Main-Chain Phosphorus-Containing Polymers for Therapeutic Applications
Abstract
1. Introduction
2. Macromolecular Structural Features of Main-Chain Phosphorus-Containing Polymers
2.1. Synthesis
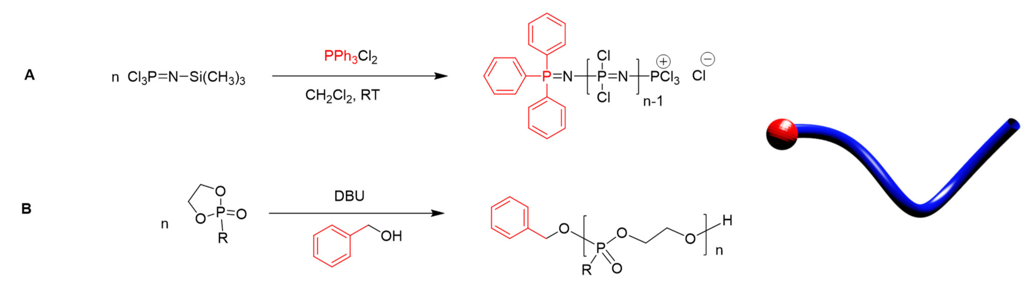
2.1.1. Traditional Synthesis Routes
2.1.2. Controlled Polymerization Routes
2.1.3. Alternative Controlled Polymerization Routes
2.1.4. Polymers with Phosphorus–Carbon Bonds
2.1.5. Post-Polymerization Functionalization
2.2. Macromolecular Architecture
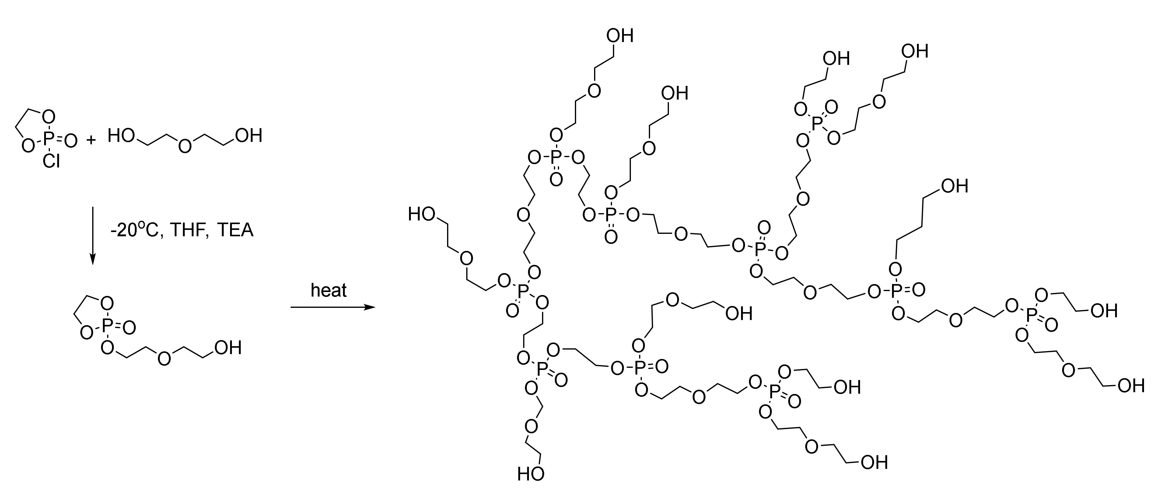
2.3. Dendrimers
2.4. Amphiphilic Polymers
2.4.1. Micelle Formation
2.4.2. Polymersomes
2.4.3. Thermosensitive Polymers
2.5. Main-Chain Hydrolysis and Degradation
2.6. Safety and Biocompatibility
3. Pharmaceutical Applications
3.1. Polymer Chemotherapeutics
3.1.1. Water-Soluble Polymer–Drug Conjugates
3.1.2. Self-Assembling Nanoparticles: Micelles and Polymersomes
3.1.3. Injectable Hydrogels
3.1.4. Photodynamic Therapy
3.2. Protein PEGylation
3.3. Smart Endosomal Release
3.4. Immunology
3.4.1. Cancer Immunotherapy
3.4.2. Vaccine Adjuvants
3.5. Antimicrobial Polymers
3.6. Imaging Applications
4. Biomaterials
4.1. Thromboresistant Coatings
4.2. Degradable Scaffolds for Tissue Regeneration
5. Conclusions
Author Contributions
Funding
Acknowledgments
Conflicts of Interest
References
- Souery, W.N.; Bishop, C.J. Clinically advancing and promising polymer-based therapeutics. Acta Biomater. 2018, 67, 1–20. [Google Scholar] [CrossRef] [PubMed]
- Langer, R.; Tirrell, D.A. Designing materials for biology and medicine. Nature 2004, 428, 487–492. [Google Scholar] [CrossRef] [PubMed]
- Vidal, F.; Jäkle, F. Funktionelle polymere Materialien auf der Basis von Hauptgruppen-Elementen. Angew. Chem. 2019, 131, 5904–5929. [Google Scholar] [CrossRef]
- Westheimer, F. Why nature chose phosphates. Science 1987, 235, 1173–1178. [Google Scholar] [CrossRef]
- Emsley, J. The 13th Element: The Sordid Tale of Murder; John Wiley & Sons: Hoboken, NJ, USA, 2000; pp. 85–102. [Google Scholar]
- Hey-Hawkins, E. Phosphorus—The Devil’s Element? In Proceedings of the 18th Austrian Chemistry Days, Linz, Austria, 24–27 September 2019. [Google Scholar]
- Monge, S.; Canniccioni, B.; Graillot, A.; Robin, J.-J. Phosphorus-Containing Polymers: A Great Opportunity for the Biomedical Field. Biomacromolecules 2011, 12, 1973–1982. [Google Scholar] [CrossRef]
- Velencoso, M.M.; Battig, A.; Markwart, J.C.; Schartel, B.; Wurm, F.R. Molecular Firefighting—How Modern Phosphorus Chemistry Can Help Solve the Challenge of Flame Retardancy. Angew. Chem. Int. Ed. 2018, 57, 10450–10467. [Google Scholar] [CrossRef]
- Carriedo, G.A.; Alonso, F.L.G.; Gomez-Elipe, P.; Fidalgo, J.I.; Alvarez, J.L.G.; Presa-Soto, A. A simplified and convenient laboratory-scale preparation of N-14 or N-15 high molecular weight poly(dichlorophosphazene) directly from PCl5. Chem. Eur. J. 2003, 9, 3833–3836. [Google Scholar] [CrossRef]
- Andrianov, A.K.; Chen, J.; LeGolvan, M.P. Poly(dichlorophosphazene) As a Precursor for Biologically Active Polyphosphazenes: Synthesis, Characterization, and Stabilization. Macromolecules 2004, 37, 414–420. [Google Scholar] [CrossRef]
- Tian, Z.; Hess, A.; Fellin, C.R.; Nulwala, H.; Allcock, H.R. Phosphazene High Polymers and Models with Cyclic Aliphatic Side Groups: New Structure–Property Relationships. Macromolecules 2015, 48, 4301–4311. [Google Scholar] [CrossRef]
- Steinbach, T.; Wurm, F.R. Poly(phosphoester)s: A New Platform for Degradable Polymers. Angew. Chem. Int. Ed. 2015, 54, 6098–6108. [Google Scholar] [CrossRef]
- Rothemund, S.; Teasdale, I. Preparation of polyphosphazenes: A tutorial review. Chem. Soc. Rev. 2016, 45, 5200–5215. [Google Scholar] [CrossRef] [PubMed]
- Allcock, H.R.; Crane, C.A.; Morrissey, C.T.; Nelson, J.M.; Reeves, S.D.; Honeyman, C.H.; Manners, I. “Living” cationic polymerization of phosphoranimines as an ambient temperature route to polyphosphazenes with controlled molecular weights. Macromolecules 1996, 29, 7740–7747. [Google Scholar] [CrossRef]
- Honeyman, C.H.; Manners, I.; Morrissey, C.T.; Allcock, H.R. Ambient Temperature Synthesis of Poly(dichlorophosphazene) with Molecular Weight Control. J. Am. Chem. Soc. 1995, 117, 7035–7036. [Google Scholar] [CrossRef]
- Wang, B. Development of a one-pot in situ synthesis of poly(dichlorophosphazene) from PCl3. Macromolecules 2005, 38, 643–645. [Google Scholar] [CrossRef]
- Suárez Suárez, S.; Presa Soto, D.; Carriedo, G.A.; Presa Soto, A.; Staubitz, A. Experimental and Theoretical Study of the Living Polymerization of N-Silylphosphoranimines. Synthesis of New Block Copolyphosphazenes. Organometallics 2012, 31, 2571–2581. [Google Scholar] [CrossRef]
- Wilfert, S.; Henke, H.; Schoefberger, W.; Brüggemann, O.; Teasdale, I. Chain-End-Functionalized Polyphosphazenes via a One-Pot Phosphine-Mediated Living Polymerization. Macromol. Rapid Commun. 2014, 35, 1135–1141. [Google Scholar] [CrossRef]
- Carriedo, G.A.; de la Campa, R.; Soto, A.P. Polyphosphazenes – Synthetically Versatile Block Copolymers (“Multi-Tool”) for Self-Assembly. Eur. J. Inorg. Chem. 2018, 2018, 2484–2499. [Google Scholar] [CrossRef]
- Soto, A.P.; Manners, I. Poly(ferrocenylsilane-b-polyphosphazene) (PFS-b-PP): A New Class of Organometallic-Inorganic Block Copolymers. Macromolecules 2009, 42, 40–42. [Google Scholar] [CrossRef]
- Henke, H.; Brüggemann, O.; Teasdale, I. Branched Macromolecular Architectures for Degradable, Multifunctional Phosphorus-Based Polymers. Macromol. Rapid Commun. 2017, 38, 1600644. [Google Scholar] [CrossRef]
- Wang, Y.-C.; Yuan, Y.-Y.; Du, J.-Z.; Yang, X.-Z.; Wang, J. Recent Progress in Polyphosphoesters: From Controlled Synthesis to Biomedical Applications. Macromol. Biosci. 2009, 9, 1154–1164. [Google Scholar] [CrossRef]
- Iwasaki, Y.; Yamaguchi, E. Synthesis of Well-Defined Thermoresponsive Polyphosphoester Macroinitiators Using Organocatalysts. Macromolecules 2010, 43, 2664–2666. [Google Scholar] [CrossRef]
- Steinke, J.H.G.; Greenland, B.W.; Johns, S.; Parker, M.P.; Atkinson, R.C.J.; Cade, I.A.; Golding, P.; Trussell, S.J. Robust and Operationally Simple Synthesis of Poly(bis(2,2,2-trifluoroethoxy) phosphazene) with Controlled Molecular Weight, Low PDI, and High Conversion. ACS Macro Lett. 2014, 3, 548–551. [Google Scholar] [CrossRef]
- Steinbach, T.; Alexandrino, E.M.; Wurm, F.R. Unsaturated poly(phosphoester)s via ring-opening metathesis polymerization. Polym. Chem. 2013, 4, 3800–3806. [Google Scholar] [CrossRef]
- Steinmann, M.; Markwart, J.; Wurm, F.R. Poly(alkylidene chlorophosphate)s via Acyclic Diene Metathesis Polymerization: A General Platform for the Postpolymerization Modification of Poly(phosphoester)s. Macromolecules 2014, 47, 8506–8513. [Google Scholar] [CrossRef]
- Steinmann, M.; Wagner, M.; Wurm, F.R. Poly(phosphorodiamidate)s by Olefin Metathesis Polymerization with Precise Degradation. Chem. Eur. J. 2016, 22, 17329–17338. [Google Scholar] [CrossRef]
