Isofraxidin: Synthesis, Biosynthesis, Isolation, Pharmacokinetic and Pharmacological Properties
Abstract
1. Introduction
2. Isofraxidin
2.1. Natural Sources
2.2. Isolation and Purification
2.3. Identification and Structure Elucidation
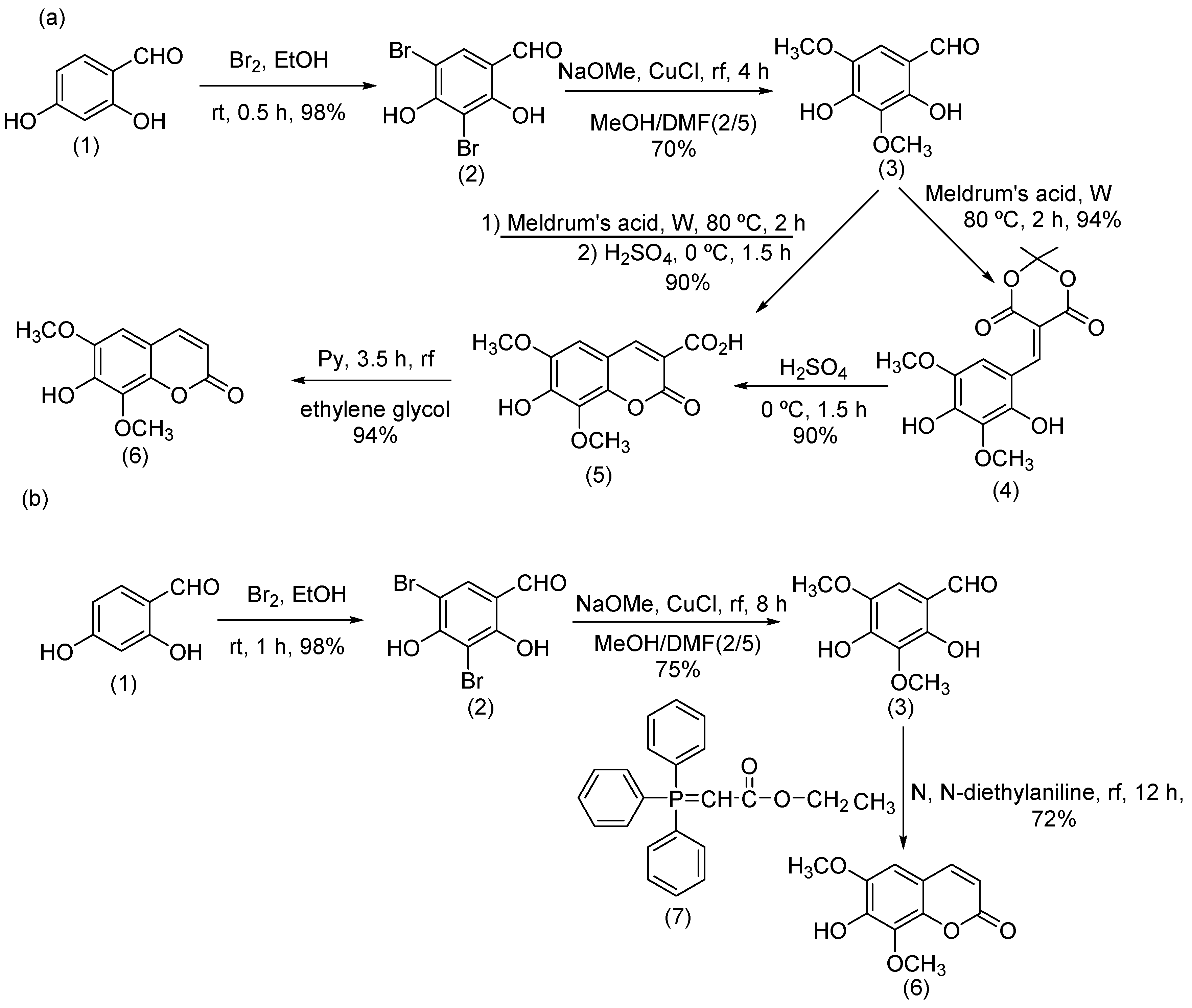
2.4. Synthesis and Biosynthesis
2.5. Pharmacokinetic Studies
3. Pharmacological Properties of IF: Biological Activities and Therapeutic Potentials
3.1. Anti-Inflammatory Effects
3.2. Antioxidant Activity
3.3. Anticancer and Cytotoxic Activities
3.4. Cardioprotective Effects
3.5. Neuroprotective Effects
3.6. Miscellaneous Effects
4. Conclusions
Author Contributions
Funding
Conflicts of Interest
Abbreviations
| ACE | angiotensin converting enzyme |
| ADAMTS | thrombospondin motifs |
| AUC | area under the curve |
| B16F10 | a melanin content in murine melanoma cell line |
| c-JNK | c-Jun N-terminal kinase |
| Cmax | maximum plasma concentration |
| COX-2 | cyclooxygenase-2 |
| CYP | cytochrome P450 |
| DPPH | 2, 2-diphenyl-1-picrylhydrazyl |
| ERK1/2 | extracellular signal-regulated protein kinases 1 and 2 |
| EtOAc | ethyl acetate |
| EtOH | ethanol |
| HepG2 | a human hepatoma cell line |
| Hex | hexane |
| HFD | high-fat diet |
| HL60 | lymphoma cell lines |
| HLE | a human hepatoma cell line |
| HPLC | high-performance liquid chromatography |
| HSCCC | high-speed countercurrent chromatography |
| HT-29 | a human colon cancer cell line |
| HuH-7 | a human hepatoma cell |
| i.p. | Intraperitoneal injection |
| IF | Isofraxidin, IFG |
| IFG | IF 7-O-(6′-O-p-coumaroyl)-β-glucopyranoside |
| IL-1β | interleukin-1β |
| iNOS | inducible nitric oxide synthase |
| IR | infrared spectroscopy |
| IκBα | inhibitory kappa B |
| KB | a human mouth epidermal carcinoma cell line |
| LPS | lipopolysaccharide |
| MAPKs | mitogen-activated protein kinases |
| MCAE | mechanochemically assisted extraction |
| MCF-7 | a human breast adenocarcinoma cell line |
| MD-2 | myeloid differentiation protein-2 |
| MDA-MB-231 | a human breast adenocarcinoma cell line |
| MeOH | methanol |
| MMPs | matrix metalloproteinases |
| Molt-4 | a lymphoma cell line |
| MS | Mass spectroscopy |
| NF-κB | nuclear factor kappa B |
| NMR | nuclear magnetic resonance |
| NO | nitric oxide |
| P388 | a murine leukemia cell line |
| PGE2 | prostaglandin E2 |
| ROS | reactive oxygen species |
| SW982 | human synovial sarcoma cells |
| t1/2 | half-life |
| TLRs | toll-like receptors |
| Tmax | time of reaching to maximum plasma concentration |
| TNF-α | tumor necrosis factor-α |
| U937 | a lymphoma cell line |
| UGT | UDP-glucuronosyltransferas |
| W | water |
| TLRs | toll-like receptors |
| Tmax | time of reaching to maximum plasma concentration |
| TNF-α | tumor necrosis factor-α |
| U937 | a lymphoma cell line |
| UGT | UDP-glucuronosyltransferas |
| W | water |
References
- Pan, L.; Chai, H.; Kinghorn, A.D. The continuing search for antitumor agents from higher plants. Phytochem. Lett. 2010, 3, 1–8. [Google Scholar] [CrossRef]
- Bourgaud, F.; Hehn, A.; Larbat, R.; Doerper, S.; Gontier, E.; Kellner, S.; Matern, U. Biosynthesis of coumarins in plants: A major pathway still to be unravelled for cytochrome P450 enzymes. Phytochem. Rev. 2006, 5, 293–308. [Google Scholar] [CrossRef]
- Kai, K.; Shimizu, B.-I.; Mizutani, M.; Watanabe, K.; Sakata, K. Accumulation of coumarins in Arabidopsis thaliana. Phytochemistry 2006, 67, 379–386. [Google Scholar] [CrossRef]
- Majnooni, M.B.; Fakhri, S.; Smeriglio, A.; Trombetta, D.; Croley, C.R.; Bhattacharyya, P.; Sobarzo-Sánchez, E.; Farzaei, M.H.; Bishayee, A. Antiangiogenic Effects of Coumarins against Cancer: From Chemistry to Medicine. Molecules 2019, 24, 4278. [Google Scholar] [CrossRef]
- Murray, R. Naturally occurring plant coumarins. In Fortschritte der Chemie Organischer Naturstoffe/Progress in the Chemistry of Organic Natural Products; Springer: Vienna, Austria, 1978; pp. 199–429. [Google Scholar]
- Ribeiro, C.V.C.; Kaplan, M.A.C. Tendências evolutivas de famílias produtoras de cumarinas em Angiospermae. Química Nova 2002, 25, 533–538. [Google Scholar] [CrossRef]
- Mazimba, O. Umbelliferone: Sources, chemistry and bioactivities review. Bull. Fac. Pharm. Cairo Univ. 2017, 55, 223–232. [Google Scholar] [CrossRef]
- Lamnaouer, D. Anticoagulant activity of coumarins from Ferula communis L. Therapie 1999, 54, 747–751. [Google Scholar]
- Kostova, I.; Bhatia, S.; Grigorov, P.; Balkansky, S.; Parmar, V.S.; Prasad, A.K.; Saso, L. Coumarins as antioxidants. Curr. Med. Chem. 2011, 18, 3929–3951. [Google Scholar] [CrossRef]
- Liang, C.; Ju, W.; Pei, S.; Tang, Y.; Xiao, Y. Pharmacological activities and synthesis of esculetin and its derivatives: A mini-review. Molecules 2017, 22, 387. [Google Scholar] [CrossRef]
- Mismisuraya, M.; Alwi, S.; Chua, L.; Mustaffa, A. Review of hepatoprotective agents in herbs. J. Eng. Sci. Technol. 2015, 10, 14–24. [Google Scholar]
