Bivalent Metal-Chelating Properties of Harzianic Acid Produced by Trichoderma pleuroticola Associated to the Gastropod Melarhaphe neritoides
Abstract
1. Introduction
2. Results and Discussion
2.1. Identification of Strain L1 of Trichoderma pleuroticola Isolated from Melarhaphe neritoides
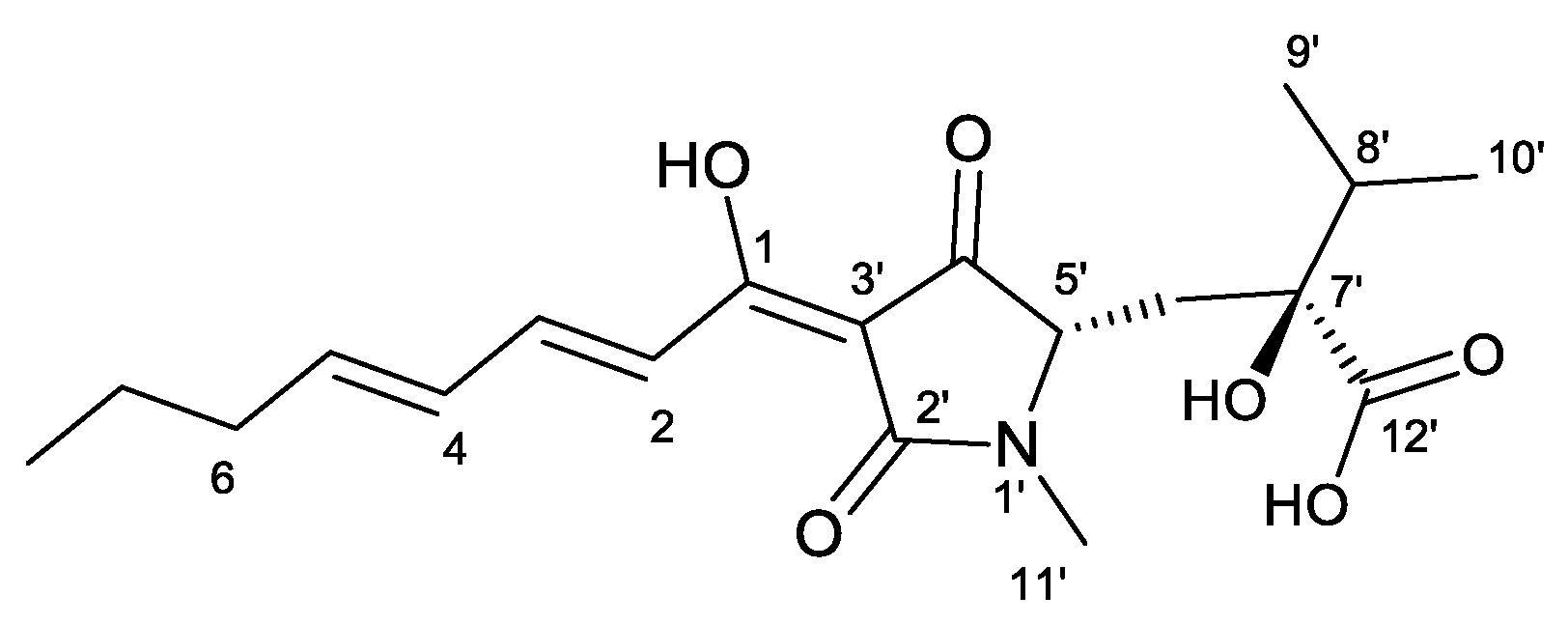
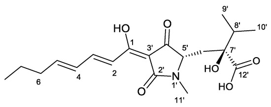
2.2. Isolation and Identification of Harzianic Acid
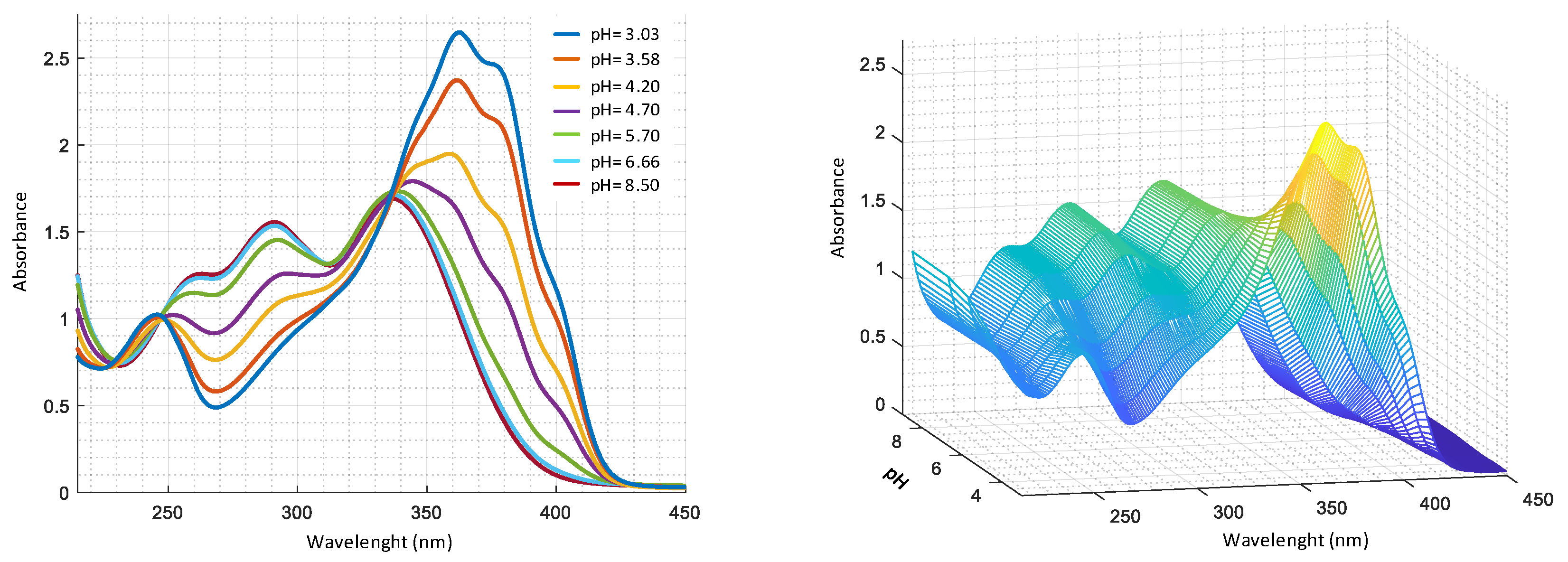
2.3. Determination of Protonation Constants of Harzianic Acid
2.4. Study of Complexation of Harzianic Acid with Metal Cations
2.5. LC-MS and NMR Data
3. Materials and Methods
3.1. Reagents and Their Analysis
3.2. General Experimental Procedures
3.3. Isolation and Identification of Strain L1
3.4. Production of Culture Filtrates and HA extraction
3.5. LC-MS Analysis
3.6. Potentiometric and Spectrophotometric Measurements
4. Conclusions
Supplementary Materials
Author Contributions
Funding
Conflicts of Interest
References
- Harman, G.E.; Howell, C.R.; Viterbo, A.; Chet, I.; Lorito, M. Trichoderma species—Opportunistic, avirulent plant symbionts. Nat. Rev. Microbiol. 2004, 2, 43–56. [Google Scholar] [CrossRef] [PubMed]
- Vinale, F.; Sivasithamparam, K.; Ghisalberti, E.L.; Marra, R.; Woo, S.L.; Lorito, M. Trichoderma–plant–pathogen interactions. Soil Biol. Biochem. 2008, 40, 1–10. [Google Scholar] [CrossRef]
- Kredics, L.; Hatvani, L.; Naeimi, S.; Körmöczi, P.; Manczinger, L.; Vágvölgyi, C.; Druzhinina, I. Biodiversity of the genus Hypocrea/Trichoderma in different habitats. In Biotechnology and Biology of Trichoderma; Gupta, V.K., Schmoll, M., Herrera-Estrella, A., Upadhyay, R.S., Druzhinina, I., Tuohy, M.G., Eds.; Elsevier: Oxford, UK, 2014; pp. 3–24. ISBN 978-0-444-59576-8. [Google Scholar]
- Nicoletti, R.; Vinale, F. Bioactive compounds from marine-derived Aspergillus, Penicillium, Talaromyces and Trichoderma Species. Mar. Drugs 2018, 16, 408. [Google Scholar] [CrossRef] [PubMed]
- Reino, J.L.; Guerrero, R.F.; Hernández-Galán, R.; Collado, I.G. Secondary metabolites from species of the biocontrol agent Trichoderma. Phytochem. Rev. 2008, 7, 89–123. [Google Scholar] [CrossRef]
- Zeilinger, S.; Gruber, S.; Bansal, R.; Mukherjee, P.K. Secondary metabolism in Trichoderma–Chemistry meets genomics. Fungal Biol. Rev. 2016, 30, 74–90. [Google Scholar] [CrossRef]