- Wisian-Neilson, P.; Neilson, R.H. Synthesis and Modification of Poly(alkyl/arylphosphazenes). In Polyphosphazenes in Biomedicine, Engineering, and Pioneering Synthesis; American Chemical Society: Washington, DC, USA, 2018; Volume 1298, pp. 167–181. [Google Scholar]
- Steinbach, T.; Ritz, S.; Wurm, F.R. Water-Soluble Poly(phosphonate)s via Living Ring-Opening Polymerization. ACS Macro Lett. 2014, 3, 244–248. [Google Scholar] [CrossRef]
- Wolf, T.; Steinbach, T.; Wurm, F.R. A Library of Well-Defined and Water-Soluble Poly(alkyl phosphonate)s with Adjustable Hydrolysis. Macromolecules 2015, 48, 3853–3863. [Google Scholar] [CrossRef]
- Yilmaz, Z.E.; Jérôme, C. Polyphosphoesters: New Trends in Synthesis and Drug Delivery Applications. Macromol. Biosci. 2016, 16, 1745–1761. [Google Scholar] [CrossRef]
- Henke, H.; Wilfert, S.; Iturmendi, A.; Brueggemann, O.; Teasdale, I. Branched Polyphosphazenes with Controlled Dimensions. J. Polym. Sci. A Polym. Chem. 2013, 51, 4467–4473. [Google Scholar] [CrossRef]
- Zhang, S.; Li, A.; Zou, J.; Lin, L.Y.; Wooley, K.L. Facile Synthesis of Clickable, Water-Soluble, and Degradable Polyphosphoesters. ACS Macro Lett. 2012, 1, 328–333. [Google Scholar] [CrossRef]
- Chen, C.; Xu, H.; Qian, Y.-C.; Huang, X.-J. Glycosylation of polyphosphazenes by thiol-yne click chemistry for lectin recognition. RSC Adv. 2015, 5, 15909–15915. [Google Scholar] [CrossRef]
- Bouché, M.; Pühringer, M.; Iturmendi, A.; Amirshaghaghi, A.; Tsourkas, A.; Teasdale, I.; Cormode, D.P. Activatable Hybrid Polyphosphazene-AuNP Nanoprobe for ROS Detection by Bimodal PA/CT Imaging. ACS Appl. Mater. Interfaces 2019, 11, 28648–28656. [Google Scholar] [CrossRef] [PubMed]
- Qian, Y.; Huang, X.; Xu, Z. Synthesis of Polyphosphazene Derivatives via Thiol-ene Click Reactions in an Aqueous Medium. Macromol. Chem. Phys. 2015, 216, 671–677. [Google Scholar] [CrossRef]
- Huang, X.; Huang, X.-J.; Yu, A.-G.; Wang, C.; Dai, Z.-W.; Xu, Z.-K. “Click Chemistry” as a Facile Approach to the Synthesis of Polyphosphazene Glycopolymers. Macromol. Chem. Phys. 2011, 212, 272–277. [Google Scholar] [CrossRef]
- Moura, L.I.F.; Malfanti, A.; Peres, C.; Matos, A.I.; Guegain, E.; Sainz, V.; Zloh, M.; Vicent, M.J.; Florindo, H.F. Functionalized branched polymers: Promising immunomodulatory tools for the treatment of cancer and immune disorders. Mater. Horiz. 2019, 6, 1956–1973. [Google Scholar] [CrossRef]
- Duro-Castano, A.; Movellan, J.; Vicent, M.J. Smart branched polymer drug conjugates as nano-sized drug delivery systems. Biomater. Sci. 2015, 3, 1321–1334. [Google Scholar] [CrossRef]
- Liu, X.; Tian, Z.; Chen, C.; Allcock, H.R. Synthesis and Characterization of Brush-Shaped Hybrid Inorganic/Organic Polymers Based on Polyphosphazenes. Macromolecules 2012, 45, 1417–1426. [Google Scholar] [CrossRef]
- Henke, H.; Posch, S.; Brüggemann, O.; Teasdale, I. Polyphosphazene Based Star-Branched and Dendritic Molecular Brushes. Macromol. Rapid Commun. 2016, 37, 769–774. [Google Scholar] [CrossRef]
- Linhardt, A.; König, M.; Iturmendi, A.; Henke, H.; Brueggemann, O.; Teasdale, I. Degradable, dendritic polyols on a branched polyphosphazene backbone. Ind. Eng. Chem. Res. 2018. [Google Scholar] [CrossRef]
- Liu, J.; Huang, W.; Zhou, Y.; Yan, D. Synthesis of Hyperbranched Polyphosphates by Self-Condensing Ring-Opening Polymerization of HEEP without Catalyst. Macromolecules 2009, 42, 4394–4399. [Google Scholar] [CrossRef]
- Liu, J.; Huang, W.; Pang, Y.; Yan, D. Hyperbranched polyphosphates: Synthesis, functionalization and biomedical applications. Chem. Soc. Rev. 2015, 44, 3942–3953. [Google Scholar] [CrossRef] [PubMed]
- Battig, A.; Markwart, J.C.; Wurm, F.R.; Schartel, B. Hyperbranched phosphorus flame retardants: Multifunctional additives for epoxy resins. Polym. Chem. 2019, 10, 4346–4358. [Google Scholar] [CrossRef]
- Tauber, K.; Marsico, F.; Wurm, F.R.; Schartel, B. Hyperbranched poly(phosphoester)s as flame retardants for technical and high performance polymers. Polym. Chem. 2014, 5, 7042–7053. [Google Scholar] [CrossRef]
- Caminade, A.-M. Phosphorus dendrimers for nanomedicine. Chem. Commun. 2017, 53, 9830–9838. [Google Scholar] [CrossRef] [PubMed]
- Caminade, A.-M.; Ouali, A.; Laurent, R.; Turrin, C.-O.; Majoral, J.-P. The dendritic effect illustrated with phosphorus dendrimers. Chem. Soc. Rev. 2015, 44, 3890–3899. [Google Scholar] [CrossRef] [PubMed]
- Caminade, A.-M.; Majoral, J.-P. Bifunctional Phosphorus Dendrimers and Their Properties. Molecules 2016, 21, 538. [Google Scholar] [CrossRef]
- Katir, N.; El Brahmi, N.; El Kadib, A.; Mignani, S.; Caminade, A.-M.; Bousmina, M.; Majoral, J.P. Synthesis of Onion-Peel Nanodendritic Structures with Sequential Functional Phosphorus Diversity. Chem. Eur. J. 2015, 21, 6400–6408. [Google Scholar] [CrossRef]
- Zhai, X.; Huang, W.; Liu, J.; Pang, Y.; Zhu, X.; Zhou, Y.; Yan, D. Micelles from Amphiphilic Block Copolyphosphates for Drug Delivery. Macromol. Biosci. 2011, 11, 1603–1610. [Google Scholar] [CrossRef]
- Aichhorn, S.; Linhardt, A.; Halfmann, A.; Nadlinger, M.; Kirchberger, S.; Stadler, M.; Dillinger, B.; Distel, M.; Dohnal, A.; Teasdale, I.; et al. A pH-sensitive Macromolecular Prodrug as TLR7/8 Targeting Immune Response Modifier. Chem. – A Eur. J. 2017, 23, 17721–17726. [Google Scholar] [CrossRef]
- Zhang, F.; Zhang, S.; Pollack, S.F.; Li, R.; Gonzalez, A.M.; Fan, J.; Zou, J.; Leininger, S.E.; Pavía-Sanders, A.; Johnson, R.; et al. Improving Paclitaxel Delivery: In Vitro and In Vivo Characterization of PEGylated Polyphosphoester-Based Nanocarriers. J. Am. Chem. Soc. 2015, 137, 2056–2066. [Google Scholar] [CrossRef]
- Qiu, L.; Fu, J. Applications of Self-Assembled Polyphosphazene Nano-Aggregates in Drug Delivery. In Polyphosphazenes in Biomedicine, Engineering, and Pioneering Synthesis; American Chemical Society: Washington, DC, USA, 2018; Volume 1298, pp. 143–164. [Google Scholar]
- Linhardt, A.; König, M.; Schöfberger, W.; Brüggemann, O.; Andrianov, A.; Teasdale, I. Biodegradable Polyphosphazene Based Peptide-Polymer Hybrids. Polymers 2016, 8, 161. [Google Scholar] [CrossRef] [PubMed]
- Zheng, C.; Qiu, L.Y.; Zhu, K.J. Novel polymersomes based on amphiphilic graft polyphosphazenes and their encapsulation of water-soluble anti-cancer drug. Polymer 2009, 50, 1173–1177. [Google Scholar] [CrossRef]
- Suárez-Suárez, S.; Carriedo, G.A.; Presa Soto, A. Reversible Morphological Evolution of Responsive Giant Vesicles to Nanospheres by the Self-Assembly of Crystalline-b-Coil Polyphosphazene Block Copolymers. Chem. – A Eur. J. 2016, 22, 4483–4491. [Google Scholar] [CrossRef]
- Wang, F.; Wang, Y.-C.; Yan, L.-F.; Wang, J. Biodegradable vesicular nanocarriers based on poly(ɛ-caprolactone)-block-poly(ethyl ethylene phosphate) for drug delivery. Polymer 2009, 50, 5048–5054. [Google Scholar] [CrossRef]