- Prabakaran, D.; Ashokkumar, N. Antihyperglycemic effect of esculetin modulated carbohydrate metabolic enzymes activities in streptozotocin induced diabetic rats. J. Funct. Foods 2012, 4, 776–783. [Google Scholar] [CrossRef]
- Molina-Jiménez, M.A.F.; Sánchez-Reus, M.A.I.; Andres, D.; Cascales, M.A.; Benedi, J. Neuroprotective effect of fraxetin and myricetin against rotenone-induced apoptosis in neuroblastoma cells. Brain Res. 2004, 1009, 9–16. [Google Scholar] [CrossRef] [PubMed]
- Monsef-Esfahani, H.R.; Amini, M.; Goodarzi, N.; Saiedmohammadi, F.; Hajiaghaee, R.; Faramarzi, M.A.; Tofighi, Z.; Ghahremani, M.H. Coumarin compounds of Biebersteinia multifida roots show potential anxiolytic effects in mice. Daru J. Pharm. Sci. 2013, 21, 51. [Google Scholar] [CrossRef] [PubMed]
- Capra, J.C.; Cunha, M.P.; Machado, D.G.; Zomkowski, A.D.; Mendes, B.G.; Santos, A.R.S.; Pizzolatti, M.G.; Rodrigues, A.L.S. Antidepressant-like effect of scopoletin, a coumarin isolated from Polygala sabulosa (Polygalaceae) in mice: Evidence for the involvement of monoaminergic systems. Eur. J. Pharmacol. 2010, 643, 232–238. [Google Scholar] [CrossRef]
- Céspedes, C.L.; Avila, J.G.; Martínez, A.; Serrato, B.; Calderón-Mugica, J.C.; Salgado-Garciglia, R. Antifungal and antibacterial activities of Mexican tarragon (Tagetes lucida). J. Agric. Food Chem. 2006, 54, 3521–3527. [Google Scholar] [CrossRef]
- Kadakol, A.; Pandey, A.; Goru, S.K.; Malek, V.; Gaikwad, A.B. Insulin sensitizing and cardioprotective effects of Esculetin and Telmisartan combination by attenuating Ang II mediated vascular reactivity and cardiac fibrosis. Eur. J. Pharmacol. 2015, 765, 591–597. [Google Scholar] [CrossRef]
- Pereira, T.M.; Franco, D.P.; Vitorio, F.; Kummerle, A.E. Coumarin compounds in medicinal chemistry: Some important examples from the last years. Curr. Top. Med. Chem. 2018, 18, 124–148. [Google Scholar] [CrossRef]
- Kostova, I.; Iossifova, T. Chemical components of Fraxinus species. Fitoterapia 2007, 78, 85–106. [Google Scholar] [CrossRef]
- Maggio, A.; Rosselli, S.; Brancazio, C.L.; Spadaro, V.; Raimondo, F.M.; Bruno, M. Metabolites from the aerial parts of the Sicilian population of Artemisia alba. Nat. Prod. Commun. 2013, 8, 1934578X1300800301. [Google Scholar] [CrossRef]
- Mendez, J. Isofraxidin in Erica flowers. Phytochemistry 1978, 17, 820. [Google Scholar] [CrossRef]
- Sham’yanov, I.; Mallabaev, A.; Sidyakin, G. Components of Achillea filipendulina. Chem. Nat. Compd. 1974, 10, 804. [Google Scholar] [CrossRef]
- Zulet, M.; Navas-Carretero, S.; y Sánchez, D.L.; Abete, I.; Flanagan, J.; Issaly, N.; Fanca-Berthon, P.; Bily, A.; Roller, M.; Martinez, J. A Fraxinus excelsior L. seeds/fruits extract benefits glucose homeostasis and adiposity related markers in elderly overweight/obese subjects: A longitudinal, randomized, crossover, double-blind, placebo-controlled nutritional intervention study. Phytomedicine 2014, 21, 1162–1169. [Google Scholar] [CrossRef] [PubMed]
- Guo, S.; Wei, H.; Li, J.; Fan, R.; Xu, M.; Chen, X.; Wang, Z. Geographical distribution and environmental correlates of eleutherosides and isofraxidin in Eleutherococcus senticosus from natural populations in forests at Northeast China. Forests 2019, 10, 872. [Google Scholar] [CrossRef]
- Huang, H.-Y.; Ko, H.-H.; Jin, Y.-J.; Yang, S.-Z.; Shih, Y.-A.; Chen, I.-S. Dihydrochalcone glucosides and antioxidant activity from the roots of Anneslea fragrans var. lanceolata. Phytochemistry 2012, 78, 120–125. [Google Scholar] [CrossRef] [PubMed]
- Chen, G.; Song, X.; Lin, D.; Xu, P. Isofraxidin Alleviates Myocardial Infarction Through NLRP3 Inflammasome Inhibition. Inflammation 2020, 43, 712–721. [Google Scholar] [CrossRef]
- Li, J.; Li, X.; Li, Z.; Zhang, L.; Liu, Y.; Ding, H.; Yin, S. Isofraxidin, a coumarin component improves high-fat diet induced hepatic lipid homeostasis disorder and macrophage inflammation in mice. Food Funct. 2017, 8, 2886–2896. [Google Scholar] [CrossRef]
- Jin, J.; Yu, X.; Hu, Z.; Tang, S.; Zhong, X.; Xu, J.; Shang, P.; Huang, Y.; Liu, H. Isofraxidin targets the TLR4/MD-2 axis to prevent osteoarthritis development. Food Funct. 2018, 9, 5641–5652. [Google Scholar] [CrossRef]
- Steinberg, K.M.; Shrestha, S.; Dosoky, N.S.; Monzote, L.; Piñón, A.; Haber, W.A.; Setzer, W.N. Cytotoxic and antileishmanial components from the bark extract of Ruyschia phylladenia from Monteverde, Costa Rica. Nat. Prod. Commun. 2017, 12, 1934578X1701200101. [Google Scholar] [CrossRef]
- He, Y.; Wang, Y.; Zhang, X.; Zheng, Z.; Liu, S.; Xing, J.; Liu, Z.; Zhou, H. Chemical characterization of small-molecule inhibitors of Monoamine oxidase B synthesized by the Acanthopanax senticosus root with affinity ultrafiltration-mass spectrometry. Rapid Commun. Mass Spectrom. 2019, 34, e8694. [Google Scholar] [CrossRef]
