate equivalent with Сholesteryl (1R*,6S*)-7-(phenanthren-9-yl)-9-azabicyclo[4.2.1]nona-2,4,7-triene-9-carboxylate (4t): Yield 79% (0.559 g), yellowish solid, m. p. = 167–168 °С, [α]D18—11.8 (c 0.49, CHCl3), exists as two N-(CO)O-cholesteryl rotamers. Rf = 0.57 (petroleum ether/ethyl acetate 5:1). 1Н NMR (500 MHz, CDCl3): δH 7.97 (d, J = 4.0 Hz, 2Н), 7.78–7.92 (m, 6Н), 7.39–7.57 (m, 10Н), 6.45–6.56 (m, 2Н), 6.02–6.22 (m, 6Н), 5.66 (d, J = 11.3 Hz, 2Н), 5.58 (s, 1Н), 5.48 (s, 1Н), 5.36–5.45 (m, 2Н), 5.11 (s, 1Н), 5.06 (d, J = 2.2 Hz, 1Н), 4.57 (s, 2Н), 2.22–2.49 (m, 4Н), 1.80–2.09 (m, 10Н), 1.24–1.71 (m, 22Н), 0.99–1.24 (m, 24Н), 0.96 (s, 8Н), 0.91 (d, J = 5.6 Hz, 12Н), 0.71 (d, J = 5.5 Hz, 6Н) ppm. 13С NMR (125 MHz, CDCl3): δC 153.5 (2C), 139.9 (2С), 138.1 (2С), 137.6 (2C), 133.7 (2C), 132.8 (4C), 132.2 (2C), 130.7 (2С), 130.6 (2С), 128.4 (2C), 128.3 (2C), 127.0 (2C), 126.4 (4C), 126.0 (4C), 125.4 (2C), 125.1 (2C), 124.8 (2C), 124.4 (2C), 122.4 (2C), 119.4 (2C), 74.7 (2C), 63.6 (2C), 61.0, 60.8, 56.7 (2С), 56.2 (2С), 50.0 (2С), 42.3 (2С), 39.8 (2С), 39.6 (2С), 38.7, 38.5, 37.1 (2C), 36.6 (2C), 36.2 (2C), 35.8 (2C), 31.9 (4C), 28.3 (4С), 28.0 (2С), 24.3 (2C), 23.9 (2C), 22.9 (2C), 22.6 (2C), 21.1 (2C), 19.4 (2C), 18.8 (2C), 11.9 (2C) ppm. HRMS (ESI-TOF): calcd. for C50H61NO2Na [M + Na]+ 730.4600, found 248.4612.
Сholesteryl7,8-bis(hydroxymethyl)-9-azabicyclo[4.2.1]nona-2,4,7-triene-9-carboxylate (6): Yield 80% (0.473 g), white solid, m. p. = 188–189 °С, [α]D18—20.6 (c 0.34, CHCl3), exists as two N-(CO)O-cholesteryl rotamers. Rf = 0.58 (petroleum ether/ethyl acetate 5:1). 1Н NMR (500 MHz, CDCl3): δH 6.29–6.39 (m, 4Н), 5.86–5.95 (m, 4Н), 5.36 (d, J = 7.4 Hz, 2H), 5.09 (dd, J = 9.2 Hz, J = 5.2 Hz, 4Н), 4.41–4.51 (m, 2Н), 4.25–4.34 (m, 8Н), 2.19–2.37 (m, 4Н), 1.92–2.06 (m, 4Н), 1.75–1.91 (m, 6Н), 1.22–1.63 (m, 22Н), 1.06–1.21 (m, 14Н), 0.96–1.05 (m, 10Н), 0.93 (d, J = 6.5 Hz, 8Н), 0.89 (d, J = 2.2 Hz, 6Н), 0.87 (d, J = 2.2 Hz, 6Н), 0.69 (s, 6Н) ppm. 13С NMR (125 MHz, CDCl3): δC 153.6 (2С), 139.7 (2C), 138.8 (2C), 138.7 (2С), 132.9 (2C), 132.6 (2C), 124.7 (2С), 124.6 (2С), 122.6, 122.5, 75.0 (2С), 61.8 (2C), 61.75 (2C), 56.7 (2С), 56.1 (2С), 54.9 (2C), 54.8 (2С), 50.0 (2С), 42.3 (2С), 39.7 (2С), 39.5 (2C), 38.6, 38.4, 37.0, 36.9, 36.5 (2C), 36.2 (2C), 35.8 (2C), 31.9 (2C), 31.86 (2C), 28.2 (2С), 28.17 (2C), 28.0 (2С), 24.3 (2C), 23.9 (2C), 22.8 (2C), 22.6 (2C), 21.0 (2C), 19.4 (2C), 18.7 (2C), 11.9 (2C) ppm. HRMS (ESI-TOF): calcd. for C38H57NO4Na [M + Na]+ 614.4185, found 614.4199.