- Rideau, E.; Wurm, F.R.; Landfester, K. Giant polymersomes from non-assisted film hydration of phosphate-based block copolymers. Polym. Chem. 2018, 9, 5385–5394. [Google Scholar] [CrossRef]
- Wilfert, S.; Iturmendi, A.; Henke, H.; Brüggemann, O.; Teasdale, I. Thermoresponsive Polyphosphazene-Based Molecular Brushes by Living Cationic Polymerization. Macromol. Symp. 2014, 337, 116–123. [Google Scholar] [CrossRef] [PubMed]
- Kneidinger, M.; Iturmendi, A.; Ulbricht, C.; Truglas, T.; Groiss, H.; Teasdale, I.; Salinas, Y. Mesoporous Silica Micromotors with a Reversible Temperature Regulated On–Off Polyphosphazene Switch. Macromol. Rapid Commun. 2019, 40, 1900328. [Google Scholar] [CrossRef] [PubMed]
- Hong, K.H.; Kim, Y.-M.; Song, S.-C. Fine-Tunable and Injectable 3D Hydrogel for On-Demand Stem Cell Niche. Adv. Sci. 2019, 6, 1900597. [Google Scholar] [CrossRef]
- Seo, B.-B.; Koh, J.-T.; Song, S.-C. Tuning physical properties and BMP-2 release rates of injectable hydrogel systems for an optimal bone regeneration effect. Biomaterials 2017, 122, 91–104. [Google Scholar] [CrossRef]
- Kim, Y.-M.; Potta, T.; Park, K.-H.; Song, S.-C. Temperature responsive chemical crosslinkable UV pretreated hydrogel for application to injectable tissue regeneration system via differentiations of encapsulated hMSCs. Biomaterials 2017, 112, 248–256. [Google Scholar] [CrossRef]
- Zhang, Z.-Q.; Song, S.-C. Multiple hyperthermia-mediated release of TRAIL/SPION nanocomplex from thermosensitive polymeric hydrogels for combination cancer therapy. Biomaterials 2017, 132, 16–27. [Google Scholar] [CrossRef] [PubMed]
- Seo, B.-B.; Choi, H.; Koh, J.-T.; Song, S.-C. Sustained BMP-2 delivery and injectable bone regeneration using thermosensitive polymeric nanoparticle hydrogel bearing dual interactions with BMP-2. J. Control. Release 2015, 209, 67–76. [Google Scholar] [CrossRef] [PubMed]
- Cho, J.-K.; Hong, J.M.; Han, T.; Yang, H.-K.; Song, S.-C. Injectable and biodegradable poly(organophosphazene) hydrogel as a delivery system of docetaxel for cancer treatment. J. Drug Target. 2013, 21, 564–573. [Google Scholar] [CrossRef] [PubMed]
- Park, M.-R.; Seo, B.-B.; Song, S.-C. Dual ionic interaction system based on polyelectrolyte complex and ionic, injectable, and thermosensitive hydrogel for sustained release of human growth hormone. Biomaterials 2013, 34, 1327–1336. [Google Scholar] [CrossRef] [PubMed]
- Seo, B.-B.; Park, M.-R.; Chun, C.; Lee, J.-Y.; Song, S.-C. The biological efficiency and bioavailability of human growth hormone delivered using injectable, ionic, thermosensitive poly(organophosphazene)-polyethylenimine conjugate hydrogels. Biomaterials 2011, 32, 8271–8280. [Google Scholar] [CrossRef]
- Potta, T.; Chun, C.; Song, S.-C. Injectable, dual cross-linkable polyphosphazene blend hydrogels. Biomaterials 2010, 31, 8107–8120. [Google Scholar] [CrossRef] [PubMed]
- Potta, T.; Chun, C.; Song, S.C. Chemically crosslinkable thermosensitive polyphosphazene gels as injectable materials for biomedical applications. Biomaterials 2009, 30, 6178–6192. [Google Scholar] [CrossRef] [PubMed]
- Kim, Y.-M.; Park, M.-R.; Song, S.-C. Injectable Polyplex Hydrogel for Localized and Long-Term Delivery of siRNA. ACS Nano 2012, 6, 5757–5766. [Google Scholar] [CrossRef]
- Iwasaki, Y.; Wachiralarpphaithoon, C.; Akiyoshi, K. Novel Thermoresponsive Polymers Having Biodegradable Phosphoester Backbones. Macromolecules 2007, 40, 8136–8138. [Google Scholar] [CrossRef]
- Wolf, T.; Hunold, J.; Simon, J.; Rosenauer, C.; Hinderberger, D.; Wurm, F.R. Temperature responsive poly(phosphonate) copolymers: From single chains to macroscopic coacervates. Polym. Chem. 2018, 9, 490–498. [Google Scholar] [CrossRef]
- Becker, G.; Marquetant, T.A.; Wagner, M.; Wurm, F.R. Multifunctional Poly(phosphoester)s for Reversible Diels–Alder Postmodification To Tune the LCST in Water. Macromolecules 2017, 50, 7852–7862. [Google Scholar] [CrossRef]
- Wolf, T.; Rheinberger, T.; Simon, J.; Wurm, F.R. Reversible Self-Assembly of Degradable Polymersomes with Upper Critical Solution Temperature in Water. J. Am. Chem. Soc. 2017, 139, 11064–11072. [Google Scholar] [CrossRef] [PubMed]
- Gustafson, T.P.; Lonnecker, A.T.; Heo, G.S.; Zhang, S.; Dove, A.P.; Wooley, K.L. Poly(d-glucose carbonate) Block Copolymers: A Platform for Natural Product-Based Nanomaterials with Solvothermatic Characteristics. Biomacromolecules 2013, 14, 3346–3353. [Google Scholar] [CrossRef] [PubMed]
- Markovsky, E.; Baabur-Cohen, H.; Eldar-Boock, A.; Omer, L.; Tiram, G.; Ferber, S.; Ofek, P.; Polyak, D.; Scomparin, A.; Satchi-Fainaro, R. Administration, distribution, metabolism and elimination of polymer therapeutics. J. Control. Release 2012, 161, 446–460. [Google Scholar] [CrossRef]
- Allcock, H.R.; Morozowich, N.L. Bioerodible polyphosphazenes and their medical potential. Polym. Chem. 2012, 3, 578–590. [Google Scholar] [CrossRef]
- Wilfert, S.; Iturmendi, A.; Schoefberger, W.; Kryeziu, K.; Heffeter, P.; Berger, W.; Brüggemann, O.; Teasdale, I. Water-soluble, biocompatible polyphosphazenes with controllable and pH-promoted degradation behavior. J. Polym. Sci. A Polym. Chem. 2014, 52, 287–294. [Google Scholar] [CrossRef]
- DeCollibus, D.P.; Marin, A.; Andrianov, A.K. Effect of Environmental Factors on Hydrolytic Degradation of Water-Soluble Polyphosphazene Polyelectrolyte in Aqueous Solutions. Biomacromolecules 2010, 11, 2033–2038. [Google Scholar] [CrossRef]
- Bauer, K.N.; Liu, L.; Wagner, M.; Andrienko, D.; Wurm, F.R. Mechanistic study on the hydrolytic degradation of polyphosphates. Eur. Polym. J. 2018, 108, 286–294. [Google Scholar] [CrossRef]
- Wang, H.; Su, L.; Li, R.; Zhang, S.; Fan, J.; Zhang, F.; Nguyen, T.P.; Wooley, K.L. Polyphosphoramidates That Undergo Acid-Triggered Backbone Degradation. ACS Macro Lett. 2017, 6, 219–223. [Google Scholar] [CrossRef]
- Bates, M.C.; Yousaf, A.; Sun, L.; Barakat, M.; Kueller, A. Translational Research and Early Favorable Clinical Results of a Novel Polyphosphazene (Polyzene-F) Nanocoating. Regen. Eng. Transl. Med. 2019, 5, 341–353. [Google Scholar] [CrossRef]
- Hiroyuki, J.; Hiroyoshi, M.; Qi, C.; Matthew, K.; Sho, T.; Atsushi, S.; Liang, G.; Eduardo, A.; Anuj, G.; Frank, D.K.; et al. Thromboresistance and functional healing in the COBRA PzF stent versus competitor DES: Implications for dual antiplatelet therapy. EuroIntervention 2019, 15, e342–e353. [Google Scholar]
- Sakakura, K.; Cheng, Q.; Otsuka, F.; Yahagi, K.; Barakat, M.; Ren, J.; Ladich, E.; Kolodgie, F.D.; Virmani, R. TCT-806 Thrombogenicity Of Novel Polyphosphazene Surface-modified Coronary Stent Compared To Standard Bare Metal Stent In Swine Shunt Model. J. Am. Coll. Cardiol. 2013, 62, B244–B245. [Google Scholar] [CrossRef]