- Nakamura, T.; Kodama, N.; Oda, M.; Tsuchiya, S.; Arai, Y.; Kumamoto, T.; Ishikawa, T.; Ueno, K.; Yano, S. The structure–activity relationship between oxycoumarin derivatives showing inhibitory effects on iNOS in mouse macrophage RAW264. 7 cells. J. Nat. Med. 2009, 63, 15–20. [Google Scholar] [CrossRef]
- Niu, X.; Xing, W.; Li, W.; Fan, T.; Hu, H.; Li, Y. Isofraxidin exhibited anti-inflammatory effects in vivo and inhibited TNF-α production in LPS-induced mouse peritoneal macrophages in vitro via the MAPK pathway. Int. Immunopharmacol. 2012, 14, 164–171. [Google Scholar] [CrossRef] [PubMed]
- Liu, L.; Mu, Q.; Li, W.; Xing, W.; Zhang, H.; Fan, T.; Yao, H.; He, L. Isofraxidin protects mice from LPS challenge by inhibiting pro-inflammatory cytokines and alleviating histopathological changes. Immunobiology 2015, 220, 406–413. [Google Scholar] [CrossRef] [PubMed]
- Li, P.; Zhao, Q.-L.; Wu, L.-H.; Jawaid, P.; Jiao, Y.-F.; Kadowaki, M.; Kondo, T. Isofraxidin, a potent reactive oxygen species (ROS) scavenger, protects human leukemia cells from radiation-induced apoptosis via ROS/mitochondria pathway in p53-independent manner. Apoptosis 2014, 19, 1043–1053. [Google Scholar] [CrossRef]
- Liu, Y.; Xu, Y.; Jin, L. Application of mechanochemistry-assisted treatment to aqueous extraction of isofraxidin from Acanthopanax senticosus. Химия в Интересах Устойчивого Развития 2007, 15, 189–195. [Google Scholar]
- Xiao, X.; Guo, Z.; Deng, J.; Li, G. Separation and purification of isofraxidin from Sarcandra glabra by microwave-assisted extraction coupled with high-speed counter-current chromatography. Sep. Purif. Technol. 2009, 68, 250–254. [Google Scholar] [CrossRef]
- Shumin, L.; Bo, T.; Fang, L.; Zhenqun, F.; Shihui, Z. Pharmacokinetics of isofraxidin in extracellular fluids of striatum in rats using microdialysis-uplc method. World Sci. Technol. 2012, 14, 1206–1210. [Google Scholar] [CrossRef]
- Chen, Y.-C.; Chen, P.-Y.; Wu, C.-C.; Chen, I.-S. Chemical constituents and anti-platelet aggregation activity from the root of Peucedanum formosanum. J. Food Drug Anal. 2008, 16, 15–25. [Google Scholar]
- Takemoto, T.; Uchida, M.; Koike, K.; Hoshina, Y.; Kusano, G. Studies on the Constituents of Chloranthus spp. I. The Structures of Two New Amides from Chloranthus serratus and the Isolation of Isofraxidin from C. japonicus. Chem. Pharm. Bull. 1975, 23, 1161–1163. [Google Scholar] [CrossRef]
- Wang, X.-X.; Zhang, H.-J.; Li, D.; Wang, K.-W. Coumarin and Flavone Constituents of Chimonanthus salicifolius with Antioxidant Activities. Chem. Nat. Compd. 2019, 55, 534–537. [Google Scholar] [CrossRef]
- Schmersahl, P. Über das vorkommen von cumarin–derivaten im kraut von Artemisia abrotanum L. Planta Med. 1966, 14, 179–183. [Google Scholar] [CrossRef]
- Späth, E. Die natürlichen Cumarine. Ber. Der Dtsch. Chem. Ges. (A B Ser.) 1937, 70, A83–A117. [Google Scholar]
- Buathong, R.; Chamchumroon, V.; Schinnerl, J.; Bacher, M.; Santimaleeworagun, W.; Kraichak, E.; Vajrodaya, S. Chemovariation and antibacterial activity of extracts and isolated compounds from species of Ixora and Greenea (Ixoroideae, Rubiaceae). PeerJ 2019, 7, e6893. [Google Scholar] [CrossRef]
- Hofer, O.; Greger, H. Naturally occurring sesquiterpene-coumarin ethers, VI. New sesquiterpene-isofraxidin ethers from Achillea depressa. Mon. Für Chem. Chem. Mon. 1984, 115, 477–483. [Google Scholar] [CrossRef]
- Huang, L.; Zhao, H.; Huang, B.; Zheng, C.; Peng, W.; Qin, L. Acanthopanax senticosus: Review of botany, chemistry and pharmacology. Die Pharm. Int. J. Pharm. Sci. 2011, 66, 83–97. [Google Scholar]
- Wu, M.-D.; Cheng, M.-J.; Lin, R.-J.; Chan, H.-Y.; Hsieh, S.-Y.; Chang, H.-S.; Lin, C.-L.; Chen, J.-J. Chemcial Constituents of the Fungus Biscogniauxia cylindrospora. Chem. Nat. Compd. 2019, 55, 924–926. [Google Scholar] [CrossRef]
- Li, Q.; Jia, Y.; Xu, L.; Wang, X.; Shen, Z.; Liu, Y.; Bi, K. Simultaneous Determination of Protocatechuic Acid, Syringin, Chlorogenic Acid, Caffeic Acid, Liriodendrin and Isofraxidin in Acanthopanax senticosus H ARMS by HPLC-DAD. Biol. Pharm. Bull. 2006, 29, 532–534. [Google Scholar] [CrossRef]
- Trifunović, S.; Vajs, V.; Juranić, Z.; Žižak, Ž.; Tešević, V.; Macura, S.; Milosavljević, S. Cytotoxic constituents of Achillea clavennae from Montenegro. Phytochemistry 2006, 67, 887–893. [Google Scholar] [CrossRef]
- Gréger, H.; Hofer, O.; Robien, W. New sesquiterpene coumarin ethers from Achillea ochroleuca. 13C-NMR of isofraxidin-derived open-chain, and bicyclic sesquiterpene ethers. J. Nat. Prod. 1983, 46, 510–516. [Google Scholar] [CrossRef]
- Hu, H.-B.; Zheng, X.-D.; Jian, Y.-F.; Liu, J.-X.; Zhu, J.-H. Constituents of the root of Anemone tomentosa. Arch. Pharmacal Res. 2011, 34, 1097. [Google Scholar] [CrossRef]
- Deng, G.; Gui, Z.; Yang, X. Chemical constituents from polarity part in roots of Angelica dahurica var. formosana cv. Chuanbaizhi. Zhongguo Zhong Yao Za Zhi Zhongguo Zhongyao Zazhi China J. Chin. Mater. Med. 2015, 40, 3805–3810. [Google Scholar]