- Marra, R.; Nicoletti, R.; Pagano, E.; DellaGreca, M.; Salvatore, M.M.; Borrelli, F.; Lombardi, N.; Vinale, F.; Woo, S.L.; Andolfi, A. Inhibitory effect of trichodermanone C, a sorbicillinoid produced by Trichoderma citrinoviride associated to the green alga Cladophora sp., on nitrite production in LPS-stimulated macrophages. Nat. Prod. Res. 2018, 33, 3389–3397. [Google Scholar] [CrossRef]
- Song, Y.P.; Miao, F.P.; Fang, S.T.; Yin, X.L.; Ji, N.Y. Halogenated and nonhalogenated metabolites from the marine-alga-endophytic fungus Trichoderma asperellum cf44-2. Mar. Drugs 2018, 16, 266. [Google Scholar] [CrossRef]
- Meng, J.; Cheng, W.; Heydari, H.; Wang, B.; Zhu, K.; Konuklugil, B.; Lin, W. Sorbicillinoid-based metabolites from a sponge-derived fungus Trichoderma saturnisporum. Mar. Drugs 2018, 16, 226. [Google Scholar] [CrossRef]
- Yamada, T.; Fujii, A.; Kikuchi, T. New diterpenes with a fused 6-5-6-6 ring system isolated from the marine sponge-derived fungus Trichoderma harzianum. Mar. Drugs 2019, 17, 480. [Google Scholar] [CrossRef]
- Salvatore, M.M.; Nicoletti, R.; DellaGreca, M.; Andolfi, A. Occurrence and properties of thiosilvatins. Mar. Drugs 2019, 17, 664. [Google Scholar] [CrossRef]
- Marfori, E.C.; Kajiyama, S.; Fukusaki, E.; Kobayashi, A. Trichosetin, a novel tetramic acid antibiotic produced in dual culture of Trichoderma harzianum and Catharanthus roseus callus. Z. für Naturforschung C J. Biosci. 2002, 57, 465–470. [Google Scholar] [CrossRef] [PubMed]
- Mo, X.; Li, Q.; Ju, J. Naturally occurring tetramic acid products: Isolation, structure elucidation and biological activity. RSC Adv. 2014, 4, 50566–50593. [Google Scholar] [CrossRef]
- Sawa, R.; Mori, Y.; Iinuma, H.; Naganawa, H.; Hamada, M.; Yoshida, S.; Furutani, H.; Kajimura, Y.; Fuwa, T.; Takeuchi, T. Harzianic acid, a new antimicrobial antibiotic from a fungus. J. Antibiot. 1994, 47, 731–732. [Google Scholar] [CrossRef]
- Kang, D.; Kim, J.; Choi, J.N.; Liu, K.H.; Lee, C.H. Chemotaxonomy of Trichoderma spp. using mass spectrometry-based metabolite profiling. J. Microbiol. Biotechnol. 2011, 21, 5–13. [Google Scholar] [CrossRef] [PubMed]
- Vinale, F.; Manganiello, G.; Nigro, M.; Mazzei, P.; Piccolo, A.; Pascale, A.; Ruocco, M.; Marra, R.; Lombardi, N.; Lanzuise, S.; et al. A novel fungal metabolite with beneficial properties for agricultural applications. Molecules 2014, 19, 9760–9772. [Google Scholar] [CrossRef] [PubMed]