- Henn, C.; Satzl, S.; Christoph, P.; Kurz, P.; Radeleff, B.; Stampfl, U.; Stampfl, S.; Berger, I.; Richter, G.M. Efficacy of a Polyphosphazene Nanocoat in Reducing Thrombogenicity, In-stent Stenosis, and Inflammatory Response in Porcine Renal and Iliac Artery Stents. J. Vasc. Interv. Radiol. 2008, 19, 427–437. [Google Scholar] [CrossRef] [PubMed]
- Andrianov, A.K. Self-Assembling Ionic Polyphosphazenes and Their Biomedical Applications. In Polyphosphazenes in Biomedicine, Engineering, and Pioneering Synthesis; American Chemical Society: Washington, DC, USA, 2018; Volume 1298, pp. 27–49. [Google Scholar]
- Andrianov, A.K. (Ed.) Polyphosphazenes for Biomedical Applications; Wiley: Hoboken, NJ, USA, 2009. [Google Scholar]
- Ogueri, K.S.; Ivirico, J.L.E.; Nair, L.S.; Allcock, H.R.; Laurencin, C.T. Biodegradable Polyphosphazene-Based Blends for Regenerative Engineering. Regen. Eng. Transl. Med. 2017, 3, 15–31. [Google Scholar] [CrossRef] [PubMed]
- Su, L.; Li, R.; Khan, S.; Clanton, R.; Zhang, F.; Lin, Y.-N.; Song, Y.; Wang, H.; Fan, J.; Hernandez, S.; et al. Chemical Design of Both a Glutathione-Sensitive Dimeric Drug Guest and a Glucose-Derived Nanocarrier Host to Achieve Enhanced Osteosarcoma Lung Metastatic Anticancer Selectivity. J. Am. Chem. Soc. 2018, 140, 1438–1446. [Google Scholar] [CrossRef] [PubMed]
- Liu, S.; Maheshwari, R.; Kiick, K.L. Polymer-Based Therapeutics. Macromolecules 2009, 42, 3–13. [Google Scholar] [CrossRef]
- Duncan, R. Polymer therapeutics: Top 10 selling pharmaceuticals—What next? J. Control. Release 2014, 190, 371–380. [Google Scholar] [CrossRef]
- Kopeček, J. Polymer–drug conjugates: Origins, progress to date and future directions. Adv. Drug Deliv. Rev. 2013, 65, 49–59. [Google Scholar] [CrossRef]
- Yang, J.; Kopeček, J. The Light at the End of the Tunnel-Second Generation HPMA Conjugates for Cancer Treatment. Curr. Opin. Colloid Interface Sci. 2017, 31, 30–42. [Google Scholar] [CrossRef]
- Duncan, R. Polymer conjugates as anticancer nanomedicines. Nat. Rev. Cancer 2006, 6, 688–701. [Google Scholar] [CrossRef]
- Hackl, C.M.; Schoenhacker-Alte, B.; Klose, M.H.M.; Henke, H.; Legina, M.S.; Jakupec, M.A.; Berger, W.; Keppler, B.K.; Bruggemann, O.; Teasdale, I.; et al. Synthesis and in vivo anticancer evaluation of poly(organo)phosphazene-based metallodrug conjugates. Dalton Trans. 2017, 46, 12114–12124. [Google Scholar] [CrossRef] [PubMed]
- Henke, H.; Kryeziu, K.; Banfić, J.; Theiner, S.; Körner, W.; Brüggemann, O.; Berger, W.; Keppler, B.K.; Heffeter, P.; Teasdale, I. Macromolecular Pt(IV) Prodrugs from Poly(organo)phosphazenes. Macromol. Biosci. 2016, 16, 1239–1249. [Google Scholar] [CrossRef] [PubMed]
- Avaji, P.G.; Joo, H.I.; Park, J.H.; Park, K.S.; Jun, Y.J.; Lee, H.J.; Sohn, Y.S. Synthesis and properties of a new micellar polyphosphazene–platinum(II) conjugate drug. J. Inorg. Biochem. 2014, 140, 45–52. [Google Scholar] [CrossRef] [PubMed]
- Jun, Y.J.; Kim, J.I.; Jun, M.J.; Sohn, Y.S. Selective tumor targeting by enhanced permeability and retention effect. Synthesis and antitumor activity of polyphosphazene-platinum (II) conjugates. J. Inorg. Biochem. 2005, 99, 1593–1601. [Google Scholar] [CrossRef] [PubMed]
- Song, R.; Jun, Y.J.; Kim, J.I.; Jin, C.; Sohn, Y.S. Synthesis, characterization, and tumor selectivity of a polyphosphazene-platinum(II) conjugate. J. Control. Release 2005, 105, 142–150. [Google Scholar] [CrossRef] [PubMed]
- Avaji, P.G.; Park, J.H.; Lee, H.J.; Jun, Y.J.; Park, K.S.; Lee, K.E.; Choi, S.J.; Lee, H.J.; Sohn, Y.S. Design of a novel theranostic nanomedicine: Synthesis and physicochemical properties of a biocompatible polyphosphazene-platinum(II) conjugate. Int. J. Nanomed. 2016, 11, 837–851. [Google Scholar]
- Mitova, V.; Slavcheva, S.; Shestakova, P.; Momekova, D.; Stoyanov, N.; Momekov, G.; Troev, K.; Koseva, N. Polyphosphoester conjugates of dinuclear platinum complex: Synthesis and evaluation of cytotoxic and the proapoptotic activity. Eur. J. Med. Chem. 2014, 72, 127–136. [Google Scholar] [CrossRef]
- Sun, C.-Y.; Dou, S.; Du, J.-Z.; Yang, X.-Z.; Li, Y.-P.; Wang, J. Doxorubicin Conjugate of Poly(Ethylene Glycol)- Block -Polyphosphoester for Cancer Therapy. Adv. Healthc. Mater. 2014, 3, 261–272. [Google Scholar] [CrossRef]
- Liu, J.; Huang, W.; Pang, Y.; Zhu, X.; Zhou, Y.; Yan, D. Hyperbranched Polyphosphates for Drug Delivery Application: Design, Synthesis, and In Vitro Evaluation. Biomacromolecules 2010, 11, 1564–1570. [Google Scholar] [CrossRef]
- Shcharbin, D.; Dzmitruk, V.; Shakhbazau, A.; Goncharova, N.; Seviaryn, I.; Kosmacheva, S.; Potapnev, M.; Pedziwiatr-Werbicka, E.; Bryszewska, M.; Talabaev, M.; et al. Fourth Generation Phosphorus-Containing Dendrimers: Prospective Drug and Gene Delivery Carrier. Pharmaceutics 2011, 3, 458–473. [Google Scholar] [CrossRef]
- Blanzat, M.; Turrin, C.-O.; Aubertin, A.-M.; Couturier-Vidal, C.; Caminade, A.-M.; Majoral, J.-P.; Rico-Lattes, I.; Lattes, A. Dendritic Catanionic Assemblies: In vitro Anti-HIV Activity of Phosphorus-Containing Dendrimers Bearing Galβ1cer Analogues. ChemBioChem 2005, 6, 2207–2213. [Google Scholar] [CrossRef] [PubMed]
- El Brahmi, N.; El Kazzouli, S.; Mignani, S.M.; Essassi, E.M.; Aubert, G.; Laurent, R.; Caminade, A.-M.; Bousmina, M.M.; Cresteil, T.; Majoral, J.-P. Original Multivalent Copper(II)-Conjugated Phosphorus Dendrimers and Corresponding Mononuclear Copper(II) Complexes with Antitumoral Activities. Mol. Pharm. 2013, 10, 1459–1464. [Google Scholar] [CrossRef] [PubMed]
- Ciepluch, K.; Katir, N.; El Kadib, A.; Felczak, A.; Zawadzka, K.; Weber, M.; Klajnert, B.; Lisowska, K.; Caminade, A.-M.; Bousmina, M.; et al. Biological Properties of New Viologen-Phosphorus Dendrimers. Mol. Pharm. 2012, 9, 448–457. [Google Scholar] [CrossRef] [PubMed]
- Servin, P.; Laurent, R.; Tristany, M.; Romerosa, A.; Peruzzini, M.; Garcia-Maroto, F.; Majoral, J.P.; Caminade, A.M. Dual properties of water-soluble Ru-PTA complexes of dendrimers: Catalysis and interaction with DNA. Inorg. Chim. Acta 2018, 470, 106–112. [Google Scholar] [CrossRef]
- El Brahmi, N.; Mignani, S.M.; Caron, J.; El Kazzouli, S.; Bousmina, M.M.; Caminade, A.M.; Cresteil, T.; Majoral, J.P. Investigations on dendrimer space reveal solid and liquid tumor growth-inhibition by original phosphorus-based dendrimers and the corresponding monomers and dendrons with ethacrynic acid motifs. Nanoscale 2015, 7, 3915–3922. [Google Scholar] [CrossRef]
- Mignani, S.; El Brahmi, N.; Eloy, L.; Poupon, J.; Nicolas, V.; Steinmetz, A.; El Kazzouli, S.; Bousmina, M.M.; Blanchard-Desce, M.; Caminade, A.M.; et al. Anticancer copper(II) phosphorus dendrimers are potent proapoptotic Bax activators. Eur. J. Med. Chem. 2017, 132, 142–156. [Google Scholar] [CrossRef]
- Caminade, A.-M. Inorganic dendrimers: Recent advances for catalysis, nanomaterials, and nanomedicine. Chem. Soc. Rev. 2016. [Google Scholar] [CrossRef]