4. Conclusions
In summary, we synthesized, for the first time, N-carbocholesteroxyazepine and studied its [6π + 2π]-cycloaddition reactions with functionally substituted terminal alkynes and 1,4-butynediol under the action of the Co(acac)2(dppe)/Zn/ZnI2 three-component catalytic system. Our strategy provided a new 9-azabicyclo[4.2.1]nona-2,4,7-triene series bearing, at C-7, a large variety of substituents in high yields (79–95%, 20 examples of feasibility). The synthesized azabicycles possess a high potential for practical application in pharmacology and medicine, as they can be used as key precursors in the targeted search for and development of innovative drugs and other practically significant compounds.
Supplementary Materials
The following are available online: 1D (1H and 13C NMR) and 2D (NOESY, COSY, HSQC, HMBC) spectra of the products synthesized in this work.
Author Contributions
Conceptualization, U.M.D. and V.A.D.; methodology, validation, and execution of chemistry experiments, G.N.K. and V.A.D.; manuscript preparation, G.N.K., V.A.D., and U.M.D. All authors have read and agreed to the published version of the manuscript.
Funding
This work was financially supported by the Russian Science Foundation (grant No. 19-73-10116 ).
Institutional Review Board Statement
Not applicable.
Informed Consent Statement
Not applicable.
Data Availability Statement
The data presented in this study are available in the Supplementary Materials.
Acknowledgments
The structural studies of the synthesized compounds were performed with the use of Collective Usage Centre “Agidel” at the Institute of Petrochemistry and Catalysis of RAS.
Conflicts of Interest
The authors declare no conflict of interest.
References
- Carmichael, W.W.; Biggs, D.F.; Gorham, P.R. Toxicology and pharmacological action of anabaena flos-aquae toxin. Science 1975, 187, 542–544. [Google Scholar] [CrossRef]
- Devlin, J.P.; Edwards, O.E.; Gorham, P.R.; Hunter, N.R.; Pike, R.K.; Stavric, B. Anatoxin-a, a toxic alkaloid from Anabaena flos-aquae NRC-44h. Can. J. Chem. 1977, 55, 1367–1371. [Google Scholar] [CrossRef]
- Huber, C.S. The crystal structure and absolute configuration of 2,9-diacetyl-9-azabicyclo[4,2,1]non-2,3-ene. Acta Crystallogr. Sect. B Struct. Crystallogr. Cryst. Chem. 1972, 28, 2577–2582. [Google Scholar] [CrossRef]
- Anastassiou, A.G.; Cellura, R.P. 9-Azabicyclo[4.2.1]nona-2,4,7-triene and derivatives. J. Org. Chem. 1972, 37, 3126–3129. [Google Scholar] [CrossRef]
- Bates, H.A.; Rapoport, H. Synthesis of anatoxin a via intramolecular cyclization of iminium salts. J. Am. Chem. Soc. 1979, 101, 1259–1265. [Google Scholar] [CrossRef]
- Mansell, H.L. Synthetic approaches to anatoxin-a. Tetrahedron 1996, 52, 6025–6061. [Google Scholar] [CrossRef]