- Kawada, M.; Yoshimoto, Y.; Kumagai, H.; Someno, T.; Momose, I.; Kawamura, N.; Isshiki, K.; Ikeda, D. PP2A inhibitors, harzianic acid and related compounds produced by fungus strain F-1531. J. Antibiot. 2004, 57, 235–237. [Google Scholar] [CrossRef]
- Vinale, F.; Nicoletti, R.; Borrelli, F.; Mangoni, A.; Parisi, O.A.; Marra, R.; Lombardi, N.; Lacatena, F.; Grauso, L.; Finizio, S.; et al. Co-culture of plant beneficial microbes as source of bioactive metabolites. Sci. Rep. 2017, 7, 14330. [Google Scholar] [CrossRef]
- Chaverri, P.; Branco-Rocha, F.; Jaklitsch, W.; Gazis, R.; Degenkolb, T.; Samuels, G.J. Systematics of the Trichoderma harzianum species complex and the re-identification of commercial biocontrol strains. Mycologia 2015, 107, 558–590. [Google Scholar] [CrossRef]
- Kubicek, C.P.; Steindorff, A.S.; Chenthamara, K.; Manganiello, G.; Henrissat, B.; Zhang, J.; Cai, F.; Kopchinkiy, A.G.; Kubicek, E.M.; Kuo, A.; et al. Evolution and comparative genomics of the most common Trichoderma species. BMC Genom. 2019, 20, 485. [Google Scholar] [CrossRef]
- Vinale, F.; Flematti, G.; Sivasithamparam, K.; Lorito, M.; Marra, R.; Skelton, B.W.; Ghisalberti, E.L. Harzianic acid, an antifungal and plant growth promoting metabolite from Trichoderma harzianum. J. Nat. Prod. 2009, 72, 2032–2035. [Google Scholar] [CrossRef]
- Healy, A.R.; Vinale, F.; Lorito, M.; Westwood, N.J. Total synthesis and biological evaluation of the tetramic acid based natural product harzianic acid and its stereoisomers. Org. Lett. 2015, 17, 692–695. [Google Scholar] [CrossRef] [PubMed]
- Vinale, F.; Nigro, M.; Sivasithamparam, K.; Flematti, G.; Ghisalberti, E.L.; Ruocco, M.; Varlese, R.; Marra, R.; Lanzuise, S.; Eid, A.; et al. Harzianic acid: A novel siderophore from Trichoderma harzianum. FEMS Microbiol. Let. 2013, 347, 123–129. [Google Scholar] [CrossRef] [PubMed]
- Zaghouani, M.; Nay, B. 3-Acylated tetramic and tetronic acids as natural metal binders: Myth or reality? Nat. Prod. Rep. 2016, 33, 540–548. [Google Scholar] [CrossRef]
- Hood, M.I.; Skaar, E.P. Nutritional immunity: Transition metals at the pathogen–host interface. Nat. Rev. Microbiol. 2012, 10, 525–537. [Google Scholar] [CrossRef] [PubMed]
- Błaszczyk, L.; Siwulski, M.; Sobieralski, K.; Frużyńska-Jóźwiak, D. Diversity of Trichoderma spp. causing Pleurotus green mould diseases in Central Europe. Folia Microbiol. 2013, 58, 325–333. [Google Scholar] [CrossRef] [PubMed]
- Park, M.S.; Bae, K.S.; Yu, S.H. Two new species of Trichoderma associated with green mold of oyster mushroom cultivation in Korea. Mycobiology 2006, 34, 111–113. [Google Scholar] [CrossRef] [PubMed]