- Amin, M.C.I.M.; Butt, A.M.; Amjad, M.W.; Kesharwani, P. Polymeric Micelles for Drug Targeting and Delivery. In Nanotechnology-Based Approaches for Targeting and Delivery of Drugs and Genes; Academic Press: Cambridge, MA, USA, 2017; pp. 167–202. [Google Scholar]
- Meerovich, I.; Dash, A.K. Polymersomes for drug delivery and other biomedical applications. In Materials for Biomedical Engineering; Elsevier: Amsterdam, The Netherlands, 2019; pp. 269–309. [Google Scholar]
- Peng, Y.; Zhu, X.; Qiu, L. Electroneutral composite polymersomes self-assembled by amphiphilic polyphosphazenes for effective miR-200c in vivo delivery to inhibit drug resistant lung cancer. Biomaterials 2016, 106, 1–12. [Google Scholar] [CrossRef]
- Fu, J.; Liang, L.; Qiu, L. In Situ Generated Gold Nanoparticle Hybrid Polymersomes for Water-Soluble Chemotherapeutics: Inhibited Leakage and pH-Responsive Intracellular Release. Adv. Funct. Mater. 2017, 27, 1604981. [Google Scholar] [CrossRef]
- Mehnath, S.; Arjama, M.; Rajan, M.; Jeyaraj, M. Development of cholate conjugated hybrid polymeric micelles for FXR receptor mediated effective site-specific delivery of paclitaxel. New J. Chem. 2018, 42, 17021–17032. [Google Scholar] [CrossRef]
- Marsico, F.; Wagner, M.; Landfester, K.; Wurm, F.R. Unsaturated polyphosphoesters via acyclic diene metathesis polymerization. Macromolecules 2012, 45, 8511–8518. [Google Scholar] [CrossRef]
- Alexandrino, E.M.; Ritz, S.; Marsico, F.; Baier, G.; Mailänder, V.; Landfester, K.; Wurm, F.R. Paclitaxel-loaded polyphosphate nanoparticles: A potential strategy for bone cancer treatment. J. Mater. Chem. B 2014, 2, 1298–1306. [Google Scholar] [CrossRef]
- Yilmaz, Z.E.; Vanslambrouck, S.; Cajot, S.; Thiry, J.; Debuigne, A.; Lecomte, P.; Jérôme, C.; Riva, R. Core cross-linked micelles of polyphosphoester containing amphiphilic block copolymers as drug nanocarriers. RSC Adv. 2016, 6, 42081–42088. [Google Scholar] [CrossRef]
- Zhang, L.; Shi, D.; Shi, C.; Kaneko, T.; Chen, M. Supramolecular micellar drug delivery system based on multi-arm block copolymer for highly effective encapsulation and sustained-release chemotherapy. J. Mater. Chem. B 2019, 7, 5677–5687. [Google Scholar] [CrossRef]
- Yu, S.; He, C.; Chen, X. Injectable Hydrogels as Unique Platforms for Local Chemotherapeutics-Based Combination Antitumor Therapy. Macromol. Biosci. 2018, 18, 1800240. [Google Scholar] [CrossRef]
- Cirillo, G.; Spizzirri, U.G.; Curcio, M.; Nicoletta, F.P.; Iemma, F. Injectable Hydrogels for Cancer Therapy over the Last Decade. Pharmaceutics 2019, 11, 486. [Google Scholar] [CrossRef]
- Mathew, A.P.; Uthaman, S.; Cho, K.-H.; Cho, C.-S.; Park, I.-K. Injectable hydrogels for delivering biotherapeutic molecules. Int. J. Biol. Macromol. 2018, 110, 17–29. [Google Scholar] [CrossRef]
- Norouzi, M.; Nazari, B.; Miller, D.W. Injectable hydrogel-based drug delivery systems for local cancer therapy. Drug Discov. Today 2016, 21, 1835–1849. [Google Scholar] [CrossRef]
- Cho, J.-K.; Kuh, H.-J.; Song, S.-C. Injectable poly(organophosphazene) hydrogel system for effective paclitaxel and doxorubicin combination therapy. J. Drug Target. 2014, 22, 761–767. [Google Scholar] [CrossRef]
- Zhang, Z.-Q.; Kim, Y.-M.; Song, S.-C. Injectable and Quadruple-Functional Hydrogel as an Alternative to Intravenous Delivery for Enhanced Tumor Targeting. ACS Appl. Mater. Interfaces 2019, 11, 34634–34644. [Google Scholar] [CrossRef]
- Wang, J.; Sun, D.D.N.; Shin-ya, Y.; Leong, K.W. Stimuli-Responsive Hydrogel Based on Poly(propylene phosphate). Macromolecules 2004, 37, 670–672. [Google Scholar] [CrossRef]
- Li, F.; He, J.; Zhang, M.; Ni, P. A pH-sensitive and biodegradable supramolecular hydrogel constructed from a PEGylated polyphosphoester-doxorubicin prodrug and α-cyclodextrin. Polym. Chem. 2015, 6, 5009–5014. [Google Scholar] [CrossRef]
- Dera, R.; Diliën, H.; Billen, B.; Gagliardi, M.; Rahimi, N.; Den Akker, N.M.S.; Molin, D.G.M.; Grandfils, C.; Adriaensens, P.; Guedens, W.; et al. Phosphodiester Hydrogels for Cell Scaffolding and Drug Release Applications. Macromol. Biosci. 2019, 19, 1900090. [Google Scholar] [CrossRef] [PubMed]
- Bugaj, A.M. Targeted photodynamic therapy—A promising strategy of tumor treatment. Photochem. Photobiol. Sci. 2011, 10, 1097–1109. [Google Scholar] [CrossRef] [PubMed]
- Xiao, P.; Zhang, J.; Zhao, J.; Stenzel, M.H. Light-induced release of molecules from polymers. Prog. Polym. Sci. 2017, 74, 1–33. [Google Scholar] [CrossRef]
- Teasdale, I.; Waser, M.; Wilfert, S.; Falk, H.; Brüggemann, O. Photoreactive, water-soluble conjugates of hypericin with polyphosphazenes. Monatsh. Chem. 2012, 143, 355–360. [Google Scholar] [CrossRef]
- Feinweber, D.; Verwanger, T.; Brueggemann, O.; Teasdale, I.; Krammer, B. Applicability of new degradable hypericin-polymer-conjugates as photosensitizers: Principal mode of action demonstrated by in vitro models. Photochem. Photobiol. Sci. 2014, 13, 1607–1620. [Google Scholar] [CrossRef]
- Iturmendi, A.; Theis, S.; Maderegger, D.; Monkowius, U.; Teasdale, I. Coumarin-Caged Polyphosphazenes with a Visible-Light Driven On-Demand Degradation. Macromol. Rapid Commun. 2018, 39, 1800377. [Google Scholar] [CrossRef]
- Li, F.; Chen, C.; Yang, X.; He, X.; Zhao, Z.; Li, J.; Yu, Y.; Yang, X.; Wang, J. Acetal-Linked Hyperbranched Polyphosphoester Nanocarriers Loaded with Chlorin e6 for pH-Activatable Photodynamic Therapy. ACS Appl. Mater. Interfaces 2018, 10, 21198–21205. [Google Scholar] [CrossRef]
- Pei, P.; Sun, C.; Tao, W.; Li, J.; Yang, X.; Wang, J. ROS-sensitive thioketal-linked polyphosphoester-doxorubicin conjugate for precise phototriggered locoregional chemotherapy. Biomaterials 2019, 188, 74–82. [Google Scholar] [CrossRef]
- Moncalvo, F.; Martinez Espinoza, M.I.; Cellesi, F. Nanosized Delivery Systems for Therapeutic Proteins: Clinically Validated Technologies and Advanced Development Strategies. Front. Bioeng. Biotechnol. 2020, 8, 89. [Google Scholar] [CrossRef] [PubMed]
- Barz, M.; Luxenhofer, R.; Zentel, R.; Vicent, M.J. Overcoming the PEG-addiction: Well-defined alternatives to PEG, from structure–property relationships to better defined therapeutics. Polym. Chem. 2011, 2, 1900–1918. [Google Scholar] [CrossRef]
- Pelegri-Oday, E.M.; Lin, E.W.; Maynard, H.D. Therapeutic protein-polymer conjugates: Advancing beyond pegylation. J. Am. Chem. Soc. 2014, 136, 14323–14332. [Google Scholar] [CrossRef] [PubMed]
- Andrianov, A.K.; Marin, A.; Martinez, A.P.; Weidman, J.L.; Fuerst, T.R. Hydrolytically Degradable PEGylated Polyelectrolyte Nanocomplexes for Protein Delivery. Biomacromolecules 2018, 19, 3467–3478. [Google Scholar] [CrossRef] [PubMed]
- Steinbach, T.; Wurm, F.R. Degradable Polyphosphoester-Protein Conjugates: "PPEylation" of Proteins. Biomacromolecules 2016, 17, 3338–3346. [Google Scholar] [CrossRef]