- Oh, C.-Y.; Kim, K.-S.; Ham, W.-H. A formal total synthesis of (±)-anatoxin-a by an intramolecular Pd-catalyzed aminocarbonylation reaction. Tetrahedron Lett. 1998, 39, 2133–2136. [Google Scholar] [CrossRef]
- Trost, B.M.; Oslob, J.D. Asymmetric Synthesis of (−)-Anatoxin-a via an Asymmetric Cyclization Using a New Ligand for Pd-Catalyzed Alkylations. J. Am. Chem. Soc. 1999, 121, 3057–3064. [Google Scholar] [CrossRef]
- Aggarwal, V.K.; Humphries, P.S.; Fenwick, A.A. Formal Asymmetric Synthesis of (+)-Anatoxin-a Using an Enantioselective Deprotonation Strategy on an Eight-Membered Ring. Angew. Chem. Int. Ed. 1999, 38, 1985–1986. [Google Scholar] [CrossRef]
- Wegge, T.; Schwarz, S.; Seitz, G. A new and efficient synthetic route to enantiopure (+)-anatoxin-a from (−)-cocaine hydrochloride. Tetrahedron Asymmetry 2000, 11, 1405–1410. [Google Scholar] [CrossRef]
- Parsons, P.J.; Camp, N.P.; Edwards, N.; Sumoreeah, L.R. Synthesis of (±)-Anatoxin-a and Analogues. Tetrahedron 2000, 56, 309–315. [Google Scholar] [CrossRef]
- Brenneman, J.B.; Martin, S.F. Application of Intramolecular Enyne Metathesis to the Synthesis of Aza[4.2.1]bicyclics: Enantiospecific Total Synthesis of (+)-Anatoxin-a. Org. Lett. 2004, 6, 1329–1331. [Google Scholar] [CrossRef]
- Hjelmgaard, T.; Søtofte, I.; Tanner, D. Total Synthesis of Pinnamine and Anatoxin-a via a Common Intermediate. A Caveat on the Anatoxin-a Endgame. J. Org. Chem. 2005, 70, 5688–5697. [Google Scholar] [CrossRef] [PubMed]
- Wonnacott, S.; Gallagher, T. The Chemistry and Pharmacology of Anatoxin-a and Related Homotropanes with respect to Nicotinic Acetylcholine Receptors. Mar. Drugs 2006, 4, 228–254. [Google Scholar] [CrossRef]
- Hemming, K.; O’Gorman, P.A.; Page, M.I. The synthesis of azabicyclo[4.2.1]nonenes by the addition of a cyclopropenone to 4-vinyl substituted 1-azetines—isomers of the homotropane nucleus. Tetrahedron Lett. 2006, 47, 425–428. [Google Scholar] [CrossRef]
- Takada, N.; Iwatsuki, M.; Suenaga, K.; Uemura, D. Pinnamine, an alkaloidal marine toxin, isolated from Pinna muricata. Tetrahedron Lett. 2000, 41, 6425–6428. [Google Scholar] [CrossRef]
- Kigoshi, H.; Hayashi, N.; Uemura, D. Stereoselective synthesis of pinnamine, an alkaloidal marine toxin from Pinna muricata. Tetrahedron Lett. 2001, 42, 7469–7471. [Google Scholar] [CrossRef]
- Malpass, J.R.; A Hemmings, D.; Wallis, A.L. Synthesis of epibatidine homologues: Homoepibatidine and bis-homoepibatidine. Tetrahedron Lett. 1996, 37, 3911–3914. [Google Scholar] [CrossRef]
- Malpass, J.R.; Hemmings, D.A.; Wallis, A.L.; Fletcher, S.R.; Patel, S. Synthesis and nicotinic acetylcholine-binding properties of epibatidine homologues: Homoepibatidine and dihomoepibatidine. J. Chem. Soc. Perkin Trans. 2001, 1, 1044–1050. [Google Scholar] [CrossRef]