- Simaratanamongkol, A.; Umehara, K.; Noguchi, H.; Panichayupakaranant, P. Identification of a new angiotensin-converting enzyme (ACE) inhibitor from Thai edible plants. Food Chem. 2014, 165, 92–97. [Google Scholar] [CrossRef] [PubMed]
- Chen, M.; Liu, F. Sedative chemical constituents of leaves of Apocynum venetum Linn. Zhongguo Zhong Yao Za Zhi Zhongguo Zhongyao Zazhi China J. Chin. Mater. Med. 1991, 16, 609–611, 640. [Google Scholar]
- Sisó-Terraza, P.; Luis-Villarroya, A.; Fourcroy, P.; Briat, J.-F.; Abadía, A.; Gaymard, F.; Abadía, J.; Álvarez-Fernández, A. Accumulation and secretion of coumarinolignans and other coumarins in Arabidopsis thaliana roots in response to iron deficiency at high pH. Front. Plant Sci. 2016, 7, 1711. [Google Scholar] [CrossRef] [PubMed]
- Okada, Y.; Miyauchi, N.; Suzuki, K.; Kobayashi, T.; Tsutsui, C.; Mayuzumi, K.; Nishibe, S.; Okuyama, T. Search for naturally occurring substances to prevent the complications of diabetes. II. Inhibitory effect of coumarin and flavonoid derivatives on bovine lens aldose reductase and rabbit platelet aggregation. Chem. Pharm. Bull. 1995, 43, 1385–1387. [Google Scholar] [CrossRef] [PubMed]
- Rashid, M.U.; Alamzeb, M.; Ali, S.; Shah, Z.A.; Naz, I.; Khan, A.A.; Semaan, D.; Khan, M.R. A new irregular monoterpene acetate along with eight known compounds with antifungal potential from the aerial parts of Artemisia incisa Pamp (Asteraceae). Nat. Prod. Res. 2017, 31, 428–435. [Google Scholar] [CrossRef]
- Cubukcu, B.; Bray, D.; Warhurst, D.; Mericli, A.; Ozhatay, N.; Sariyar, G. In vitro antimalarial activity of crude extracts and compounds from Artemisia abrotanum L. Phytother. Res. 1990, 4, 203–204. [Google Scholar] [CrossRef]
- Kwak, J.H.; Lee, K.B.; Schmitz, F.J. Four New Coumarin Derivatives from Artemisia keiskeana. J. Nat. Prod. 2001, 64, 1081–1083. [Google Scholar] [CrossRef]
- Cho, J.-Y.; Jeong, S.-J.; La Lee, H.; Park, K.-H.; Park, S.-Y.; Lee, Y.G.; Moon, J.-H.; Ham, K.-S. Sesquiterpene lactones and scopoletins from Artemisia scoparia Waldst. & Kit. and their angiotensin I-converting enzyme inhibitory activities. Food Sci. Biotechnol. 2016, 25, 1701–1708. [Google Scholar]
- Kim, A.R.; Ko, H.J.; Chowdhury, M.A.; Chang, Y.-S.; Woo, E.-R. Chemical constituents on the aerial parts of Artemisia selengensis and their IL-6 inhibitory activity. Arch. Pharmacal Res. 2015, 38, 1059–1065. [Google Scholar] [CrossRef]
- Panjchayupakaranant, P.; Noguchi, H.; De-Eknamkul, W.; Sankawa, U. Naphthoquinones and coumarins from Impatiens balsamina root cultures. Phytochemistry 1995, 40, 1141–1143. [Google Scholar] [CrossRef]
- Wang, K.-W.; Li, D.; Wu, B.; Cao, X.-J. New cytotoxic dimeric and trimeric coumarins from Chimonanthus salicifolius. Phytochem. Lett. 2016, 16, 115–120. [Google Scholar] [CrossRef]
- Zhu, H.L.; Qu, W.; Zhang, J.; Guo, E.Y.; Du, T.; Liu, W.Y.; Cao, W.Y.; Feng, F.; Xu, J. Chemical Constituents from Chloranthus anhuiensis and Their Cytotoxic Activities. Chem. Biodivers. 2018, 15, e1800249. [Google Scholar] [CrossRef]
- Duarte, N.; Gyémánt, N.; Abreu, P.M.; Molnár, J.; Ferreira, M.-J.U. New macrocyclic lathyrane diterpenes, from Euphorbia lagascae, as inhibitors of multidrug resistance of tumour cells. Planta Med. 2006, 72, 162–168. [Google Scholar] [CrossRef]
- Jensen, S.R.; Nielsen, B.J. A new coumarin fraxidin 8-O-β-d-glucoside and 10-hydroxyligstroside from bark of Fraxinus exelsior. Phytochemistry 1976, 15, 221–223. [Google Scholar] [CrossRef]
- Tsukamoto, H.; Hisada, S.; Nishibe, S. Coumarins from bark of Fraxinus japonica and F. mandshurica var. japonica. Chem. Pharm. Bull. 1985, 33, 4069–4073. [Google Scholar] [CrossRef]
- Kostova, I. Hydroxycoumarins from Fraxinus ornus bark. Planta Med. 1992, 58, 484. [Google Scholar] [CrossRef]
- Buathong, R.; Schindler, F.; Schinnerl, J.; Valant-Vetschera, K.; Bacher, M.; Potthast, A.; Rosenau, T.; Vajrodaya, S. Uncommon fatty acids, Iridoids and other secondary metabolites from the medicinal plant species Ixora cibdela Craib (Rubiaceae). Phytochem. Lett. 2019, 33, 77–80. [Google Scholar] [CrossRef]
- Duc, L.V.; Thanh, T.B.; Thu, H.L.T. Chemical Constituents and Tyrosinase Inhibitory Activity of Ethyl Acetate Extract of the Leaves of Morus alba L. from Vietnam. Res. Rev. A J. Pharmacol. 2018, 8, 21–26. [Google Scholar]
- Borris, R.P.; Cordell, G.A.; Farnsworth, N.R. Isofraxidin, a cytotoxic coumarin from Micrandra elata (Euphorbiaceae). J. Nat. Prod. 1980, 43, 641–643. [Google Scholar] [CrossRef]
- Kolodziej, H. Fascinating metabolic pools of Pelargonium sidoides and Pelargonium reniforme, traditional and phytomedicinal sources of the herbal medicine Umckaloabo®. Phytomedicine 2007, 14, 9–17. [Google Scholar] [CrossRef]
- Ishii, H.; Okada, Y.; Baba, M.; Okuyama, T. Studies of coumarins from the Chinese drug Qianhu, XXVII: Structure of a new simple coumarin glycoside from Bai-Hua Qianhu, Peucedanum praeruptorum. Chem. Pharm. Bull. 2008, 56, 1349–1351. [Google Scholar] [CrossRef] [PubMed]