- Pelosi, C.; Duce, C.; Russo, D.; Tiné, M.R.; Wurm, F.R. PPEylation of proteins: Synthesis, activity, and stability of myoglobin-polyphosphoester conjugates. Eur. Polym. J. 2018, 108, 357–363. [Google Scholar] [CrossRef]
- Steinbach, T.; Becker, G.; Spiegel, A.; Figueiredo, T.; Russo, D.; Wurm, F.R. Reversible Bioconjugation: Biodegradable Poly(phosphate)-Protein Conjugates. Macromol. Biosci. 2017, 17. [Google Scholar] [CrossRef]
- Russo, D.; Plazanet, M.; Teixeira, J.; Moulin, M.; Härtlein, M.; Wurm, F.R.; Steinbach, T. Investigation into the Relaxation Dynamics of Polymer-Protein Conjugates Reveals Surprising Role of Polymer Solvation on Inherent Protein Flexibility. Biomacromolecules 2016, 17, 141–147. [Google Scholar] [CrossRef]
- Russo, D.; De Angelis, A.; Garvey, C.J.; Wurm, F.R.; Appavou, M.S.; Prevost, S. Effect of Polymer Chain Density on Protein-Polymer Conjugate Conformation. Biomacromolecules 2019, 20, 1944–1955. [Google Scholar] [CrossRef]
- Russo, D.; De Angelis, A.; Paciaroni, A.; Frick, B.; De Sousa, N.; Wurm, F.R.; Teixeira, J. Protein-Polymer Dynamics as Affected by Polymer Coating and Interactions. Langmuir 2019, 35, 2674–2679. [Google Scholar] [CrossRef]
- Duncan, R.; Richardson, S.C.W. Endocytosis and Intracellular Trafficking as Gateways for Nanomedicine Delivery: Opportunities and Challenges. Mol. Pharm. 2012, 9, 2380–2402. [Google Scholar] [CrossRef] [PubMed]
- Martinez, A.P.; Qamar, B.; Fuerst, T.R.; Muro, S.; Andrianov, A.K. Biodegradable “Smart” Polyphosphazenes with Intrinsic Multifunctionality as Intracellular Protein Delivery Vehicles. Biomacromolecules 2017, 18, 2000–2011. [Google Scholar] [CrossRef] [PubMed]
- Andrianov, A.K.; Marin, A.; Fuerst, T.R. Self-assembly of polyphosphazene immunoadjuvant with poly(ethylene oxide) enables advanced nanoscale delivery modalities and regulated pH-dependent cellular membrane activity. Heliyon 2016, 2, e00102. [Google Scholar] [CrossRef] [PubMed]
- Hsu, W.-H.; Sánchez-Gómez, P.; Gomez-Ibarlucea, E.; Ivanov, D.P.; Rahman, R.; Grabowska, A.M.; Csaba, N.; Alexander, C.; Garcia-Fuentes, M. Structure-Optimized Interpolymer Polyphosphazene Complexes for Effective Gene Delivery against Glioblastoma. Adv. Ther. 2019, 2, 1800126. [Google Scholar] [CrossRef]
- Luten, J.; van Nostruin, C.F.; De Smedt, S.C.; Hennink, W.E. Biodegradable polymers as non-viral carriers for plasmid DNA delivery. J. Control. Release 2008, 126, 97–110. [Google Scholar] [CrossRef]
- de Wolf, H.K.; de Raad, M.; Snel, C.; van Steenbergen, M.J.; Fens, M.; Storm, G.; Hennink, W.E. Biodegradable poly(2-dimethylamino ethylamino)phosphazene for in vivo gene delivery to tumor cells. Effect of polymer molecular weight. Pharm. Res. 2007, 24, 1572–1580. [Google Scholar] [CrossRef]
- Hsu, W.-H.; Csaba, N.; Alexander, C.; Garcia-Fuentes, M. Polyphosphazenes for the delivery of biopharmaceuticals. J. Appl. Polymer Sci. 2019. [Google Scholar] [CrossRef]
- Kaufman, H.L.; Atkins, M.B.; Subedi, P.; Wu, J.; Chambers, J.; Joseph Mattingly, T.; Campbell, J.D.; Allen, J.; Ferris, A.E.; Schilsky, R.L.; et al. The promise of Immuno-oncology: Implications for defining the value of cancer treatment. J. Immunother. Cancer 2019, 7, 129. [Google Scholar] [CrossRef]
- Xiang, Y.; Oo, N.N.L.; Lee, J.P.; Li, Z.; Loh, X.J. Recent development of synthetic nonviral systems for sustained gene delivery. Drug Discov. Today 2017, 22, 1318–1335. [Google Scholar] [CrossRef]
- Gao, M.; Zhu, X.; Wu, L.; Qiu, L. Cationic Polyphosphazene Vesicles for Cancer Immunotherapy by Efficient in Vivo Cytokine IL-12 Plasmid Delivery. Biomacromolecules 2016, 17, 2199–2209. [Google Scholar] [CrossRef]
- Fan, J.; He, Q.; Jin, Z.; Chen, W.; Huang, W. A novel phosphoester-based cationic co-polymer nanocarrier delivers chimeric antigen receptor plasmid and exhibits anti-tumor effect. RSC Advances 2018, 8, 14975–14982. [Google Scholar] [CrossRef]
- Paulis, L.E.; Mandal, S.; Kreutz, M.; Figdor, C.G. Dendritic cell-based nanovaccines for cancer immunotherapy. Curr. Opin. Immunol. 2013, 25, 389–395. [Google Scholar] [CrossRef] [PubMed]
- Schöttler, S.; Becker, G.; Winzen, S.; Steinbach, T.; Mohr, K.; Landfester, K.; Mailänder, V.; Wurm, F.R. Protein adsorption is required for stealth effect of poly(ethylene glycol)- and poly(phosphoester)-coated nanocarriers. Nat. Nano 2016, 11, 372–377. [Google Scholar] [CrossRef] [PubMed]
- Müller, J.; Bauer, K.N.; Prozeller, D.; Simon, J.; Mailänder, V.; Wurm, F.R.; Winzen, S.; Landfester, K. Coating nanoparticles with tunable surfactants facilitates control over the protein corona. Biomaterials 2017, 115, 1–8. [Google Scholar] [CrossRef]
- Simon, J.; Wolf, T.; Klein, K.; Landfester, K.; Wurm, F.R.; Mailänder, V. Hydrophilicity Regulates the Stealth Properties of Polyphosphoester-Coated Nanocarriers. Angew. Chem. Int. Ed. 2018, 57, 5548–5553. [Google Scholar] [CrossRef]
- Simon, J.; Bauer, K.N.; Langhanki, J.; Opatz, T.; Mailänder, V.; Landfester, K.; Wurm, F.R. Noncovalent Targeting of Nanocarriers to Immune Cells with Polyphosphoester-Based Surfactants in Human Blood Plasma. Adv. Sci. 2019, 6, 1901199. [Google Scholar] [CrossRef]
- Poupot, M.; Turrin, C.O.; Caminade, A.M.; Fournié, J.J.; Attal, M.; Poupot, R.; Fruchon, S. Poly(phosphorhydrazone) dendrimers: Yin and yang of monocyte activation for human NK cell amplification applied to immunotherapy against multiple myeloma. Nanomed. Nanotechnol. Biol. Med. 2016, 12, 2321–2330. [Google Scholar] [CrossRef]
- Childs, R.W.; Berg, M. Bringing natural killer cells to the clinic: Ex vivo manipulation. Hematology. Am. Soc. Hematology. Educ. Program 2013, 2013, 234–246. [Google Scholar] [CrossRef]
- Andrianov, A.K.; Marin, A.; Chen, J. Synthesis, Properties, and Biological Activity of Poly[di(sodium carboxylatoethylphenoxy)phosphazene]. Biomacromolecules 2005, 7, 394–399. [Google Scholar] [CrossRef]
- Andrianov, A.K. Water-soluble polyphosphazenes for biomedical applications. J. Inorg. Organomet. Polym. Mater. 2006, 16, 397–406. [Google Scholar] [CrossRef]
- Andrianov, A.K. Polyphosphazenes as Vaccine Adjuvants. In Vaccine Adjuvants and Delivery Systems; John Wiley & Sons: Hoboken, NJ, USA, 2006; pp. 355–378. [Google Scholar]
- Andrianov, A.K.; Sargent, J.R.; Sule, S.S.; Le Golvan, M.P.; Woods, A.L.; Jenkins, S.A.; Payne, L.G. Synthesis, Physico-Chemical Properties and Immunoadjuvant Activity of Water-Soluble Phosphazene Polyacids. J. Bioact. Compat. Polym. 1998, 13, 243–256. [Google Scholar] [CrossRef]
- Payne, L.; Jenkins, S.; Andrianov, A.; Roberts, B. Water-Soluble Phosphazene Polymers for Parenteral and Mucosal Vaccine Delivery. In Vaccine Design; Powell, M., Newman, M., Eds.; Springer: New York, NY, USA, 1995; Volume 6, pp. 473–493. [Google Scholar]
- Andrianov, A.K.; Marin, A.; Fuerst, T.R. Molecular-Level Interactions of Polyphosphazene Immunoadjuvants and Their Potential Role in Antigen Presentation and Cell Stimulation. Biomacromolecules 2016, 17, 3732–3742. [Google Scholar] [CrossRef] [PubMed]