- Kanne, D.B.; Ashworth, D.J.; Cheng, M.T.; Mutter, L.C.; Abood, L.G. Synthesis of the first highly potent bridged nicotinoid 9-Azabicyclo[4.2.1]nona[2,3-c]pyridine (pyrido[3,4-b]homotropane). J. Am. Chem. Soc. 1986, 108, 7864–7865. [Google Scholar] [CrossRef]
- Sharples, C.G.V.; Karig, G.; Simpson, G.L.; Spencer, J.A.; Wright, E.; Millar, N.S.; Wonnacott, S.; Gallagher, T. Synthesis and Pharmacological Characterization of Novel Analogues of the Nicotinic Acetylcholine Receptor Agonist (±)-UB-165. J. Med. Chem. 2002, 45, 3235–3245. [Google Scholar] [CrossRef]
- Wright, E.; Gallagher, T.; Sharples, C.G.; Wonnacott, S. Synthesis of UB-165: A novel nicotinic ligand and anatoxin-a/epibatidine hybrid. Bioorg. Med. Chem. Lett. 1997, 7, 2867–2870. [Google Scholar] [CrossRef]
- Sutherland, A.; Gallagher, T.; Sharples, C.G.V.; Wonnacott, S. Synthesis of Two Fluoro Analogues of the Nicotinic Acetylcholine Receptor Agonist UB-165. J. Org. Chem. 2003, 68, 2475–2478. [Google Scholar] [CrossRef]
- Sharples, C.G.V.; Kaiser, S.; Soliakov, L.; Marks, M.J.; Collins, A.C.; Washburn, M.; Wright, E.; Spencer, J.A.; Gallagher, T.; Whiteaker, P.; et al. UB-165: A Novel Nicotinic Agonist with Subtype Selectivity Implicates the α4β2* Subtype in the Modulation of Dopamine Release from Rat Striatal Synaptosomes. J. Neurosci. 2000, 20, 2783–2791. [Google Scholar] [CrossRef] [PubMed]
- Gohlke, H.; Gündisch, D.; Schwarz, S.; Seitz, G.; Tilotta, M.C.; Wegge, T. Synthesis and Nicotinic Binding Studies on Enantiopure Diazine Analogues of the Novel (2-Chloro-5-pyridyl)-9-azabicyclo[4.2.1]non-2-ene UB-165. J. Med. Chem. 2002, 45, 1064–1072. [Google Scholar] [CrossRef]
- Gündisch, D.; Kämpchen, T.; Schwarz, S.; Seitz, G.; Siegl, J.; Wegge, T. Syntheses and evaluation of pyridazine and pyrimidine Containing bioisosteres of (±)-Pyrido[3.4-b]homotropane and Pyrido-[3.4-b]tropane as novel nAChR ligands. Bioorg. Med. Chem. 2002, 10, 1–9. [Google Scholar] [CrossRef]
- Karig, G.; Large, J.M.; Sharples, C.G.; Sutherland, A.; Gallagher, T.; Wonnacott, S. Synthesis and nicotinic binding of novel phenyl derivatives of UB-Identifying factors associated with α7 selectivity. Bioorg. Med. Chem. Lett. 2003, 13, 2825–2828. [Google Scholar] [CrossRef]
- Gohlke, H.; Schwarz, S.; Gündisch, D.; Tilotta, M.C.; Weber, A.; Wegge, T.; Seitz, G. 3D QSAR Analyses-Guided Rational Design of Novel Ligands for the (α4)2(β2)3Nicotinic Acetylcholine Receptor. J. Med. Chem. 2003, 46, 2031–2048. [Google Scholar] [CrossRef]
- Sardina, F.J.; Howard, M.H.; Koskinen, A.M.P.; Rapoport, H. Chirospecific synthesis of nitrogen and side chain modified analogs of (+)-anatoxin. J. Org. Chem. 1989, 54, 4654–4660. [Google Scholar] [CrossRef]