- Yang, Y.-X.; Yan, Y.-M.; Tao, M.; Luo, Q.; Dong, X.-P. Chemical constituents from leaves of Rhododendron rubiginosum var rubiginosum. Zhongguo Zhong Yao Za Zhi Zhongguo Zhongyao Zazhi China J. Chin. Mater. Med. 2013, 38, 839–843. [Google Scholar]
- Okuyama, E.; Hasegawa, T.; Matsushita, T.; Fujimoto, H.; Ishibashi, M.; Yamazaki, M. Analgesic components of saposhnikovia root (Saposhnikovia divaricata). Chem. Pharm. Bull. 2001, 49, 154–160. [Google Scholar] [CrossRef] [PubMed]
- Feng, S.; Xu, L.; Wu, M.; Hao, J.; Qiu, S.X.; Wei, X. A new coumarin from Sarcandra glabra. Fitoterapia 2010, 81, 472–474. [Google Scholar] [CrossRef]
- Zhang, Y.; Pan, Q.; Zhang, G.; Liang, D. Study on chemical constituents of stems and leaves of Sapium discolor. Zhongguo Zhong Yao Za Zhi Zhongguo Zhongyao Zazhi China J. Chin. Mater. Med. 2019, 44, 3738–3744. [Google Scholar]
- Yin, H.-L.; Li, J.-H.; Li, B.; Chen, L.; Li, J.; Tian, Y.; Liu, S.-J.; Zhao, Y.-K.; Xiao, Y.-H.; Dong, J.-X. Two new coumarins from the seeds of Solanum indicum. J. Asian Nat. Prod. Res. 2014, 16, 153–157. [Google Scholar] [CrossRef]
- Mamoori, F.; Al-Janabi, R. Recent advances in microwave assisted extraction (MAE) of medicinal plants: A review. Int. Res. J. Pharm. 2018, 9, 22–29. [Google Scholar] [CrossRef]
- Yang, F.; Ou, Q.; Yu, W. Semi-preparative separation of taraxeryl-acetate and coumarins from Artemisia dalailamae Kraschen by high-speed countercurrent chromatography. J. Liq. Chromatogr. Relat. Technol. 1995, 18, 395–403. [Google Scholar] [CrossRef]
- Yang, L.; Gao, Y.; Liu, Y.; Hao, J. Optimized ultrasonic extraction of main phenolic glycosides and aglycones from Acanthopanax senticosus (Rupr. et Maxim.) Harms. Chem. Ind. For. Prod. 2009, 29, 93–99. [Google Scholar]
- Xia, Y.; Li, W.; Zhang, Z.; Luo, S.; Ma, C.; Liu, S. Decreased Biomass Recalcitrance Effect and Enhanced Hydrolysis Using Ionic Liquids: Toward Improvements in Isofraxidin Extraction. ACS Omega 2019, 4, 6000–6009. [Google Scholar] [CrossRef]
- Ryu, J.; Son, D.; Kang, J.; Kim, H.-S.; Kim, B.-K.; Lee, S. A benzenoid from the stem of Acanthopanax senticosus. Arch. Pharmacal Res. 2004, 27, 912–914. [Google Scholar] [CrossRef]
- Yang, F.; Yang, L.; Wang, W.; Liu, Y.; Zhao, C.; Zu, Y. Enrichment and purification of syringin, eleutheroside E and isofraxidin from Acanthopanax senticosus by macroporous resin. Int. J. Mol. Sci. 2012, 13, 8970–8986. [Google Scholar] [CrossRef]
- Lomovsky, O.I.; Lomovskiy, I.O.; Orlov, D.V. Mechanochemical solid acid/base reactions for obtaining biologically active preparations and extracting plant materials. Green Chem. Lett. Rev. 2017, 10, 171–185. [Google Scholar] [CrossRef]
- Liu, Y.; Jin, L.-J.; Li, X.-Y.; Xu, Y.-P. Application of mechanochemical pretreatment to aqueous extraction of isofraxidin from Eleutherococcus senticosus. Ind. Eng. Chem. Res. 2007, 46, 6584–6589. [Google Scholar] [CrossRef]
- Loarueng, C.; Boekfa, B.; Jarussophon, S.; Pongwan, P.; Kaewchangwat, N.; Suttisintong, K.; Jarussophon, N. Theoretical and experimental investigation of NMR, IR and UV-visible spectra of hydroxyl-substituted-4-chloromethylcoumarin derivatives. Arkivoc 2019, 6, 116–127. [Google Scholar] [CrossRef]
- Malikov, V.; Saidkhodzhaev, A.; Aripov, K.N. Coumarins: Plants, structure, properties. Chem. Nat. Compd. 1998, 34, 202–264. [Google Scholar] [CrossRef]
- Woodward, R.B. Structure and the absorption spectra of α, β-unsaturated ketones. J. Am. Chem. Soc. 1941, 63, 1123–1126. [Google Scholar] [CrossRef]
- Abu-Eittah, R.H.; El-Tawil, B.A.H. The electronic absorption spectra of some coumarins. A molecular orbital treatment. Can. J. Chem. 1985, 63, 1173–1179. [Google Scholar] [CrossRef]
- Donovalová, J.; Cigáň, M.; Stankovičová, H.; Gašpar, J.; Danko, M.; Gáplovský, A.; Hrdlovič, P. Spectral properties of substituted coumarins in solution and polymer matrices. Molecules 2012, 17, 3259–3276. [Google Scholar] [CrossRef]
- Goodwin, R.H.; Pollock, B.M. Ultraviolet absorption spectra of coumarin derivatives. Arch. Biochem. Biophys. 1954, 49, 1–6. [Google Scholar] [CrossRef]
- Gao, W.; Li, Q.; Chen, J.; Wang, Z.; Hua, C. Total synthesis of six 3, 4-unsubstituted coumarins. Molecules 2013, 18, 15613–15623. [Google Scholar] [CrossRef]
- Yim, S.-H.; Tabassum, N.; Kim, W.-H.; Cho, H.; Lee, J.-H.; Batkhuu, G.J.; Kim, H.J.; Oh, W.K.; Jung, D.-W.; Williams, D.R. Isolation and characterization of isofraxidin 7-O-(6′-Op-Coumaroyl)-β-glucopyranoside from Artemisia capillaris Thunberg: A novel, nontoxic hyperpigmentation agent that is effective in vivo. Evid. Based Complement. Altern. Med. 2017, 2017, 1401279. [Google Scholar] [CrossRef]
- Luo, Y.; Lin, F.; Du, Y.; Li, H.; Jiang, C.; Liu, H. Studies on the Chemical Constituents of Sarcandra glabra. In Proceedings of the 5th International Conference on Information Engineering for Mechanics and Materials; Atlantis Press: Amsterdam, The Netherlands, 2015. [Google Scholar]