- Shakya, A.K.; Nandakumar, K.S. Applications of polymeric adjuvants in studying autoimmune responses and vaccination against infectious diseases. J. R. Soc. Interface 2013, 10. [Google Scholar] [CrossRef] [PubMed]
- Magiri, R.; Mutwiri, G.; Wilson, H.L. Recent advances in experimental polyphosphazene adjuvants and their mechanisms of action. Cell Tissue Res. 2018. [Google Scholar] [CrossRef]
- Dar, A.; Lai, K.; Dent, D.; Potter, A.; Gerdts, V.; Babiuk, L.A.; Mutwiri, G.K. Administration of poly di(sodium carboxylatoethylphenoxy) phosphazene (PCEP) as adjuvant activated mixed Th1/Th2 immune responses in pigs. Vet. Immunol. Immunopathol. 2012, 146, 289–295. [Google Scholar] [CrossRef]
- Lu, Y.; Salvato, M.S.; Pauza, C.D.; Li, J.; Sodroski, J.; Manson, K.; Wyand, M.; Letvin, N.; Jenkins, S.; Touzjian, N.; et al. Utility of SHIV for Testing HIV-1 Vaccine Candidates in Macaques. J. Acquir. Immune Defic. Syndr. 1996, 12, 99–106. [Google Scholar] [CrossRef]
- Le Cam, N.N.B.; Ronco, J.; Francon, A.; Blondeau, C.; Fanget, B. Adjuvants for influenza vaccine. Res. Immunol. 1998, 149, 19–23. [Google Scholar] [CrossRef]
- Payne, L.G.; Van Nest, G.; Barchfeld, G.L.; Siber, G.R.; Gupta, R.K.; Jenkins, S.A. PCPP as a parenteral adjuvant for diverse antigens. Dev. Biol. Stand. 1998, 92, 79–87. [Google Scholar]
- Andrianov, A.K.; DeCollibus, D.P.; Gillis, H.A.; Kha, H.H.; Marin, A.; Prausnitz, M.R.; Babiuk, L.A.; Townsend, H.; Mutwiri, G. Poly[di(carboxylatophenoxy)phosphazene] is a potent adjuvant for intradermal immunization. Proc. Natl. Acad. Sci. USA 2009, 106, 18936–18941. [Google Scholar] [CrossRef]
- Andrianov, A.K.; Mutwiri, G. Intradermal immunization using coated microneedles containing an immunoadjuvant. Vaccine 2012, 30, 4355–4360. [Google Scholar] [CrossRef]
- Ling, L.L.; Schneider, T.; Peoples, A.J.; Spoering, A.L.; Engels, I.; Conlon, B.P.; Mueller, A.; Schäberle, T.F.; Hughes, D.E.; Epstein, S.; et al. A new antibiotic kills pathogens without detectable resistance. Nature 2015, 517, 455–459. [Google Scholar] [CrossRef] [PubMed]
- Lim, Y.H.; Tiemann, K.M.; Heo, G.S.; Wagers, P.O.; Rezenom, Y.H.; Zhang, S.; Zhang, F.; Youngs, W.J.; Hunstad, D.A.; Wooley, K.L. Preparation and in Vitro Antimicrobial Activity of Silver-Bearing Degradable Polymeric Nanoparticles of Polyphosphoester-block-Poly(l-lactide). ACS Nano 2015, 9, 1995–2008. [Google Scholar] [CrossRef] [PubMed]
- Shah, P.N.; Shah, K.N.; Smolen, J.A.; Tagaev, J.A.; Torrealba, J.; Zhou, L.; Zhang, S.; Zhang, F.; Wagers, P.O.; Panzner, M.J.; et al. A novel in vitro metric predicts in vivo efficacy of inhaled silver-based antimicrobials in a murine Pseudomonas aeruginosa pneumonia model. Sci. Rep. 2018, 8, 6376. [Google Scholar] [CrossRef] [PubMed]
- Aweda, T.A.; Zhang, S.; Mupanomunda, C.; Burkemper, J.; Heo, G.S.; Bandara, N.; Lin, M.; Cutler, C.S.; Cannon, C.L.; Youngs, W.J.; et al. Investigating the pharmacokinetics and biological distribution of silver-loaded polyphosphoester-based nanoparticles using 111Ag as a radiotracer. J. Label. Compd. Radiopharm. 2015, 58, 234–241. [Google Scholar] [CrossRef] [PubMed]
- Pranantyo, D.; Xu, L.Q.; Kang, E.-T.; Mya, M.K.; Chan-Park, M.B. Conjugation of Polyphosphoester and Antimicrobial Peptide for Enhanced Bactericidal Activity and Biocompatibility. Biomacromolecules 2016, 17, 4037–4044. [Google Scholar] [CrossRef] [PubMed]
- Cheheltani, R.; Ezzibdeh, R.M.; Chhour, P.; Pulaparthi, K.; Kim, J.; Jurcova, M.; Hsu, J.C.; Blundell, C.; Litt, H.I.; Ferrari, V.A.; et al. Tunable, biodegradable gold nanoparticles as contrast agents for computed tomography and photoacoustic imaging. Biomaterials 2016, 102, 87–97. [Google Scholar] [CrossRef] [PubMed]
- Kim, J.; Silva, A.B.; Hsu, J.C.; Maidment, P.S.N.; Shapira, N.; Noël, P.B.; Cormode, D.P. Radioprotective Garment-Inspired Biodegradable Polymetal Nanoparticles for Enhanced CT Contrast Production. Chem. Mater. 2020, 32, 381–391. [Google Scholar] [CrossRef]
- Razavi, R.; Khan, Z.; Haeberle, C.B.; Beam, D. Clinical Applications of a Polyphosphazene-Based Resilient Denture Liner. J. Prosthodont. 1993, 2, 224–227. [Google Scholar] [CrossRef]
- Xu, L.-C.; Li, Z.; Tian, Z.; Chen, C.; Allcock, H.R.; Siedlecki, C.A. A new textured polyphosphazene biomaterial with improved blood coagulation and microbial infection responses. Acta Biomater. 2018, 67, 87–98. [Google Scholar] [CrossRef]
- Selin, V.; Albright, V.; Ankner, J.F.; Marin, A.; Andrianov, A.K.; Sukhishvili, S.A. Biocompatible Nanocoatings of Fluorinated Polyphosphazenes through Aqueous Assembly. ACS Appl. Mater. Interfaces 2018, 10, 9756–9764. [Google Scholar] [CrossRef]
- Albright, V.; Marin, A.; Kaner, P.; Sukhishvili, S.A.; Andrianov, A.K. New Family of Water-Soluble Sulfo–Fluoro Polyphosphazenes and Their Assembly within Hemocompatible Nanocoatings. ACS Appl. Bio Mater. 2019, 2, 3897–3906. [Google Scholar] [CrossRef]
- Lutzke, A.; Neufeld, B.H.; Neufeld, M.J.; Reynolds, M.M. Nitric oxide release from a biodegradable cysteine-based polyphosphazene. J. Mater. Chem. B 2016, 4, 1987–1998. [Google Scholar] [CrossRef]
- Lutzke, A.; Tapia, J.B.; Neufeld, M.J.; Reynolds, M.M. Sustained Nitric Oxide Release from a Tertiary S-Nitrosothiol-based Polyphosphazene Coating. ACS Appl. Mater. Interfaces 2017, 9, 2104–2113. [Google Scholar] [CrossRef] [PubMed]
- Place, E.S.; George, J.H.; Williams, C.K.; Stevens, M.M. Synthetic polymer scaffolds for tissue engineering. Chem. Soc. Rev. 2009, 38, 1139–1151. [Google Scholar] [CrossRef] [PubMed]
- Watson, B.M.; Kasper, F.K.; Mikos, A.G. Phosphorous-containing polymers for regenerative medicine. Biomed. Mater. 2014, 9, 025014. [Google Scholar] [CrossRef] [PubMed]
- Laurencin, C.T.; Norman, M.E.; Elgendy, H.M.; El-Amin, S.F.; Allcock, H.R.; Pucher, S.R.; Ambrosio, A.A. Use of polyphosphazenes for skeletal tissue regeneration. J. Biomed. Mater. Res. 1993, 27, 963–973. [Google Scholar] [CrossRef] [PubMed]
- Deng, M.; Kumbar, S.G.; Wan, Y.; Toti, U.S.; Allcock, H.R.; Laurencin, C.T. Polyphosphazene polymers for tissue engineering: An analysis of material synthesis, characterization and applications. Soft Matter 2010, 6, 3119–3132. [Google Scholar] [CrossRef]
- Peach, M.S.; Kumbar, S.G.; James, R.; Toti, U.S.; Balasubramaniam, D.; Deng, M.; Ulery, B.; Mazzocca, A.D.; McCarthy, M.B.; Morozowich, N.L.; et al. Design and Optimization of Polyphosphazene Functionalized Fiber Matrices for Soft Tissue Regeneration. J. Biomed. Nanotechnol. 2012, 8, 107–124. [Google Scholar] [CrossRef]
- Saveh-Shemshaki, N.; Nair, L.S.; Laurencin, C.T. Nanofiber-based matrices for rotator cuff regenerative engineering. Acta Biomater. 2019, 94, 64–81. [Google Scholar] [CrossRef]