- Dyakonov, V.A.; Kadikova, G.N.; Dzhemilev, U.M. Transition metal complex-mediated chemistry of 1,3,5-cycloheptatrienes. Russ. Chem. Rev. 2018, 87, 797–820. [Google Scholar] [CrossRef]
- Rigby, J.H.; Ateeq, H.S.; Krueger, A.C. Metal promoted higher-order cycloaddition reactions. A facile entry into substituted eight- and ten-membered carbocycles. Tetrahedron Lett. 1992, 33, 5873–5876. [Google Scholar] [CrossRef]
- Rigby, J.H. Transition metal promoted higher-order cycloaddition reactions in organic synthesis. Acc. Chem. Res. 1993, 26, 579–585. [Google Scholar] [CrossRef]
- Rigby, J.H.; Ateeq, H.S.; Charles, N.R.; Cuisiat, S.V.; Ferguson, M.D.; Henshilwood, J.A.; Krueger, A.C.; Ogbu, C.O.; Short, K.M.; Heeg, M.J. Metal-promoted higher-order cycloaddition reactions. Stereochemical, regiochemical, and mechanistic aspects of the [6.pi. + 4.pi.] reaction. J. Am. Chem. Soc. 1993, 115, 1382–1396. [Google Scholar] [CrossRef]
- Rigby, J.H.; Ateeq, H.S.; Charles, N.R.; Henshilwood, J.A.; Short, K.M.; Sugathapala, P.M. Chromium(0) promoted [6π+2π] cycloaddition reactions. Tetrahedron 1993, 49, 5495–5506. [Google Scholar] [CrossRef]
- Rigby, J.H.; Pigge, F.C. Asymmetric Induction in the Metal-Promoted [6.pi. + 2.pi.] Cycloaddition of Azepines. Application to the Construction of Tropane Alkaloids and the Total Synthesis of (+)-Ferruginine. J. Org. Chem. 1995, 60, 7392–7393. [Google Scholar] [CrossRef]
- Chaffee, K.; Huo, P.; Sheridan, J.B.; Barbieri, A.; Aistars, A.; Lalancette, R.A.; Ostrander, R.L.; Rheingold, A.L. Metal-Mediated [6 + 2] Cycloadditions of Alkynes to Cycloheptatriene and N-Carbethoxyazepine. J. Am. Chem. Soc. 1995, 117, 1900–1907. [Google Scholar] [CrossRef]
- Morkan, I.A. High order cycloaddition reactions of M(CO)3-coordinated N-cyanoazepine with alkynes; M: Cr, Mo, W. J. Organomet. Chem. 2002, 651, 132–136. [Google Scholar] [CrossRef]
- Rigby, J.H.; Kondratenko, M.A.; Fiedler, C. Preparation of a Resin-Based Chromium Catalyst for Effecting [6π + 2π] Cycloaddition Reactions. Org. Lett. 2000, 2, 3917–3919. [Google Scholar] [CrossRef]
- D’Yakonov, V.A.; Kadikova, G.N.; Nasretdinov, R.N.; Dzhemileva, L.U.; Dzhemilev, U.M. Targeted Synthesis of 9-Azabicyclo[4.2.1]nona-2,4,7-trienes by Cobalt(I)-Catalyzed [6π+2π]-Cycloaddition of Alkynes to N -Substituted Azepines and Their Antitumor Activity. Eur. J. Org. Chem. 2020, 2020, 623–626. [Google Scholar] [CrossRef]
- Kadikova, G.N.; D’Yakonov, V.A.; Nasretdinov, R.N.; Dzhemileva, L.U.; Dzhemilev, U.M. Cobalt(I)-catalyzed [6π+2π]-cycloaddition of allenes to N-carbethoxy(phenoxy)azepines for the synthesis of 9-azabicyclo[4.2.1]nona-2,4-dienes. Tetrahedron 2020, 76, 130996. [Google Scholar] [CrossRef]
- Kadikova, G.N.; D’Yakonov, V.A.; Nasretdinov, R.N.; Dzhemileva, L.U.; Dzhemilev, U.M. Synthesis of new alkynyl containing 9-azabicyclo[4.2.1]nonatrienes from diynes and azepines. Mendeleev Commun. 2020, 30, 318–319. [Google Scholar] [CrossRef]