- Lee, K.-H.; Soine, T. Coumarins X: Spectral studies on some linear furanocoumarins. J. Pharm. Sci. 1969, 58, 681–683. [Google Scholar] [CrossRef]
- Salman, S.R.; Titinchi, S.J.; Abbo, H.S.; Saeed, A.A. 1H and C-13 NMR Study of the Molecular Structure of New Di-(β-Keto) Schiff bases. Spectrosc. Lett. 1990, 23, 447–457. [Google Scholar] [CrossRef]
- Špirtović-Halilović, S.; Salihovic, M.; Trifunović, S.S.; Roca, S.; Veljović, E.; Osmanović, A.; Vinkovic, M.; Završnik, D. Density functional theory: H-1-and C-13-NMR spectra of some coumarin derivatives. J. Serb. Chem. Soc. 2014, 79, 1405–1411. [Google Scholar] [CrossRef][Green Version]
- Perel’son, M.; Sheinker, Y.N.; Syrova, G.; Turchin, K. NMR spectra of natural coumarin derivatives. Chem. Nat. Compd. 1970, 6, 5–11. [Google Scholar] [CrossRef]
- Kutney, J.P.; Engendorf, G.; Inaba, T.; Dreyer, D.L. Mass spectral fragmentation studies in monomeric and dimeric coumarins. Org. Mass Spectrom. 1971, 5, 249–263. [Google Scholar] [CrossRef]
- Lopez-Avila, V.; Yefchak, G. Mass spectral fragmentation studies of coumarin-type compounds using GC high-resolution MS. Open Anal. Chem. J. 2011, 5, 27–36. [Google Scholar] [CrossRef]
- Shaabani, A.; Ghadari, R.; Rahmati, A.; Rezayan, A. Coumarin synthesis via Knoevenagel condensation reaction in 1, 1, 3, 3-N, N, N′, N′-tetramethylguanidinium trifluoroacetate ionic liquid. J. Iran. Chem. Soc. 2009, 6, 710–714. [Google Scholar] [CrossRef]
- Rouessac, F.; Leclerc, A. An efficient synthesis of isofraxidin. Synth. Commun. 1993, 23, 1147–1153. [Google Scholar] [CrossRef]
- Silva, A.C.; Benelkebir, H.; Lopes, R.S.; Lopes, C.C.; Ganesan, A. Total Synthesis of Altissimacoumarin D, a Small Molecule Sirtuin1 Activator. J. Braz. Chem. Soc. 2018, 29, 1157–1161. [Google Scholar] [CrossRef]
- Talakokkula, A.; Baikadi, K.; Narsaiah, A.V. First Total Synthesis of Artekeiskeanol A, C and Altissimacoumarin D. SynOpen 2019, 3, 49–54. [Google Scholar] [CrossRef]
- Ghosh, S.; Chisti, Y.; Banerjee, U.C. Production of shikimic acid. Biotechnol. Adv. 2012, 30, 1425–1431. [Google Scholar] [CrossRef]
- Vogt, T. Phenylpropanoid biosynthesis. Mol. Plant 2010, 3, 2–20. [Google Scholar] [CrossRef]
- Brown, S.A. Biosynthetic studies on coumarins. Planta Med. 1979, 36, 299–310. [Google Scholar] [CrossRef]
- Kai, K.; Mizutani, M.; Kawamura, N.; Yamamoto, R.; Tamai, M.; Yamaguchi, H.; Sakata, K.; Shimizu, B.I. Scopoletin is biosynthesized via ortho-hydroxylation of feruloyl CoA by a 2-oxoglutarate-dependent dioxygenase in Arabidopsis thaliana. Plant J. 2008, 55, 989–999. [Google Scholar] [CrossRef]
- Cabello-Hurtado, F.; Durst, F.; Jorrín, J.V.; Werck-Reichhart, D. Coumarins in Helianthus tuberosus: Characterization, induced accumulation and biosynthesis. Phytochemistry 1998, 49, 1029–1036. [Google Scholar] [CrossRef]
- Gestetner, B.; Conn, E.E. The 2-hydroxylation of trans-cinnamic acid by chloroplasts from Melilotus alba Desr. Arch. Biochem. Biophys. 1974, 163, 617–624. [Google Scholar] [CrossRef]
- Shimizu, B.-I. 2-Oxoglutarate-dependent dioxygenases in the biosynthesis of simple coumarins. Front. Plant Sci. 2014, 5, 549. [Google Scholar] [CrossRef]
- Thompson, H.J.; Sharma, S.K.; Brown, S.A. O-Methyltransferases of furanocoumarin biosynthesis. Arch. Biochem. Biophys. 1978, 188, 272–281. [Google Scholar] [CrossRef]
- Brown, S.A.; March, R.E.; Rivett, D.E.; Thompson, H.J. Intermediates in the formation of puberulin by Agathosma puberula. Phytochemistry 1988, 27, 391–395. [Google Scholar] [CrossRef]
- Brown, S.A.; Rivett, D.; Thompson, H.J. Elaboration of the 6, 7, 8 Oxygenation Pattern in Simple Coumarins: Biosynthesis of Puberulin in Agathosma puberula Fourc. Z. Für Nat. C 1984, 39, 31–37. [Google Scholar] [CrossRef]
- Dhillon, D.; Brown, S.A. Localization, purification, and characterization of dimethylallylpyrophosphate: Umbelliferone dimethylallyltransferase from Ruta graveolens. Arch. Biochem. Biophys. 1976, 177, 74–83. [Google Scholar] [CrossRef]
- Tsai, H.-H.; Rodriguez-Celma, J.; Lan, P.; Wu, Y.-C.; Vélez-Bermúdez, I.C.; Schmidt, W. Scopoletin 8-hydroxylase-mediated fraxetin production is crucial for iron mobilization. Plant Physiol. 2018, 177, 194–207. [Google Scholar] [CrossRef]
- Osoba, O.A.; Roberts, M.F. Methyltransferase activity in Allanthm altissima cell suspension cultures. Plant Cell Rep. 1994, 13, 277–281. [Google Scholar] [CrossRef]
- Li, Q.; Jia, Y.; Sun, L.-X.; Xu, L.; Tong, L.; Shen, Z.-D.; Liu, Y.-L.; Bi, K.-S. High-performance liquid chromatographic determination of isofraxidin in rat plasma. Chromatographia 2006, 63, 249–253. [Google Scholar] [CrossRef]
- Sun, H.; Lv, H.; Zhang, Y.; Wang, X.; Bi, K.; Cao, H. Pharmacokinetics of isofraxidin in rat plasma after oral administration of the extract of Acanthopanax senticosus using HPLC with solid phase extraction method. Chem. Pharm. Bull. 2007, 55, 1291–1295. [Google Scholar] [CrossRef][Green Version]