- Korkmaz, M.N.; Ozdemir, S.C.; Uzel, A. Xylanase production from marine derived Trichoderma pleuroticola 08ÇK001 strain isolated from Mediterranean coastal sediments. J. Basic Microbiol. 2017, 57, 839–851. [Google Scholar] [CrossRef]
- McConnell, H. Effect of polar solvents on the absorption frequency of n→ π electronic transitions. J. Chem. Phys. 1952, 20, 700–704. [Google Scholar] [CrossRef]
- Banerjee, S.; Bhanja, S.K.; Chattopadhyay, P.K. Quantum chemical predictions of aqueous pKa values for OH groups of some α-hydroxycarboxylic acids based on ab initio and DFT calculations. Comput. Theor. Chem. 2018, 1125, 29–38. [Google Scholar] [CrossRef]
- Martell, A.E.; Hancock, R.D. Metal Complexes in Aqueous Solutions, Modern Inorganic Chemistry; Springer: New York, NY, USA, 1996; ISBN 978-1-4899-1488-0. [Google Scholar]
- Rochester, C.H. The ionic products of water and methanol in methanol–water mixtures. J. Chem. Soc. Dalton Trans. 1972, 1, 5–8. [Google Scholar] [CrossRef]
- Gans, P.; Sabatini, A.; Vacca, A. Investigation of equilibria in solution. Determination of equilibrium constants with the HYPERQUAD suite of programs. Talanta 1996, 43, 1739–1753. [Google Scholar] [CrossRef]
- Ghisalberti, E.L. Bioactive tetramic acid metabolites. In Studies in Natural Products Chemistry; Atta-ur, R., Ed.; Elsevier: Oxford, UK, 2003; Volume 28, pp. 109–163. [Google Scholar]
- Hutchinson, D.W. Metal chelators as potential antiviral agents. Antivir. Res. 1985, 5, 193–205. [Google Scholar] [CrossRef]
Sample Availability: Sample of harzianic acid is.available from the authors. |











| Equilibria | Dissociation of Acid Group | Spectrophotometry | Potentiometry |
|---|---|---|---|
| H2L + H2O = HL− + H3O+ | R-COO− | 4.08 ± 0.02 | 4.00 ± 0.09 |
| HL− + H2O = L2− + H3O+ | ![]() | 5.63 ± 0.08 | 5.9 ± 0.2 |
| Me2+ | Equilibria | log (cost.eq.) ± 3σ * |
|---|---|---|
| Cu2+ | Cu2+ + L2− = CuL | 9.26 ± 0.08 |
| Cu2+ + 2 L2− = CuL22+ | 15.82 ± 0.05 | |
| Zn2+ | Zn2+ + 2 L2− = ZnL22+ | 14.42 ± 0.06 |
| Mn2+ | Mn2+ + 2 L2− = MnL22+ | 11.96 ± 0.09 |
| Fe2+ | Fe2+ + 2 HL− = Fe(HL)2 | 13.20 ± 0.04 |
| Fe2+ + 2 L2− = FeL22+ | 10.22 ± 0.07 |
| Ion | Experimental Mass | Formula | Exact Mass |
|---|---|---|---|
| Harzianic acid: Cu(ClO4)2 | |||
| [M + H]+ | 366.1921 | C19H28NO6 | 366.1917 |
| [M + Na]+ | 388.1730 | C19H27NO6Na | 388.1736 |