- Nes, W.D. Biosynthesis of Cholesterol and Other Sterols. Chem. Rev. 2011, 111, 6423–6451. [Google Scholar] [CrossRef] [PubMed]
- Mohamed, N.; Elmegeed, G.; Abdel-Malek, H.; Younis, M. Synthesis of biologically active steroid derivatives by the utility of Lawesson’s reagent. Steroids 2005, 70, 131–136. [Google Scholar] [CrossRef] [PubMed]
- Lauro, F.-V.; Maria, L.-R.; Tomas, L.-G.; Francisco, D.C.; Rolando, G.-M.; Marcela, R.-N.; Virginia, M.-A.; Alejandra, G.-E.E.; Yazmin, O.-A. Design and synthesis of two new steroid derivatives with biological activity on heart failure via the M2-muscarinic receptor activation. Steroids 2020, 158, 108620. [Google Scholar] [CrossRef] [PubMed]
- Sribalan, R.; Padmini, V.; Lavanya, A.; Ponnuvel, K. Evaluation of antimicrobial activity of glycinate and carbonate derivatives of cholesterol: Synthesis and characterization. Saudi Pharm. J. 2016, 24, 658–668. [Google Scholar] [CrossRef]
- Brunel, J.; Loncle, C.; Vidal, N.; Dherbomez, M.; Letourneux, Y. Synthesis and antifungal activity of oxygenated cholesterol derivatives. Steroids 2005, 70, 907–912. [Google Scholar] [CrossRef]
- Loncle, C.; Brunel, J.M.; Vidal, N.; Dherbomez, M.; Letourneux, Y. Synthesis and antifungal activity of cholesterol-hydrazone derivatives. Eur. J. Med. Chem. 2004, 39, 1067–1071. [Google Scholar] [CrossRef] [PubMed]
- Schmidt, A.W.; Doert, T.; Goutal, S.; Gruner, M.; Mende, F.; Kurzchalia, T.V.; Knölker, H.-J. Regio- and Stereospecific Synthesis of Cholesterol Derivatives and Their Hormonal Activity inCaenorhabditis elegans. Eur. J. Org. Chem. 2006, 2006, 3687–3706. [Google Scholar] [CrossRef]
- D’Yakonov, V.A.; Dzhemileva, L.U.; Tuktarova, R.A.; Makarov, A.A.; Islamov, I.I.; Mulyukova, A.R.; Dzhemilev, U.M. Catalytic cyclometallation in steroid chemistry III: Synthesis of steroidal derivatives of 5Z,9Z-dienoic acid and investigation of its human topoisomerase I inhibitory activity. Steroids 2015, 102, 110–117. [Google Scholar] [CrossRef]
- D’Yakonov, V.A.; Tuktarova, R.A.; Dzhemileva, L.U.; Ishmukhametova, S.R.; Yunusbaeva, M.M.; Dzhemilev, U.M. Catalytic cyclometallation in steroid chemistry V: Synthesis of hybrid molecules based on steroid oximes and (5Z,9Z)-tetradeca-5,9-dienedioic acid as potential anticancer agents. Steroids 2018, 138, 14–20. [Google Scholar] [CrossRef]
- D’Yakonov, V.A.; Tuktarova, R.A.; Dzhemileva, L.U.; Ishmukhametova, S.R.; Yunusbaeva, M.M.; Dzhemilev, U.M. Catalytic cyclometallation in steroid chemistry VI: Targeted synthesis of hybrid molecules based on steroids and tetradeca-5Z,9Z-diene-1,14-dicarboxylic acid and study of their antitumor activity. Steroids 2018, 138, 6–13. [Google Scholar] [CrossRef] [PubMed]