- Sun, H.; Lv, H.; Zhang, Y.; Wang, X.; Bi, K.; Cao, H. A rapid and sensitive UPLC-ESI MS method for analysis of isofraxidin, a natural antistress compound, and its metabolites in rat plasma. J. Sep. Sci. 2007, 30, 3202–3206. [Google Scholar] [CrossRef]
- Liu, J.; Tian, J.; Hu, Z.; Chen, X. Binding of isofraxidin to bovine serum albumin. Biopolym. Orig. Res. Biomol. 2004, 73, 443–450. [Google Scholar] [CrossRef]
- Liu, J.; Tian, J.; Tian, X.; Hu, Z.; Chen, X. Interaction of isofraxidin with human serum albumin. Bioorganic Med. Chem. 2004, 12, 469–474. [Google Scholar] [CrossRef]
- Song, X.; Dong, G.; Zhou, Y. In vitro Inhibitory Effects of Isofraxidin on Human Liver Cytochrome P450 Enzymes. Pharmacology 2019, 103, 120–127. [Google Scholar] [CrossRef] [PubMed]
- Meng, F.; Li, Y.; He, G.; Ge, G.; Liu, S. Identification of human UDP-glucuronosyltransferase isoforms involved in the isofraxidin glucuronidation and assessment of the species differences of the reaction. Fitoterapia 2017, 117, 118–125. [Google Scholar] [CrossRef] [PubMed]
- Su, X.; Liu, B.; Gong, F.; Yin, J.; Sun, Q.; Gao, Y.; Lv, Z.; Wang, X. Isofraxidin attenuates IL-1β-induced inflammatory response in human nucleus pulposus cells. J. Cell. Biochem. 2019, 120, 13302–13309. [Google Scholar] [CrossRef] [PubMed]
- Lin, J.; Li, X.; Qi, W.; Yan, Y.; Chen, K.; Xue, X.; Xu, X.; Feng, Z.; Pan, X. Isofraxidin inhibits interleukin-1β induced inflammatory response in human osteoarthritis chondrocytes. Int. Immunopharmacol. 2018, 64, 238–245. [Google Scholar] [CrossRef] [PubMed]
- Burrage, P.S.; Mix, K.S.; Brinckerhoff, C.E. Matrix metalloproteinases: Role in arthritis. Front Biosci 2006, 11, 529–543. [Google Scholar] [CrossRef]
- Gómez, R.; Villalvilla, A.; Largo, R.; Gualillo, O.; Herrero-Beaumont, G. TLR4 signalling in osteoarthritis—Finding targets for candidate DMOADs. Nat. Rev. Rheumatol. 2015, 11, 159. [Google Scholar] [CrossRef]
- Vaure, C.; Liu, Y. A comparative review of toll-like receptor 4 expression and functionality in different animal species. Front. Immunol. 2014, 5, 316. [Google Scholar] [CrossRef]
- Yamazaki, T.; Shimosaka, S.; Sasaki, H.; Matsumura, T.; Tukiyama, T.; Tokiwa, T. (+)-Syringaresinol-di-O-β-d-glucoside, a phenolic compound from Acanthopanax senticosus Harms, suppresses proinflammatory mediators in SW982 human synovial sarcoma cells by inhibiting activating protein-1 and/or nuclear factor-κB activities. Toxicol. Vitro 2007, 21, 1530–1537. [Google Scholar] [CrossRef]
- Cotrozzi, L.; Campanella, A.; Pellegrini, E.; Lorenzini, G.; Nali, C.; Paoletti, E. Phenylpropanoids are key players in the antioxidant defense to ozone of European ash, Fraxinus excelsior. Environ. Sci. Pollut. Res. 2018, 25, 8137–8147. [Google Scholar] [CrossRef]
- Zhang, H.; Feng, Q.Q.; Gong, J.H.; Ma, J.P. Anticancer effects of isofraxidin against A549 human lung cancer cells via the EGFR signaling pathway. Mol. Med. Rep. 2018, 18, 407–414. [Google Scholar] [CrossRef]
- Shen, P.; Wang, H.-G.; Li, M.-M.; Ma, Q.-Y.; Zhou, C.-W.; Pan, F.; Xie, R. Isofraxidin inhibited proliferation and induced apoptosis via blockage of Akt pathway in human colorectal cancer cells. Biomed. Pharmacother. 2017, 92, 78–85. [Google Scholar] [CrossRef] [PubMed]
- Yamazaki, T.; Tokiwa, T. Isofraxidin, a coumarin component from Acanthopanax senticosus, inhibits matrix metalloproteinase-7 expression and cell invasion of human hepatoma cells. Biol. Pharm. Bull. 2010, 33, 1716–1722. [Google Scholar] [CrossRef] [PubMed]
- Wang, C.; Gao, H.; Cai, E.; Zhang, L.; Zheng, X.; Zhang, S.; Sun, N.; Zhao, Y. Protective effects of Acanthopanax senticosus-Ligustrum lucidum combination on bone marrow suppression induced by chemotherapy in mice. Biomed. Pharmacother. 2019, 109, 2062–2069. [Google Scholar] [CrossRef]
- Cho, J.-Y.; Park, K.-H.; Hwang, D.; Chanmuang, S.; Jaiswal, L.; Park, Y.-K.; Park, S.-Y.; Kim, S.-Y.; Kim, H.-R.; Moon, J.-H. Antihypertensive effects of Artemisia scoparia Waldst in spontaneously hypertensive rats and identification of angiotensin I converting enzyme inhibitors. Molecules 2015, 20, 19789–19804. [Google Scholar] [CrossRef] [PubMed]
- Bai, Y.; Tohda, C.; Zhu, S.; Hattori, M.; Komatsu, K. Active components from Siberian ginseng (Eleutherococcus senticosus) for protection of amyloid β (25–35)-induced neuritic atrophy in cultured rat cortical neurons. J. Nat. Med. 2011, 65, 417–423. [Google Scholar] [CrossRef] [PubMed]
- Tohda, C.; Ichimura, M.; Bai, Y.; Tanaka, K.; Zhu, S.; Komatsu, K. Inhibitory effects of Eleutherococcus senticosus extracts on amyloid β (25-35)–induced neuritic atrophy and synaptic loss. J. Pharmacol. Sci. 2008, 107, 329–339. [Google Scholar] [CrossRef] [PubMed]