| [M – H + Cu]+ | 427.1057 | C19H26NO6Cu | 427.1056 |
| [M + Cu + ClO4]+ | 527.0619 | C19H27NO10CuCl | 527.0619 |
| [2M – H + Cu]+ | 792.2880 | C38H53N2O12Cu | 792.2895 |
| Harzianic Acid: MnCl2 | |||
| [M + H]+ | 366.1908 | C19H28NO6 | 366.1917 |
| [M + Na]+ | 388.1728 | C19H27NO6Na | 388.1736 |
| [2M + Na]+ | 753.3549 | C38H54N2O12Na | 753.3574 |
| [2M – H + Mn]+ | 784.2952 | C38H53N2O12Mn | 784.2979 |
| Harzianic Acid: Zn(ClO4)2 | |||
| [M + H]+ | 366.1922 | C19H28NO6 | 366.1917 |
| [M + Na]+ | 388.1738 | C19H27NO6Na | 388.1736 |
| [M + Zn + ClO4]+ | 528.0612 | C19H27NO10ZnCl | 528.0615 |
| [2M – H + Zn]+ | 793.2886 | C38H53N2O12Zn | 793.2890 |
© 2020 by the authors. Licensee MDPI, Basel, Switzerland. This article is an open access article distributed under the terms and conditions of the Creative Commons Attribution (CC BY) license (http://creativecommons.org/licenses/by/4.0/).
Share and Cite
De Tommaso, G.; Salvatore, M.M.; Nicoletti, R.; DellaGreca, M.; Vinale, F.; Bottiglieri, A.; Staropoli, A.; Salvatore, F.; Lorito, M.; Iuliano, M.; et al. Bivalent Metal-Chelating Properties of Harzianic Acid Produced by Trichoderma pleuroticola Associated to the Gastropod Melarhaphe neritoides. Molecules 2020, 25, 2147. https://doi.org/10.3390/molecules25092147
De Tommaso G, Salvatore MM, Nicoletti R, DellaGreca M, Vinale F, Bottiglieri A, Staropoli A, Salvatore F, Lorito M, Iuliano M, et al. Bivalent Metal-Chelating Properties of Harzianic Acid Produced by Trichoderma pleuroticola Associated to the Gastropod Melarhaphe neritoides. Molecules. 2020; 25(9):2147. https://doi.org/10.3390/molecules25092147
Chicago/Turabian StyleDe Tommaso, Gaetano, Maria Michela Salvatore, Rosario Nicoletti, Marina DellaGreca, Francesco Vinale, Assunta Bottiglieri, Alessia Staropoli, Francesco Salvatore, Matteo Lorito, Mauro Iuliano, and et al. 2020. "Bivalent Metal-Chelating Properties of Harzianic Acid Produced by Trichoderma pleuroticola Associated to the Gastropod Melarhaphe neritoides" Molecules 25, no. 9: 2147. https://doi.org/10.3390/molecules25092147
APA StyleDe Tommaso, G., Salvatore, M. M., Nicoletti, R., DellaGreca, M., Vinale, F., Bottiglieri, A., Staropoli, A., Salvatore, F., Lorito, M., Iuliano, M., & Andolfi, A. (2020). Bivalent Metal-Chelating Properties of Harzianic Acid Produced by Trichoderma pleuroticola Associated to the Gastropod Melarhaphe neritoides. Molecules, 25(9), 2147. https://doi.org/10.3390/molecules25092147