- D’Yakonov, V.A.; Kadikova, G.N.; Nasretdinov, R.N.; Dzhemilev, U.M. Cobalt(I)-catalyzed [4π+2π] cycloaddition reactions of 1,3-diynes with 1,3,5-cyclooctatriene. Tetrahedron Lett. 2017, 58, 1839–1841. [Google Scholar] [CrossRef]
- D’Yakonov, V.A.; Kadikova, G.N.; Dzhemileva, L.U.; Gazizullina, G.F.; Ramazanov, I.R.; Dzhemilev, U.M. Cobalt-Catalyzed [6 + 2] Cycloaddition of Alkynes with 1,3,5,7-Cyclooctatetraene as a Key Element in the Direct Construction of Substituted Bicyclo[4.3.1]decanes. J. Org. Chem. 2016, 82, 471–480. [Google Scholar] [CrossRef] [PubMed]
- D’Yakonov, V.A.; Kadikova, G.N.; Nasretdinov, R.N.; Dzhemileva, L.U.; Dzhemilev, U.M. The Synthesis of Bicyclo[4.2.1]nona-2,4,7-trienes by [6π + 2π]-Cycloaddition of 1-Substituted 1,3,5-Cycloheptatrienes Catalyzed by Titanium and Cobalt Complexes. J. Org. Chem. 2019, 84, 9058–9066. [Google Scholar] [CrossRef] [PubMed]
- Kadikova, G.N.; Dzhemileva, L.U.; D’Yakonov, V.A.; Dzhemilev, U.M. Synthesis of Functionally Substituted Bicyclo[4.2.1]nona-2,4-dienes and Bicyclo[4.2.1]nona-2,4,7-trienes by Cobalt(I)-catalyzed [6π + 2π] Cycloaddition of 2-Tropylcyclohexanone. ACS Omega 2020, 5, 31440–31449. [Google Scholar] [CrossRef] [PubMed]
- Achard, M.; Tenaglia, A.; Buono, G. First Cobalt(I)-Catalyzed [6 + 2] Cycloadditions of Cycloheptatriene with Alkynes. Org. Lett. 2005, 7, 2353–2356. [Google Scholar] [CrossRef]
- Achard, M.; Mosrin, M.; Tenaglia, A.; Buono, G. Cobalt(I)-Catalyzed [6+2] Cycloadditions of Cyclooctatetra(tri)ene with Alkynes. J. Org. Chem. 2006, 71, 2907–2910. [Google Scholar] [CrossRef] [PubMed]
- Gunther, H. NMR Spectroscopy-An Introduction, 2nd ed.; Wiley–Blackwell: Stuttgart, German, 1980; pp. 343–344. [Google Scholar]
- Cotton, F.A.; Faut, O.D.; Goodgame, D.M.L.; Holm, R.H. Magnetic Investigations of Spin-free Cobaltous Complexes. VI.1 Complexes Containing Phosphines and the Position of Phosphines in the Spectrochemical Series. J. Am. Chem. Soc. 1961, 83, 1780–1785. [Google Scholar] [CrossRef]
- Bell, R.; Cottam, P.D.; Davies, J.; Jones, D.N. Synthesis of alkenyl sulphoxides by intramolecular and intermolecular addition of sulphenic acids to alkynes. J. Chem. Soc. Perkin Trans. 1981, 1, 2106–2115. [Google Scholar] [CrossRef]
- Brandsma, L. Synthesis of Acetylenes, Allenes and Cumulenes: Methods and Techniques; Elsevier Academic Press: Bilthoven, The Netherlands, 2004; p. 470. [Google Scholar]
Publisher’s Note: MDPI stays neutral with regard to jurisdictional claims in published maps and institutional affiliations. |
© 2021 by the authors. Licensee MDPI, Basel, Switzerland. This article is an open access article distributed under the terms and conditions of the Creative Commons Attribution (CC BY) license (https://creativecommons.org/licenses/by/4.0/).