- Allen, S.A.; Datta, S.; Sandoval, J.; Tomilov, A.; Sears, T.; Woolard, K.; Angelastro, J.M.; Cortopassi, G.A. Cetylpyridinium chloride is a potent AMP-activated kinase (AMPK) inducer and has therapeutic potential in cancer. Mitochondrion 2020, 50, 19–24. [Google Scholar] [CrossRef]
- Pierrat, M.-J.; Marsaud, V.; Mauviel, A.; Javelaud, D. Expression of microphthalmia-associated transcription factor (MITF), which is critical for melanoma progression, is inhibited by both transcription factor GLI2 and transforming growth factor-β. J. Biol. Chem. 2012, 287, 17996–18004. [Google Scholar] [CrossRef]
- Yuan, K.; Zhu, J.; Si, J.; Cai, H.; Ding, X.; Pan, Y. Studies on chemical constituents and antibacterial activity from n-butanol extract of Sarcandra glabra. Zhongguo Zhong Yao Za Zhi Zhongguo Zhongyao Zazhi China J. Chin. Mater. Med. 2008, 33, 1843–1846. [Google Scholar]






| Genus and Species | Family | Part(s) | Ref. |
|---|---|---|---|
| Acantopanax senticosus (Eleutherococcus senticosus) | Araliaceae | root and rhizome | [47] |
| Achillea filipendulina | Asteraceae | root | [22] |
| Achillea clavennae | Asteraceae | aerial parts | [48] |
| Achillea depressa | Asteraceae | root | [44] |
| Achillea ochroleuca | Asteraceae | root | [49] |
| Anemone tomentosa | Ranunculaceae | root | [50] |
| Angelica dahurica | Apiaceae | root | [51] |
| Anneslea fragrans | Theaceae | root | [25] |
| Apium graveolens | Apiaceae | whole plant | [52] |
| Apocynum venetum | Apocynaceae | leaves | [53] |
| Arabidopsis thaliana | Brassicaceae | root | [54] |
| Artemisia alba | Asteraceae | aerial parts | [20] |
| Artemisia capillaris | Asteraceae | aerial parts | [55] |
| Artemisia incisa | Asteraceae | aerial parts | [56] |
| Artemisia abrotanum | Asteraceae | aerial parts | [57] |
| Artemisia keiskeana | Asteraceae | whole plant | [58] |
| Artemisia scoparia | Asteraceae | aerial parts | [59] |
| Artemisia selengensis | Asteraceae | aerial parts | [60] |
| Impatiens balsamina | Balsaminaceae | root | [61] |
| Chimonanthus salicifolius | Calycanthaceae | aerial parts | [62] |
| Chloranthus anhuiensis | Chlorantaceae | whole plant | [63] |
| Chloranthus japonicus | Chlorantaceae | root | [39] |
| Daboecia cantabrica | Ericaceae | flower | [21] |
| Erica spp | Ericaceae | flower | [21] |
| Euphorbia lagascae | Euphorbiaceae | seed | [64] |
| Fraxinus exelsior | Oleaceae | bark | [65] |
| Fraxinus japonicus | Oleaceae | bark | [66] |
| Fraxinus ornus | Oleaceae | bark, flowers, leaves | [67] |
| Greenea corymbose | Rubiaceae | stem bark, leaves | [43] |
| Greenea montana | Rubiaceae | stem bark, root bark, leaves | [43] |
| Ixora cibdela | Rubiaceae | stem bark, root bark | [68] |
| Ixora javanica | Rubiaceae | stem bark, root bark | [43] |
| Morus alba | Moraceae | leaves | [69] |
| Micrandra elata | Euphorbiaceae | twig | [70] |
| Pelargonium reniforme | Geraniaceae | root | [71] |
| Peucedanum praeruptorum | Apiaceae | root | [72] |
| Rhododendron rubiginosum | Ericaceae | leaves | [73] |
| Ruyschia phylladenia | Marcgraviaceae | bark | [29] |
| Saposhnikovia divaricata | Apiaceae | root | [74] |
| Sarcandra glabra | Chloranthaceae | whole plant | [75] |
| Sapium discolor | Euphorbiaceae | stem, leaves | [76] |
| Solanum indicum | Solanaceae | seed | [77] |
| Position | δH | δc |
|---|---|---|
| 1 | - | - |
| 2 | - | 160.60 |
| 3 | 6.29 (1H, d, J = 9.5 Hz) | 112.50 |
| 4 | 7.60 (1H, d, J = 9.5 Hz) | 145.30 |
| 5 | 6.16 (1H, s) | 105.00 |
| 6 | - | 146.10 |
| 7 | - | 143.50 |
| 8 | - | 135.20 |
| 9 | - | 144.50 |
| 10 | - | 110.70 |
| 6-OCH3 | 3.95 (3H, s) | 56.60 |
| 8-OCH3 | 4.10 (3H, s) | 61.20 |
© 2020 by the authors. Licensee MDPI, Basel, Switzerland. This article is an open access article distributed under the terms and conditions of the Creative Commons Attribution (CC BY) license (http://creativecommons.org/licenses/by/4.0/).
Share and Cite
Majnooni, M.B.; Fakhri, S.; Shokoohinia, Y.; Mojarrab, M.; Kazemi-Afrakoti, S.; Farzaei, M.H. Isofraxidin: Synthesis, Biosynthesis, Isolation, Pharmacokinetic and Pharmacological Properties. Molecules 2020, 25, 2040. https://doi.org/10.3390/molecules25092040
Majnooni MB, Fakhri S, Shokoohinia Y, Mojarrab M, Kazemi-Afrakoti S, Farzaei MH. Isofraxidin: Synthesis, Biosynthesis, Isolation, Pharmacokinetic and Pharmacological Properties. Molecules. 2020; 25(9):2040. https://doi.org/10.3390/molecules25092040
Chicago/Turabian StyleMajnooni, Mohammad Bagher, Sajad Fakhri, Yalda Shokoohinia, Mahdi Mojarrab, Sara Kazemi-Afrakoti, and Mohammad Hosein Farzaei. 2020. "Isofraxidin: Synthesis, Biosynthesis, Isolation, Pharmacokinetic and Pharmacological Properties" Molecules 25, no. 9: 2040. https://doi.org/10.3390/molecules25092040
APA StyleMajnooni, M. B., Fakhri, S., Shokoohinia, Y., Mojarrab, M., Kazemi-Afrakoti, S., & Farzaei, M. H. (2020). Isofraxidin: Synthesis, Biosynthesis, Isolation, Pharmacokinetic and Pharmacological Properties. Molecules, 25(9), 2040. https://doi.org/10.3390/molecules25092040