- Huang, Z.; Yang, L.; Hu, X.; Huang, Y.; Cai, Q.; Ao, Y.; Yang, X. Molecular Mechanism Study on Effect of Biodegradable Amino Acid Ester–Substituted Polyphosphazenes in Stimulating Osteogenic Differentiation. Macromol. Biosci. 2019, 19, 1800464. [Google Scholar] [CrossRef]
- Ambrosio, A.M.A.; Allcock, H.R.; Katti, D.S.; Laurencin, C.T. Degradable polyphosphazene/poly(α-hydroxyester) blends: Degradation studies. Biomaterials 2002, 23, 1667–1672. [Google Scholar] [CrossRef]
- Sethuraman, S.; Nair, L.S.; El-Amin, S.; Nguyen, M.T.; Singh, A.; Krogman, N.; Greish, Y.E.; Allcock, H.R.; Brown, P.W.; Laurencin, C.T. Mechanical properties and osteocompatibility of novel biodegradable alanine based polyphosphazenes: Side group effects. Acta Biomater. 2010, 6, 1931–1937. [Google Scholar] [CrossRef] [PubMed]
- Singh, A.; Krogman, N.R.; Sethuraman, S.; Nair, L.S.; Sturgeon, J.L.; Brown, P.W.; Laurencin, C.T.; Allcock, H.R. Effect of Side Group Chemistry on the Properties of Biodegradable l-Alanine Cosubstituted Polyphosphazenes. Biomacromolecules 2006, 7, 914–918. [Google Scholar] [CrossRef] [PubMed]
- Ogueri, K.S.; Allcock, H.R.; Laurencin, C.T. Generational biodegradable and regenerative polyphosphazene polymers and their blends with poly (lactic-co-glycolic acid). Prog. Polym. Sci. 2019, 98, 101146. [Google Scholar] [CrossRef]
- Weikel, A.L.; Cho, S.Y.; Morozowich, N.L.; Nair, L.S.; Laurencin, C.T.; Allcock, H.R. Hydrolysable polylactide-polyphosphazene block copolymers for biomedical applications: Synthesis, characterization, and composites with poly(lactic-co-glycolic acid). Polym. Chem. 2010, 1, 1459–1466. [Google Scholar] [CrossRef]
- Deng, M.; Nair, L.S.; Nukavarapu, S.P.; Jiang, T.; Kanner, W.A.; Li, X.; Kumbar, S.G.; Weikel, A.L.; Krogman, N.R.; Allcock, H.R.; et al. Dipeptide-based polyphosphazene and polyester blends for bone tissue engineering. Biomaterials 2010, 31, 4898–4908. [Google Scholar] [CrossRef]
- Veronese, F.M.; Marsilio, F.; Lora, S.; Caliceti, P.; Passi, P.; Orsolini, P. Polyphosphazene membranes and microspheres in periodontal diseases and implant surgery. Biomaterials 1999, 20, 91–98. [Google Scholar] [CrossRef]
- Rothemund, S.; Aigner, T.B.; Iturmendi, A.; Rigau, M.; Husár, B.; Hildner, F.; Oberbauer, E.; Prambauer, M.; Olawale, G.; Forstner, R.; et al. Degradable Glycine-Based Photo-Polymerizable Polyphosphazenes for Use as Scaffolds for Tissue Regeneration. Macromol. Biosci. 2015, 15, 351–363. [Google Scholar] [CrossRef]
- Carampin, P.; Conconi, M.T.; Lora, S.; Menti, A.M.; Baiguera, S.; Bellini, S.; Grandi, C.; Parnigotto, P.P. Electrospun polyphosphazene nanofibers for in vitro rat endothelial cells proliferation. J. Biomed. Mater. Res. Part A 2007, 80A, 661–668. [Google Scholar] [CrossRef]
- Deng, M.; Kumbar, S.G.; Nair, L.S.; Weikel, A.L.; Allcock, H.R.; Laurencin, C.T. Biomimetic Structures: Biological Implications of Dipeptide-Substituted Polyphosphazene–Polyester Blend Nanofiber Matrices for Load-Bearing Bone Regeneration. Adv. Funct. Mater. 2011, 21, 2641–2651. [Google Scholar] [CrossRef]
- Peach, M.S.; Ramos, D.M.; James, R.; Morozowich, N.L.; Mazzocca, A.D.; Doty, S.B.; Allcock, H.R.; Kumbar, S.G.; Laurencin, C.T. Engineered stem cell niche matrices for rotator cuff tendon regenerative engineering. PLoS ONE 2017, 12, e0174789. [Google Scholar] [CrossRef] [PubMed]
- Narayanan, G.; Nair, L.S.; Laurencin, C.T. Regenerative Engineering of the Rotator Cuff of the Shoulder. ACS Biomater. Sci. Eng. 2018, 4, 751–786. [Google Scholar] [CrossRef]
- Nukavarapu, S.P.; Kumbar, S.G.; Brown, J.L.; Krogman, N.R.; Weikel, A.L.; Hindenlang, M.D.; Nair, L.S.; Allcock, H.R.; Laurencin, C.T. Polyphosphazene/Nano-Hydroxyapatite Composite Microsphere Scaffolds for Bone Tissue Engineering. Biomacromolecules 2008, 9, 1818–1825. [Google Scholar] [CrossRef] [PubMed]
- Wang, S.; Wan, A.C.A.; Xu, X.; Gao, S.; Mao, H.-Q.; Leong, K.W.; Yu, H. A new nerve guide conduit material composed of a biodegradable poly(phosphoester). Biomaterials 2001, 22, 1157–1169. [Google Scholar] [CrossRef]
- Xu, X.; Yee, W.-C.; Hwang, P.Y.K.; Yu, H.; Wan, A.C.A.; Gao, S.; Boon, K.-L.; Mao, H.-Q.; Leong, K.W.; Wang, S. Peripheral nerve regeneration with sustained release of poly(phosphoester) microencapsulated nerve growth factor within nerve guide conduits. Biomaterials 2003, 24, 2405–2412. [Google Scholar] [CrossRef]
- Riva, R.; Shah, U.; Thomassin, J.-M.; Yilmaz, Z.; Lecat, A.; Colige, A.; Jérôme, C. Design of Degradable Polyphosphoester Networks with Tailor-Made Stiffness and Hydrophilicity as Scaffolds for Tissue Engineering. Biomacromolecules 2020, 21, 349–355. [Google Scholar] [CrossRef]
- Müller, W.E.G.; Tolba, E.; Schröder, H.C.; Wang, X. Polyphosphate: A Morphogenetically Active Implant Material Serving as Metabolic Fuel for Bone Regeneration. Macromol. Biosci. 2015, 15, 1182–1197. [Google Scholar] [CrossRef]
- Morozowich, N.L.; Nichol, J.L.; Allcock, H.R. Investigation of Apatite Mineralization on Antioxidant Polyphosphazenes for Bone Tissue Engineering. Chem. Mater. 2012, 24, 3500–3509. [Google Scholar] [CrossRef]
- Yang, X.-Z.; Sun, T.-M.; Dou, S.; Wu, J.; Wang, Y.-C.; Wang, J. Block Copolymer of Polyphosphoester and Poly(l-Lactic Acid) Modified Surface for Enhancing Osteoblast Adhesion, Proliferation, and Function. Biomacromolecules 2009, 10, 2213–2220. [Google Scholar] [CrossRef]
- Iwasaki, Y. Bone Mineral Affinity of Polyphosphodiesters. Molecules 2020, 25, 758. [Google Scholar] [CrossRef]
- Iwasaki, Y.; Katayama, K.; Yoshida, M.; Yamamoto, M.; Tabata, Y. Comparative physicochemical properties and cytotoxicity of polyphosphoester ionomers with bisphosphonates. J. Biomater. Sci. Polym. Ed. 2013, 24, 882–895. [Google Scholar] [CrossRef] [PubMed]
- Kunomura, S.; Iwasaki, Y. Immobilization of polyphosphoesters on poly(ether ether ketone) (PEEK) for facilitating mineral coating. J. Biomater. Sci. Polym. Ed. 2019, 30, 861–876. [Google Scholar] [CrossRef] [PubMed]













































© 2020 by the authors. Licensee MDPI, Basel, Switzerland. This article is an open access article distributed under the terms and conditions of the Creative Commons Attribution (CC BY) license (http://creativecommons.org/licenses/by/4.0/).
Share and Cite
Strasser, P.; Teasdale, I. Main-Chain Phosphorus-Containing Polymers for Therapeutic Applications. Molecules 2020, 25, 1716. https://doi.org/10.3390/molecules25071716
Strasser P, Teasdale I. Main-Chain Phosphorus-Containing Polymers for Therapeutic Applications. Molecules. 2020; 25(7):1716. https://doi.org/10.3390/molecules25071716
Chicago/Turabian StyleStrasser, Paul, and Ian Teasdale. 2020. "Main-Chain Phosphorus-Containing Polymers for Therapeutic Applications" Molecules 25, no. 7: 1716. https://doi.org/10.3390/molecules25071716
APA StyleStrasser, P., & Teasdale, I. (2020). Main-Chain Phosphorus-Containing Polymers for Therapeutic Applications. Molecules, 25(7), 1716. https://doi.org/10.3390/molecules25071716

